Las mortalidades son parámetros extremadamente críticos en los estudio de dinámica de las poblaciones porque son difíciles de obtener, en particular lo que concierne a la mortalidad natural, y las consecuencias de los sesgos que afectan su estimación son importantes. Un análisis detallado de los sesgos posibles se puede encontrar en los manuales clásicos y, fuera de un mínimo recordatorio de la teoría de base, nos ceñiremos sobre todo a los métodos más utilizados en el estudio de poblaciones de camarón.
Hay dos formas de expresar numéricamente la mortalidad en una población: las tasas de mortalidad anuales, o esperanza anual de muerte y los coeficientes instantáneos (Ricker, 1975, p. 8). En esta exposición se utilizarán esencialmente estos últimos, ya que su uso está más ampliamente extendido.
Si el número de muertos durante un corto intervalo de tiempo es constantemente proporcional al número de ejemplares presentes en la población, la fracción de la existente al principio del año, aun con vida en el tiempo t será:
| Nt/No = e-Zt = e-(F + M)t | (7.1) |
donde M, F y Z son los coeficientes instantáneos de mortalidad natural, por pesca, y total, respectivamente.
Existen muchas maneras de estimar estos parámetros fundamentales para la dinámica de las poblaciones explotadas, que se pasarán a revisar en los párrafos siguientes.
Las diferentes aproximaciones posibles para la estimación de las mortalidades son:
el análisis de las estructuras demográficas de las capturas,
los marcados,
el análisis de las relaciones cpue/esfuerzo,
el análisis del vector de captura, poblaciones virtuales, análisis de cohortes,
los métodos aproximativos
7.1.1 Los Números de Ejemplares Sucesivos de una Misma Cohorte
La tasa de supervivencia de los camarones de una cohorte puede ser estimada aproximadamente por la relación del número de ejemplares de esta cohorte en dos años sucesivos:
![]() | (7.2) |
La fórmula sigue siendo válida con el número de ejemplares medio durante dos intervalos de tiempo sucesivos. Estos efectivos medios pueden reemplazarse por índices de abundancia proporcionales a los mismos por una constante “q” próxima, como las cpue en número. Si se admite que los números en una cohorte decrecen de manera exponencial en función del tiempo, se obtiene
Z = -logeS
donde Z es el coeficiente instantáneo de mortalidad total.
Si el esfuerzo de pesca puede ser considerado como constante a lo largo del período estudiado, o sin tendencia neta, una estimación combinada ponderada sobre muchos intervalos de tiempo puede obterse por métodos aritméticos tales como el método de Jackson (Ricker, 1975),
![]() | ![]() | (7.3) |
métodos conceptualmente similares como el de Chapman y Robson (1960) que dan una mejor estimación de S:
![]() | (7.4) |
| donde T = N1 + 2N2 + 3N3 +… | |
| y Σ N = No + N1 + N2 + … |
Si se juzga preferible obtener una media no ponderada, se puede calcular la media aritmética simple de los valores obtenidos con la ecuación (7.2) o por regresión como una función del tiempo de los logaritmos neperianos de los número sucesivos de la cohorte considerada. La pendiente de la recta es igual a – z.
Estas posibilidades se han recordado en la preocupación de presentar una exposición suscinta pero completa. Sin embargo, conviene señalar que, en el caso de animales de vida corta como los camarones cuya edad máxima esta próxima a los 2 años y que participan en las capturas de forma significativa durante un año solamente, el intervalo de tiempo útil es frecuentemente inferior al año. Las variaciones estacionales de capturabilidad hacen entonces difícilmente interpretables, en términos de mortalidad, los cambios observados del número de ejemplares en el tiempo.
Esta dificultad, añadida a la del paso de la composición en tallas a clases de edad, explica que los métodos que hemos recordado aquí hayan sido muy poco utilizados.
Notamos sin embargo que Berry (1967) ha utilizado cpue sucesivas sobre cortos períodos de tiempo para calcular las mortalidades totales. Este ejemplo será repetido en el párrafo 7.1.4. El marcado es un caso particular de este método que será examinado más tarde.
7.1.2 El Número de Ejemplares Simultáneos de Cohortes Sucesivas
Uno de los principales conceptos utilizados en los cálculos de dinámica de poblaciones es que, en condiciones de equilibrio (reclutamiento y mortalidad constante durante un período al menos igual a la duración de la vida en la pesquería) el número de ejemplares observados en un instante dado, para todas las cohortes de una población, son similares a los números sucesivos de una misma cohorte. Todas las ecuaciones recordadas en el párrafo precedente quedan pues válidas si son aplicadas al número de ejemplares correspondiente a cada edad en una muestra representativa tomada en un momento dado sobre una población en equilibrio.
