One of the objectives of the survey was to get information about the annual yield of the reservoir. To obtain this information, questions were asked about the fishermen's fishing practices.
The gear used by the fishermen on the day of the interview was recorded, as also when they started fishing on that day and when they expected to finish. The total catch up to the time of the interview was recorded as well. The catches were recorded by number of fish, by species and size class. The number of days fished during the previous two weeks, the average length of these fishing sessions and the total catch during these two weeks were recorded. With this information the fishing effort, the catch per unit of effort, and the total catch could be calculated. Since this information was obtained over two-week intervals, fluctuations in fishing activities throughout the year could be detected.
The most important gear used at Sebaboleng dam were the hooks. In most cases these hooks were attached to a line without a rod. When rods were used they were in most cases simple sticks, only few people used modern rods with reels. During the survey, a spear fisherman was met only on two occasions. Only one person using a net was met. This analysis discusses the fishing practices for hook fishermen only and does not distinguish between hooks attached to lines only, sticks or rods with reels. The unit of effort used is one fisherman fishing with hooks for a period of one hour.
199 fishermen were interviewed by questionnaire during the survey. Several of them were met more than once, resulting in a total of 337 records. Table 4:1 below details the distribution of the number of records per fisherman.
Table 4:1 Frequency distribution of records per individual fisherman.
| number of records | frequency(%) |
| 1 | 67 |
| 2 | 19 |
| 3 | 7 |
| 4 | 5 |
| 5 | 0 |
| 6 | 1 |
| 7 | 2 |
| 8 | 0.5 |
| 9 | 0.5 |
| 10 | 0 |
| Total | 100 (n=199) |
From the data, it is clear that fishing is not a regular activity for most people. The enumerators were monitoring the reservoir every other week for the whole week throughout the year, and 67% of the fishermen were met during only one monitoring week.
The fishermen were interviewed only once during every monitoring week. This means that the total number of fishermen and the expected length of the fishing session is recorded directly during the monitoring week, but the number of days fished during that week by each fisherman was not recorded. All the fishermen were asked about the number of days fished during the previous two weeks. It was believed that this information could be used as an indirect estimate of the fishing frequency within the monitoring week. The distribution of the number of days fished during one week is given in Table 4:2 below; the average number of days is 1.8.
Table 4:2
Frequency distribution of number of days fished per week per individual
fisherman during the two weeks prior to the interview.
| Number of days | 0 | 1 | 2 | 3 | 4 | 5 | 6 | 7 |
| frequency (%) | 33 | 17 | 23 | 14 | 5 | 4 | 2 | 3 |
This frequency tabulation is calculated for all records, which means that the more frequent fishermen have a greater influence on the fishing frequency than the occasional fishermen. The overall average fishing frequency for the two weeks prior to the interview for the individual fisherman corrected for this effect is 0.75.
The number of fishermen fishing during one week multiplied by the fishing frequency and the length of each fishing session gives the total fishing effort in hours per week on the reservoir. This information for the different monitoring weeks is given in Table 4:3.
The calculation of the fishing effort is fairly difficult with the available data. It seems from the data that most fishermen fish a few times during one week but do not often fish during the following weeks or did not fish during the previous weeks. The fishing frequency during any particular week is therefore higher than the frequency of the same fishermen during the previous weeks. 33% of these fishermen did not even fish during the previous weeks and therefore had a recorded frequency of zero. Since they did fish during the week of the interview, these zeros were replaced by one, in order to estimate the fishing frequency. The accuracy of this estimate is of course questionable.
The hours fished per day were calculated from the length of the fishing session on the day of the interview, since that is the most direct estimate.
Information about the catch of the fishermen was obtained for the monitoring week itself. On several occasions the catch was recorded by number and size class and was weighed as well. This gave an indication of the average weight of the fish per species and per size class. Table 4:4 gives the average weight per species and size class. These figures were used in the calculations of total catch weight.
