by
J.F. Caddy
Marine Resources Service
FAO Fisheries Department
Rome, Italy
INTRODUCTION
The idea that a state of equilibrium can be reached between the harvestable production from a given fish stock and the level of fishing effort or fishing mortality exerted on it has played a key role in the development of the two main branches of the theory of fish stock assessment; namely, the analytical or Beverton and Holt (1959) approach and the global or surplus production modelling approach.
In the first of these schools of thought, the response of a stock to fishing is examined in detail, growth and mortality parameters being estimated by detailed observation of the stock over a short period of time, and from this the presumed long-term effects of a change in fishing strategy (size limits, fishing intensity) calculated; the assumption being made that the fishery system operates as a closed chemostat, within which any change in the variables controlled by man will eventually result in a reproducible effect (a “sustained” yield) after enough time has elapsed. Surplus production models treat the population as a black box, in which a given level of effort exerted at any point in time eventually results in the same equilibrium level of production being sustained. Similar equilibrium assumptions also underly much of the body of theory developed in the field of fisheries economics, which has been widely used for guiding investment decisions in fisheries.
Although the steady-state concept is essential to a preliminary understanding of the factors that govern the yield attainable from a fishery, unfortunately its widespread uncritical use tends to obscure the fact that certain sequences of events tend to take place in the development of a fishery that are not easily explained in terms of an equilibrium state. Such sequences may be due either to the long term effects of past levels of fishing intensity or even to the rate of application of fishing intensity, or they may be due to changes in the environment or even to a combination of both types of effects. What seems clear, however, and has serious implications for the development process in fisheries, is that the repercussions of a particular investment decision may continue to be felt in the fishery for many years after its time of application and that this response time of the system is likely to be longer than most fishery administrators expect. The existence of such feedback mechanisms is becoming even more relevant nowadays that the rate of build up of fishing effort in new fisheries is far too fast to allow the system to provide the necessary feedback for correct management decisions in the future. Some of the implications of making investment decisions without allowing for feedback of information to the fishery manager are explored in this paper, and a number of management guidelines suggested.
ADJUSTING FOR NON-EQUILIBRIUM SITUATIONS IN FISHERIES MODELS
The difficulties of fitting production models to essentially non-equilibrium data on catch and effort, where fishing effort is increasing as rapidly as in some of the fisheries shown in Table 1, has preoccupied fisheries scientists for the last two decades. Several rule of thumb methods exist, which adjust the data points to allow for departures from a supposed equilibrium condition before drawing the kind of yield curve shown in Fig. 1. These methods of adjustment essentially use previous years' data to adjust the present year's data. The basis for this adjustment is that the abundance, and hence catch, for a given effort in the present year, is influenced by the past fishing intensity over the number of years that the older fish in the catch have been in the fishery. We may, however, look at this procedure in the reverse sense, namely that “massaging” the data to make it fit some supposed set of equilibrium conditions may be removing vital information on the sequence of events that is needed by managers of the fishery.
Table 1 Summary for a selection of fisheries of the time taken to MSY from various bench marks in fisheries development
| Species, area and author/publication | MSY (last year reached) | Years to first MSY from start of fishery (or from 10% MSY) | Years to first MSY from 25% MSY | Years to first MSY from 50% MSY |
| Atlantic menhaden USA: Atlantic (Klima, 1976) | 620,000 t (1954–55) | ? | ? | ? |
| Gulf menhaden USA: Gulf of Mexico (Klima, 1976) | 478,000 t (1962) | 14–15 | 12–13 | 6–7 |
| Hake (Merluccius spp.) South Africa (Newman et al., 1976) | 150,000 t (1964–65) | ? | ? | before 1955 i.e. 10+ |
| Redfish Div. 3P ICNAF (N.W. Canada) (Parsons & Parsons, 1975) | 23,000 t (1966–67) | ? | ? | 3–4 |
| Spiny lobster Munroe Co. Florida, USA (Stevenson, 1981) | 3,000 t (1970) | ? | 14–15 | 5–6 |
| Penaeid shrimp (all species) Nicaragua (Stevenson, 1981) | 3,500 t (1968–69) | ? | 5 | 4 |
| Snapper (Lutjanus purpureus) N. & N.E. Brazil (Stevenson, 1981) | 5,800 t (1972) | ? | 6–7 | 6–7 |
| Spiny lobsters (P. argus + P. laevicauda) N. Brazil (Stevenson, 1981) | 8,500 t (1968–69) | ? | ? | 2 |
| Stone crab (Menippe mercenaria Florida, USA (Stevenson, 1981) | 645 t (claws) | ? | 13 | 7 |
| Shrimp (Pandalus borealis) Iceland (Skulladottir, 1979) | 600 t | ? | ? | 1–2 |
| Mackerels (Tracharus spp.) N. sub-tropical, W. Africa (Troadec & Garcia, 1980) | 190,000 t (1969–70) | 5 ? | 3 | 2 |
Figure 1 illustrates the course of events in a fishery whose “equilibrium” yield is given by the dashed line and the ‘raw’ data points by circles. Because effort is increasing rapidly in the early stages of development (and rarely, if ever, remains constant anyway), the fishery during the early stages is always exploiting bigger stocks than would be present if that level of effort had been constant for several years. As a result, the ‘sustainable’ yield is always overestimated if there is not time enough during the early stages for the yield to fall towards its equilibrium value. Erroneous feedback as to the potential yield thus continues to fuel the over-investment situation discussed later. Only after a number of years at a fixed effort level (years 5–7 in Fig. 1) does the yield tend towards the equilibrium line (year 7 in Fig. 1), and we may note that this equilibrium yield is only going to stay constant if the environment remains unchanged.
Vice versa, as effort decreases the actual yield is less than the equilibrium yield, since it takes time to increase the biomass by growth to a higher level corresponding to the now lower effort level. You will find that the close to circular trajectory of effort and yield in the figure is fairly typical and corresponds conceptually to that discussed later (Fig. 5), for a predator-prey system. Implicit in Fig. 5 is the fact that both predator-prey systems, and a special subset, namely fisheries systems, are dynamic and have a tendancy to follow characteristic sequences of events such that, although we can define an equilibrium point X in Fig. 1 which is one of the ‘best’ targets for management, this point is rarely attained since the fleets and the resource are each reacting to the other in a linked predator-prey system.
Perhaps the conclusion we should draw from this is that what is random ‘noise’ with respect to one model may actually represent the information content under a different conceptual framework.

Figure 1 Sequence of events in the early expansion phase of a fishery (years 1–7), showing how annual yield exceeds the equilibrium level unless effort level is held constant for several years. Conversely, if effort decreases, yield drops below the equilibrium line until held constant for several years.
HOW LONG TO GET TO MSY ?
Looking at Table 1 we see a range of estimates made from various production models in the literature which show that the time taken to reach MSY has generally decreased for industrial fisheries since the 1960s. In few cases do we have good information on the yields from early years of a fishery, and the time to MSY has been calculated from the year that 50 percent MSY was attained; this appears to have dropped significantly from a decade or so in the 1960s to two years by the 1970s and corresponds to a supposed time from the start of development to MSY of probably rather more than twice this, i.e. roughly 4–5 years to MSY by the 1970s. This is around or less than the life span of many of the species harvested. The high rate of mobilization of effort and investment possible nowadays appears to be responsible here. What is most striking to a biologist about this is that, starting from scratch, it is now possible to more than double the natural death rate of a population over a period of some 3–5 years. Far from being appropriate to describe this in terms of equilibrium theory, we need to look at the ecological impact of this type of fishery from the same perspective that we would use for other “catastrophic” phenomena like earthquakes, tidal waves, etc. This theme is developed further later on, but it certainly appears that the chances for a realistic adjustment of data from the early years of such rapidly incrementing fishing effort are rather poor. Some other models for management appear to be urgently required.
RESPONSE TIMES IN INVESTMENT AND MANAGEMENT
Fisheries systems may perhaps be compared to the behaviour of a badly adjusted thermostat in that the time lag from the signal to the response, particularly when low catch rates signal that management is appropriate, is much longer than the time of response of the fleet to improved levels of abundance. A hypothetical example of the sequence of decisions is shown in Fig. 2 which illustrates that there are two options:
(a) Improve response time of management
or, (b) Slow down rate of entry of new vessels into the fishery.
It is the author's opinion that the latter is the more feasible alternative and this question is explored further in later sections. A real-life example of how the slow response time of the management systems was responsible for the demise of an important fish stock is given in Table 2.
THE BIOLOGICAL BASES FOR THE NON-EQUILIBRIUM SITUATION IN FISHERIES
The major source of energy that drives fisheries systems comes from fixation of carbon dioxide into organic compounds by marine plants and this process tends to show peak production in rather localized regions, such as in areas of high vertical mixing of water masses; for example, areas of upwelling, the continental shelves of high and low latitudes and further offshore along horizontal and vertical boundaries between ocean current systems. Highly productive areas nearer inshore are estuaries, lagoons, salt marshes, seaweed beds and mangrove swamps. Despite the generally low productivity of clear water tropical areas, coral reefs also act as centres for concentration and elaboration of organic production. Dispersal of organic material in the form of organic detritus, plankton, fish and invertebrate biomass from these centres of production goes on in space and time from the original date and location of organic synthesis. This occurs both passively by means of eddies and currents, and more actively by means of migration of living organisms. All of the time the synthesized organic material forming the bodies of plants and animals moves upwards in the food web and loses roughly nine-tenths of its biomass and chemical energy at each step in the form of metabolic heat, work, excreta (soluble organics) and detritus; some of the latter two categories being cycled back into the food web by means of marine bacteria and other unicellular organisms, scavengers and detritivores (e.g. filter feeders).
Table 2 Management history record (from Saetersdal, 1980)
| Year | Stock diagnosis by Liaison Committee | Management objective | Advice given | Measures agreed | Regulations enforced |
| 1965 | Large total stock decline, but natural cause assumed. Effect of fishing on juveniles uncertain | Exploitation still at level where no benefit for total landings expected by any regulatory measure | |||
| 1968 | A number of delegations at NEAFC expresses concern about the state of the stock | ||||
| 1969 | A special meeting organized by ICES to assess the stock | ||||
| 1970 | Stock in poor state due to: a) recruitment failure, b) increased rate of exploitation on adult stock and larger immature herring | Increase the stock and long-term future fishery possibilities endangering prospects for future reproduction) | Reduce mortality rate on immature herring and avoid further increase in fishing rate on adult stock | ||
| 1971 | Restrictions on fishing for immatures | ||||
| 1972 | No signs of stock recovery. Reiterates 1971 statement | Advice from 1970 repeated | |||
| 1973 | Stock still in critical state and shows no signs of improvement at all | ||||
| 1975 | Stock collapse fully confirmed. Spawning stock probably too | Total ban on all fishing | Ban on commercial fishing in 1976 | ||
| 1977 | Some indications of recovery, but spawning stock still at a very low level | Total ban continued in 1977 |

Figure 2 The sequence of decision processes in development and management of a fishery - A hypothetical example
Transport processes must largely account for the generally lower productivity and standing stocks in central oceanic areas and at greater depths, distant from the main centres of production. This is especially true for deeper waters in the tropics, where stable thermoclines may restrict high production to near-shore areas. Peak production is also rather restricted in time, especially in regions of upwelling and estuaries, in north and south temperate phytoplankton blooms, and seaweed and eel grass beds. This means that the herbivores feeding on plant material and the primary carnivores feeding on them tend to be often (but not always) small, short-lived (annual species) with big population blooms and crashes on a seasonal basis. This is also true in the tropics and sub-tropics, in those areas where seasonal monsoons drive upwelling zones; for example, in the northern Arabian Sea and off Peru, but not so obvious in other tropical areas where low-level production goes on throughout the year.
