Se pueden identificar dos tipos de datos: por una parte las estadísticas de pesca (captura y esfuerzo) y, por la otra, los datos biológicos (sexos, dimensiones, edad, estado sexual, etc.).
La recogida de estadísticas, que permite controlar simultáneamente la evolución de la población y la del sistema de explotación, es uno de los aspectos esenciales del estudio de las poblaciones explotadas. Distinguiremos por razones prácticas los dos tipos principales de explotación de camarones: la pesca de arrastre industrial sobre los adultos y la pesca artesanal sobre los juveniles.
4.1.1 La Pesca Industrial
La pesca del camarón en el mar es un ejemplo clásico de la pesca con arte de arrastre de fondo. Su estudio no presenta ninguna dificultad en particular y nos podremos referir para la teoría de base a los trabajos clásicos de Beverton y Holt (1956) y de Gulland (1969). Los datos esenciales conciernen a la flota en sí misma y a su actividad. Estos serán estratificados, para facilitar un tratamiento posterior, en función de zonas geográficas preestablecidas.
4.1.1.1 Las fuentes de información
Los ficheros de los órganos administrativos responsables de la pesca. Estos permiten, cuando existen, hacer un seguimiento del desarrollo de la flota en número de barcos y, eventualmente, la potencia total de la flota y otras características generales.
Los registros de movimientos diarios obtenidos de las autoridades del puerto o por las oficinas de encuestas permiten conocer con precisión los barcos que están en puerto y, por deducción, los que están en el mar. Este dato permite calcular el tiempo de ausencia del puerto o el tiempo de mar.
Las hojas de encuestas, obtenidas por los encuestadores acerca de los patrones de pesca al regreso de cada marea permiten conocer, para toda o parte de la flota, la fecha de partida, de regreso, la zona de pesca, las especies buscadas, el tonelaje capturado, etc. Los detalles y perfección de estos registros dependerán, sobre todo, de la buena voluntad de los patrones y de las relaciones entre la investigación y la profesión. Estos registros permitirán establecer el tiempo de pesca efectivo y eventualmente controlar los desembarcos declarados por las fábricas o las subastas. La experiencia indica que los patrones pueden hacer, con buena precisión, una estimación del tonelaje capturado (Figura 22).
Los registros de capturas obtenidos en las subastas y en las fábricas permiten obtener, para cada barco, la captura por especies (principales y accesorias) y el precio de venta por kilo. La fecha de descarga permite asignar estos datos a una marea precisa, para la cual ya se obtienen otras informaciones (mirar más arriba).
Los cuadernos de pesca. Estos son una fuente inestimable de datos para el biólogo pesquero. El número y la precisión de la información suministrada dependerán de las posibilidades de los patrones y de su nivel de instrucción. En el mejor de los casos, se podrán obtener datos para cada lance efectuado (hora de inicio de la pesca, de fin de la pesca, situación, profundidad, especies capturadas, cantidades, cambios en las prácticas de descartes, informaciones sobre el arte utilizado.
Estos datos tan detallados requieren frecuentemente un procesamiento automático, del cual ha sido dado un ejemplo por Slack-Smith y Stark (1969). Si son bien utilizados, estos datos permiten hacer un seguimiento cercano de la evolución de la pesquería y de las estrategias de pesca, estudiar con detalle la distribución geográfica y batimétrica de las distintas especies, y determinar los ritmos de la actividad de los animales (ver como ejemplo García, 1973). La información se obtendrá generalmente para una muestra de la flota, por lo que será necesario analizar su representatividad.
Algunos ejemplos de estudio de pesquerías de camarones con una descripción de los datos recogidos se pueden encontrar, aparte de los trabajos más arriba citados, en Snow (1969) para el golfo de México, Slack-Smith (1969) en Australia, Chabanne y Plante (1970) y Marcille (1978) en Madagascar. Mackett (1972) ha realizado un inventario de los sistemas de recogida de estadísticas en el Caribe.
Estas diversas fuentes proporcionan los datos de base para evaluar el esfuerzo total aplicado y la captura realizada.
4.1.1.2 El esfuerzo de pesca
Según la eficacia de la red de recogida de información, se pueden obtener diversas medidas del esfuerzo. De la más grosera a la más precisa podemos distinguir:
El tamaño de la flota. En ausencia de algún dato detallado se podrá utilizar como media del esfuerzo el número total de unidades activas, la potencia motriz global u otra aproximación de la potencia nominal. El tiempo durante el cual es aplicada esta potencia se sobreentiende y es, en general, de un año. No es posible detectar variaciones en el empleo real de esta potencia (evolución de los aparejos, tiempo de pesca efectivo, etc.).
El número de mareas. Es igualmente un dato aproximativo que sin informaciones complementarias sobre la duración media de las mareas, o de la potencia motriz de los barcos implicados, puede ser el origen de sesgos importantes.
Los días de ausencia de puerto o días de mar: se obtienen fácilmente a partir de los registros de movimiento diario del puerto, pero no permiten estimar el tiempo perdido (días de ruta, por ejemplo).
Los días de pesca representan el tiempo pasado realmente sobre los lugares de pesca, siendo descontados los tiempos en ruta. Estos tampoco permiten tener en cuenta tiempos muertos (detenciones por averías, para procesamiento de las capturas o de bajos rendimientos a la espera de una fase más favorable del ritmo nictimeral de capturabilidad).