Table 4:3
Fishing pressure from hook fishermen at Sebaboleng Dam.
| 2 week period | starting ddate | no. of fishermen | days/week 0=1 | hrs/day | total no. of fishing hours/week |
| 1 | 11/03/91 | 20 | 1.73 | 6.64 | 230 |
| 2 | 25/03/91 | 15 | 1.10 | 4.73 | 78 |
| 3 | 08/04/91 | 24 | 1.20 | 4.46 | 128 |
| 4 | 22/04/91 | 6 | 1.25 | 5.75 | 43 |
| 5 | 06/05/91 | 7 | 1.36 | 4.57 | 44 |
| 6 | 20/05/91 | 7 | 1.29 | 3.21 | 29 |
| 7 | 03/06/91 | 10 | 1.05 | 4.70 | 49 |
| 8 | 17/06/91 | 4 | 1.00 | 4.18 | 17 |
| 9 | 01/07/91 | 4 | 1.25 | 6.38 | 32 |
| 10 | 15/07/91 | 6 | 1.25 | 6.00 | 45 |
| 11 | 29/07/91 | 2 | 1.00 | 4.00 | 8 |
| 12 | 12/08/91 | 10 | 1.15 | 5.20 | 60 |
| 13 | 26/08/91 | 6 | 1.08 | 6.16 | 40 |
| 14 | 09/09/91 | 26 | 1.13 | 5.56 | 163 |
| 15 | 23/09/91 | 17 | 1.15 | 5.00 | 98 |
| 16 | 07/10/91 | 4 | 1.00 | 4.88 | 20 |
| 17 | 21/10/91 | 0 | 0 | ||
| 18 | 04/11/91 | 7 | 1.57 | 5.79 | 64 |
| 19 | 18/11/91 | 16 | 1.16 | 5.34 | 99 |
| 20 | 02/12/91 | 27 | 1.24 | 5.75 | 193 |
| 21 | 16/12/91 | 7 | 1.00 | 4.00 | 28 |
| 22 | 30/12/91 | 0 | 0 | ||
| 23 | 13/01/92 | 10 | 2.40 | 5.30 | 127 |
| 24 | 27/01/92 | 52 | 1.21 | 4.32 | 272 |
| 25 | 10/02/92 | 47 | 1.13 | 3.57 | 190 |
| Annual total | 668 | 1.25 | 5.02 | 4185 | |
For calculating total annual effort, the number of fishermen fishing was multiplied by two, because only one week out of two was monitored. The overall average was used for the number of hours per day and number of days per week. The estimated total fishing effort at Sebaboleng dam was 4185 manhours.
Table 4:4 Estimated average weight (g) per species and size class.
| Species / size class: | A 0–10 cm | B 11–20 cm | C 21–30 cm | D + 31 cm |
| Carp | 10 | 100 | 250 | 500 |
| Mud Mullet | 10 | 100 | 250 | 500 |
| Catfish | 10 | 100 | 250 | 500 |
The recorded weights for the different size classes fluctuated considerably, but it was judged that the estimated averages would give the most reliable information about the weight of the catches.
Yellowfish and other species were caught on only one occasion and the real weight was recorded for these catches. Sunfish was never caught. Estimation of the average weight for the different size classes of these species was therefore not needed.
The recorded catch on the day of the interview could not be used to estimate the catch per unit of effort. The time the fishermen started and the time he expected to stop fishing was recorded, but not the time of the interview and therefore not the time it took to catch the fish. It was thus necessary to use the information about the catch of the two weeks prior to the interview. The number of days fished, the average length of the fishing session and the total catch per species and size class were recorded. The length of the fishing sessions was recorded in 4 classes, the mean of the classes was used the calculate the time in hours. This information per week is given in Table 4:5.
The catch per unit of effort could only be calculated for those fishermen who fished during the week of the interview and the previous two weeks. Out of the total of 199 fishermen interviewed, 104 met this criteria.
The length of the fishing session used in Table 4:3 above is calculated from the time the fishermen started and the time they expected to finish, on the day of the interview. In Table 4:5 below, the fishermen gave an indication of the average length of the fishing session during the previous two weeks. This estimate is consistantly and significantly higher than the more direct estimate. See Figure 4:1 below.
Figure 4.1
Comparison of reported length of fishing session (hr.)