One way to visualize this process is to view the food web as a dissipation structure (Johnson, 1981), whereby input energy from the sun in chemical form moves up through the food web, losing a large fraction as heat at each stage in the course of work performed by individual organisms in carrying out the various metabolic processes necessary for the maintenance of life. At the same time the value of the individual energy package generally increases, so that a small fraction of the original (low-unit value plant material) becomes high-value fish tissue (e.g. tuna, codfish, etc.), which is energy-rich and preferred for human consumption and usually commands a higher market price.
In placing any natural system along the stability scale from close to equilibrium to wild fluctuations or periodic population crashes, the time scale of production is evidently very important; the flow of energy through a system is unlikely to closely approximate stability if production is seasonal or, even worse, erratic. The chances of managing a system are likely to be improved if there is a relatively continuous stable production and fortunately, even in very seasonal (but regularly fluctuating) systems, higher level organisms have often evolved life history mechanisms to ensure that their production ‘evens out’ somewhat the seasonal cycle, by seasonal changes in diet at different times of year or during different life history stages or by migration to locate other areas of peak production.
In fact, a whole new group of life history strategies come into play once evolution of multi-age group forms is widespread. Clearly, new strategies for dealing with the “feast and famine” situation caused by seasonal production cycles had to be evolved and, as indicated above, these include active swimming, seasonal migration, separate feeding and spawning areas, ‘omnivorous’ (more than one food item) feeding and the whole range of associated morphological and behavioural characteristics that make up existing fish species.
The big evolutionary advantage of a longer life span that results when the above problems are solved is that the species can survive instabilities in the environments by adjusting the life span to be roughly equal to the average interval between favourable spawning years, so that a species can survive a poor spawning year that might otherwise be disastrous for localized stocks of an annual species. The life-history mechanisms shown by annual species (e.g. squid, penaeid shrimp) also tend to confirm that the environment that most species inhabit is unstable; compensatory mechanisms include production of many eggs, several separate groups spawning at different times of the year and a fairly wide geographical range for single stock species (e.g. the Pacific squid, Todarodes, Osako and Murata - in press), ensuring repopulation of a stock from the fringes of its range if the centre is wiped out by an unsuccessful spawning, or vice versa.
The existence of multiple age groups is itself then, with or without multiple spawning, a life history adaption that reflects the difficulty of ensuring a species survival in the presence of oscillations or random perturbations in the ecological system and physical environment. These perturbations show up in the form of irregularities in annual recruitment. Recent studies in the North Atlantic (Hennemuth and Avtges, 1982) on long-term recruitment trends in cod and haddock show that the very occasional big year classes play a major part in supporting the fishery; the rest of the time the annual yield would not be sustainable and exceeds current production from recruitment, i.e. heavy reliance is placed on fishing survivors from previous good year classes. For these species, annual landings exceed annual recruitment 70–80 percent of the time; from only 10 percent of the bigger year classes came 24 percent, 33 percent and 37 percent of the total yield for cod, mackerel and haddock, respectively. In such a fishery, it seems likely, and should be investigated, that a series of investment waves have occurred following closely behind good year classes in these fisheries, and this is hardly likely to prove atypical of what happens in other industrial fisheries elsewhere. Why should we not expect then that such perturbations will affect our fisheries systems in the form of so-called “departures from equilibrium conditions”?
SYSTEM INSTABILITY AND MANAGEMENT
The environment - it goes without saying that fish populations, their abundance and species composition, are very responsive to changes in key environmental variables that are not under control of the Fisheries Manager. In many cases these variables may act on the stocks in a way that are poorly understood, despite a large literature on effects of a range of environmental variables on growth, survival and reproduction success. Convincing proof of this has been provided by recent studies of, for example, the occurrence of fish otoliths in stratified bottom sediments from productive upwelling zones; these show wide fluctuations in abundance and frequent switches in dominant species at specific sites for hundreds and thousands of years prior to human exploitation (e.g. Soutar and Isaacs, 1974).
It has been postulated (Skud, 1982) that the behaviour of dominant and subordinate species in an ecosystem may also be modified in relation to environment, if they change places in relative abundance in the system. For example, if all species when dominant respond favourably to increases in temperature, they may show the opposite reaction when subordinate, since they are now suffering population pressures from the dominant species which is more successful in taking advantage of the changed environment. The point of this observation is that environmental effects, if not understood or taken into account, will in some marine systems make for considerable errors in the yield forecast from a given expenditure of effort in any particular time period (see Figure 3) or, alternatively, will mean that the effective effort resulting from a given TAC will be very variable.
If the “weather effect” on production from a given stock is high (Figure 3), it is possible to set a low quota in “poor” periods of years that greatly exceeds the demonstrated ability of the stock to support it, if the model in question was based on data collected during previous average-to-good years. Such a quota will inevitably accelerate declines in the already reduced stock size. This type of error, resulting from high system variability in combination with poor information on the environment effect (hence erroneous definition of equilibrium conditions), has undoubtedly been one of the main elements contributing to stock declines in managed fisheries. An unwillingness to move too far from a previous years's over-optimistic quota in the face of declining environmental conditions for good recruitment has meant that, although the quota followed annual catches downwards, it was rarely set low enough to arrest the decline. We may also postulate that in some cases, where the downward trend in production was reversed, this was also largely due to an unperceived improvement in environmental conditions.
Although, unfortunately, many fisheries - especially those single and multispecies trawl fisheries of north temperate shelves - may continue from year to year with only moderate landing fluctuations over the short term, there are other fisheries where the system is too variable, the species abundance too transitory or the accuracy of information so low that it becomes impossible to attempt to manage them in a conventional fashion with any good chances of success. A third category of fisheries (and environments) are those that show relatively smooth fluctuations in abundance over a period of years. Fortunately, with these as with the first category, there is a significant degree of autocorrelation in many natural (oceanographically or atmospherically-driven systems) such that, even with a significant difference in population condition and size over, say, 8–12 year intervals, there may be a fairly reasonable similarity in the response of the system to fishing in consecutive years. From the point of view of population-dynamics research, while it may be valid to model the first type of population by means of production (catch effort) models as in Figure 3b, this will be less useful or even misleading for the second two categories (Figure 3a). Here priority should be on yield per recruit studies in association with regular estimates of recruitment. Hindcast equilibrium concepts may be of some value here for long-lived species, but real-time estimates will be needed for short-lived ones. Studies of species interactions and of short term forecasting, using oceanographic parameters, will be necessary in any case.


Figure 3
Contrasts production models for two types of population: one (LHS) with highly variable stock size, where recruitment is affected by (e.g.) climate, hydrography or predators, and (RHS) where effects other than effort have little impact.
The dotted lines enclose the points used to fit the relationship in an “envelope” for which the heavy barred line is the mean position and the upper and lower dotted lines ‘best’ and ‘worst’ production conditions respectively. The upper diagram shows that in highly variable systems, it is possible to set a low quota based on average conditions that greatly exceed the productive capacity of the system under poor conditions. In this case, the equivalent effort exerted could be very high and destructive without exceeding the quota.
VARIABILITY AND FORECASTING
In the case of highly variable but valuable production systems, there may be good reasons for expending significant resources on the problems of short-term monitoring and correspondingly less value in trying to define a “long-term sustainable yield”. In this sense, it is of interest that Japanese fishery science, operating in a zoo-geographical area where the vagaries of a powerful oceanic current, the Kuroshio, are all-important to nearshore fisheries yield, have placed more emphasis on development of methods of short-term prediction of optimal fishing areas and yields and less on defining optimal equilibrium or sustainable yields from the system, which is the main preoccupation for North-East Atlantic fishery science where drastic year-to-year changes in the system may be less intense. Even in the North Atlantic, however, long-term changes in the environment and fisheries have occurred; for example, a larger proportion of harvestable biomass in the North Sea now occurs as demersal fish instead of pelagics rather than the reverse which was the case between the two world wars. In the North-West Atlantic, there have been several phases where herring and mackerel changed dominance in the pelagic system and similar events have occurred off Peru, Namibia, California and Mauritania over the last decade. As we discuss later, it is not at first sight obvious what is the cause of these types of reverses: overfishing or environment but this simply illustrates the need for the monitoring of such fisheries as total systems.
The time scale between these major kinds of transitions in fisheries systems is, however, usually rather longer than the period in office for most fisheries managers and, unlike the hunter-gatherer tribes of the Neolithic, very few modern fisheries managers reserve comfortable seats in their councils for wise octogenarian fishermen who can remind them of what happened 20–30 years ago when the fishery passed through its last period of transition. When considering the need for this sort of long-range forecasting, it may be useful to briefly list some of the kinds of perturbations that might have a significant impact. Firstly, there are those “intermittent” catastrophies such as tornadoes, floods, tsunamis, stock market crashes and the effect of high and fluctuating interest rates on vessel and plant loans, which are largely impossible to predict with any accuracy but which catastrophic type of phenomena are regularly taken into account in other areas of marine activity such as in the design of seawalls, flood gates, etc. Probably largely for lack of adequate time series, this type of preparation for catastrophe has not been given a great deal of attention in fisheries planning to date. There is growing evidence that some fisheries may respond to a second and more regular type of modulation of the environment which controls the long-term productivity of the system. Various periodicities have been mentioned (see e.g. Gilliland, 1982), some of which may occur more than once within the likely career duration of long-lived fishery administrators; for example, 11 and 22-year regularities (sunspot cycles), 18-year periods (long-term tidal cycle), and 12.8-year periods (oscillations in the diameter of the solar disc) are mentioned as components in, for example, long-term fluctuations in the mean temperature of the northern hemisphere. They presumably must also play a part in marine systems, although here because of the generally short-term preoccupations of most oceanographers, our longer-term series are mostly from fisheries landing data and not from the actual hydrographic factors that drive them.
Periodic factors of the above kind may have a relatively slight direct effect on fish production, operating via changes in annual recruitment level. However, under conditions of positive feedback between the resource (the prey) and the fleet (the predator), they could be one of the factors responsible for the timing of the peaks and troughs in the cycle of landings. While mentioning this possibility, it must be freely admitted that it has rarely been possible to separate unambiguously the effect of long-term environmental changes from those generally more easily measured perturbations due to feedback between the resource and the fleet or fisheries system, and this problem area is currently at the forefront of many fisheries investigations now underway (see e.g. Tanaka, 1980).