Los tiempos de arrastre representan el esfuerzo que se ejerce realmente sobre la población. En estos están descontados los tiempos muertos dedicados a cambiar de fondo de pesca, al procesamiento de las capturas y a la separación del contenido de la red. Prácticamente, este esfuerzo sólo puede ser evaluado a partir de los cuadernos de pesca y, en su ausencia, de encuestas muy detalladas realizadas sobre un número suficiente de barcos.
4.1.1.3 La estandarización de los datos de esfuerzo
Los conceptos clásicos de esfuerzo, normal o estandar, de intensidad y potencia de pesca se pueden encontrar en las obras clásicas de Beverton y Holt (1956), Ricker (1975) y Gulland (1969). En 1970 tuvo lugar una reunión especial sobre este problema (Pope, 1975). Rothschild (1972, 1977) intentó definir el concepto de esfuerzo de una forma más moderna. Un documento reciente de la FAO (1975) recuerda los principios esenciales de la utilización del esfuerzo para evaluar la abundancia.
La labor previa a la estandarización implica la creación de un fichero de barcos de pesca y de sus características (nombre, número, tamaño, potencia, tonelaje, aparejo, malla utilizada, fecha de construcción, fecha de entrada en la pesquería, sistema de conservación de las capturas, etc.). Este fichero debe ser puesto al día regularmente, lo que puede suponer una ardua labor al principio del período de explotación cuando la composición de la flota aún no se ha estabilizado.
Los problemas planteados por la pesca del camarón se enlazan al caso general de la pesca al arrastre, para la que existe abundante documentacion. Por ello sólo recordaremos de forma esquemática que la propiedad fundamental de un esfuerzo de pesca es para un biólogo pesquero aquella proporcional a la mortalidad por pesca (F), y está ligada a esta última por la ecuación:
F = q.f
donde q es el coeficiente de mortalidad por pesca por unidad de esfuerzo, o coeficiente de capturabilidad de Ricker. Para responder a este imperativo fundamental el esfuerzo de pesca nominal debe ser estandarizado. El objetivo esencial de esta operación es el de eliminar variaciones importantes y, sobre todo las tendencias de la relación entre f y F. Para la pesca del camarón, los principales factores que se prevé causan tales tendencias son:
la evolución de la potencia motriz de las unidades pesqueras;
la evolución del aparejo con el paso de un anillo normal (tipo a un doble anillo del tipo de Florida o tipo “twin”);
la evolución de los artes y una eventual tendencia a un aumento de su tamaño para una potencia motriz dada, o introducir cambios en el diseño que afecten su eficiencia;
la evolución de las tácticas de pesca: adopción de un arte de ensayo, aumento del número de horas de arrastre por día, arrastre por la noche o por el día o ambos, variación en la proporción entre el tiempo de pesca efectivo y la duración de días de ausencia del puerto con la modernización de la flota la generalización de la congelación que implica un alargamiento de las mareas, cambios de la distribución del esfuerzo por especie en una pesquería multiespecífica, paso de la búsqueda individualizada de los bancos por la búsqueda en equipo, con la introducción de un efecto de “jauria” (Marcille, 1978).
Una de las características fundamentales de la pesca del camarón es que puede ser efectuada tanto de noche como de día, como durante toda la jornada. Ello depende de la temporada, de la región, de las especies y del tipo de la embarcación.
García (1977) señaló que en Côte d'Ivoire los congeladores de 400 CV que procesan sus capturas a bordo, eligen en una jornada las horas favorables para la pesca y permanecen el resto del tiempo anclados para economizar combustible o proceder a la separación y empaquetado de las capturas. El pudo así distinguir dos tácticas de pesca:
la pesca de día o “selectiva” (11 horas de arrastre por termino medio),
la pesca nocturna y diurna o “normal” (15 horas de arrastre).
Es evidente que la selección de las horas más favorables de arrastre implica un aumento del rendimiento horario en detrimento del rendimiento diario. La potencia de pesca relativa de un arrastrero congelador que utilice esta táctica dependerá por ello de la unidad de esfuerzo utilizada (hora de arraste o día de pesca) y del número de horas de trabajo efectivo. Se puede apreciar sobre la Figura 23, que cuando el esfuerzo se exprese en horas de arrastre, la potencia relativa de pesca1 pasa de 1,25 en pesca “normal” a 1,8 en pesca “selectiva”. Al contrario si el esfuerzo está expresado en días de pesca, para 1,25 en pesca “normal” a 1,0 en pesca “selectiva”.
Si una flota está compuesta de unidades que pescan durante distintos períodos del día, y si tanto la táctica o la composición de la flota cambia con la estación, o a lo largo de los años, surgirá una fuente de sesgo muy importante. Esta dificultad se puede evitar simplemente adoptando una potencia de pesca relativa que varía según la táctica utilizada. Marcille (1978) ha demostrado unos cambios estacionales, así como un aumento progresivo de 1969 a 1973, del número de horas de arrastre por día en Madagascar (Figura 24 A). El también ha puesto en evidencia una variación estacional de la potencia relativa de pesca de los barcos (Figura 24 B). Así mismo sugirió una relación entre este fenómeno y las variaciones estacionales de la disponibilidad del camarón que afectan de distintas manera a los diferentes tipos de barcos. El cambio de un comportamiento semi-pelágico (de enero a junio) a un comportamiento bentónico (de julio a diciembre) de los camarones afectaría distintamente a los camarones pequeños y grandes desde el momento en que en los primeros la tasa de captura está relacionada a las áreas de abertura de las artes mientras que en los segundos está relacionada con la longitud del burlón.