Table 4:5
Total catch per fisherman for 2-week periods and catch per hour.
| 2 week period | starting date | count | days/2 wks | hrs/day | Total catch per fisherman (g) | CPUE g/hr |
| 1 | 11/03/91 | 15 | 4.13 | 8.30 | 593 | 25 |
| 2 | 25/03/91 | 6 | 1.83 | 6.25 | 385 | 53 |
| 3 | 08/04/91 | 14 | 2.29 | 6.75 | 157 | 18 |
| 4 | 22/04/91 | 6 | 1.50 | 8.25 | 500 | 47 |
| 5 | 06/05/91 | 6 | 1.50 | 6.75 | 975 | 65 |
| 6 | 20/05/91 | 4 | 2.75 | 4.50 | 725 | 56 |
| 7 | 03/06/91 | 1 | 3.00 | 9.00 | 2950 | 109 |
| 8 | 17/06/91 | 1 | 2.00 | 9.00 | 400 | 22 |
| 9 | 01/07/91 | 1 | 4.00 | 9.00 | 1550 | 43 |
| 10 | 15/07/91 | 4 | 2.75 | 7.50 | 650 | 40 |
| 11 | 29/07/91 | 0 | ||||
| 12 | 12/08/91 | 2 | 3.50 | 9.00 | 950 | 28 |
| 13 | 26/08/91 | 1 | 5.00 | 9.00 | 2500 | 56 |
| 14 | 09/09/91 | 7 | 3.43 | 8.25 | 1064 | 44 |
| 15 | 23/09/91 | 10 | 2.90 | 6.00 | 551 | 46 |
| 16 | 07/10/91 | 1 | 2.00 | 9.00 | 500 | 28 |
| 17 | 21/10/91 | 0 | ||||
| 18 | 04/11/91 | 5 | 3.60 | 5.00 | 202 | 27 |
| 19 | 18/11/91 | 6 | 2.83 | 8.25 | 923 | 34 |
| 20 | 02/12/91 | 5 | 5.40 | 8.10 | 1912 | 43 |
| 21 | 16/12/91 | 2 | 2.50 | 6.75 | 295 | 17 |
| 22 | 30/12/91 | 0 | ||||
| 23 | 13/01/92 | 9 | 7.11 | 5.50 | 353 | 10 |
| 24 | 27/01/92 | 23 | 3.57 | 5.87 | 367 | 21 |
| 25 | 10/02/92 | 17 | 2.65 | 4.59 | 373 | 46 |
| Overall average | 146 | 3.19 | 7.30 | 858 | 40 | |
The combination of the total fishing effort and the catch per unit of effort gives the total catch. This is presented in Table 4:6 below. In those occasions where no CPUE was calculated, the average between the previous and following date was used in the calculation.
The total catch per week fluctuated between zero and 8.3 kg. per week, with an overall average of 3.2 kg. per week. The total annual harvest by hook fishermen was 167.4 kg., or 9.3 kg. per hectare (dam surface area is 18 hectares when full).
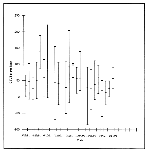
The different tables in this chapter show that the fishing effort and the total catches are not constant over the year. However, due to the great variations and the limited number of data these fluctuations are statistically not significant and there is no clear pattern over the year. Figure 4:2 below shows the fluctuations of the CPUE over the year. The averages and the 95% confidence intervals are shown. Although the differences between some individual months are significant, no clear pattern emerges.