Como la lectura directa de la edad es imposible en el caso de los camarones y la descomposición de las distribuciones de frecuencias de tallas es a menudo problemática, la formula de Heincke (en Ricker, 1975) es interesante porque no pide sino conocer el número de ejemplares de la primera clase de edad plenamente reclutada:
![]() | (7.5) |
donde Σ N representa el número total de ejemplares, incluyendo No.
En el caso particular de los camarones, la necesidad de trabajar con un intervalo corto de tiempo (el mes por ejemplo) implica que las hipótesis de base de este procedimiento no se cumplen cuando se utilizan histogramas de capturas mensuales.
Por ejemplo, si un camarón vive 12 meses y si se supone que la población (o generación anual) está constituida por 12 cohortes reclutadas mensualmente durante el año (reclutamiento “continuo”), es seguro que las 12 cohortes presentes en la captura, en un mes cualquiera del año, no han tenido el mismo reclutamiento si existen variaciones estacionales, lo que es generalmente el caso. Es posible igualmente que no hayan sufrido la misma mortalidad si existen variaciones estacionales de capturabilidad y/o de esfuerzo de pesca. Por tanto, el análisis del número de ejemplares de los diversos grupos de edad en una curva de frecuencia mensual no permite pues calcular una mortalidad.
Esta aproximación es sin embargo válida si se utiliza la distribución de frecuencia de tallas de las capturas totales del año. Una evaluación de la mortalidad se puede obtener dividiendo esta distribución en clases de edad con la ayuda de los datos del crecimiento medio anual, si se suponen constantes el nivel anual y las variaciones estacionales del reclutamiento1.
Este es el método clásico de las curvas de captura. García (1977a) lo ha utilizado para estimar la mortalidad natural con datos correspondientes a tres niveles de esfuerzo diferentes (Figura 48). Para limitar los sesgos debidos a la “división”, procedimiento más impreciso que la descomposición (ver Sección 5.1.1), sólo han sido usadas las distribuciones de tallas de las hembras (que cubre el mayor rango de tallas) y se han considerado grupos de edad bastante amplios (intervalos de cuatro meses). Berry (1970) ha utilizado igualmente los histogramas anuales de longitud de las capturas para evaluar la mortalidad total, pero con una división más fina porque ha calculado la edad media correspondiente a cada clase de longitud del histograma. El método ha sido también aplicado por Roessler, Jones y Munro (1969), para calcular la tasa de supervivencia de los estados larvarios, a partir de las abundancias de los diferentes estados y del tiempo pasado en cada uno de ellos.
Es siempre posible calcular directamente las mortalidades a partir de las distribuciones del número de ejemplares en función de la talla sin transformación previa. Este procedimiento que es al origen del método llamado “las curvas de captura” se remonta a Baranov (1918). Jones y Van Zalinge (1979) han propuesto su utilización en el caso de los peneidos de Kuwait, cuando se conoce la distribución de las frecuencias de tallas de los camarones capturados de una clase de edad durante toda su vida o, alternativamente, una distribución de frecuencia anual (lo que será a menudo una aproximación suficiente dado los valores elevados de M y F que se encuentran generalmente). En este caso, la comparación del número de ejemplares capturados de talla superior a L1, con los capturados de talla superior a L2 es una estimación de la supervivencia entre L1 y L2. El tiempo necesario para pasar de L1 a L2 depende de los parámetros de crecimiento K y L∞.
Los autores muestran en particular que
![]() | (7.6) |
donde ΣL N es la suma del número de individuos de talla superior a L y C es un término complejo independiente de L. La función de ajuste de loge ΣL N sobre (L∞ - L) es pues una recta de pendiente igual a Z/K, suponiendo Z constante (Figura 50). Si la linearidad no es respetada por todo el intervalo de tallas estudiadas, sólo la parte lineal se utilizará para la regresión. El intervalo escogido debe sin embargo representar una proporción suficiente del conjunto para que el valor de Z así calculado tenga cierta significación.
Está igualmente claro que el método no puede utilizarse sobre distribuciones que contengan una mezcla de los dos sexos; porque al ser las leyes del crecimiento en general diferentes, no existe relación talla-edad única para la distribución combinada.
7.1.3 Conclusiones
La duración de vida muy corta de los camarones, imponiendo el uso de intervalos de tiempo inferiores al año, y las variaciones estacionales de factores clave como el reclutamiento o la capturabilidad, hacen muy delicada la utilización de los métodos clásicos de estimación de la mortalidad. Más a menudo, las variaciones serán tales que no podrá hacerse ningún análisis a partir de las distribuciones mensuales de edad.