Los principales métodos de estandarización son bien conocidos. En la pesca de arrastre, las potencias relativas de pesca de los barcos están en general ligadas a su potencia motriz o a su tonelaje de registro bruto. Por ello, la estandarización se hace más frecuentemente a través de una relación de la captura de unidad de esfuerzo nominal y la potencia motriz o tonelaje. Las potencias relativas de pesca se definen por comparación con un barco estándar. En el caso de que las zonas de pesca sean numerosas y la distribución de los barcos de distinto tipo sea heterogénea, el método de Robson (1966) permite calcular las potencias relativas de pesca con una buena precisión estadística e identificar posibles variaciones espacio-temporales. Un programa escrito por C. Berude está disponible (Abramson, 1971). Una de las características de las relaciones entre la potencia relativa de pesca y la potencia motriz en los camaroneros es su pequeña pendiente. Una duplicación de la potencia motriz de 200 a 400 CV se traducen por un aumento de solamente alrededor de un 50 por ciento de la potencia relativa de pesca, tanto en Côte d'Ivoire (García, 1977) como en Madagascar (Marcille, 1978). El siguiente Cuadro presenta algunas de las relaciones publicadas.
Cuadro
Relación entre la potencia relativa de pesca (Pr) de los camaroneros y sus características
| Referencias | Regiones | Ecuaciones | |
| Marcille (1978) | Madagascar | Pr = | 0,0029 Pm + 0,530 |
| García (1977) | Côte d'Ivoire | Pr = | 0,0020 Pm + 0,460 |
| Neal (1970, 1975) | USA | Pr = | b.L + a |
| 0,424 < b < 0,630 | |||
| 0,022 < a < 0,036 | |||
1 Por comparación con un camaronero tipo de 250 CV pescando de día y de noche
![]() | ![]() |
Figura 21 Variaciones lunares del esfuerzo pesquero (en número de pescadores activos) y del rendimiento en la pesquería artesanal de Côte d'Ivoire (según García, 1973) | Figura 22 Relación entre la captura estimada por el patrón de pesca y la real controlada en la fábrica (según García, 1977) |

Figura 23 Variaciones de la potencia de pesca relativa de los camaroneros congeladores de Côte d'Ivoire, en función del tiempo de pesca medio diario (según García, 1977)
A. Cuando el esfuerzo de pesca se expresa en horas de arrastre
B. Cuando el esfuerzo de pesca se expresa en días de pesca
Pr = rendimiento horario del barco considerado/rendimiento del barco tipo
L = eslora del barco
Pm = potencia motriz
Griffin, Nichols y Lacewell (1973) han proporcionado una relación más compleja:

en la cual (Pm) i y (LCD) i indican la potencia motriz y la longitud del burlón del barco de clase i, y 38,0 y 14,6 son respectivamente la potencia motriz y la eslora del barco tipo.
Otra característica importante de la relación entre la potencia relativa de pesca y las características del barco es la gran dispersión de puntos alrededor de la recta de regresión. Esto se debe en parte a la diversidad de tipos de artes de arrastre utilizados (flat, balloon, semi-balloon, etc.) y de las estrategias aplicadas (pesca diurna, nocturna, diurna y nocturna, individual o en pareja) pero igualmente, y de una manera importante, al factor humano, que está ligado a la habilidad del patrón y a su propia experiencia.
En el caso de las pesquerías multiespecíficas del camarón, el problema más complejo es de la determinación del esfuerzo dirigido a cada una de las especies. Esta puede ser muy difícil si las especies no están claramente separadas geográficamente. A falta de algo mejor, se considera frecuentemente que el esfuerzo de pesca está aleatoriamente repartido sobre las distintas especies capturadas, y que las capturas por unidad de esfuerzo (cpue) son proporcionales a la densidad real de las diversas especies. Esto no es verosímil en el caso de una pesca tan bién dirigida como la de los camarones, y los riesgos de error cuando los índices de concentración de estas flotas, sobre una especie dada, cambien con el tiempo (lo que equivale a un cambio de q). Esta es la situación más corriente en las pesquerías multiespecíficas (Louisiana, Madagascar) donde las principales especies son el único objetivo al comienzo de las pesquerías, especialmente si son abundantes de día (Penaeus setiferus y Penaeus indicus), y sólo cuando sus rendimientos disminuyen se inicia la búsqueda de especies secundarias. Boerema (1974) indicó, para la pesquería de Panamá, modificaciones de este tipo con Parapenaeus y Xyphopenaeus, cuando descienden las capturas de Penaeus por efectos de la pesca. En los casos como el de Madagascar (Chabanne y Plante, 1971), donde la composición de capturas depende de la hora de arrastre, un simple cambio del horario de pesca es suficiente para modificar los coeficientes de capturabilidad de las diferentes especies.
4.1.1.4 La captura
Es necesario conocer la captura para cada una de las especies capturadas.
4.1.1.4.1 Las especies - objetivo
La captura es quizás fácil de obtener a nivel de las fábricas ya que, debido al alto valor comercial de los camarones, estos son cuidadosamente procesados y frecuentemente separados por especies. No obstante cuando la pesquería cubre a distintas especies, las estadísticas de fábrica son a veces difíciles de utilizar debido a las mezclas. En Madagascar, Marcille (1978) observó las siguientes categorías comerciales.
HL white : Penaeus indicus clasificado y descabezado;
HL pink : Metapenaeus monoceros clasificado y descabezado;
HL tiger : Penaeus semisulcatus clasificado y descabezado con algunos P. japonicus;
HO : camarones enteros que comprenden en su mayoría a M. monoceros y también algunos pequeños P. indicus y P. semisulcatus;
Mixed : esta categoría puede incluir distintas especies descabezadas y sin clasificar.