EACH FISHERY CYCLE BEGINS WITH A NEW OPPORTUNITY
As in other areas of human activity, new methodologies (or old methodologies applied in new locations) can each create an opportunity; whether this consists of exploiting a new resource, a new method of harvesting or processing or a new market. The successful entry of a few enterprising individuals into a new field often leads to substantial and rapid participation by others; the rate of entry of newcomers only dropping off as the rate of return from the fishery is seen by outsiders to have fallen below the acceptable level warranting investment - this in itself may occur some years after conditions are already too uncertain for new capital investment by informed investors. These earlier investors, however, may themselves have been able to discount earlier capital investment and be riding on the profits from earlier, higher abundance years or be in a better strategic position to obtain subsidies, since the failure of their enterprises will lead to unemployment in the fisheries sector which is often viewed unfavourably by governments. All these factors, together with the fact that investment decisions by independent-minded fishermen are independent and are influenced by evidence of past success (large cars, large mortgages, etc.!), provide reasons why the beginning of an uncontrolled fisheries cycle will generate excessive effort in the first few years of a fishery which will not easily be dissipated later on until fleet attrition occurs.
Whatever the criterion for sustainable yield (and the effort giving MSY is now known to be excessive), some examples (Table 1) show that from the onset of industrial fishing to (e.g.) MSY conditions is a relatively short interval, given modern technologies (see Table 3). Clearly, the speed of mobilization of modern investment is such that the management authority has little time for action if it intends to place the fishery under management. It is even reasonable to propose that it is the rate of investment in this early phase that is the key to whether the fishery is manageable in a positive as opposed to a repressive fashion later on in the same cycle.
FISHERIES SYSTEMS HAVE THEIR OWN DYNAMICS AND DO NOT ACT IN ISOLATION
It seems important to emphasize that the fishery, treated as a system, has its own internal dynamics, laws and evolution and is not a closed system since it depends on inputs from the environment and from other sectors of the economy. Some examples of physical inputs are the impacts of environmental fluctuations or interaction of a resource with its own predators, prey or competitors (and their effects on the stability or persistence of the resource). At the other end of the scale the fishery obviously depends on prevailing socio-economic conditions, levels of alternative employment, etc. to determine the availability of fishermen, appropriate fishing methods, level of investment potential and actual markets. A manager of such a system is obviously constrained by four main types of factors:
The availability of information on what changes in the resources and markets are occurring or are likely to occur in the near future.
The existence of policies and guidelines that tell him what is the appropriate objective for the fishery.
The accuracy of his conclusions and decisions as to what needs to be done to achieve these objectives.
The extent to which the general inertia, governmental priorities and availability of societal mechanisms allow him to achieve these objectives.
Treating these points in sequence reveals the following considerations, which we recommend for attention by the Consultation:
Point 1:
Rarely do we have adequate information on the resource that gives us an unambiguous
answer to the question of what the resource will do over the next few years. We may with
time and analysis be able to make some predictions, but must be prepared for the
consequences of poor choices. As far as markets are concerned, we may be in a rather
better position, but here again recent world events have proved difficult to forecast and
the same considerations must largely apply, as far as exports and demands are concerned,
as for most other food commodities.
Point 2:
Often national fisheries policies are implicit (not stated) or confusing and contradictory,
leaving the manager to make most of the decisions. Political influences may also change
or impose a shorter-term scale than is needed for proper fisheries management.
Point 3 :
The models available to fisheries managers to date have been very simplistic and include as
inputs only a proportion of the available data which could be used for arriving at a proper
decision. If, for example, fishing effort accounts for 50 percent of all physical impacts on
the catch rate or on the total landings, decisions based on this variable alone will inevitably
have a high degree of uncertainty as to the probable physical yield, without even
considering socio-economic factors.
Point 4 :
Following on from the above, we note that fisheries are often a small sector of the national
economy or cultural milieu, and hence decisions cannot be taken in isolation from extrinsic
considerations operating in other sectors of the economy.
Taking Points 1 to 4 in concert, one is forced at first glance to conclude that the manager is in a nearly impossible position. In reality, things are not quite so bad as this, since some very loose guidelines are implied in the literature on various aspects of fisheries management and there is now available a body of experience in world fisheries that grows yearly. This experience seems to suggest the following things:
Attempts to tune a system for attainment of maximum output (MSY) will lead to oscillation, unpredictability and, because of the inertia of the socio-economic system, eventually to crashes (whether reversible or not). A lower level of expected output is safer and more predictable.
The response time of the system to changes will not be less than the time scale of the main components of the system. Some of these critical time scales are:
The average generation time of the species harvested in the system.
The average life span of boats, plant and duration of participation of active fishermen in the fishery (itself a function of their degree of mobility).
The period of oscillation of key environmental variables and, much less predictable, the average interval between cataclysmic events (e.g. hurricanes, wars, economic crashes, etc.) which might have an impact on the system. In the case of more regular periodic fluctuation in the production system, although these effects may be slight, it may be possible that the production system will fall into phase with these. Similarly, the production and harvesting sub-systems may be expected to fall into phase with the various economic cycles that have been postulated. In both cases, feedback in the fisheries system could accentuate these periodicities, due to the built-in feedback loops and lags in the fishery.
The instability of a fishery and the tendency to oscillation will be increased by a significant time lag between detection of a problem and the onset of the appropriate management response.
Attempts to attain new objectives too rapidly in the management process will result in system oscillation. Although arguments have been advanced that pulse fishing will harvest a greater proportion of a givén cohort, as we will see later, this is a tenable approach only where production is very irregular. The fallacy of this argument is that most of our models, biological as well as economic, are based on the idea that equilibrium conditions and hence recruitment are maintained constant during the process. It must be clear to everyone that the rapid attainment of MSY conditions from zero or low effort levels will not be conducive to attainment of any equilibrium until at least the longest expected generation time of any component in the system, whether fish, boats, plants or men, has been exceeded.
One consequence of 4) is the so-called “ratchet” principle, whereby an isolated fishery may increase its effort rapidly but, because of the long generation time of the harvesting units, the fleet size will not decrease rapidly due to few alternative resources to harvest. It is perhaps worth noting here that, in the past EEZ era, for most national industrial fisheries except those within very large fishing zones, the number of alternatives for such specialized industrial fleets are very limited.
The fundamental rule suggests itself, namely that a manager should attempt where possible to dictate the direction of change but try and assure that this occurs slowly, steadily and smoothly over a significant period of years, with continual reflection and comparison of the results of management by “feed back” with earlier years. In a scientifically managed and basically stable fishery, we may even suggest an alternative “experimental” management regime, in which any increase in effort should be separated by at least a generation time for the species forming the resource, in order that its impact is fully appreciated before proceeding further. One may even speculate (Figure 4) that, by changing the ‘direction’ of the teeth of the ratchet, intrinsically produced oscillations may be damped out; in other words, effort should be increased slowly, leaving time for appropriate feedback but, if sudden changes must occur, these should be abrupt drops in effort in response to signals of stock depletion. Despite some of the obvious practical difficulties of this approach, it at least deserves some attention as a possible overall strategy.

Figure 4 Desirable (A) and undesirable (B) patterns of application of fishing effort
CLASSIFICATION OF SPECIES AND ENVIRONMENTS
Any kind of over-generalization will inevitably prove incorrect in a system as complex and multifactorial as most fisheries systems are and, in order to make any progress, it will be necessary to adopt some method of classification, however preliminary. One of the currently most popular of these, originating from terrestrial ecology, is the so-called r-K scale of specialization (MacArthur, 1967), which has been adopted with some partial success and qualification in marine ecology also (Table 3). This approach notes that the evolutionary strategies of species tend to lie somewhere along a gradient between two extreme types of adaptation. The first denotes short life spans and high rates of reproduction and growth for species with small, generalized body form, that are well adapted to periodic ‘blooms’ or recolonization of unstable environments. For such species, e.g. sand eels, squid and trigger fish, populations may expand rapidly in response to a combination of favourable environment and low abundance of K-adapted species (e.g. caused by heavy fishing) and die away equally rapidly in response to unfavourable environments. The K-adapted species, by contrast, are generally long-lived and slow growing, with relatively stable populations showing well-developed adaptation to individual survival. A comparison of some of the supposed characteristics of the r-K extremes are shown in Table 3.
Table 3 Some of the characteristics of r- and K-selected species
| Characteristics | r-selected | K-selected |
| Climate | Usually variable and/or unpredictable | Fairly constant and/or predictable (or species shows migratory behaviour) |
| Risk of natural death | Often high or catastrophic, largely independent of population size | More scheduled death rate, dependent on population size |
| Population size | Variable in time, non-equilibrium conditions prevail; occupies ecological vacuums but rarely reaches carrying capacity of evironment; recolonizes each year | Fairly constant in time, at or near carrying capacity of environment; no recolonization necessary of saturated communities |
| Competition between species and within species | Generally lax | Usually keen |
| Length of life | Short (usually less than one year) | Longer (usually more than one year) |
| Natural selection in favour of: | 1) Rapid development | 1) Slow development |
| 2) High rate of population increase | 2) Low rate of population increase | |
| 3) High rate of egg production | 3) Low rate of egg production | |
| 4) Small body size | 4) Large body size | |
| 5) Single reproduction | 5) Multiple reproduction | |
| 6) Less emphasis on behavioural and morphological characteristics to increase individual survival | 6) Well-developed feature giving good individual survival, e.g. territorial behaviour, spines, special dentition and special feeding habits | |
| All above lead to: | Productivity | Efficiency |
Judged from this perspective, r-selected species would seem less manageable than K-selected ones. This conclusion must be regarded with caution, however, because such a simple two-way classification does not take into account the main categories of environment seen in marine systems (see e.g. Shepherd et al, 1982). In particular, it seems quite possible for a short-lived r-selected species to achieve and maintain dominance in a stable environment if the population of K-scheduled competition species is kept low by fishing. An example of how this may occur is shown for squid populations in Figure 3.
With this in mind, a rather better classification into three main categories of species has been proposed by Kawasaki (1980) that leans heavily on Japanese experience in N.W. Pacific Ocean fisheries (Table 4).
