Table 1. Annual nation-wide statistics depicting the incidence of registered occurrences of marine pollution between 1969 through 1974. “I” denotes pollution cases related to petroleum product (oil); “II” indicates other types of pollution unrelated to oil; “T” denotes sum total of I and II. Figures in parentheses show the number of red tide outbreaks. Data for the southwest sea areas is that compiled after reversion of Okinawa to Japan in 1972 (May 15th).
| Year | 1969 | 1970 | 1971 | 1972 | 1973 | 1974 | ||||||||||||
| Description | I | II | T | I | II | T | I | II | T | I | II | T | I | II | T | I | II | T |
| Region | ||||||||||||||||||
| Hokkaido, coast | 12 | 12 | 24 | 6 | 30 | 48 | 7 | 55 | 79 | 12 (2) | 91 (2) | 91 | 5 (2) | 96 (2) | 134 | 8 (2) | 142 (2) | |
| Honshu, eastern coast | 11 | 10 | 21 | 19 | 4 | 23 | 82 | 20 | 102 | 149 | 17 (8) | 166 (8) | 221 | 20 (8) | 241 (8) | 208 | 16 (2) | 224 (2) |
| Tokyo Bay | 51 | 51 | 49 | 7 | 56 | 258 | 1 | 259 | 324 | 11 (3) | 335 (3) | 240 | 5 | 245 | 246 | 12 (3) | 258 (3) | |
| Ise Bay | 25 | 1 | 26 | 19 | 19 | 281 | 58 (55) | 339 (55) | 235 | 49 (47) | 284 (47) | 175 | 59 (56) | 234 (56) | 191 | 43 (36) | 234 (36) | |
| Osaka Bay | 38 | 38 | 41 | 2 | 43 | 146 | 14 (4) | 160 (4) | 394 | 39 (28) | 433 (28) | 310 | 70 (67) | 380 (67) | 269 | 53 (44) | 322 (44) | |
| Seto Inland Sea (excluding Osaka Bay) | 63 | 1 | 64 | 114 | 61 | 175 | 253 | 149 (104) | 402 (104) | 480 | 136 (112) | 616 (112) | 538 | 129 (94) | 667 (94) | 531 | 141 (69) | 672 (69) |
| Honshu, southern coast | 24 | 24 | 35 | 4 | 39 | 99 | 15 (9) | 114 (9) | 104 | 10 (4) | 114 (4) | 119 | 25 (13) | 144 (13) | 72 | 13 (8) | 85 (8) | |
| Kyushu, coast | 32 | 2 | 34 | 32 | 3 | 35 | 77 | 3 | 80 | 114 | 4 (1) | 118 (1) | 115 | 42 (5) | 157 (5) | 104 | 41 (6) | 145 (6) |
| Japan Sea, coast | 17 | 21 | 38 | 16 | 4 | 20 | 56 | 54 | 110 | 48 | 17 | 65 | 87 | 22 | 109 | 93 | 33 (2) | 126 (2) |
| Sea areas, southwest | 56 | 5 | 61 | 164 | 23 (1) | 187 (1) | 137 | 21 (3) | 158 (3) | |||||||||
| TOTALS | 273 | 35 | 308 | 349 | 91 | 440 | 1300 | 321 (172) | 1621 (172) | 1983 | 300 (205) | 2283 (205) | 2060 | 400 (246) | 2460 (246) | 1985 | 381 (175) | 2366 (175) |
Table 2. Frequency of samples exceeding the environmental quality standards for total mercury according to geographical region in Japan.