Ho se utiliza para “head on” (camarón entero) y HL para “headless” (camarón descabezado).
En el caso de mezclas, sólo un muestreo regular permitirá distinguir las proporciones de las distintas especies. Cuando dos especies de diferente talla se mezclan en una categoría, se tiene en ocasiones una distribución bimodal de las clasificaciones de tallas que permite una separación aproximada (Marcille, 1978).
En cada categoría comercial, los camarones son frecuentemente clasificados siguiendo una norma local, pero frecuentemente se utiliza la clasificación americana (en número por libra). La recogida de esta información muy importante permite reconstruir la estructura de talla de las capturas (Párrafo 4.2). Teniendo en cuenta las distintas posibilidades de procesamiento, puede ser necesario efectuar transformaciones de los datos (camarones enteros en descabezados o viceversa). Uno puede utilizar con este fin un coeficiente empírico global, obtenido pesando una cantidad importante de camarones antes y después de haber sido descabezados. En los Estados Unidos la relación utilizada es de 1,680 (entero/descabezado) ó 0,595 (descabezado/entero). Otras relaciones, muy similares, son empleadas en otras partes. Una lista se puede encontrar en FAO (1972) y Squires (1974).
Se puede igualmente utilizar nomogramas para unas transformaciones más precisas de categorías comerciales en tallas medias o pesos medios individuales o pasar de una clasificación a otra. Estos nomogramas se establecen a partir de las relaciones biométricas clásicas (Figura 25). Kutkuhn (1962) ha dado algunos ejemplos y la forma de construirlos. No obstante, teniendo en cuenta que la recta tiene que ser utilizada en ambos sentidos, sería preferible calcular una relación funcional tal que el eje mayor se reduzca (o recta de Tessier o “regresión GM” según Ricker, 1973).
Teniendo en cuenta la precisión requerida, es igualmente preferible que cada especie sea objeto de una relación propia calculada cuidadosamente. En el Párrafo 4.2 se verá la posibilidad de utilizar, con mayor precisión, las claves de transformación para obtener las distribuciones de tallas a partir de los desembarcos por categorías comerciales.
4.1.1.4.2 Las especies acompañantes
Los peces, que se capturan con los camarones son generalmente descartados, y sólo se desembarcan en muy pequeñas cantidades debido a que la capacidad de almacenamiento de los barcos es muy limitada. Por ello, sólo se conservan aquellas especies de alta calidad. Estas constituyen un componente no despreciable de la cuenta de explotación y deben ser tomadas en consideración en todo estudio económico. En fin, toda política global de ordenación de los recursos de una región debe tener en cuenta todas las especies en razón de las posibles interacciones de una especie dada sobre dos tipos de pesquerías diferentes (por ejemplo, la pesca al arrastre y la pesca de camarones sobre los sciénidos).
Ya hemos visto que, en general, el patrón de pesca es capaz de estimar su captura con buena precisión (Figura 22) y que en ausencia de datos precisos en tierra (en el caso de los transbordos en el mar, por ejemplo), son utilizables los datos obtenibles por encuestas.
4.1.1.4.3 Los descartes (Figura 26)
La combinación de los datos de esfuerzo y de captura permiten calcular las capturas por unidad de esfuerzo (cpue). Si el esfuerzo está correctamente representado, la captura es proporcional a la densidad de la población:

donde N y D representan respectivamente la abundancia numérica media y la densidad media durante un período observado, y A la superficie de la zona de pesca. En consecuencia, el dato de base debe ser la captura real, y no la cantidad desembarcada, en la medida que una parte de las capturas puede haber sido descartada. Frecuentemente sólo se conocen los desembarcos y ello puede implicar un sesgo grave si cambian las modalidades de descarte con la evolución de la pesquería y los precios de venta por categoría de talla.
Debe señalarse que los descartes han sido estudiados por Berry y Benton (1969), Baxter (1973) y Juhl y Drummond (1977) en el golfo de México y en la región del Caribe. Estos son de considerable importancia, no sólo para las mismas especies-objetivo sino también para todas las otras especies que las acompañan.
En unas primeras etapas, los recursos de los fondos de camarones fueron considerados como monoespecíficos o de pocas especies y, en cualquier caso, constituidos solamente por camarones, en razón del valor de mercado de estos últimos y el poco interés de los camaroneros en los peces. No obstante, un plan de ordenación global de los recursos de una región implica el conocimiento del esfuerzo aplicado por la pesca del camarón sobre las especies asociadas. La gran mayoría de estas especies es actualmente rechazada y Juhl y Drummond (1977) evaluaron en 350 000 t/año, las cantidades descartadas en el gofo de México y el Caribe. Klima (1976), las evaluó en un máximo de 900 000 t, en razón de 1,4 a 9 kg de descarte por kilo de camarón capturado.
Hay diversos métodos para estimar los descartes: éstos son de dos tipos:
Métodos directos. Se puede encuestar a los patrones de pesca, al final de cada marea, para obtener su estimación de los tonelajes descartados y una idea de las principales especies afectadas. Si se vence la reticencia general de los pescadores a hablar sobre este fenómeno, se puede llegar de forma bastante rápida a una evaluación grosera de los descartes. El método puede ser afinado si los patrones aceptan rellenar cuadernos de pesca puestos a su disposición. Para tener una idea más precisa de los descartes, el mejor método es la observación directa, realizada por un científico embarcado, efectuando muestreos antes de la separación de la captura.