Table 4 Correlates of three selected types of life history in the marine teleosts (after Kawasaki, 1980)
| Type I | Type II | |||||
| Sub-Type A | Sub-Type B | |||||
| Environment | Irregular variation | | Variable and unpredictable | ![]() | Long period variation | Stable and predictable |
| Recruitment | Irregular variation | | Variable | | Long period variation | Stable |
| Resources put into: | Reproduction only | | Reproduction | ![]() | Reproduction & maintenance | Growth and maintenance |
| Lifespan T | Short | Long | Long | |||
| Growth: Gr. rate KT | Moderate | High | Low | |||
| Max. size L | Small | Moderate | Large | |||
| Reproduction: Age at first maturity, mx | Very low | | Low | ![]() | Quite low | High |
| Fecundity | Low | Moderate | High | |||
| Intrinsic rate of population increase | Very high | | High | ![]() | High | Low |
| Early survival | Variable | Stable | ||||
| Trophic level | Low | High | ||||
| Typical species | saury, sandeel | sardines, herrings | cods, flatfishes | |||
| Appropriate management measures | Catch forecasting and monitoring + pulse fishing | Recruit forecasting & yield/ recruit assessment & MSY fishing? | Equilibrium yield assessment, steady state (F0.1) fishing | |||
Here two main and two subsidiary classifications of species are proposed: Type II being similar to the K-selected category above, except that number of eggs produced per spawning is high and includes, as examples, cods and flatfish (e.g. Type 4). Being generally high in the food chain, these species may be considered manageable by conventional yield models, with equilibrium concepts being relatively applicable.
Type I is divided by Kawasaki (1980) into:
Type IA - small short-lived species with low individual fecundity but very early maturity, early spawning and hence high rates of population increase. These species (e.g. saury, squid and sand eel) tend to inhabit irregular variable environments and show high population variations, making them essentially very similar to the r-classification earlier (except for low fecundity), and may be considered non-equilibrium stocks where pulse fishing may be the only way of harvesting the stock without excessive wastage due to natural deaths. Here the manager is faced with the conflicting considerations of deciding between a high enough effort level that reduces wastage and a high possibility of the need for alternative fleet deployment to other resources if population crashes occur, as they inevitably will at some point with this type of stock (e.g. Figure 5). The possibility of joint ventures or licensing of foreign effort seem alternatives for disposing of temporary surpluses.
Type IB - Here we have stocks adapted to areas with long-period fluctuations or cycles in suitability of the environment within the cycles. This group is somewhat intermediate between the other two in that life span is long enough, but age at maturity is generally early, with multiple spawnings and moderate fecundity to allow a rather high build-up of population biomass over the medium-term (5–10 years?) period of favourable conditions and with sufficiently long life span for some individuals to survive to the next favourable period (e.g. sardines, herring).

Figure 5a One way of visualising a transition from a fishery directed at a species A with by-catch of species B to one on B with by-catch of A. It is supposed that in the period of transition, yield of A lies somewhere between “metastable” conditions shown by segments a-g and e-f, and similarly for B between g-h and c-d. No equilibrium conditions occur in this area and the transition is likely to occur over a short period of time. Such transitions can be described as “catastrophies”.

Figure 5b Another way of visualising how the above transition can occur in spatial terms. Fishing is initially over the “range” of A with by-catch of B in the area of overlap, but following decline of population A the fleet moves to the right hand oval (species B “range”) with by-catch of A. (N.B. “Range” here could mean geographical extent, but may more realistically be considered the seasonally adjusted fraction of the stock available by fishing including depth, availability, etc., i.e. a move from A to B could either imply a change in availability or a new method of harvesting.)
From a management point of view, this group of species is perhaps the only one where a period of rapid increase in effort is appropriate but even here the build-up of a specialized fleet much in excess of what the long-term average population can support will result in serious over-capitalization between peaks. Here the appropriate strategy is probably the temporary licensing of extrinsic units during periods of high production or spreading the production from good year classes over several years.
THE EVIDENCE FROM LONG-TERM LANDING TRENDS
Although the preceeding classification scheme has much to recommend it, we may ask whether it is sufficiently generalisable outside the somewhat special conditions that prevail in the North-West Pacific. Specifically, is it possible that the same species classified as Type I (unpredictable) might in fact become Type II in more stable environments? The answer to this seems a qualified yes (the qualification being that species close to the base of the food pyramid, especially if co-existing with a competitor species, may still be liable to large population perturbations). It may be more valid and immediately generalisable and relevant to fisheries management to classify instead the fisheries, thus taking into account not just the species in question but also its environment. Another relevant point is that the degree of stability of a system may be a function of the degree of impact of man on the system. This theme is, of course, one of the major concepts underlying this paper.
Figure 1 of the Appendix shows a broad general classification of fisheries that parallels in some respect that for species by Kasawaki, and has four basic categories with characteristics as follows:
Fisheries with relatively constant annual yields that approximate to conditions of “steady state” production
Fisheries with regular periodic fluctuations
Fisheries with fluctuations of irregular periodicity
Environmental (biotic and abiotic) instabilities
Category 1) corresponds roughly to Type II of Kawasaki, categories 2) and 3) are included in his Type IB, while category 4) corresponds to Type IA. The reason for dividing up Type IB is that from a management point of view the implications of regular (predictable) versus irregular fluctuations are quite different. In the first case some forecasting is theoretically possible. In the second, this is relatively infeasible without continuous and costly recruitment monitoring and then only for a year or two in advance. Examples of these four categories are given in Appendix I.
STABILITY AND CATASTROPHIES IN FISHERIES SYSTEMS
The concept of equilibrium yield that underlies most fisheries models implies that if effort is maintained constant, yield from the system will tend towards an equilibrium value for that level of effort and will eventually come to lie on or, in the case of stochastic versions of the model, somewhere close to the line described by the mathematical function used (Figure 1 of Appendix). In the course of fitting these models, it is usual to employ some kind of averaging procedure that corrects for departures from equilibrium conditions, rather than fitting the model to the raw catch and effort data from the fishery. The degree of scatter around the line is still considerable in many cases (e.g. Figure 3A), and it is clear that even if the model provides a reasonable description of “average conditions” over the years for which the data were available to fit the model, it rarely permits a reliable prediction of the yield which may be expected the following year, even if the fishing effort can be forecast.
One other problem that is not always explicitly recognized is that the usefulness of models of this kind tends to decrease as the peak (MSY) conditions are approached, at which point the biomass of the stock is down to around half of its unexploited size. Close to this level of exploitation, production from the system usually becomes more erratic so that the effects of a given level of effort are even less predictable. As we have already seen, if recruitment is poor in 7 years out of 10, a particular preset catch or quota that would have only corresponded to a low level of exploitation during years of high recruitment may now correspond to severe overfishing. The generally poor descriptive powers of most existing fisheries models in the face of high intensity of fishing continues to deteriorate to the right of MSY, such that in many cases stock collapses may occur well before they are predicted by equilibrium models.
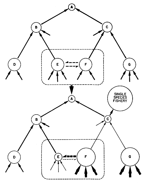
One way of describing what happens beyond the MSY level, even if only qualitatively, is by means of so-called ‘catastrophe theory’ (e.g. Ekeland, 1977). This in its simplest terms says that a catastrophe (or very rapid discontinuous change in a system) can occur where two very different situations are equally feasible from the point of view of the energetics of a system. This may be illustrated by Figure 5 (the “clashing tsunamis” model) which shows a fishery directed to a species A (e.g. a sardine resource) with a small by-catch of a second species B taken incidentally in the fishery (e.g. anchovies). Perhaps species B occurs only in part of the range of species A (as in Figure 5B) or is only taken with low efficiency by the gear designed to catch species A. In any case, by the time fishing effort has reached level X, the catch rate of species A will have dropped or become more erratic, even though the total yield of A is kept high by intense fishing. Somewhere between fishing effort levels X and Y there is a serious sustained drop in the yield of species A from line a-b to line e-f and, soon after, an increase in the landings of species B from line g-h to c-d, because the fleet has now overcome problems in harvesting this new resource or has moved into the main area of availability of the resource (Figure 5B) and is now fishing for this species and taking species A as a by-catch.
This very hypothetical illustration is intended to provide one way of visualizing how abrupt transitions in resources may occur. Although abrupt transitions may occur naturally due to environmental changes for certain categories of species, there are grounds for believing that heavy fishing pressure and its abrupt application may accelerate the process even in otherwise manageable systems.
OSCILLATIONS IN FISHERIES SYSTEMS
Classifying phenomena along a scale from manageable to unmanageable, we may consider that systems showing oscillations fit somewhere between steady state behaviour and population crashes. Regular periodic fluctuations are common in fisheries statistics and it would be worthwhile looking briefly at some of the possible underlying mechanisms.
Since we are dealing in fisheries with potentially oscillating systems and how to control them, it is worth briefly considering a fundamental concept from the field of cybernetics, the idea of feedback. Freely modifying the definition in Webster's Dictionary, for our purposes we have positive feedback defined as the use of information on the output from a system to increase the amplitude of an oscillation, and of course vice versa for negative feedback.
Looking at the simplest and most widely quoted predator-prey model, that due to Lotka and Volterra (Figure 6), we see that changes in population size of a single predator and its single prey are a function of rate of change of the population size of each other, such that predator and prey populations both oscillate out of phase (Figure 6); predator populations growing rapidly to a peak immediately following years of abundant prey and, in consequence, cropping down the prey population to a low level. At this point, starvation sets in with increased death rate or reduced birth rate of predators and this in turn leads to an explosion in the predator population, and so on indefinitely. Although it is possible to define an “equilibrium” point (AB, in Figure 6 A1), this is not necessarily ever attained but perhaps corresponds to the average predator and prey population respectively, around which the true values move in an elliptical fashion in what can be referred to as a limit cycle (Figure 6 A1). Such systems are well known in terrestrial biology, e.g. the lynx-snow shoe rabbit oscillations that showed up in the long-term records of the North American fur-trading companies (Moran, 1953). They are rather less well documented in marine biology, for reasons not only of short time series but perhaps because food webs in the marine systems have many linkages, so that a single prey and its obligate predator is not an especially common phenomenon. Marine predators can often transfer between a preferred prey and one or more alternates if the first is depleted, a situation which is also ideally achieved in multipurpose fisheries such as some artisanal ones. The other real problem in documenting such predator-prey linkages is that, for industrial fisheries, the impact of the fishery on the prey outweighs that of the natural predator(s) in question and in fact a fishery aimed at a single species soon takes over the role of principal predator and overshadows other multispecies relationships that are operating in the system. This can lead to the types of oscillation in predator and prey abundances described earlier, with the fleet taking over the role of principal predator.
One of the main roles of fisheries management may then be to control the effort input in such a way that oscillations in both populations and supply and demand are reduced. Figure 7 illustrates in hypothetical form the possible impacts of the intensity of perturbation (environment or fishing intensity) on the yield from a given steadily oscillating resource.
The conclusion we have already reached is that oscillation in fisheries production can be due to both extrinsic (e.g. environmental) factors as well as the impact of the fishery itself. Most fisheries models tend to consider that fishing effort (being the only variable that is theoretically controllable in most cases), outweighs the environmental effects which can just be considered as “noise” in the system. If this “noise” is very substantial, however, we will need to consider its impact more carefully in deciding whether it is even practical to attempt management on the basis of effort control alone, especially since the data sources available usually are inaccurate enough to contribute considerably to the error or variance term in the “signal” or data received by the manager. A later section discusses this question. For the moment, we note that models of fisheries yield have a large random component and this is one of the reasons why medium-term predictive models (as opposed to short-term forecasts and long-term or “equilibrium” predictions) are so rare in fisheries science and management.