Las distribuciones de frecuencias anuales podrán utilizarse pero con precaución porque la descomposición clásica en clases de edad es a menudo muy difícil. Se puede entonces proceder a una “división” simple, basada sobre la curva de crecimiento medio anual, que puede sin embargo ser una fuente de sesgo. Por otra parte, es preferible no considerar más que grupos de edad suficientemente amplios para minimizar tanto como sea posible los errores debidos a la “división” sin olvidar que, para intervalos de tiempo importantes, la edad correspondiente a la talla media de un grupo no es idéntica a la edad media real del grupo considerado. La hipótesis de una mortalidad constante con la edad debe considerarse con prudencia. En efecto, cuando la unidad de tiempo es inferior al año, las variaciones estacionales pueden ser grandes y difícilmente disociables de las variaciones ligadas a la edad (ver Sección 7.5.2).
Recordemos finalmente que la calidad de los resultados obtenidos por análisis de las distribuciones de talla y edad dependen mucho de la representatividad de estas distribuciones y de la calidad del sistema de muestreo.
7.1.4 Caso Particular Cuando F es Variable en el Tiempo
Los métodos examinados en los párrafos precedentes suponen Z constante. Esto es sin embargo muy raro en el caso de los peneidos porque el esfuerzo puede variar sensiblemente de un año a otro, pero además porque la utilización de datos correspondientes a intervalos de tiempo inferiores al año, necesaria por su corta duración de vida, obliga a tener en cuenta las variaciones estacionales del esfuerzo y de F. Para más detalles sobre este tipo de situación ver Ricker (1965, Secciones 2.6 y 7.4). A continuación se exponen dos métodos que se han utilizado en los estudios de camarón: los métodos iterativos de Silliman y de Beverton y Holt.
7.1.4.1 Método de Silliman
Puede utilizarse cuando se dispone de datos de dos o más períodos anuales de esfuerzo estable en una pesquería. Si los dos períodos son bastante largos comparados con la duración de vida de los camarones, se puede calcular los valores Z1 y Z2 por análisis de las distribuciones de longitud y edad anuales. Se tiene entonces:
| Z1 = F1 + M | (7.7) |
| Z2 = F2 + M | |
| F1/F2 = f1/f2 |
siendo conocidos Z1, Z2 y f1/f2, se puede resolver estas tres ecuaciones y calcular F1, F2, M y q = F1/f1 = F2/f2.
García (1977) ha utilizado este método después de haber dividido los histogramas anuales de capturas correspondientes a una población casi virgen al comienzo, ligeramente explotada a continuación y después muy explotada (Figura 48).
![]() | ![]() |
Figura 48 Curvas de captura de correspondientes a 3 niveles de esfuerzo diferentes en Penaeus notialis en Côte d'lvoire (a, b, c) y evolución de la mortalidad total en función del esfuerzo de pesca (d) (según García, 1977). Los asteriscos dentro de los círculos representan los valores no utilizados
![]() | ![]() |
Figura 49 Variaciones a corto plazo de las cpue en número (A) y de categoría media (B) en Penaeus duorarum en Florida (según Berry, 1967). Las cifras indicadas representan los coeficientes de mortalidad semanales | Figura 50 Relación entre el número de ejemplares acumulado y (L∞ - L) para Penaeus semisulcatus de Kuwait (según Jones y Van Zalinge M.S.) |
7.1.4.2 Método de Beverton y Holt (1957)
Cuando no se dispone de períodos de estabilidad y el esfuerzo varía continuamente, estos autores proponen (pág. 234) un método derivado del precedente y análogo en principio al utilizado en la sección sobre los marcados. Si se dispone de índice de abundancia media para muchos períodos sucesivos en los cuales se conoce el esfuerzo medio, la regresión de

es una recta de pendiente igual a q y de ordenada en el origen igual a M. los dos primeros valores son mejorados por iteraciones sucesivas que implican el cálculo de un término correctivo (Ricker, 1975, pág. 170).
Paloheimo (1961) propone una modificación del método que permite, por regresión de Z sobre

obtener directamente q y M sin iteraciones.
Ninguno de estos dos métodos da valores realmente no sesgados de los parámetros, pero el segundo da la mejor estimación posible. Ricker (1973 y 1975) ha discutido la justificación de la recta de regresión predictiva usada por estos dos autores y, habiendo dado los errores verosímiles sobre f y Z, propone utilizar antes una regresión funcional (de Nair-Bartlett o de Wald). Sugiere asimismo calcular, con un valor de M obtenido por otros métodos, una recta funcional que pasando obligatoriamente por M conduzca así a un valor más preciso de q.