Métodos indirectos. La evaluación de las cantidades descartadas, su composición específica y las tallas afectadas, puede ser obtenida por un barco de investigación que efectúe pescas con artes comparables a los de los profesionales. El perfil específico de las capturas experimentales es a continuación comparado con el de las capturas desembarcadas. Se puede determinar así, para cada especie, una curva de descartes análoga a una curva de selectividad.

Figura 24 Variaciones estacionales de las características del esfuerzo de pesca
A. Evolución del número de horas de dragado por día entre 1969 y 1973 en Madagascar
B. Variaciones estacionales de la potencia de pesca relativa (según Marcille, 1978)

Figura 25 Nomograma de conversión de los pesos y números de camarones enteros y descabezados (según Kutkuhn, 1962)

Figura 26 Distribuciones de frecuencias de camarones desembarcados (en blanco) y descartados (en negro) en Florida y en Texas (según Berry y Benton, 1969)
Un método mixto consiste en embarcar un profesional a bordo de un barco de investigación y pedirle que haga una separación de capturas de la misma forma que lo haría a bordo de su navío. Así, se obtendrá un enfoque directo y experimental de las prácticas de descartes. Estas son complejas en la medida en que dependen de diversos factores como:
la importancia de los camarones de pequeña talla en las capturas,
su precio desembarcado,
el método de separación (Berry y Benton, 1969),
las eventuales reglamentaciones sobre una talla mínima comercial.
Los descartes de especies asociadas dependen de:
los rendimientosobtenidos sobre la especie objetivo,
la talla encontrada de las especies asociadas y su valor de mercado,
el sistema de conservación utilizado por el barco.
Los descartes son por ello suceptibles de variaciones estacionales importantes, cuyo análisis puede conducir a la creación de un modelo simple. Es así como Berry y Benton (1969), han establecido una regresión múltiple de la forma:
Y = a + bX1 + cX2 + dX3
donde Y es el tonelaje de camarones descartados por mes, X1 el tonelaje total desembarcado, X2 el tonelaje de pequeños camarones desembarcados por mes, y X3 el precio de venta por unidad de peso de pequeños camarones.
Ellos también utilizaron la ecuación

No obstante, estos dos modelos pueden explicar sólo de un 42 a un 55% de la varianza de los descartes de camarones.
4.1.2 La Pesquería Artesanal
4.1.2.1 Las fuentes de datos
Estas dependen del nivel de organización del sistema. Si está bien organizado, el problema se traslada al capítulo precedente, complicado por el hecho de que los puntos de descarga son numerosos y están dispersos. Este es el caso de las pesquerías artesanales que se han desarrollado en las lagunas y estuarios de los Estados Unidos, donde se pueden aplicar unos formularios clásicos.
En el caso de un sistema artesanal con recogida de datos organizada, como las que se encuentran en Africa occidental, se pueden obtener buenas estadísticas de descarga a nivel de las fábricas de procesamiento. Los descartes deberán ser evaluados como se indicó anteriormente.
En el caso de una pesquería totalmente desorganizada, se debe investigar la posibilidad de usar diversas fuentes de datos.
Las fichas de pesca. Es difícil, pero no siempre imposible, obtener la colaboración de un pescador educado que acepte rellenar unas fichas de pesca que contengan la hora de inicio y fin de la pesca, la cantidad capturada y el número de redes colocadas. Este sistema ha sido utilizado con éxito por uno de los autores en Côte d'Ivoire (García, 1978). Ciertamente, es difícil generalizar este sistema a todo un país y sólo puede utilizarse para una muestra de la pesquería.
Los datos comerciales. Cuando los circuitos de comercialización no son muy difusos, y cuando existen puntos de paso obligatorios (transbordadores, puertos secundarios), se puede obtener una estadística de las cantidades transportadas por medio de un control de los vehículos (camionetas o barcos) y una evaluación de su contenido. La parte de las capturas autoconsumidas escapa al encuestador. Esta es en general despreciable si la comercialización está bien organizada y el precio de venta es elevado, debido a que el pescador prefiere vender toda su captura. Esta puede ser importante si la reglamentación prohibe la venta de pequeñas tallas que, entonces, serán procesadas y consumidas localmente o vendidas a través de los circuitos tradicionales.
Las encuestas clásicas por sondeo en los lugares de pesca. Es evidente que, aun más que para la explotación industrial, un buen conocimiento de la pesca artesanal requiere un buen esquema de encuestas y un excelente contacto entre los investigadores, pescadores y vendedores de pescado.
4.1.2.2 El concepto de esfuerzo de pesca
Este es muy complejo en el caso de la pesca artesanal con redes fijas. García (1977), utilizando unas hojas de pesca rellenadas todas las tardes en algunos campamentos de la laguna de Ebrie (Côte d'Ivoire), ha puesto en evidencia las numerosas fuentes de variación que pueden ser resumidas de la forma siguiente:
(a) El esfuerzo improductivo
Cuando se utilizan las estadísticas de las fábricas o de las cooperativas, las mareas sin captura no quedan registradas. En consecuencia, hay una subestimación del esfuerzo y una sobreestimación de la captura por unidad de esfuerzo. El sesgo es máximo durante la temporada baja.
La unidad de esfuerzo utilizada es la noche de pesca de un pescador o la colocación de una red durante un período de marea. Si el número de artes por pescador es estable, ambas unidades son equivalentes.