Equilibrium models are useful in providing some guidelines as to the possible impact of a given level of harvesting, should all other conditions remain constant. It is a mistake, however, to assume that the system itself is an equilibrium one or tends to equilibrium. This can be illustrated simply by the fact that although equilibrium models suggest the long-term average yield that will result from a given level of effort, they do not in themselves allow you to predict or explain why fishing effort changes in the often rather repetitive fashion it does.
![]() | ![]() | I | PREDATOR - PREY OSCILLATIONS |
![]() | ![]() | 2 | REGULAR OSCILLATIONS IN YIELD |
![]() | ![]() | 3 | + VE FEEDBACK FROM EQUILIBRIUM |
![]() | ![]() | 4 | - VE FEEDBACK TO EQUILIBRIUM |
![]() | ACTUAL TRAJECTORY OF POPUN + YIELD | ||
![]() | EQUILIBRIUM YIELD, BIOMASS, + POPUN SIZE | ||
| • | EQUILIBRIUM POINT | ||
| YE | EQUILIBRIUM YIELD | ||
| BE | EQUILIBRIUM BIOMASS | ||
| Figure 6 | A1 | Oscillations in linked populations of prey and predator populations with time. |
| B1 | Illustrating the difference between an “equilibrium” position * and the dynamic relationship between predator and prey populations. | |
| A2-A4 | Oscillations in biomass and equilibrium yield with time where man is the principal predator. | |
| B2-B4 | Trajectory of biomass-yield relationships super-imposed on equilibrium yield curves for the population, and showing the equilibrium point as a dot. | |
| A2/B2 | Regular oscillations. | |
| A3/B3 | Amplification of the oscillations (positive feed-back) and progressive divergence from equilibrium. | |
| A4/B4 | Damping down of the oscillations (negative feed-back) and convergence on equilibrium. | |
| (Redrawn from Tanaka, 1980) | ||

Figure 7 The theory of Catastrophes of Rene Thom freely interpreted to show how
progressively more rapid application of effort, especially in the expansion
phase, may lead to a transition from ‘near equilibrium’ conditions to successive
population crashes.
(Similar crashes can be caused by environmental modulations which can result
in a larger population existing at any one time than the environment can now
support.)
THE CONCEPT OF A “FISHERIES CYCLE”
One of the usual truisms offered as a description of the “wild” fisheries is that, however technologically sophisticated, they are the modern equivalent of the neolithic hunter-gatherer mode of life that preceded territorial agriculture. This appears somewhat of an optimistic statement, in that the “primitive” societies in question had well developed strategies of seasonal harvesting of resources, area closures mediated by migrations to allow stocks to recover, a generally circumscribed number of harvesting strategies with very finite efficiences, and a form of population control that ensured that the predator population (themselves!) did not exceed in size the ability of the prey population both to sustain harvesting and to allow it to compete with other perhaps non-harvestable members of the ecosystem. None of these features are conspicuously common characteristics of most modern fisheries systems.
Artisanal fisheries have been put forward as examples of systems where the harvesters and prey are in some kind of loose symbiosis with each other. Evidently this was true for many coastal communities that depended very largely on the sea for their food, prior to the recent rapid advent of technological changes. Early methods of harvesting were either inefficient or only exploited a small (inshore) fraction of the stock. It is certainly less true with the advent of new technologies (e.g. outboard motor, monofilament gear, etc.). We may even have some serious doubts that the above concept of equilibrium (viewed as stasis or roughly constant population sizes of predator and prey) was particularly common even for aboriginal artisanal fisheries - particularly if dependence on a very few prey items increased the possibility of oscillations in population size of predator. (Oscillations of this kind would be less likely or drastic in their effects if a variety of prey types could be harvested which, of course, is usually the case with artisanal fishermen.)
Given the considerations described so far, it may help the deliberations of the consultation, on the question of regulation of fishing effort and mortality, to be presented an alternative working hypothesis to the equilibrium model of fisheries. As such, the following provides a very generalized description of what is often loosely referred to as the “fisheries cycle”. (Similar classifications have been prepared earlier by other workers: e.g. Kesteven, 1973).
The idea that there may be stages of growth and decay in fisheries systems has often been left unstated, perhaps largely because it seems too obvious to formalize as a hypothesis but perhaps also because of wide individual variations that make identifying the stages and duration of such a cycle difficult and variable, both in different fisheries and in the historical succession of events in the same fishery.
The concept of a cycle which does not have a fixed periodicity is in fact somewhat of a misnomer mathematically, but the term is retained because it corresponds best to popular usage of the word “cycle”. Such a conceptual model may prove a useful descriptor of the system even if, like other similar mental constructs used elsewhere (e.g. the Wall Street ‘cycle’), it can lead to problems if followed without a certain degree of healthy scepticism. The period of the cycle will be related in this case, of course, to the active life span of the oldest component in the system - that is the fleet and the fishermen.
The proposition put forward here is that the fisheries cycle is a sequence of events that probably occurs in a more or less extreme form in any (particularly single species) fishery in the absence of effective management. Each new ‘cycle’ is initiated by a new wave of over-investment in the fishery (Figure 8).
The sequence of initial over-investment, rapid growth of mortality levels to those in excess of most conventional optima, subsequent departure or loss of fishing units without replacement, final decline in effort and subsequent recovery of catch rates and stock size to a level where a new cycle is initiated, is suggested as the null hypothesis against which fisheries managers may measure their performance.
In this sense, the objective of effective management is presumably to attempt to “freeze” effort and mortality levels in some favourable transitional state as long as possible and to minimize the duration or destructive impact of less favourable stages in the cycle.
Basic to the above statement is the proposition that it is unwise to assume that favourable fishing conditions are necessarily stable. Also implied here is the prediction that particular types of interventions or management measures will not be equally effective at all stages in the evolution of a fishery. This question seems to merit some discussion by the Consultation since it has implications for both fisheries management and development.

Figure 8a An idealized fisheries “cycle” showing trajectories of some important variables

Figure 8b
Historical landing trends for the Chilean hake (Merluccius gayi gayi) (from Aguayo and Young, 1982) showing application of a similar classification of the fishery into stages, using the scheme proposed by Kesteven (1973).

Figure 8c
Historical data series of catch, effort and catch rate for the same stock, from Aguayo and Young (1982). It seems that following the first cycle that ended with declining yield, effort and initially catch rate in the early 1970s, a new cycle of rapidly growing effort, well in excess of potential yield increases, began at the end of this decade. Judging from this figure, slightly increasing catch rates in the mid-70s may have played some part in triggering this excessive response, but interactions with counts in other Chilean fisheries in the 1970s were also important.
THE PRE-INDUSTRIAL PHASE
Many new industrial fisheries arise because some artisanal or sport fishery, or the by-catch from a fishery directed at some other resource, indicated the existence of a larger resource which these fisheries were unable to exploit fully. As noted earlier, the start of industrial-scale harvesting usually follows recognition of an economic opportunity by a few individuals prepared to risk capital in the new venture. Their success over the last few years of this stage presumably then attracts larger funding, either governmental, private or international, leading directly into an expansion phase.
THE EXPANSION PHASE
Perhaps because either decisions in the expansion phase of investment in fisheries development are taken independently but during the same short interval by a number of individual investors or fishermen and/or because the time lag between the investment decision and new boats or plant coming “on-stream” is fairly prolonged, there is in consequence a tendency for over-capitalization to occur in the expansion phase. As a result, there is an effort overshoot relative to that level of capital expended and effort exerted which would achieve the best overall level of benefits for the industry as a whole. Although the precise event which turns off the flow of investment in the later years of the expansion phase may not be a simple one, feedback of information on performance of the fishery is often masked by random fluctuations and, as illustrated earlier, takes time to be accepted and acted upon. One way of defining the end of this phase is when the originally high average catch rate and benefits per unit effort for the fleet fall below some preset figure. The Consultation is invited to consider what events in fact lead to the switching off of effort in fisheries they are familiar with. In the example given, this is shown as corresponding to half the original unexploited biomass of the stock but this may be far from generally the case.
Two typical types of situations may be seen in the early development of a fishery:
If a more ordered “autochthonous” development of an industrial fishery has been followed (i.e. as an outgrowth from an existing small-scale industry), a cross-section of the industry at this time will reveal a bimodality in the harvesting sector and possibly also in the processing and marketing sectors. There will be on the one hand a fleet of small vessels, crewed by inhabitants of coastal communities with both boats and crew showing a broad cross section of age groups, possibly dominated by older fishermen and fishing with traditional gear including handlines, various types of seine and fixed gears, each of which has its own selectivity for species and size, and where a pronounced territoriality in areas fished is evident. Marketing is likely to be of fresh fish and preserving the catch restricted to traditional methods, including drying, salting, etc. On the other hand the industrial fishery, made up of new vessels, will make up a prominent and separate section of the fishery. The crews of the industrial vessels may in part come from the same coastal communities but are likely to be younger and may include a proportion of non-locals with particular skills not readily occurring in the traditional coastal community.
It is frequently the case that the industrial sector has been grafted onto a societal and economic background where the resource in question was relatively unknown previously. Examples are provided by joint ventures with foreign companies for deep-sea resources, where local participation is still minimal and where the distant-water company still has a monopoly of economic resources, equipment and skills.
Early in this expansion phase, particularly in case 1) above, it is likely that gear and other conflicts between artisanal and industrial fleet components will remain minimal. With respect to markets, since fish may still be in relatively short supply and high priced (especially for the export market in communities distant from the coast and not formerly served by the marine artisanal fishery), the degree of conflict between markets for these two sectors of the fleet initially should not be extreme.
THE MATURE PHASE
Stock abundance will soon begin to decline in the main fishing areas but to some extent these declines are likely to be compensated for by the location of pockets of high abundance, a better understanding of seasonal fluctuations in availability patterns, increased effort per unit vessel and improved fishing skills of participants in the fishery. Learning factors will come to play a major part in maintaining catch rates at high levels, despite generally lower abundance levels.
Nonetheless, a decline in retail prices towards the end of this phase may result partly from greater supply and partly because of competition within the industrial section or because of economics of scale (in processing and distribution). This may have an adverse impact on the artisanal fishery if the latter shares the same resource and market sectors. We may note that this adverse impact and the poor resource condition that underlies it will tend to persist if subsidies are used as a means of maintaining surplus effort in the fishery in this phase and in the next.
Towards the end of this phase, catch rates for the industrial sector will have dropped significantly (perhaps to less than half of the initial catch rate) and the average size of fish caught will have declined. More irregularities in abundance of the smaller sizes (recruits) may be evident now, since not only is stock replenishment likely to be more irregular but, because new recruits now play a larger role in the catch, dependence on the incoming year-class strength is more evident.