Berry (1967) ha seguido este principio en un contexto particular: el de las variaciones del esfuerzo a corto plazo en una pesquería de peneidos. Considerando que en algunos días la estructura de la población no cambia, relaciona las variaciones numéricas de la cpue con la mortalidad. La Figura 49 muestra las variaciones de la cpue y las de la talla media (en número de colas/libra). Se ve que la cpue disminuye cuando la talla aumenta (mortalidad) y aumenta cuando la talla media disminuye (reclutamiento). Considerando que las rectas de pendiente negativa reflejan la mortalidad total, berry cálcula los valores semanales de Z que relaciona simplemente al esfuerzo para obtener q y X (mortalidades naturales más emigración eventual). La dispersión de los puntos sobre la Figura 51 da una idea de la varianza de las estimaciones de M y q que el autor no ha calculado pero que se habría podido obtener utilizando las ecuaciones dadas por Paloheimo (1961).
7.2.1 Caso General: F y M son Constantes
A pesar de todos los inconvenientes de los métodos de marcado, el problema de la determinación de la edad en el caso de los crustáceos es tal que se tiene inevitablemente que recurrir a ellos. Tienen además la ventaja de permitir una estimación de la mortalidad por pesca y de la mortalidad natural (generalmente por exceso o sobreestimación). La teoría completa podrá encontrarse en los manuales básicos; ha sido revisada de forma muy detallada por Cormack (1968) y resumida por Jones (1976).
La población marcada puede ser tratada como una población normal, y son válidos los principios de la estimación de la mortalidad definidos en la sección precedente, ya que el problema de la variabilidad del reclutamiento está eliminado.
En particular, si F y M son constantes, la tasa de supervivencia viene dada por la relación de las capturas en dos intervalos sucesivos.
![]() | (7.8) |
y otra estimación combinada (no ponderada) de Z puede obtenerse calculando la recta de regresión de Ri sobre i. Este último método es el más utilizado y merece ser examinado más profundamente.
Si se considera que Z es constante, el número de ejemplares marcados decrecen exponencialmente con el tiempo y la evolución de sus logaritmos es una recta (Beverton y Holt, 1956; Gulland, 1969).
Si los logaritmos neperianos de recaptura se expresan en función del orden del intervalo de tiempo en que han sido obtenidos, el primero numerado como 01, se obtiene una recta de pendiente (-Zt) y de ordenada en el origen igual a

donde t indica la duración del intervalo de tiempo. Conociendo Z y No, número de marcas iniciales, se puede calcular F y, por sustracción, un valor X, que representa la mortalidad residual, asimilable a M en una primera aproximación si no hay emigración fuera de la zona ni mortalidad adicional. Por las diversas razones enumeradas en la Sección 6.8.4, esta estimación está sesgada por exceso y puede ser preferible calcular M a partir de un valor independiente de Z obtenido por otros métodos.
Con intervalos de tiempo suficientemente pequeños, Gulland (1969) demostró que si se usa el logaritmo neperiano de las recapturas en función del punto medio del intervalo2, se obtiene una recta de pendiente - Zt y de ordenada en el origen Loge FNot.
Paulik (1963), citado por Jones (1976), preconiza, siguiendo el mismo principio, una regresión ponderada de Loge Ri/No en función del rango del intervalo. El factor de ponderación es W = Ri/No. Este método se puede utilizar si no hay recapturas muy pequeñas o nulas para ciertos intervalos.
En el caso de los camarones, la duración de una experiencia de marcado es en general limitada (uno o dos meses) por la rápida disminución del número de ejemplares. Algunas veces será difícil marcar un número adecuado de camarones en un tiempo suficientemente corto como para poder considerar que el marcado es instantáneo. Jones (1979) propone usar entonces muchos grupos diferentes de camarones marcados durante períodos cortos (dos o tres días), contabilizar las capturas separadamente por intervalos de tiempo apropiados y después recombinar las recapturas obtenidas en intervalos de rango idéntico. Se reconstruye así una experiencia teórica, donde el número total de marcas largadas es la suma de los individuales y la fecha del marcado es la fecha media de las diversas marcas. Hay que recordar que, dadas las variaciones estacionales previsibles en los parámetros, conviene recombinar con prudencia los datos de recaptura procedentes de marcados muy espaciados en el tiempo.
1 Los rangos serán = 0, 1, 2, 3, etc.
2 Los números serán 0, 5, 1, 5, 2, 5, 3, 5, etc.
Después de la obtención de Z, la mortalidad por pesca puede obtenerse por la siguiente ecuación:
![]() | (7.9) |
que es equivalente a la tasa de explotación de Ricker cuando T = 1. R es el número total de recapturas obtenidas en la experiencia de duración T.
Beverton y Holt (1957) indican que
![]() | (7.10) |
donde R1 y R2 son las recapturas en el primer y segundo intervalo de tiempo (rango 0 y 1). Una regresión de loge Rr en función del rango de los intervalos tiene pues por pendiente
![]() | que es igual a (-Z), |
y por ordenada en el origen loge R1.