(b) El ciclo lunar
En la Figura 21 se puede apreciar que la captura por unidad de esfuerzo y el esfuerzo nominal registrado siguen la misma oscilación lunar. Esta es una buena observación, casi generalizada, para la pesca artesanal de Africa occidental donde el esfuerzo está además ligado a la abundancia. Todo el mundo va a pescar cuando la abundancia es alta y una gran parte de los pescadores se abstiene durante la temporada baja dedicándose a otros trabajos, especialmente agrícolas.
Un examen más profundo muestra que este ritmo, que afecta al número de pescadores en faena, se superpone a otro ritmo: el de la duración del tiempo de pesca. Este último está limitado por la coincidencia de la bajamar con el reflujo y es máximo en aquellos días próximos a las lunas nueva y llena (Figura 27).
(c) El ciclo estacional
Cualquiera que sea la fase de la luna, el tiempo de pesca varía a lo largo del año. En la laguna del Ebrie, aumenta de febrero a agosto, que es máximo, y pasa por un segundo máximo en diciembre. En octubre-noviembre, acusa una disminución neta que parece ligada a las inundaciones (Figura 28a). El esquema estacional puede ser diferente si se examinan dos años sucesivos en un mismo punto o tres puntos de pesca sucesivos del mismo año (Figura 28b). Estos fenómenos están probablemente afectados por procesos hidrológicos (ciclo de las mareas, de las pescas, de las inundaciones, fenómenos de resonancia, oposición mareas/inundaciones) que no han sido explicados.
(d) Variaciones geográficas del tiempo de pesca
La forma de la onda de marea cambia a medida que avanza por el estuario de tal forma que el momento en el que comienza la pesca y su duración (igual que la fuerza de la corriente utilizada y por lo tanto el volumen filtrado), varía desde la desembocadura del estuario hacia arriba de una forma compleja (Figura 29).
(e) La elección de una unidad de esfuerzo
Las artes de estacada: el metro cúbico de agua filtrada es la mejor unidad de esfuerzo, tal y como ha sido demostrado experimentalmente por Yokel (1970, ver Sección 2.3.4.2), en la medida en que la captura por metro cúbico es un buen índice en la densidad de la masa de agua. No obstante, este dato se nos escapa frecuentemente. Por otra parte, si el objetivo del estudio es definir un índice de reclutamiento, no es la densidad de los camarones en emigración lo que necesitamos conocer sino el número total de los que salen al mar, o un índice correspondiente. En este caso, es preferible utilizar un dato integrado: la noche de pesca de una red. La captura por red, en un lugar dado, por noche, dependerá de la densidad de los camarones, de la duración de la pesca y de la velocidad de la corriente. Veremos en el capítulo relativo a las mortalidades que también depende del lugar donde ha sido colocada la red sobre el eje aguas arriba-aguas abajo y la configuración de la laguna.

Figura 27 Duración de la pesca en función de la fase de la luna en la laguna de Ebrie (Côte d'Ivoire), en Ngadykro (—) y Adoukro (.....) (según García, 1977)
![]() | ![]() |
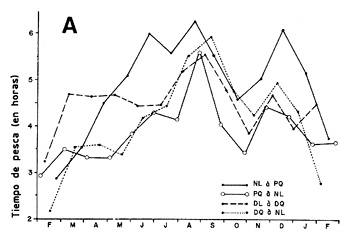
Figura 28 Variaciones estacionales del tiempo de pesca/noche en la laguna de Ebrie (Côte d'Ivoire)
A. En 1974–75 en Adoukro, y por cada fase lunar
B. En 1975 en Adoukro (—), Ngadykro (-----) y Ndiemi (.....) (según García, 1977)
Las artes de arrastre. Si son arrastrada por un barco, la duración de la pesca (unas horas), será la mejor unidad. Si son arrastradas a pie por dos hombres, será probablemente la salida el único dato utilizable con los riesgos que ello implica. Si la pesca está bien organizada, la situación se aproxima mucho a la de la pesca industrial y se pueden utilizar los mismos métodos.
Las artes de cerco: el tiempo de pesca incluye la búsqueda del camarón y la maniobra del cerco. La unidad de esfuerzo podrá ser la salida. No obstante, la modificación de la relación pesca/tiempo de búsqueda a lo largo de la vida de la pesquería, puede ser una fuente de sesgo ya que la especie disminuirá en abundancia. En cualquier caso, las artes de cerco son relativamente poco utilizadas.
Cuando se emplean diversas artes en una misma pesquería, es prácticamente imposible estandarizar el esfuerzo de pesca si las estructuras demográficas explotadas son diferentes.
Si las diversas artes capturan unas estructuras demográficas idénticas, se podrá obtener una estimación del esfuerzo total dividiendo simplemente la captura total por la cpue de un arte tipo cuyo esfuerzo sea fácil de determinar.
El muestreo de los desembarcos representa un problema estadístico clásico que se puede resolver por las técnicas habituales. El objetivo esencial de este muestreo es estimar la composición en tallas; unos desembarcos de diversas especies (ya que la edad no puede ser determinada directamente), con la varianza más pequeña posible y tomando en cuenta los medios disponibles. Las propiedades biológicas de ambos sexos (crecimiento en peso y talla), aun siendo muy diferentes, es aconsejable recopilar los datos para cada sexo por separado. Es importante obtener la mejor valoración posible sobre las consecuencias de estas medidas reguladoras, aunque sea evidente que los dos sexos no pueden ser tratados separadamente. Excelentes análisis del problema general y de las metodologías son dados por Gulland (1955, 1966), Pope (1956), CIEM (1956).