THE SENESCENT PHASE
Catch per hour fished will now be generally lower than formerly and greater fishing effort exerted per day per unit vessel towards the end of the last phase will, to a larger extent, be compensated for by the decommissioning of older fleet units and of those that are unable to compete successfully in a less favourable environment. Towards the end of this stage, the departure of older fishing units from the fleet will be accelerated by more frequent mechanical problems and increased repair costs, which will begin to bring down the effective number of fishing days in the season for a given fleet size. A decline in the total landings at this stage will probably lead to increased market prices. If this occurs, it is possible that the artisanal fishery may experience a resurgence by capitalizing on its lower costs and on the existence of an expanded market and perhaps also on the improved availability of rather larger size groups to line and trap fisheries, as opposed to less selective (e.g. trawl) methods. In contrast to the first phase, we may now find some of the better young fishermen moving into the artisanal fishery and building new boats at the same time that the age of both boats and fishermen in the industrial fishery is increasing. This improved economic performance of the small-scale sector may then lead to another investment cycle, as the industrial sector and the more successful artisanal fishermen reinvest in larger industrial vessels in response to higher prices and abundance.
“PULSE” FISHING AND ROTATIONAL HARVESTING
We can see the rapidity with which effort can be brought to bear on a new resource in its most extreme form for some distant water fleets. Here the strategy of “pulse fishing” which removes a large part of the fishable population in a few seasons is fundamentally valid only under two presumptions:
Either: a) There exist other similar resources that can be harvested in rotation when the present one is cropped down, allowing it time to recover, or b) the economic return from a single cycle is adequate for population collapse of the harvested population to be an acceptable risk.
The new year classes that, it is presumed, will enter the fishery several years following pulse fishing under 1-a) will be more likely to reach optimal harvestable size in the same season than under continuous “equilibrium” harvesting, thus avoiding “wastage” due to harvesting a mix of age groups, some of which are harvested before or after the optimum age.
This latter point is presumably the basis on which some theorists have argued for this being a more efficient form of harvesting from a yield-per-recruit point of view. The following considerations suggest that, although this may have been logical for long-range fleets in the early days of distant water fishing, it should be applied with caution within any given national jurisdiction:
Properly applied, it presupposes the existence and feasibility of at least as many rotationally closed areas as the mean number of years in the life span of the species from birth to harvesting (and reproduction). (If recruitment fails in a given year, this will be of course too few years!) One other prerequisite is that the fleet size needed be relatively small, but property rights to the resource exclusive and properly enforced. Apart from some intertidal fisheries (e.g. oysters, clams), this seems rather infeasible unless the population density of fishermen is very low.
The impact of such intensive harvesting may lead to species-successional changes which result in some (less desirable?) species filling the vacant niche.
Especially if b) occurs, the disruption of employment and of supply and markets and of the return on existing plant, that failure of this system implies, may be unacceptable.
SELF-REGULATORY MECHANISMS
In the absence of a formal management system controlling entry to the fishery, effort expanded or total removals (quotas), it has already been suggested that fishing cycles will be initiated by periodic rapid over-investments, leading to oscillation in the system and consequent economic failure or emigration of a significant proportion of the fishing units later in the cycle. In this sense, the system is self-compensatory but is likely to lead to disruptions in the biological system supporting the fishery, not all of which may be reversible in the short term. If we are discussing a ‘mature’ fishing area where fleet diversification is already well advanced, or an area where the peak periods of production from different resources are in phase with one another, transfer of vessels between component fleets may not be easy, particularly for those economically less efficient units displaced from the main fishery, since the skills, fishing gear and specialized boats needed to compete in an existing fully developed but different fishery may not be adequate. We may even suggest that the frequently suggested panacea for overfishing, namely diversification into other fisheries, is much less possible than formerly and stems from some rosy “racial memory” of pre-EEZ times, when vessel mobility between resources and areas was much easier for the industrial fishery. Even in the (progressively less frequent) cases where unexploited resources exist, there will be a whole range of specialized handling and marketing problems to overcome in addition to problems with the mechanics of effective capture.
In general, multi-purpose fishing ventures would seem to have a better chance of retaining stable earnings and be less likely to perturb the production system than individualized single-species fisheries. Paradoxically enough, however, fishing methods and gear that are more selective in the size and species harvested may allow a better ‘control’ of the overall multi-species resource, by selectively cropping down the species that are highly abundant in a given year, without wasteful and excessive rates of harvesting being exerted incidentally on a “by-catch” species that happens to be less abundant in a given year.
If the inevitable mismanagement that occurs from time to time, even with the best intentions, is likely to lead the fishery into an over-investment situation, multipurpose vessels and fishermen offer some possibility of diverting effort. Contrarywise, it may be useful to adopt policies that encourage multiple livelihoods such as the farmer-fishermen, so that effort may be diverted at such times without undue economic hardship.
THE CONCEPT OF FISHERIES EQUILIBRIUM IN MULTISPECIES FISHERIES
If we have found some difficulties in postulating the existence of an equilibrium condition in single-species fisheries, this difficulty is further emphasized when the separate elements of a multispecies fishery are considered.
Even if we take the unrealistic but simple concept of a multispecies fishery as a sum of the resultants of a series of individual fisheries, each with their individual response to fishing, we soon run into difficulties as illustrated in Figure 9. Clearly (in the case of a symmetrical, e.g. Schaefer model), we only need to exceed 2fMSY for the most ‘fragile’ species for the “reversibility” of the system to decreases in effort to be lost. Despite its unreality, this simple model in fact suggests that the maximum combined yield from the system should be attained with a level of fishing effort that is lower than that which drives the most susceptible species to extinction. This appears prudent, particularly since this species may play an important role in the system, but is probably a difficult condition to meet in terms of management. However, ignoring this criterion will almost certainly result in other changes in the species composition of the catch which cannot easily be described as corresponding to equilibrium conditions.

Figure 9
The difference in response to fishing between total production and fishery yield

Figure 10
A Illustration of change in overall yield and catch rate in a multi-species trawl fishery with
progressive increase in effort, showing how the fishing mortality rate yielding maximum
sustainable yield is progressively exceeded for species 1 to 5 in turn as effort increases
(from Caddy, 1980).
Note: Beyond fMSY in the example, the reversible nature of the process is presumably
lost, since species 1 is now extinct. In this example (and it is probably generally valid) the
overall “multi-species MSY” (fMSYT) is reached early on in the series of MSYs (in this case
fMSYT = fMSY).
B A rapid drop-off in catch rate slowing subsequently is predicted with effort, the catch species composition changing continuously with effort.
When we consider biological interactions between the different fish in the catch, the picture becomes almost impossibly difficult if more than two or three species are involved.
One factor that needs to be borne in mind in regulating fishing is that the fishing effort will have an impact not only on the species being harvested but also indirectly on its natural predators, prey or competitors, and the equilibrium between them.
This is because the population size, biomass and age structure of an unexploited resource at any given time is a function of its natural death rate, which in turn is caused by the larger predators in the ecosystem. This resource in turn is a controlling factor on population size of those species making up major items of its food or those with which it competes for food and space. Harvesting the resource will then lead to changes in competition for food and space, as well as changes in species biomass and biological production (production being defined as the amount of biomass incorporated into the body tissues of the species per unit time). This in turn will have impacts on the population size of those other species that interact with it.
This is illustrated in simple fashion by Figure 10, which also suggests one important consequence of fishing beyond the level of maximum biological production of the species or system, which is to the left of the fMSY level. At MSY the total production of the species is declining rapidly, and the decline will be more marked for species earlier on in the food chain whose natural instability is higher. Since a change in production is inevitable with fishing, we can expect some impacts of fishing on species to be inevitably transmitted through the food web to those other species trophically linked with it.
Figure 11 shows, in perhaps its simplest form, the kind of effects that can occur when one member of a food web is harvested. In this hypothetical example, a group of seven species are linked together as predators and prey by arrows showing the direction of movement of prey biomass being consumed and then incorporated into the generally smaller biomass of predators, finally ending up in the biomass of the top predator A. The diameters of the circles around each species are intended to be proportional to their biomass, and in the unfished population (Figure 11-A), we can see that, because roughly 75–90 percent of the food energy consumed is wasted or lost as heat during the energy transformations needed for biological functions such as swimming, excretion, etc., the size of the predator populations generally declines as we go upwards in the food web. It is also supposed in Figure 11-A, as indicated by the dotted lines, that the two species E and F show another type of interaction, either competing for the same food or for the same space (ecological niche).
Supposing now that an intensive fishery begins on species C, what general types of interactions are likely to occur? Firstly, if the biomass of C is significantly reduced, C will have less of an impact on the biomass of its prey species, in particular on species F and G. These may be liable, therefore, to eventually show an increase in population size if no other intermediate predator emerges. Because the population of F may now be competing more vigorously with species E for space or food, we may later see a decline in biomass of species E. Theoretically, this perturbation would be propogated indefinitely through the multitude of linkages in the marine food web, which are not all shown in Figure 11. In fact it seems likely that, unless the species in question is a key ‘substrate’ species for the whole community, the impact of fishing should die off rapidly with distance along the linkages of the food web. One reason for this (perhaps rather rash) statement is the multiple linkages in marine food webs (shown as short arrows in Figure 11) representing alternative unspecified food items for each species. A small increase in the proportion each species forms in the diet of any given predator could make up some of the “shortfall” due to over-exploitation of either its prey or of its prey's prey! The elasticity of food webs to these kind of effects is rather variable and, although in some systems almost complete elimination of a given predator by fishing (e.g. pike) may have little noticeable effect, since a smaller predator (e.g. larger perch) may move in to occupy its niche, in older more structured communities, e.g. coral reef or mangrove swamp fisheries, the “division of labour” between species is much more developed and heavy fishing on some components can have widespread impacts.

Figure 11
Simple unexploited food web for species A-G; solid arrows show flow of biomass from predator to prey with diameter of circles corresponding to species biomass. (Solid arrows without origin correspond to unspecified prey species, and dashed arrows inside dotted outline indicate competition between species E and F for space, food, etc.)
A monospecific fishery for species C is now in operation. The thickness of arrows is proportional to rate of flow of material from prey to predator or, conversely, degree of control exerted by predator on prey.
CONCLUSIONS
Granted that a great deal more could be done to document the point of view expressed here, it seems to suggest the following practical consequences that can be compared against the experience of fisheries managers:
We cannot expect species close to the bottom of the food chain and/or dependent on only one or two main food items to necessarily show roughly constant population sizes or to be manageable exclusively on the basis of equilibrium models. Information on the environment and the incoming level of recruitment will be essential for these kinds of species. Especially for short-lived pelagic species in oceanographically unstable regions, we can expect populations to show very wide fluctuations in numbers.
Fluctuations in biomass and, even more so, in production will tend to be “damped out” somewhat as we move towards the top of the food chain (e.g. cod, tunas, hakes, halibut, groupers, etc.) so that near-equilibrium conditions may be more safely assumed to apply for these organisms, especially if they are multi-age-group species.