| Metropolis, districts, and prefectures | Name of water body | Sample number | Number of samples | |
| [exceeding] the environmental | [lower than] quality standard | |||
| Hokkaido Pref. | Muka River | 7 | 4 | 3 |
| Akita Pref. | Yoneshiro River | 11 | 9 | 2 |
| Gumma Pref. | Vicinity of the Shibu River above the Tone River | 15 | 8 | 7 |
| Tokyo Metropolis | Edo River | 8 | 7 | 1 |
" | Ara River | 2 | 0 | 2 |
" | Shin | 10 | 0 | 10 |
" | Tama River | 5 | 4 | 1 |
" | Port of Tokyo | 34 | 32 | 2 |
| Yokohama City | Port of Keihin Yokohama | 13 | 10 | 3 |
" | 3 | 2 | 1 | |
| Kanagawa Pref. | Morito River | 3 | 2 | 1 |
| Nagano Pref. | Chikuma River | 10 | 9 | 1 |
| Gifu Pref. | Suimon River | 14 | 13 | 1 |
" | 4 | 3 | 1 | |
| Nagoya City | Oe River | 4 | 3 | 1 |
" | Port of Nagoya | 35 | 34 | 1 |
| Niigata Pref. | 15 | 14 | 1 | |
| Mie Pref. | Hanyu River | 4 | 1 | 3 |
| Osaka District | 6 | 3 | 3 | |
| Kyoto City | Tenjin River | 1 | 0 | 1 |
" | Nishitakase River | 1 | 0 | 1 |
| Osaka District | Sea areas of the Sennen headland | 22 | 21 | 1 |
| Hiroshima Pref. | Sea areas of the Otake headland | 10 | 9 | 1 |
" | Sea areas of the Onomichi headland | 3 | 2 | 1 |
| Kagawa | Gobou River | 5 | 4 | 1 |
| SUB-TOTAL | 25 bodies of water | 267 | 211 | 56 |
| Yamagata Pref. | Port of Sakata | 13 | 12 | 1 |
" | Sea area of the Sakata headland | 19 | 18 | 1 |
| Toyama Pref. | Port of Toyama | 3 | 2 | 1 |
" | A channel connecting to the Port of Toyama | 7 | 3 | 4 |
| Kyushu (5 prefectures) | Ariake Sea | 128 | 126 | 2 |
" | Omuta River | 1 | 0 | 1 |
" | Yasuhiro Sea | 82 | 78 | 4 |
" | Mina River | 2 | 1 | 1 |
" | Euchi River | 1 | 0 | 1 |
" | Port of Minamata | 6 | 3 | 3 |
" | Amakusanada Shimofukaezu River | 2 | 1 | 1 |
Table 3. Regions which Require(d) Sediment Removal Operation as a Countermeasure of Mercury Pollution.
| PREFECTURE | NAME OF WATER BODY | HG (PPM) IN SEDIMENT | REMOVAL STD (PPM) | ACTION TAKEN | ||
| min | max | av | ||||
| Hokkaido | 0.03 | 38.74 | 5.839 | 25 | Under critical survey | |
| Muka R. | 0.09 | 249.82 | 46.980 | 25 | " | |
| Shimizu R. | 384.25 | 25 | " | |||
| Toyomae R. | 218.53 | 25 | " | |||
| Aino R. | 0.33 | 52.71 | 19.256 | 25 | " | |
| Gumma | Vicinity of the Shibu R. above the Tone R. | 0.02 | 164.00 | 18.279 | 25 | Project completed |
| Chiba | Port of Chiba (off Ichihara) | 0.07 | 181.69 | 21.131 | 10 | Removal operation in progress |
" | Port of Chiba (off Kitasodeura) | 0.13 | 23.70 | 2.730 | 10 | Project completed |
| Tokyo Metropolis | Lower Sumida R. at Okubashi | 2.30 | 180.00 | 25.950 | 25 | Under planning |
| Kawasaki City | Keihin channel, near Central Chemical Co. | 1.10 | 17.50 | 8.242 | 7 | Project completed |
" | Keihin channel, near Showa Denko Co. | 2.20 | 207.70 | 76.240 | 7 | " |
| Nagano | Sewage of Okaya City | 0.38 | 95.00 | 47.690 | 25 | " |
| Gifu | Western main drainage channel (including Ogaki channel) | 13.00 | 180.00 | 66.250 | 25 | " |
| Nagoya | Oe R. | 59.00 | 627.20 | 301.510 | 25 | Removal operation in progress |
| Mie | Tanshyo R. | 3.5 | 110.0 | 35.875 | 25 | Project completed |
| Osaka | Torikai iro | 1.31 | 75.00 | 24.657 | 25 | Project completed |
" | Kanou iro | 2.93 | 1560.00 | 531.418 | 25 | " |
| Hyogo | Main Port of Takasago | 0.18 | 34.10 | 7.324 | 25 | " |
" | Mouth of the Shyoka R | 4.70 | 47.00 | 25.658 | 25 | " |
| Tokushima | Vicinity of the town of Mizui on the Naka R. | 0.19 | 34.00 | 9.921 | 25 | Under critical survey |
| Kagawa | Port of Sakaide | 0.21 | 61.00 | 10.080 | 40 | Under planning |
| Kitakyushu C. | Dokkai Bay | 0.76 | 34.40 | 7.850 | 30 | Projected completed |
| Oita | Upper Nizu R. at Unabarabashi | 0.22 | 47.00 | 9.267 | 25 | Under planning |
| Yamagata | Port of Sakata | 0.04 | 171.00 | 9.00 | 28 | Under preparation for removal operation |
| Toyama | Port of Toyama, a channel connecting with | 0.09 | 100.00 | 37.00 | 30 | Project completed |
" | Koyake R. | 0.03 | 220.00 | 21.60 | 25 | " |
| Yamaguchi | Port of Tokuyama | 0.07 | 31.59 | 4.63 | 15 | Under preparation for removal operation |
Table 4. Execution of self-imposed control upon the taking of fish polluted with PCBs.