4.2.1 Las Estructuras de Tallas
Las dimensiones que se miden generalmente son la longitud del caparazón (desde la cresta suborbitaria hasta el borde medio dorsal posterior del caparazón) o su longitud total (desde el extremo del rostro hasta la extremidad de los urópodos o del telson). La primera es más precisa y no es sensible a las variaciones de elasticidad del camarón, que depende de su grado de descomposición y del método de conservación.
Si toda la flota, o parte de ella, desembarca camarones y conservados en hielo para ser clasificados en tierra, los muestreos pueden efectuarse con los métodos clásicos, antes de pasar a la clasificación. El único problema es que los barcos que guardan camarones en hielo, desembarcan pequeñas cantidades que son rápidamente clasificadas. Por ello, la operación de muestreo debe efectuarse muy rápidamente. Normalmente es preferible aprovechar la ventaja de que los camarones son casi siempre clasificados por categorías comerciales. La varianza decrecerá apreciablemente si todas las estadísticas de la captura son recolectadas por categorías comerciales, y transformadas a continuación en distribuciones clásicas de tallas. La conversión se efectúa usando una tabla (ver Cuadro 1), que da la distribución de las frecuencias de las tallas en cada intervalo comercial obtenida mediante simples muestreos de los camarones clasificados dentro de estas categorías, durante el proceso de separación. Estas tablas permiten convertir las capturas registradas en cada categoría en capturas por clases de tallas (centímetros por ejemplo). La distribución de la frecuencia total de talla de las capturas para el período considerado se obtiene simplemente adicionando las distribuciones elementales que corresponden a cada categoría comercial. En el caso de que la información así obtenida cubra sólo una parte de los desembarcos, se deberá efectuar una simple extrapolación de la distribución parcial al total de las capturas.
De esta forma, se puede obtener una buena información de bajo coste. Si existe el riesgo de que se modifique el ajuste de las máquinas de separación, es necesario comprobar periódicamente las distribuciones de frecuencia correspondientes a cada categoría.
Si una parte de la flota desembarca camarones descabezados, clasificados y empaquetados, y otra lo hace de camarones enteros, se deberá muestrear la fracción que permita la extrapolación en las mejores condiciones o, alternativamente, se establecerán distribuciones de frecuencias para los dos tipos de capturas y, posteriormente, se combinarán. Es necesario señalar que frecuentemente los camarones se clasifican descabezados. Los muestreos de distribuciones de frecuencias de tallas obtenidos para cada categoría conciernen, por lo tanto, a las tallas (o pesos) de las colas. Determinando la relación entre la talla (o peso) de la cola y la longitud total o cefalotorácica es posible transformar las distribuciones de frecuencia de las colas en estas otras unidades. La tabla de transformación así obtenida puede ahora ser utilizada como se indicó anteriormente. No obstante, la medida de la longitud de la cola no es muy precisa y esto introduce un error en la distribución de frecuencias reconstruida. Squires (1974) propuso medir el peso de la cola, lo que realmente es más preciso.
También es posible trabajar directamente con longitud de la cola, si la curva de crecimiento está disponible en estas unidades, pero el problema de la falta de precisión aún persiste.
Caillouet, Patella y Jackson (1980), propusieron una forma muy sintética de representación de la estructura de talla de las capturas. Si se expresa en porcentaje la composición por categorías internacionales, la relación entre el loge del porcentaje acumulado y la categoría es una recta. En efecto, ellos encontraron que
Fi = aebci
donde Fi es el porcentaje acumulado en peso (camarones descabezados) de la categoría i,
Ci es el límite inferior de la categoría de tamaños (por ejemplo 21 para la categoria 21–25 camarones/libra,
i = rango de la categoría,
a y b siendo constantes, la transformación loge permite linearizar la relación.
El estudio de la evolución a largo plazo de la pendiente (b) de la relación permite determinar la tendencia de la composición en talla y, por lo tanto, la tendencia de la mortalidad total.
4.2.2 La Estructura por Sexos
Cuando se utilizan las estadísticas de producción de las fábricas, no se dispone evidentemente del sexo. Siendo los machos más pequeños que las hembras, estos son más numerosos en las categorías pequeñas que en las grandes. En el interior de éstas, la relación de sexos no es uniforme porque varía con la talla. Al ser diferente la relación talla-edad para los dos sexos, las estructuras no son utilizables para el estudio del crecimiento o de la mortalidad.
García y Albaret (1977), siguiendo los trabajos de Wenner (1972), han propuesto considerar, con la prudencia que se impone, la posibilidad de utilizar la relación entre la relación de sexos y la talla para descomponer, a posteriori, las distribuciones de frecuencias determinadas sin distinción de sexos, en los casos en que los sexos no se distinguen exteriormente, o que los datos disponibles no los precisen. La relación media en Côte d'Ivoire (Figura 30), por medio de campañas experimentales en 1969–70, fue aplicada, a título de ejemplo, a la estructura de tallas de los desembarcos de Penaeus notialis en abril de 1974. La estructura global (machos + hembras) fue comparada con aquellas determinadas directamente mostrando una buena coincidencia (Figura 31). Es evidente que es necesario verificar que este procedimiento se pueda generalizar. Es verosímil que la relación pueda ser utilizada con grandes números (desembarcos mensuales), pero aún hace falta asegurar que ésta no sufre modificaciones estacionales debidas a migraciones diferenciales o a cambios de capturabilidad de unos de los sexos. Boerema (comunicación personal), ha señalado que cuando las variaciones estacionales del reclutamiento son importantes, la relación puede variar de un mes a otro. Marcille (1978), ha utilizado el método y demostrado la similitud de las curvas obtenidas para Penaeus indicus durante varios años y la diferencia de la curvas logradas para especies diferentes. Lhomme, trabajando sobre P. notialis en Senegal, ha demostrado la existencia de una curva idéntica a la obtenida por García y Albaret, pero está claramente desplazada, lo que indica que esta curva es característica de una población y no puede ser extrapolada a toda la especie.