Se puede pues calcular
![]() | (7.11) |
y X = (F – Z). Este método ha sido utilizado por Berry (1967), Costello y Allen (1968) para Penaeus duorarum en Florida.
Es también interesante recordar los métodos llamados “de libertades acumuladas” creados por Gulland (1955). Este autor muestra que si se conoce la duración exacta del período de libertad (ti) de cada individuo recapturado, si los números decrecen exponencialmente y la probabilidad de recuperar otras marcas es nula, el período medio de libertad (Σti/R = t) es una estimación de 1/Z.
Se tendrá pués
![]() | (7.12) |
El autor muestra igualmente que
![]() | (7.13) |
y que
![]() | (7.14) |
Chapman (1961) propuso una estimación menos sesgada
![]() | (7.15) |
![]() | (7.16) |
cuyas varianzas pueden ser calculadas aproximadamente por
![]() | (7.17) |
![]() | (7.18) |
Nicholson y Pope (1978) discuten la precisión de las estimaciones y su robustez cuando las hipótesis de base no se respetan.
7.2.2 Caso Donde F no es Constante en el Tiempo
Los métodos de regresión suponen que Z es constante, lo que se produce raramente en los camarones. En efecto, el intervalo de tiempo útil es el mes o aun la semana y en este caso se asiste a fuertes variaciones de esfuerzo de pesca alrededor del valor medio. Como una aproximación, se pueden utilizar para la regresión, en lugar de las recapturas, las recapturas por unidad de esfuerzo. Este método aproximativo ha sido usado por Kutkuhn (1962), Berry (1967), García (1975), Le Reste y Marcille (1976). Cuando se lleva el logaritmo de las recapturas por unidad de esfuerzo en función del rango del intervalo (0, 1, 2, etc.), o del punto medio del intervalo (0, 5 – 1,5 – 2,5 -etc.), se obtiene una recta de pendiente -Zt y de ordenada en el origen igual a

respectivamente. Así se obtiene q por la ordenada en el origen y F por la relación F = qf. Los detalles de los cálculos pueden encontrarse en Gulland (1971b).
Beverton y Holt (1957) proponen el siguiente método, más riguroso, suponiendo que el esfuerzo es constante en un pequeño intervalo y que varía bruscamente entre dos intervalos (f es una función “en escalera” del tiempo).
Si se admite la ecuación clásica Fr = qfr y si el primer intervalo tiene el rango 0, demuestran que
![]() | (7.19) |
y proponen resolver esta ecuación por iteraciones sucesivas. Se puede considerar en primer lugar, el término más a la derecha como nulo y efectuar la regresión de

obteniendo una recta de pendiente igual a q y de ordenada en el origen igual a X. Estos valores permiten entonces hacer la regresión completa, teniendo en cuenta el término más a la derecha anulado antes, para obtener dos nuevos valores de q y X y repetir el proceso hasta la estabilización del resultado. El valor de q así obtenido permite calcular F conociendo el esfuerzo medio durante el período considerado. Este método ha sido utilizado por Kutkuhn (1966) en Penaeus duorarum.
Chapman (1961) crítica este método de regresión por no ser las dos variables independientes, ya que el esfuerzo de pesca f está presente en los dos términos de la ecuación. Da las ecuaciones del máximo de verosimilitud, que son demasiado complicadas para resolver sin ordenador, por lo que propone un método aproximativo por regresión múltiple, que es comentado por Cormack (1968, p. 495).
Más recientemente, Lucas (1975) trabajando sobre datos de Costello y Allen (1968) concernientes a camarones, ha propuesto un método de cálculo basado sobre el criterio del máximo de verosimilitud y un programa de ordenador que permiten obtener fácilmente las soluciones. Esquemáticamente, efectúa una regresión del logaritmo de las recapturas por unidad de intensidad de pesca sobre el rango del intervalo (siendo el primero 0). Se obtiene así Z y se puede calcular F y X por la ecuación
![]() | (7.20) |
donde R es el número total de recapturas, No el número de marcas iniciales y T la duración de la operación de marcado estudiada. Los valores F y X así obtenidos son considerados como simples valores de partida utilizados para calcular, con la ayuda de su programa, los valores finales maximizando la función de verosimilitud.
La ventaja de los métodos de Chapman (1961) y Lucas (1975) es que permiten calcular la varianza de los parámetros F y X obtenidos.