Table 4:6
Total estimated catch in kg. from the hook and line fishery at Sebaboleng dam
| 2 week period | starting date | total no. of fishing hours per week | CPUE gr/hr. | total catch per week (kg) |
| 1 | 11/03/91 | 230 | 25 | 5.74 |
| 2 | 25/03/91 | 78 | 53 | 4.14 |
| 3 | 08/04/91 | 128 | 18 | 2.31 |
| 4 | 22/04/91 | 43 | 47 | 2.03 |
| 5 | 06/05/91 | 44 | 65 | 2.83 |
| 6 | 20/05/91 | 29 | 56 | 1.62 |
| 7 | 03/06/91 | 49 | 109 | 5.38 |
| 8 | 17/06/91 | 17 | 22 | 0.37 |
| 9 | 01/07/91 | 32 | 43 | 1.37 |
| 10 | 15/07/91 | 45 | 40 | 1.80 |
| 11 | 29/07/91 | 8 | 34 | 0.27 |
| 12 | 12/08/91 | 60 | 28 | 1.67 |
| 13 | 26/08/91 | 40 | 56 | 2.24 |
| 14 | 09/09/91 | 163 | 44 | 7.19 |
| 15 | 23/09/91 | 98 | 46 | 4.50 |
| 16 | 07/10/91 | 20 | 28 | 0.55 |
| 17 | 21/10/91 | 0 | 28 | 0.00 |
| 18 | 04/11/91 | 64 | 27 | 1.72 |
| 19 | 18/11/91 | 99 | 34 | 3.37 |
| 20 | 02/12/91 | 193 | 43 | 8.28 |
| 21 | 16/12/91 | 28 | 17 | 0.48 |
| 22 | 30/12/91 | 0 | 14 | 0.00 |
| 23 | 13/01/92 | 127 | 10 | 1.27 |
| 24 | 27/01/92 | 272 | 21 | 5.71 |
| 25 | 10/02/92 | 190 | 46 | 8.72 |
| Annual total | 4185 | 40 | 167.40 | |
Figure 4:2
Catch per unit of effort (CPUE) (g), averages and 95%
confidence intervals

The catches in Sebaboleng Dam comprise four species. Mud mullet (Labeo umbratus) is the most common species in the catches, in terms of number of fish, representing 45% of the catch. It dominates catches during most part of the year, but common carp (Cyprinus carpio) dominates catches from January to early March, as well as during July–August and September–October. Common carp represents 39% of the catch. Catfish (Clarias gariepinus) is caught in very small numbers during five warm season months, but represents almost a third of the catch during February–March. On an annual basis, catfish represents 16% of the catch.
Only one smallmouth yellowfish (Barbus holubi) has been reported to be caught, and that was during August–September (not included in Figure 4.3 below for the sake of clarity). Bluegill sunfish (Lepomis macrochirus) and largemouth bass (Micropterus salmoides) are present in Sebaboleng dam, but are not reported in the catches.
Common carp occurs in abundance in the catches during the warm season, while mud mullet is caught throughout the year. Catfish is caught only during the warm season.
Since the fishery is dominated by handlines that are used only very close to the shore, and the bait most commonly used appears to be bread, the likelihood of catching yellowfish as well as catfish is very low. On the other hand, a lot of juveniles and small fish are caught.
Figure 4:3
Species composition (number of fish caught)

The data on size distribution of mud mullet and common carp catches indicate that the most frequent size caught is 11–20 cm long fish. Generally speaking, very few large fish are caught, independent of species.
The biggest volume of catches of catfish occurs in the 1–10cm length category. Fish 11 to 20 cm long rank next. With the type of bait and gear currently used at the dam it is very difficult to catch catfish other than juveniles.
The fishery at Sebaboleng dam is mainly a subsistence fishery, based on individuals fishing part-time with different types of handlines. This kind of fishery is unlikely to run up much cost as it is based as much as possible on home-made gear, the use of household left-overs as bait, and on labour that has no other productive use. The fishery could generate some cash income for individuals, though, if they sold most of their catches. However, at Sebaboleng dam, few people sell their fish and there is no organized marketing--understandable given the low volumes of catches described above.
During the survey period, fish was sold in small quantitites. Most fish was sold during the cold season months; 60% of the earnings from fish sales were generated from April–May to August–September. Fish was sold only on 15 occasions, and the average earnings for the fisherman on each such occasion was Maloti 11.62 (US$ 3.88). The number of individuals selling fish are less than 15.
The total number of fish sold were 73. This represents approximately 12% of the catches.
Fish is mainly sold fresh, only on one occasion was dried fish reportedly sold. Three species are sold: common carp, mud mullet and catfish. From the sparse price data collected, it is found that common carp fetches the highest unit prices, ranging from Maloti 1.5 (US $.5) to Maloti 15.0 (US $5.02) depending on the size class. The bigger the fish, the higher the price obtained. Mud mullet and catfish command lower value, fetching prices from Maloti 1.0 (US $.33) to Maloti 2.0 (US $.67) also depending on the size. Fish is sold by numbers and not by weight, and pricing seems to be fixed at random, depending on what the customer offers and what the buyer is willing to accept on that particular occasion.
Costs incurred by the fishery have been reported on 42 occasions. The highest costs are for replacement of gear apart from hooks (47% of total), i.e. usually for purchase of fishing lines. The rest of the costs are for purchase of hooks (28%) and bait (25%). However, the sums are petty, as the average cost per occasion is just M 1.94 (US$ 0.65). Earnings from sale of fish are higher than the costs in this fishery.