4.2.3 Otros Datos
Entre los datos biológicos que son interesantes de recoger, se pueden igualmente señalar la frecuencia de camarones de caparazón blando y el estado de madurez sexual de las hembras. El primer dato, fácil de obtener, permite poner en evidencia los ritmos de las mudas, que son fenómenos de primera importancia en el estudio del crecimiento. El segundo dato permite determinar el ciclo estacional de la reproducción y será discutido con más detalle en el capítulo siguiente.
Cuadro 1
Clave de conversión de las categorías comerciales en longitudes totales para Penaeus schmittii (según Cadima et al., 1972)
| Longitud total (cm) | Frecuencia, porcentaje, de las longitudes totales en cada categoría | ||||||||
| 61/70 | 51/60 | 41/50 | 36/40 | 31/35 | 26/30 | 21/25 | 16/20 | 11/15 | |
| 8 | - | - | - | - | - | - | - | - | - |
| 9 | - | - | - | - | - | - | - | - | - |
| 10 | - | - | - | - | - | - | - | - | - |
| 11 | 15 | 12 | 1 | - | - | - | - | - | - |
| 12 | 72 | 43 | 26 | 1 | 4 | 1 | - | - | - |
| 13 | 13 | 38 | 56 | 8 | 9 | 1 | - | - | - |
| 14 | - | 3 | 15 | 24 | 14 | 2 | - | - | - |
| 15 | - | 3 | 1 | 52 | 25 | 21 | 4 | - | - |
| 16 | - | - | - | 14 | 33 | 44 | 33 | 5 | - |
| 17 | - | - | - | 1 | 12 | 26 | 29 | 22 | 2 |
| 18 | - | - | - | - | 2 | 5 | 20 | 43 | 20 |
| 19 | - | - | - | - | 1 | 1 | 4 | 23 | 33 |
| 20 | - | - | - | - | - | - | 1 | 6 | 35 |
| 21 | - | - | - | - | - | - | - | 1 | 9 |
| 22 | - | - | - | - | - | - | - | - | - |
| 23 | - | - | - | - | - | - | - | - | - |
| 24 | - | - | - | - | - | - | - | - | - |
La disponibilidad de estadísticas fiables es una de las condiciones esenciales para la puesta en aplicación de modalidades de ordenación racional de los recursos. Estas estadísticas podrán ser obtenidas:
si se dispone de un sistema permanente de recogida de datos en los puntos de desembarco, en cuya concepción deberán estar asociados estrechamente los investigadores, como usuarios de los mismos;
si se respeta escrupulosamente la regla del secreto profesional y si se ha acordado que las estadísticas permanecerán anónimas y no serán utilizadas con fines fiscales;
si se devuelve un mínimo de información. Esta devolución se puede hacer de forma informal por contactos personales, o formal bajo la forma de boletines de información, destinados a las fábricas, a los comerciantes o a los armadores (boletines estadísticos, informes sobre los mercados).
Por otra parte, la complejidad y cantidad de datos recogidos supone un tratamiento automático de la información. Ello implica disponer de un equipo de base y que el personal tenga una formación adecuada. El principio de la organización de la recogida de datos, de su codificación y su tratamiento, es siempre el que ya ha sido descrito más arriba, pero cada pesquería representa un problema particular, en un contexto diferente, y es difícil proponer un esquema general. Algunas publicaciones de las que ya se ha hecho referencia pueden ser consultadas (Snow, 1969; Slack-Smith and Stark, 1969; Berry, 1967; García, 1978; Marcille, 1978).

Figura 29 Variaciones de la hora y de la duración de la pesca (en horas) a lo largo del eje aguas arriba-aguas abajo (de Bapo al canal de Vridi) en la laguna de Ebrie (según García, 1977)

Figura 30 Relación entre la talla y la relación de sexos en Penaeus notialis (las líneas verticales son proporcionales a la abundancia de cada clase de edad, en % de la población) (según García, 1974)
![]() | |
![]() | ![]() |
Figura 31 Comparación de las curvas de frecuencia de tallas por sexos, observadas y deducidas mediante el uso de la relación de sexos/ talla en Penaeus notialis (según García y Albaret, 1977)
Además de los datos relacionados con los camarones, es importante tomar en consideración las capturas acompañantes de peces. Hasta ahora, en las pesquerías de camarones costeros se han descuidado muy frecuentemente los datos relacionados con los peces capturados, conservados o descartados. Esta es la consecuencia del precio desmesuradamente más alto de los camarones y de la alta especialización de las unidades de pesca. Esta situación no es satisfactoria, y un enfoque multiespecífico de la ordenación debe ser considerado. La consecuencia directa, a nivel de la recogida de las estadísticas, será la necesidad de prestar especial atención a los datos hasta ahora olvidados, como son los de las capturas y los descartes de las especies acompañantes.
Asimismo, es necesaria una estimación más rigurosa del esfuerzo ejercido sobre cada especie de camarón, cuando la explotación tiene lugar sobre varias de ellas simultáneamente.