| Geographic region | Enforcement date of self-imposed control | Objective fish species |
| Tokyo Bay, northern part | Dec. 28, 1972 | Striped mullet Sea bass |
| Seki R. system | Oct. 2, 1972 | All species |
| Naoetsu waterfront | Dec. 25, 1972 | All species |
| Tsuruga Bay | Jun. 2, 1973 | All species |
| Kobe City, water-front vicinity | Jun. 5, 1973 | “Konoshiro”, Konosirus punctatus Mackerel |
| Himeji City, water-front vicinity | Jun. 5, 1973 | Sea bass “Konoshiro” Striped mullet |
| Takasago City, water-front vicinity | Jun. 5, 1973 | All species |
| Iwakuni City, water front vicinity | Jun. 4, 1973 | Striped mullet Conger eel Bitterling “Konoshiro” |
| Aug. 27, 1973 | “Hiiragi” “Shimaisaki”, Therapon oxyrhynchus | |
| Magara R* | Aug. 21, 1974 | “Nigoi” [carp] Catfish |
| Kyoto area (Uji R. system) | Jun. 18, 1973 | Common minnow Cruscian carp |
| Seta R. | Jun. 14, 1973 | Common minnow |
| Lake Biwa | Jun. 14, 1973 | Common minnow Catfish |
| Oi R. | Feb. 20, 1973 | Eel |
| Lake Shinji* | Jul. 11, 1972 | Corbicula |
| Tenryu R.* | Jun. 3, 1974 | Dace |
| Sai R.* | Jun. 3, 1974 | Dace |
Data from the Fisheries Agency. Geographic regions marked with an asterisk denote those where self-imposed control has resulted from prefectural surveys.
Table 5. Results of a nation-wide survey on PCB pollution in water, 1972.
| AREA | PREFECTURE | NO. OF SAMPLES | NO. WITH PCBs | AV. (ppb) | MAX-MIN | |
| (1) | Rivers | Hokkaido | 6 | 2 | 2.5 | 2 – 3 |
| Tokyo | 18 | 1 | 0.5 | 0.5 | ||
| Yamanashi | 6 | 2 | 0.7 | 0.6 – 0.8 | ||
| 6 | 6 | 0.9 | 1.3.–16.3 | |||
| Gifu | 5 | 5 | 1.5 | 0.7 – 2 | ||
| 4 | 2 | 0.7 | 0.6 – 0.8 | |||
| 1 | 1 | 1 | 1 | |||
| Shizuoka | 1 | 1 | 2 | 2 | ||
| Aichi | 4 | 2 | 1.1 | 0.9 – 1.2 | ||
| Osaka | 2 | 1 | 0.5 | 0.5 | ||
| 1 | 1 | 0.5 | 0.5 | |||
| Hyogo | 3 | 3 | 5 | 3 – 6 | ||
| Tokushima | 14 | 11 | 2.0 | 1.3 – 4.2 | ||
| Fukuoka | 3 | 1 | 3 | 3 | ||
| 3 | 1 | 0.7 | 0.7 | |||
| 1 | 1 | 0.9 | 0.9 | |||
| Oita | 6 | 2 | 1.0 | 0.6 – 1.4 | ||
| 6 | 2 | 2.8 | 2.4 – 3.2 | |||
| TOTAL | 90 | 45 | ||||
| (2) | Sea Areas | Yamaguchi | 134 | 4 | 1.3 | 0.6 – 2.9 |
| Tokushima | 19 | 4 | 1.1 | 0.9 – 1.4 | ||
| Kumamoto | 1 | 1 | 0.6 | 0.6 | ||
| 1 | 1 | 0.7 | 0.7 | |||
| TOTAL | 155 | 10 | ||||
| (3) | Drainage channels | Iwate | 1 | 1 | 10 | 10 |
| 1 | 1 | 2 | 2 | |||
| Miyagi | 1 | 1 | 20 | 20 | ||
| 1 | 1 | 30 | 30 | |||
| Fukushima | 1 | 1 | 3 | 3 | ||
| 2 | 1 | 0.9 | 0.9 | |||
| Niigata | 3 | 2 | 2.1 | 0.6 – 3.6 | ||