7.2.3 Caso Donde F no es Constante en el Espacio y Donde las Distribuciones de las Poblaciones Marcadas y Naturales son Diferentes
Uno de los postulados de base del marcado es que los efectos de la pesca sobre las poblaciones marcadas y no marcadas son idénticos, lo que supone, entre otras cosas, que la distribución de los camarones marcados y no marcados es la misma o que el esfuerzo de pesca está distribuido al azar. Este no es, evidentemente, el caso de los peneidos, donde la característica esencial de las distribuciones de densidad es su heterogeneidad y la existencia de gradientes. La mejor solución en estas circunstancias consiste en cuadricular el área de pesca y marcar en cada cuadrícula un número de camarones proporcional al rendimiento del barco de investigación (Gulland, 1969; Beverton y Holt, 1966). Se puede así efectuar lances cortos en cada una de ellas para marcar toda la captura. El tratamiento de los datos es después el clásico.
Sin embargo, el área de pesca considerada puede ser muy grande e imposible de cubrir en los plazos determinados. Además también es difícil, en este caso, que al efectuar el marcado en algunas cuadrículas solamente, la población se llegue a mezclar y, por la elevada mortalidad de los camarones, la mayor parte de las recapturas serán hechas antes de que esto suceda y entonces serán inutilizables.
La solución consiste en efectuar el marcado en la o las zonas más explotadas y utilizar las recapturas por unidad de intensidad de pesca (esfuerzo por unidad de superficie), como en el párrafo precedente (ver igualmente Gulland (1963)), para obtener un valor de q en la zona considerada. El cálculo de la intensidad global efectiva de pesca (“overall fishing intensity”) permite enseguida obtener F para el conjunto del área de pesca. La dispersión continua de los camarones a lo largo del desarrollo de la experiencia, se tiene en cuenta aumentando progresivamente también la superficie (Figura 52). Esta será definida por las zonas de donde provienen las marcas si ciertamente el área de pesca es prospectada por la flotilla.
7.2.4 Caso Donde las Primeras Recapturas no son Utilizables
Es posible que las recapturas en el o los primeros intervalos de tiempo después del marcado no sean utilizables:
bién porque la capturabilidad de los individuos marcados sea diferente de la de los camarones no marcados, por modificación del comportamiento;
bién porque la mezcla de las poblaciones marcadas y no marcadas no está completa.
Este problema ha sido encontrado por Berry (1967) y García (1975) para Penaeus duorarum en Florida y P. notialis en Côte d'Ivoire. Es un caso particular del problema precedente en el que el tiempo dado para la mezcla de las dos poblaciones es bastante corto, para que los datos correspondientes puedan ser añadidos sin una pérdida demasiado importante de información. Conviene entonces eliminar los datos correspondientes a este período y calcular la regresión que permite obtener Z con las observaciones ulteriores. La obtención de F necesita entonces un método aproximativo por iteraciones sucesivas para calcular N'o, número de marcas al principio del período útil. N'o1 es primero estimado groseramente suprimiendo de No el número de camarones (R') recapturados durante el período en cuestión (T) y haciendo abstracción de la mortalidad natural.
N'01 = N0 -R'
Este valor llevado a la ecuación (7.11) y los resultados de la regresión efectuada con los datos recogidos en los intervalos utilizables, permiten calcular F1 y después X1 = Z – F1. Se puede entonces corregir con más exactitud N0 haciendo
N' o2 = (N0 - R') e -X1T
La introducción de N' 02 en (7.11) permite calcular un segundo valor de la mortalidad por pesca
F2 y el proceso se repite hasta la estabilización de N' 0 y X. Este método ha sido utilizado por Berry (1967) en Penaeus duorarum.
El proceso sería similar si se usa la ecuación (7.9) para el cálculo de F. El valor de partida de M puede tomarse también de la literatura, si existe.
Se puede utilizar el mismo proceso cuando la pesca no empieza inmediatamente después del marcado. Se tiene entonces un período preliminar donde la mortalidad es solamente X, y N' 0 sera determinado como antes. Un ejemplo de esto se encuentra en el trabajo de Le Reste (1978).
7.2.5 Conclusiones
El marcado es una técnica indispensable para el estudio de la mortalidad de los camarones. Las principales dificultades son las siguientes:
es prácticamente imposible marcar camarones de pequeña talla sin sesgo considerable, salvo quizás con cinta de vinilo;
el número de marcados es siempre irrisorio si se miran los considerables efectivos de la población;
el esfuerzo de pesca no es constante nunca y varía fuertemente alrededor de la media en el mejor de los casos;
las mortalidades debidas al marcado no son evaluadas correctamente y los resultados obtenidos por los métodos experimentales clásicos, en acuario, no pueden ser aplicados sin riesgos.