All other things being equal, stocks of fish close to the centre of their range and remote from areas of environmental instabilities (e.g. upwelling zones), and which are not reliant on only a few food items, will tend to be less liable to population instabilities and be more ‘manageable’ using equilibrium yield models than the converse case above.
A more or less regular fluctuation of abundance may show up in fisheries landings from stocks of many species which are otherwise relatively stable in population size. Apart from long-term changes in environmental parameters that can affect stock size directly or via population of predators, prey or competitors, a second major cause of fluctuations or fisheries cycles in landings is caused by periodic over-investment in fisheries. These two types of consideration do not necessarily act independently, nor are they easy to distinguish. Concentrating now on those fisheries for species whose unfished populations are relatively stable, but which show periodic fluctuations (as a fisheries ‘cycle’) under exploitation, the following working hypotheses are proposed for discussion:
One extra unit of fishing effort or one unit of investment expended on vessel and plant construction will not yield the same results in each of the various phases of the fisheries cycle described.
If this is so, and it certainly merits discussion, recognition even roughly of the current phase of the fishery is of potential benefit to both the participants as well as the managers of fisheries.
A second prediction stems from the observation that a degree of overshoot of effort in early stages of the investment cycle is inevitable, particularly if the effort build-up is too rapid to determine its impact on the resource. This prediction can be expressed as follows:
The degree of departure from “equilibrium” conditions and the amplitude of subsequent perturbations in the exploited system will be related to the rate of increase in fishing effort and mortality and the rate of investment during the expansion of a fishery. A visual analogy to this statement can be seen in Figure 12, which shows a transition to periodic population ‘crashes’ with increasing intensity of fishing, particularly if applied during the early expansion phase of the fishery. Similar effects can also occur if environmental changes affect the carrying capacity of the environment on the annual recruitment.
In fact, the initial investment phase, if slowed and spread over a number of years with time for feed-back to occur, will for those otherwise more stable fisheries reduce the possibility and extent of effort over-runs.
Although the speed of mobilization of effort has increased, the response time for managerial action is still slow. Such long lag times can be shown to have a significant feedback in causing cyclic behaviour in the fishery system.
If the above principle is correct, it suggests two things:
That the time scale that fisheries managers should envisage operating within should be considerably longer than the usual day-to-day management “adjustments” that occupy so much of a manager's time, and should be more related to the half-life of the oldest components in the system (the boats and the fishermen).
That the most important and far reaching decisions are made in the expansion phase of the fishery, because of the existence of a so-called “rachet principle” in fisheries systems. The rachet principle notes that it is far easier to increment the number of vessels in the fleet and the effort they exert than to remove them when this input proves unfavourable. This stems from the fact that: a) the average working life of vessels and the fishermen that crew them are in excess of the average duration of life cycle of the resource they are harvesting, and b) that the alternatives for alternative employment of fishermen (or vessels) are now generally very limited, especially within smaller EEZs or other national management units.
Although little attention has been paid to the question of the average life time an individual vessel spends in a given fishery, we may hypothesise that the “survival curve” for a particular type of vessel to a given fishery will reflect the past degree of stability as well as the rate of renewal of investment over the past period of years. Thus, an age spectrum of boats where many are of the same age should indicate a more broad cyclic or unpredictable fishery than if the number of boats falls off steadily with age, due to a steady decommissioning or emigration to other fisheries being balanced by a constant rate of replenishment by new boats.
This leads to one other observation, namely that devoting some time to analysing the characteristics of the fleet (and the crew), in designing statistical systems for a fishery, would give a better perspective to the information collected. This applies particularly to the collection of economic information, since the rent extracted from a given resource by a particular fishing or processing unit can presumably only be determined if all costs and expenditures over its life span are considered. To attempt to obtain information either exclusively from the early expansion phase, when catch rates are high but rates of capital investments are also high or, alternatively, from the later phases when catch rates may also be recovering but costs of repairs and problems with crew turnover are quite different, will not in either case provide a clear picture of what is going on. In this sense, the idea of economic sampling within a fisheries cycle, in which a group of vessels entering a fishery during a brief period of years are followed as a unit throughout their life span in the fishery, should give a better chance of arriving at unambiguous answers on the economies of the system.
REFERENCES
Aguayo, H., M. and U. Zaides Young, 1982 Determinacion de los factores que han incidido en los cambios de la abundancia relativa del recurso merluza comun (Merluccius merluccius gayi) en el periodo 1968–1981. Santiago, Chile, Instituto de Fomento Pesquero. Documento informal
Beverton, R.J.H. and S.J. Holt, 1957 On the dynamics of exploited fish population. Fish.Invest.Minist. Agric.Fish.Food G.B.(2 Sea Fish.), 19:533 p.
Caddy, J.F., 1979 Long-term trends and evidence for production cycles in the Bay of Fundy scallop fishery. Rapp.P.-V.Réun.CIEM, 175:97–108
Caddy, J.F., 1980 Surplus production models. In Selected lectures from the CIDA/FAO/CECAF Seminar on Fishery Resource Evaluation. Casablanca, 6–24 March 1978. Rome, FAO, Canada Funds-in-Trust, FAO/TF/INT/180(c) (CAN) Suppl:29–50
Clark, S.H. and W.J. Overholtz, 1979 Review and assessment of the Georges Bank and Gulf of Maine haddock fishery. Woods Hole, Mass., NMFS/NE Fishery Center. Lab.Ref.Doc. (79-05): 36 p.
Clark, S.H., R.J. Essig and D. Hansford, 1979 Gulf of Maine northern shrimp - current status and future outlook. Woods Hole, Mass., NMFS/NE Fishery Center. Lab.Ref.Doc. (79–51):16 p.
Daan, N., 1980 A review of replacement of depleted stocks by other species and the mechanisms underlying such replacement. Rapp.P.-V.Réun.CIEM, 177:405–21
Dragesund, O., J. Hamre and Ø. Ulltang, 1980 Biology and population dynamics of the Norwegian spring-spawning herring. Rapp.P.-V.Réun.CIEM, 177:43–71
Ekeland, I., 1977 La théorie des catastrophes. Recherche, 8:745–54
Gilliland, R.L., 1982 Solar, volcanic and CO2 forcing of recent climatic changes. Climatic Change, 4:111–31
Hennemuth, R.C. and S.M. Avtges, 1982 Effects of variability of recruitment on management advice. ICES Pelagic Fish Comm. CM. 1982/H:22:4 p. (mimeo)
Holden, M.J., 1978 Long-term changes in landings of fish from the North Sea. Rapp.P.-V.Réun.CIEM, 172:11–26
Johnson, L., 1981 The thermodynamic origin in ecosystems. Can.J.Fish.Aquat.Sci., 38(5):571–90
Kawasaki, T., 1980 Fundamental relations among the selections of life history in the marine teleosts. Bull.Jap.Soc.Sci.Fish., 46(3):289–93
Kesteven, G., 1973 Manual of fishery science. Part 1. An introduction to fishery science. FAO Fish.Tech.Pap., (118):45 p.
Klima, E.F., 1976 A review of the fishery resources in the Western Central Atlantic. WECAF Stud., (3):77 p.
Kondo, K., 1980 The recovery of the Japanese sardine - the biological basis of stock-size fluctuations. Rapp.P.-V.Réun.CIEM, 177:332–54
MacArthur, R.H. and E.O. Wilson, 1967 The theory of island biogeography. Princeton, Princeton University Press
Methot, R.D. and L.W. Botsford, 1982 Estimated pre-season abundance in the California Dungeness crab (Cancer magister) fisheries. Can.J.Fish Aquat.Sci., 39(8):1077–83
Moran, P.A.P., 1953 The statistical analysis of the Canadian lynx cycle. 2. Synchronization and meteorology. Aust.J.Zool., 1(2):291–8
Newman, G.C., R.J.M. Crawford and O.M. Centuruer-Harris, 1976 Stock assessment of the hake (Merluccius capensis and Merluccius paradoxus) on the Cape of Good Hope fishing grounds. Collect.Sci.Pap.ICSEAF/Recl.Doc.Sci.CIPASE/Colecc.Doc.Cient.CIPASO, (3): 141–50
Parsons, L.S. and D.G. Parsons, 1975 An evaluation of the status of ICNAF Divisions 3P, 3D and 3LN red fish. ICNAF Res.Bull., (11):5–16
Saetersdal, G., 1980 A review of past management of some pelagic stocks and its effectiveness. Rapp.P.-V.Réun.CIEM, 177:505–12
Schumacher, A., 1980 Review of North Atlantic catch statistics. Rapp.P.-V.Réun.CIEM, 177:8–22
Serchuk, F.M., et al., 1978 Summary and review of the 1978 assessment and status of sea scallop (Placopecten magellanicus) populations off the northeast coast of the United States. Woods Hole, Mass., NMFS/NE Fishery Center. Lab.Ref.Soc. 78–45:26 p.
Shepherd, J.G., J.G. Pope and R.D. Cousens, 1982 Variations in fish stocks and hypotheses concerning their links with climate. ICES Mini Symposium. CM.1982/GEN:6–22 p. (mimeo)
Skud, B.E., 1982 Dominance in fishes: the relation between environment and abundance. Science Wash., 216:144–9
Skuladottir, U., 1979 Comparing several methods of assessing the maximum sustaining yield of Pardalus borealis in Arnarfjordur. Rapp.P.-V.Réun.CIEM, 175:240–52
Soutar, A. and J.D. Isaacs, 1974 Abundancy of pelagic fish during the 19th and 20th centuries as recorded in anaerobic sediment of California. Fish.Bull.NOAA/NMFS, 72:257–73
Stevenson, D.K., 1981 A review of the marine resources of the Western Central Atlantic Fisheries Commission (WECAFC) region. FAO Fish.Tech.Pap., (211):132 p. Issued also in Spanish
Sylvain, C. and F.-R. Boudreault, 1969 Prediction des debarquements de homard aux Iles-de-la-Madelaine. 1. Methode de Box et Jenkins (1970). Québec, Canada, Ministère de l'Industrie et du Commerce, Direction des Pêches Maritimes, Cahiers d'information, 101 p.