| 2 | 2 | 36.5 | 19 –54 | |||
| Fukui | 2 | 1 | 1 | 1 | ||
| Gifu | 3 | 1 | 9 | 9 | ||
| 9 | 4 | 2.1 | 0.7 – 6 | |||
| 8 | 2 | 5 | 4 – 6 | |||
| Shizuoka | 2 | 1 | 0.5 | 0.5 | ||
| 1 | 1 | 6 | 6 | |||
| 1 | 1 | 17 | 17 | |||
| Aichi | 1 | 1 | 0.6 | 0.6 | ||
| 1 | 1 | 0.6 | 0.6 | |||
| Kyoto | 4 | 1 | 1 | 1 | ||
| Tokushima | 1 | 1 | 1 | 1 | ||
| Kagawa | 3 | 3 | 28 | 3.6 –76 | ||
| Kumamoto | 2 | 2 | 0.8 | 0.5 – 1 | ||
| 1 | 1 | 0.7 | 0.7 | |||
| Miyazaki | 2 | 2 | 6 | 1.9 –10 | ||
| TOTAL | 53 | 33 | ||||
Data from Environmental Agency
Table 6. Results of a Nation-wide Survey on the Quantities of PCBs in Sediments. (1972)
| Prefecture | Area | Number of samples | Average | Range (max-min) | |
| [A] | Shizuoka | Tagonoura | 9 | 59.8 | 7.5 – 130 |
| Aichi | Gomeiyosui | 5 | 107.3 | 18.3 – 300 | |
| Gamagori City | 26 | 26.8 | 0.1 – 170 | ||
| Azumao R. | 3 | 65.9 | 0.7 – 150 | ||
| Sana R. | 5 | 40.6 | 0.9 – 100 | ||
| Tokushima | Yoshinaga | 5 | 81.8 | 0.02– 386 | |
| [B] | Iwate | Iwai R. | 3 | 54.6 | 54.6 |
| Niigata | Ogisone R. | 6 | 34.3 | 1.9 – 62 | |
| Fukui | Tsuruga Port | 9 | 29.6 | 2 – 65 | |
| Shono R. | 6 | 17.7 | 0.4 – 55 | ||
| Gifu | Arata R. | 5 | 35 | 15 – 80 | |
| Hyogo | Shoge R. | 18 | 21.2 | 0.7 – 55 | |
| Nara | Noto R. | 2 | 25.6 | 0.1 – 51 | |
| Miyazaki | Hitotsuse R. | 29 | 6.7 | 0.01– 56 |
Data from the Environment Agency. Bracketed “A” are those areas where PCB concentrations exceeding 100 ppm have been found; “B” denotes those areas where concentrations were 50 to 100 ppm.
Table 7. Regulations on the Use of Agricultural Chemicals (As of Jan 15, 1975)
| REGULATION ON USE | AGRICULTURAL CHEMICALS | ENFORCEMENT DATE |
Designated as potentially “residual” due to adsorption or absorption in agricultural products | Lead arsenate | May 1, 1971 |
Endrin | " | |
| Deisgnated as potentially “residual” in soil | Dieldrin | " |
Aldrin | " | |
Designated as potentially “residual” in water | Telodrin | " |
Endrin | " | |
Benzoepin | " | |
PCP herbicide | " | |
Rotenone | " | |
| Prohibited | Organic mercury (excluding those for seed sterilization | Mar 1970 |
DDT | May 1, 1971 | |
TEPP | Jun 1, 1971 | |
Methyl parathion | " | |
Parathion | " | |
BHC | Dec30, 1971 | |
Heptachlor | Aug 9, 1972 | |
2,4,5-T | Apr 6, 1971 | |
Organic mercury for seed sterilization | Oct29, 1973 |
Data from the Environment Agency
Table 8. Changes in yields of some major fisheries (1960, 1965, 1970, 1973).