Los métodos discutidos en las Secciones 3 y 4 han sido puestos a punto y utilizados sobre todo para el estudio de poblaciones naturales, no explotadas y cerradas. El marcado y la recaptura son efectuados generalmente por los mismos científicos y su equipo. Para un estudio detallado de los métodos concernientes, el lector se referenciará útilmente a Ricker (1958, 1975), Jones (1976) y a la revisión muy detallada de Cormack (1968).
Aunque han sido muy poco utilizados en el caso de las poblaciones explotadas, algunos ensayos más o menos fructuosos se han realizado con camarones y merecen ser recordados, a título de ejemplo.
7.3.1 Combinación de los Datos de Marcado, de Captura y de Esfuerzo - Método de Ketchen
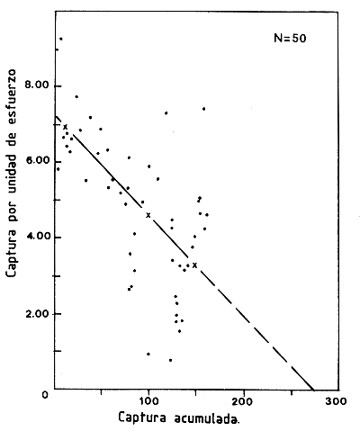
El método de Leslie permite calcular el tamaño de la población, la mortalidad por pesca, la mortalidad natural y la migración. Su base se encontrará en Ricker (1975, p. 150). Recordemos que el método sólo es utilizable si el esfuerzo aplicado es suficiente para provocar una disminución sensible de la cpue. Se demuestra entonces que, si la mortalidad natural y la inmigración son nulas o se anulan, la regresión de la cpue sobre la captura acumulada es una recta de pendiente igual a F/f (equivalente de q), de ordenada en el origen qNo y de abcisa en el origen = No (donde No es el tamaño inicial de la población) (Figura 53).
Ketchen (1953) ha propuesto una modificación del método, utilizada en el caso con los peneidos por Iversen (1962) y Clark y Caillouet (1973). La población natural está sometida a la mortalidad natural, la emigración y la inmigración. La población marcada sólo lo está a los dos primeros fenómenos. Ambas poblaciones son tratadas como en el método de Leslie (Figura 54).
Si F es la mortalidad por pesca
y la tasa de emigración
z la tasa de inmigración
M1 el número de individuos marcados inicialmente, y
N la población natural inicial,
el cálculo de las regresiones de la cpue sobre la captura acumulada, para las dos poblaciones (natural y marcada), permite obtener Mla y Na, número de ejemplares inicial aparente. Las pendientes de las rectas son iguales a (F + y)/f y (F + y – z)/f respectivamente. Se demuestra facilmente que

que z puede ser calculado por (F + y – z) - (F + y), y que
N = Na (F + y – z)/F
Una de las principales críticas a este método es que admite implícitamente una capturabilidad (F/f = q) constante. Si esta varía aleatoriamente alrededor de la media, se traducirá simplemente por una dispersión importante de los puntos. En el caso de los camarones sin embargo, la capturabilidad varía mucho y de manera no aleatoria. Varía en función del ciclo lunar (período de 14 días aproximadamente), como lo ha demostrado Penn (1976), y también estacionalemnte en función de las condiciones ambientales de temperatura (Penn, 1975) y turbidez (García, 1977). En estas condiciones, una experiencia hecha sobre algunas semanas podría estar sesgada seriamente por la existencia de una tendencia de q a la alta o a la baja.
Por esta razón, Penn (1976) consideró el método de Leslie como inaplicable en su estudio.
7.3.2 Evaluaciones Sucesivas del Número en una Población Cerrada - Método de Petersen
El método de Petersen (contrastadamente simple), llamado también método de Lincoln, se basa en el siguiente principio: cuando se introduce M individuos marcados en una población natural de N número de ejemplares y enseguida se toma una muestra significativa n, conteniendo individuos marcados, la relación de individuos marcados y no marcados es la misma en la muestra y en la población natural.

![]() | ![]() |
Figura 51 Método de cálculo de q y x utilizado por Berry (1967) para Penaeus duorarum en Florida. El esfuerzo es en horas de pesca y el intervalo de base es la semana | Figura 52 Zonas sucesivas de repartición de los camarones marcados, en Florida (según Costello y Allen 1968) |

Figura 53 Aplicación del método de Leslie a una población de Penaeus duorarum en Florida (según Iversen, 1962)
Este método permite así calcular el tamaño de una población aislada. Utilizado de manera repetida, da muchas estimaciones sucesivas que permiten calcular las mortalidades. Se verá al final de la sección un ejemplo de su uso en este sentido.