Tanaka, S.A., 1980 A theoretical consideration on the management of a stock - fishery system by catch quota and on its dynamical properties. Bull.Jap.Soc.Sci.Fish., 46(12):1477–82
Troadec, J.-P. and S. Garcia (eds), 1980 The fish resources of the Eastern Central Atlantic. Part one. The resources of the Gulf of Guinea from Angola to Mauritania. FAO Fish.Tech.Pap., (186.1):166 p. Issued also in French
Vasil'Kov, V.P., N.G. Chupsheva and N.G. Kolesova, 1981 The possibility of long-term forecasting from solar activity cycles of catches of the saffron cod, Eleginus gracilis, in the Sea of Japan. J.Ichthyol., 20(4)1980:26–32
Weber, W., 1979 On the teurbot stock in the North Sea. ICES Demersal Fish Comm. CM.1979/G:12:7 p. (mimeo)
Western Central Atlantic Fisheries Commission (WECAFC), 1978 Report of the joint meeting of the Western Central Atlantic Fishery Commission Working Party on assessment of fish resources and Working Party on stock assessment of shrimp and lobster resources. Cartagena, Colombia, 18–23 November 1977. FAO Fish.Rep., (211):103 p. Issued also in French and Spanish
Appendix
A TENTATIVE CLASSIFICATION OF FISHERIES
Examples of each of the four categories are given in Figure 1 of the Appendix as a series of landing trends. First it was rapidly evident from even a short survey of the literature that, outside a few limited areas in the North Pacific and Atlantic (of which the North Sea makes up 75 percent of the cases), we have very few long-term series of landing data (over 40 years) for other parts of the world. As a result, we are still basically ignorant about the ‘typical’ long-term chain of events in fisheries from most of the areas of interest to developing countries, and hence any classification system such as proposed here is necessarily very tentative. Four categories are proposed for consideration:
1. “Steady State” Fisheries
This group of fisheries fits most closely the underlying equilibrium assumptions behind conventional fisheries theory. Examples include mixed groundfish fisheries in the North Atlantic, particularly the North Sea, and even some (but not all) individual species making up these fisheries. Even these fisheries are not immune from extrinsic perturbations caused by socio-economic factors, wars, overfishing and recruitment, but basically the biological production system is here relatively robust or fishing intensity relatively low or constant.
Example A - The North Sea Turbot Fishery :
Occurring principally as an incidental catch to other flatfish fisheries in the Eastern North Sea, the existence of a rather complete time series of catches shows rather nicely (Figure la of Appendix) some of the classic predictions of yield theory, namely a rise in landings due to pauses in fishing (the 2 World Wars), followed by a rather rapid decline to long term “equilibrium” fishing. The long-term landing trend (Weber, 1979), showing a gradual increase followed by a slow decline, again fits very nicely the classic picture of a resource yield responding positively then negatively to increasing effort which eventually exceeds that yielding the MSY for the stock.
Example B - Georges Bank Haddock :
Although fluctuations in landings of ± 50 percent of the long-term mean have been observed in this fishery, which has had a relatively irregular recruitment history, the general level of landings remained fairly steady until the abnormally large recruitment of 1964, which led to rapid increase in effort to well in excess of fMSY levels, followed just as rapidly by a collapse in the stock, leading to quota and other regulations on removals beginning in 1970. The point being made here is that, although management under equilibrium conditions was probably practical prior to 1964, this approach to managing the fishery will not again be possible until stock recovery is close to complete (Fig. 18 adapted from Clark and Overholtz, 1979).
Example C - Total North Sea Fish Landings :
It is characteristic of landing trends for many multispecies fisheries that they are less variable than most of the individual species components, although, as for Example A, the two interruptions due to the World Wars are again evident (Holden, 1978). The large peak beginning in the late 1960's appears to reflect the change-over in dominance from pelagic to demersal biomass that occurred around about this time.
2. Periodic Regular Fluctuations
Example D - Baleares Hake Fishery :
A strong periodicity in landings has shown up since 1940 for this and other species in the western Mediterranean, which is sufficiently regular for hake that a simple sine function with 13-year period is a reasonably adequate description of the landing trends (Figure 1-d of Appendix). The most likely explanation for the periodicity seems an extrinsic one: regular fluctuations of similar period have shown up in indices of solar activity. From the perspective of fisheries cycles, the period is sufficiently long that we can reasonably suppose that new entries to the fleet will tend to occur in the early period of each new cycle of abundance.
Example E - Bay of Fundy Scallop Fishery :
A 50-year series of data on this fishery for total landings and fleet size showed that much of the variation was due to a 9-year periodicity in scallop abundance (Caddy, 1977). An explanation in terms of extrinsic long-term tidal phenomena was proposed (the Bay of Fundy has close to the highest tidal range in the world). Again a simple sine function with changing amplitude was a reasonable description of landing trends and has proved a reasonable predictor of subsequent years of peak landings since put forward in the early 1970s. Here, there is evidence that peaks in fleet size lagged behind peaks in production for each cycle, as would be expected if new vessel entry followed early years of good abundance.
Example F - Californian Dungeness Crab :
These fisheries show a regular periodicity of about 10 years in the catch which so far has not been explained but is believed to be due to effects of environmental factors on recruitment and possibly also on availability to fishing (Methot and Botsford, 1982).
Example G - The Russian Pacific Fishery for the Saffron Cod (Eleginus gracilis)
In the Sea of Japan there is a fishery with a 13-year periodicity in the catches, superimposed on longer-term upward and downward trends in average production. Vasil'kov et al. (1982) attribute both the fluctuations and long-term trends to cycles in solar activity which have a similar periodicity, and refer to papers by other Russian workers on other Pacific and Atlantic stocks of cod, salmon and herring, for which various periodicities in landings have also been determined.
3. Fluctuations With Irregular Periodicity
This group probably contains the largest number of fisheries, although the explanations for the irregular (aperiodic) fluctuations in landings are sufficiently diverse that broad generalizations are difficult to make. Explanations may range from intra-or inter-specific species interactions and the recruitment fluctuations they produce, predator-prey models (with the fishery as the main predator - see earlier text), to environmental or economic fluctuations that do not show any particular periodicity.
Example H - The Norwegian Fishery for Juvenile Herring :
A series of five major peaks in landings occurred over a 40-year period (1930–1970) in this fishery that presumably corresponded to periods of better than average herring abundance or availability. The explanation for the earlier peaks in this fishery for predominantly juvenile herring is not available to the author, but Dragesund et al. (1980) indicate that the last and largest peak that preceeded collapse of the fishery corresponded to the introduction of ring net fishing techniques, thus fulfilling the conditions for a final (and catastrophic) fishing cycle.
Example I - Gulf of St. Lawrence (Magdalen Is.) Lobster Fishery :
An isolated fishery for lobsters where production has been shown to be correlated with the extent of annual freshwater run-off from the St. Lawrence Estuary at the time of reproduction. Heavy exploitation of an irregularly recruiting stock, largely harvested in its first year in the fishery, is probably responsible for wide landing fluctuations. Overall production cycles were initiated however in the early post-war years and in the late 1950s, coinciding with the increase in minimum carapace size, which increased potential yield to the fishery (Sylvain and Boudrealt, 1969).
Example J - The Georges Bank Scallop Fishery :
Several cycles are evident in the history of this offshore fishery: the first beginning in the 1930s with predominant participation by inshore-style vessels, the next major peak in landings in the mid-1940s begins with major US investment in offshore vessels. Following several good years of abundance, a new Canadian offshore fleet took over a large share of the harvest in the 1960s and 1970s. In the late 1970s and early 1980s, US offshore vessels from fisheries to the south of Georges Bank entered the fishery over a short period of years to initiate a new cycle of events (figure adopted from Serchuk and Wood, 1978).
4. Fisheries Showing Environmental and Ecological Instabilities
Several different mechanisms can be proposed for fisheries in which marked irregularities in production can occur, and historically these have also been shown in otherwise stable fisheries subject to massive over-exploitation (e.g. pulse fishing).
Considering, however, only those fisheries where factors other than just rapid stock depletion are the source of irregularities, we can recognize two main (but interrelated) types of causes: due to the direct effect of instabilities of the environment (as for example when oceanic current or upwelling systems move geographically or show amplitude fluctuations), and to biotic factors where competition, predation or disease results in one species being supplanted by another.
From a management point of view, these types of fisheries present serious problems. On the one hand, over-investment early in a new cycle of such unstable fisheries may prevent loss of harvestable biomass but leave a large investment in plants and boats idle following the fishery collapse. Alternatively, an over-cautious policy will lose significant possibilities for harvesting the stock. A two-tiered policy of moderate local vessel construction and joint-venture charter or licensing of non-national vessels seems appropriate here.
Example K - The California Pelagic Fisheries for Sardine and Anchovy :
A number of very large pelagic fisheries in different parts of the world have shown switches in dominance between one species and another, of the kind shown in Appendix Figure 1-k between sardine and anchovy (taken from Daan, 1980). Close proximity to a centre of biological production is the usual setting for such fisheries, such areas and such species close to the bottom of the food chain being particularly liable to instabilities. To some extent, the harvesting of these alternate resources can often be by means of the same fleet, although fishing methods and markets can differ, and mean that the change-over period effectively initiates a new ‘cycle’. The possibility of periodic catastrophes with or without fishing may exit.
Example L - The Japanese Sardine Fishery :
A notably variable oceanic system, that associated with the Kuroshio and Oyushio current system, which come fairly close inshore on the Japanese islands in some years, also show characteristic patterns of meandering that have been documented by Japanese scientists and have a pronounced influence on production in some key fisheries, particularly those for pelagics such as sardines (e.g., Kondo, 1980). As is evident from Appendix Figure 1-l, these effects are wide-spread and synchronized over a wide area, so that movement of boats to adjacent fisheries is not always a practical solution following collapse of a local fishery. Similar major current and upwelling systems with variable behaviour and influence on production are known, in particular that due to El Nino off Peru whose impact on the major local fishery for anchovies has been widely discussed.
Example M - The New England Shrimp Fishery :
Fisheries for species close to the fringe of their range may be expected to be more sensitive to environmental factors. Here, fishing for an Arctic species of shrimp is only possible in the southern part of its range when winter temperatures are low for a series of years, allowing stock build-up (Clark et al, 1979). This type of fishery is rather predictable and the requirement for control of fishing effort specifically for conservation of this type of species is secondary to the need to avoid economic losses due to over-investment in a temporary resource.
Example N - Pelagic Fisheries of the ICNAF Area :
Appendix figure I(N), from Schumacher (1980), is an example of how the possibility of applying high fishing intensities and switching rapidly between resources can result in successive peaks in production, in what may otherwise have proved relatively stable and sustainable fisheries if fishing intensity had been more moderate and invariant. Some major resources (e.g. Georges Bank herring) have suffered total extinction in this period, while for other (e.g. capelin stocks off the north-east coast of Canada), following initial heavy over-exploitation, the fisheries are now being more closely restricted. The point to be noted here is that steady state models are rather difficult to apply to these very intensive and short-term changes in fishing process. Many fisheries commissions dealing with industrial fisheries now have to place heavy reliance on direct measurements of annual stock size and recruitment, in an attempt to keep up with these types of accelerated exploitation patterns, rather than using models postulating existence of equilibrium conditions. The problem is that the principal tool for analysis of irregular populations where age composition is known is cohort analysis. However, this method is most uncertain for recent years, when management advice is mainly generated, and gives little guidance for the immediate future.
![]() | ![]() | ![]() |
![]() | ![]() | ![]() |
![]() | ![]() | ![]() |
![]() | ![]() | ![]() |
![]() |
Appendix Figure 1: Some examples of long-term landing data, illustrating a tentative classification into 4 main types of fishery