| YIELD (1000 tons) | |||||
| 1960 | 1965 | 1970 | 1973 | % | |
| Ocean Fisheries | |||||
Open ocean fishery | 1,456 | 1,733 | 3,429 | 3,963 | 37.0 |
Off-shore fishery | 2,111 | 2,787 | 3,275 | 3,944 | 36.0 |
Coastal fishery | 2,250 | 1,861 | 1,891 | 1,815 | 17.9 |
| Aquaculture (marine)1 | 380 | 549 | 790 | 7.4 | |
| Inland water fishery2 | 113 | 119 | 114 | 1.1 | |
| Inland water aquaculture | 33 | 48 | 64 | 0.6 | |
| TOTAL | 6,129 | 6,908 | 9,318 | 10,690 | 100.0 |
| Whaling (heads) | 20,395 | 16,251 | 11,268 | ||
Data from the “Production of Fisheries and Aquaculture Yearbook,” 1974.
Superscript “1” denotes mariculture of oyster, laver (Porphyra), pearls,
and yellowtail;
“2” denotes rivers and lakes.
Table 9. Damages to Cultured Laver (“nori”) Caused by Oil Pollution in Tokyo Bay (1967–1972).
| DATE | LOCATION | SOURCE | DAMAGES IN 1000 YEN | ||
| 1967 | Nov | 13–27 | Off Funabashi City | Waste oil from factories | 448,200 |
| Dec | 7–9 | Off Kisarazu City | " | 313,862 | |
| 1968 | Jan | 8 | " | " | 104,395 |
| Jan | 30–31 | Off Funabashi City | Spillage of fuel oil | 523,668 | |
| Nov | 29 | Off Kisarazu City | Waste oil | 25,434 | |
| Dec | 4 | " | " | 6,360 | |
| Dec | 6–8 | Coast from Sodegaura to Kisarazu City | Spillage of oil by tanker collision | 393,021 | |
| 1969 | Feb | 12 | " | Waste oil | 73,100 |
| Mar | 6 | Kisarazu City | Foul-smelling sludge from fuel refinery | 31,000 | |
| Mar | 7 | Futsu City | Spillage of fuel oil from an iron factory | 49,419 | |
| 1970 | Apr | 10 | Sodegaura | Alkyl benzene | 43,725 |
| 1971 | Dec | 4 | Kisarazu City | Fuel oil | 791,960 |
| Dec | 21 | Tateyama City | Fuel oil | 13,000 | |
| 1972 | Jan | 16 | Futsu City | Fuel oil | 8,500 |
Data from the Environmental Agency.
Table 10. Pollution Trends in the Seto Inland Sea During the Past Several Decades
| UNITS | 1952 | 1972 | |
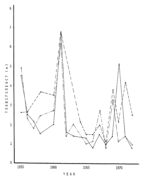
| Transparency | (m) | 8.78 | 6.33 |
| NH3-N | (μg-at/1) | 2.39 | 3.62 |
| NO2-N | " | 0.30 | 0.84 |
| NO3-N | " | 1.03 | 2.83 |
| PO3-P | " | 0.46 | 0.54 |
Data from Governors' Conference on Environmental Protection. Values represent means of all measurements taken during water quality survey in the Seto Inland Sea.
Table 11. Water Quality of the Major Industrial Areas in the Region of the Seto Inland Sea.1)
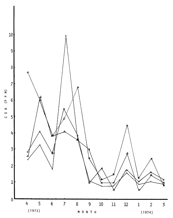
| COD (ppm)2) | ||||
| VICINITY | Osaka | Kobe | Mizushima | Tokuyama |
| SAMPLING STN. | Port of Osaka | Kobe-Ohashi | Port of Mizushima | Sennoshima |
| 1970 | 4.8 | 1.33) | 2.7 | 5.14) |
| 1973 | 3.4 | 0.8 | 1.5 | 2.6 |
| 1974 | 2.3 | 1.6 | 1.3 | 2.3 |
1) Data from the Environment Agency
Table 12. Surveillance Results of Environmental Quality Guidelines in the Seto Inland Sea and Nation-wide.
