The presentations and discussions identified certain common occurrences and shared concerns as related to gender-sensitive local planning. In general the concept of decentralized planning is gaining ground in the countries that represented the region in the workshop, but institutional arrangements varied depending upon the country situation and openness of the political systems. Yet all the countries shared the concern that the capacity among the local planners was most often weak and the commitment to gender-sensitive planning was not robust. The nongovernmental organizations work at the local level to include women in development projects. Women's ability and willingness to articulate their needs and demand for resources is uneven across the region. The cultural factors that undermine women's knowledge of their right for equal participation are barriers for gender-sensitive local planning. The lack of sex-segregated data and the lack of capacity to apply the available information are also impediments to gender-sensitive local planning.
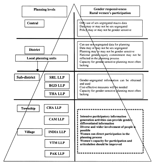
As shown in the schematic presentation below, the potential for integration of gender issues and direct participation of women in the planning process is higher under the devolution model (Figure 1). Particularly as planning moves to lower levels, opportunities for rural women's direct participation improve, as does the possibility to achieve gender-responsive planning. But the challenge posed relates to improving the capacity of the rural women for effective participation.

Figure 1. Planning levels and potential for people's participation, including women