[a] Incidences at which guidelines were exceeded for health categories.
| REGION | YEAR | NO. OF SAMPLES EXAMINED (E) | NO. WHICH EXCEEDED GUIDELINE LEVEL (F) | RATIO F/E (%) |
| Seto Inland Sea | 1971 | 28,393 | 63 | 0.22 |
| 1972 | 44,432 | 92 | 0.21 | |
| 1973 | 49,660 | 112 | 0.22 | |
| Nation-wide | 1971 | 89,074 | 504 | 0.57 |
| 1972 | 167,368 | 476 | 0.28 | |
| 1973 | 181,072 | 411 | 0.23 |
[b] Percentage of those areas which conformed to the environmental quality guidelines.
| Seto Inland Sea | Nation-wide | |||
| AREA | 1971 | 1972 | 1973 | 1973 |
| River | 45 | 46 | 47 | 53 |
| Lake | 0 | 0 | 33 | 30 |
| Sea | 60 | 80 | 79 | 84 |
Data from the Environmental Agency
Table 13. Percentages of COD Area Distribution in the Seto Inland Sea (1972 to 1974).
| RANGE OF COD LEVEL [PPM] | 1972 | 1973 | 1974 |
| <1 | 27.7 | 27.3 | 23.9 |
| 1.1 – 2.0 | 43.7 | 39.9 | 45.3 |
| 2.1 – 3.0 | 15.6 | 22.7 | 16.7 |
| >3.1 | 13.0 | 10.1 | 14.1 |
Data from Environmental Agency. Values were taken in May of each year.
Table 14. Red tide plankters which appeared in the Seto Inland Sea during outbreaks in 1974.
| Noctiluca | Haplodinium |
| Skeletonema | Thalassiosira |
| Gymnodinium | Gyrodinium |
| Olithodiscus | Cosinodiscus |
| Prorocentrum | Peridinium |
| Mesodinium | Nitzschia |
| Ceratium | Fibrocapsa |
| Heterosigma | Tricodesnium |
| Eutreptilla | Rhodomonas |
| Leptcylindras | Asteromonas |
| Cheatoceras | Pyramimonas |
| Gonyaulax | Polyblepharides |
Table 15. Localities of the Seto Inland Sea where concentrations of PCBs detected in fish exceeded the allowable limit of 3 ppm.
| LOCATION OF CATCH | SPECIES OF FISH | LEVEL OF PCBs (ppm) |
| Osaka Bay, Southern Coast | Mackerel | 5 |
" ,off Kobe | Conger eel | 8 |
| Kelp greenling | 4 | |
| Harima Nada, off Takasago | Gray mullet | 6 |
| Konoshiro | 6 | |
| Hiroshima Bay, off Iwakuni city | Common sea bass | 3 |
| Yellowtail | 4 | |
| Beppu Bay, estuary of the Oita River | Eel | 43 |
| Young bass | 3 |
Data from an investigation of the actual state of PCB pollution, conducted by the Environmental Agency and Fisheries Agency in 1972.
Table 16. Pollution Sources of Mercury and its Environmental Levels in the Seto Island Sea
| Pollution Source and Environment | Off Tokuyama | Off Niihama | Off Mizushima |
| Source of Mercury Pollution | Tokuyama Soda Co. | Sumitomo Chemical Co. | Kato Denka Co. |
| Toyo Soda Co. | Ryonichi Co. | ||
| Okayama Kasei Co. | |||
| Engaged in production of caustic soda by a mercury electrolysis process. | |||
| Total Amount of Mercury Utilized (tons) | 1,261,800 | 32,900 | 612,800 |
| Amount of Mercury Consumption (tons) | 380.8 | 191.2 | 30.1 |
| Amount of Mercury | 6.64 | 0.7 | 0.76 |
| Discharged into the Sea (tons) | |||
| Fish & Shellfish | II | I | I |
| Water | I | I | I |
| Sediment | II | I | I |
I - Mercury concentration lower than guideline level (0.5 ppm)
II - Mercury concentration exceeding guideline level
[Data from Environmental Agency]
Table 17. Average Values of Heavy Metals in Oysters From Hiroshima Prefecture (from 1968 to 1972).
| HEAVY METAL | CONCENTRATION (ppm) |
| Arsenic | 0.45–1.84 |
| Copper | 15.4–28.3 |
| Lead | 0.1–0.4 |
| Zinc | 213–641 |
| Cadmium | 0.3–1.7 |
| Chromium | 0.02–0.05 |
| Mercury (total) | <0.02 |
Table 18. Area of Reclaimed Land in the Seto Inland Sea According to Prefecture (1955–1969).
| PREFECTURE | AREA (hectares) |
| Wakayama | 567.0 |
| Osaka | 2,631.6 |
| Hyogo | 2,725.6 |
| Okayama | 4,504.0 |
| Hiroshima | 1,890.2 |
| Yamaguchi | 973.3 |
| Tokushima | 118.0 |
| Kagawa | 1,667.9 |
| Ehime | 518.3 |
| Fukuoka | 726.0 |
| Oita | 1,316.9 |
| Total | 17,575.0 |
Table 19. Area of Reclaimed Land in the Seto Inland Sea According to Zone. Projected area of reclamation as of Dec 1, 1971.
| ZONE | AREA (hectares) |
| Kii Channel | 14 |
| Osaka Bay | 4,003 |
| Harima Nada | 2,904 |
| Bisan Seto | 4,133 |
| Hiuchi Nada | 1,943 |
| Aki Nada | 795 |
| Iyo Nada | 1,209 |
| Suho Nada | 54,400 |
| Total | 69,401 |
Table 20. Coastline Utilization of the Seto Inland Sea (1974)
| PREFECTURE | C O A S T A L S H O R E L I N E | SUB-TOTAL | TOTAL | ||||||
| NATURAL | SEMI-NATURAL | ARTIFICIAL | |||||||
| Main | Isl. | Main | Isl. | Main | Isl. | Main | Isl. | ||
| Wakayama | 44 | 29 | 20 | -- | 55 | -- | 119 | 29 | 148 |
| Osaka | 3 | -- | -- | -- | 123 | -- | 126 | -- | 126 |
| Hyogo | 72 | 220 | 155 | 30 | 35 | 14 | 262 | 264 | 526 |
| Okayama | 101 | 175 | 60 | 20 | 152 | 10 | 313 | 205 | 518 |
| Hiroshima | 31 | 359 | 68 | 204 | 270 | 179 | 369 | 742 | 1111 |
| Yamaguchi | 248 | 267 | 206 | 35 | 293 | 65 | 747 | 367 | 1114 |
| Tokushima | 48 | 53 | 43 | 10 | 27 | 0 | 118 | 63 | 181 |
| Kagawa | 74 | 182 | 46 | 31 | 155 | 73 | 275 | 286 | 561 |
| Ehime | 373 | 377 | 303 | 136 | 215 | 48 | 891 | 561 | 1452 |
| Fukuoka | 25 | 11 | 13 | 0 | 194 | 0 | 232 | 11 | 243 |
| Oita | 224 | 32 | 150 | 17 | 114 | 2 | 488 | 51 | 539 |
| Total | 1243 | 1705 | 1064 | 483 | 1633 | 391 | 3940 | 2579 | 6519 |
| Percentage | 19.1 | 26.2 | 16.3 | 7.4 | 25.0 | 6.0 | 60.4 | 39.6 | 100.0 |
Data from the Environmental Agency
Table 21. Production of Major Fishery Resources in the Seto Inland Sea (1972).
| RESOURCE | PRODUCTION (10,000 tons) | |
| Fish | 25.3 | |
| Shrimp | 5.5 | |
| Shellfish | 12.1 | |
| Seaweed | 0.7 | |
| Coastal Culture | ||
| Laver (“nori”) | 2.1* | |
| Oyster (without shell) | 2.6 | |
| Yellowtail | 0.6 | |
| Seaweed (“wakame”) | 1.5 | |
* billion sheets
Statistics from the Ministry of Agriculture and Forestry







FIG. 7. MAP ILLUSTRATING WATER DEPTH OF TOKYO BAY AND SURROUNDING GEOGRAPHICAL FEATURES.






S A M P L I N G S T A T I O N D E S I G N A T I O N

S A M P L I N G S T A T I O N D E S I G N A T I O N














