Se ha demostrado que esta fórmula daba resultados sesgados y se han propuesto otros métodos de cálculo. El utilizado para los camarones fue preconizado por Bailey (1951),

Ha sido aplicado por Penn (1976) a Penaeus latisulcatus en Australia, Clark y Caillouet (1973) a Penaeus setiferus e Iversen (1962) a Penaeus duorarum en el Golfo de México.
Este tipo de método debe ser usado cuidadosamente porque las hipótesis subyacentes son muy restrictivas, y son (Cormack, 1968):
los animales no pierden sus marcas;
están siempre correctamente identificados (sin error ni olvido);
o bién la población está realmente aislada, o bién no existe ni reclutamiento ni emigración de animales no marcados, y la mortalidad y la migración de los individuos son las mismas lleven o no marca;
el muestreo es aleatorio: todos los animales, marcados o no, tienen la misma probabilidad de ser recapturados. Si la población es heterogénea, esto debe aplicarse a cada estrato.
Iversen (1962) ha trabajado sobre una población de adultos de gran tamaño, en Florida, en un medio difícilmente controlable. Por otra parte, la marca que usó fue reconocida enseguida como relativamente mortífera (disco de Petersen demasiado ancho y fijado al centro del primer segmento abdominal). La mortalidad debida al marcado, evaluada en acuario, es muy elevada y quizás sobreestimada, si se considera lo dicho en la sección correspondiente sobre la mortalidad ligada a la marca en condiciones artificiales (Sección 6.8.4 y 7.2.5). Aunque con resultados aparentemente coherentes, es preciso reconocer que ha trabajado en condiciones muy difíciles y que estos resultados (como señala el mismo) deben tomarse con prudencia, ya que el número de individuos marcados fue muy escaso en relación con el tamaño de la población.
Caillouet y Jones (1973) se aproximaron más a las condiciones ideales, trabajando en una pequeña bahía poco profunda, aislada del estuario por una red para evitar los cambios. El marcado fue hecho con la ayuda de inyecciones de aceite de parafina fluorescente, eliminando prácticamente la mortalidad debida a la marca. A pesar de estas precauciones, los resultados no son muy coherentes.
Penn (1976) ha efectuado por su parte un trabajo interesante sobre una población vírgen de Penaeus latisulcatus en una superficie de 1 700 ha en la que fueron colocadas más de 13 000 marcas (toggle tag). La operación tuvo lugar en un período de reclutamiento débil. El muestreo estaba asegurado por dos camaroneros alquilados, trabajando de tal forma que cubrían toda la zona con un esfuerzo uniforme. Han obtenido, por el método de Petersen, muchas evaluaciones sucesivas de la población, pudiendo calcular mortalidades totales y separarlas en mortalidades natural y por pesca, gracias a la formula de la tasa de explotación de Ricker (1958).

donde N es el número de ejemplares de la población al principio del intervalo de observación y C la captura en número de ejemplares realizada durante todo el período de duración T.
Aquí también se han notado las discordancias entre los resultados a corto y a largo plazo.
En conclusión, estos métodos poco usuales han dado, cuando los han empleado, resultados de fiabilidad incierta, porque las hipótesis de base no son bién respetadas.
Para superar las dificultades encontradas en las aplicaciones de los métodos discutidos en el párrafo precedente, han sido puestos a punto métodos más sofisticados que se basan en la posibilidad de marcar, después de recapturar, muchas veces repetidas los mismos individuos. Utilizados por Barr (1971) en los camarones pandálidos, el método de Schnabel y otros métodos similares no se han utilizado nunca con los peneidos, ya que su fragilidad los hace impropios a las manipulaciones y conmociones repetidas que se producen en las recapturas sucesivas.
El método múltiple de Robson (1963) se puede usar sin embargo, porque no implica recaptura múltiple. Ha sido recomendado por Jones (MS) para los peneidos de Kuwait. La exposición hecha aquí está basada esencialmente en su texto.
El principio del método es el siguiente:
Si se efectúa un marcado de N1 individuos en el tiempo t1 y otro de N2 individuos en el tiempo t2, se puede calcular la tasa de supervivencia entre t1 y t2 comparando las recapturas obtenidas con los dos experimentos de marcado. Si las recapturas (a partir de t2) son respectivamente R12 y R22 y si se admite que las tasas de explotación son iguales durante el mismo período, para los dos grupos de camarones marcados, se tiene que:

donde S1–2 es la tasa de supervivencia entre t1 y t2, y N1 .S1–2 representa el número teórico de camarones marcados aún vivos en el tiempo t2. Siendo conocidos todos los elementos salvo S1–2, la mortalidad total entre t1 y t2 será
Z (t2 - t1) = - loge S1–2
Este método permite analizar las variaciones estacionales de Z (en relación con las del esfuerzo de pesca) y omitir también las recapturas efectuadas al principio de la experiencia si no son representativas. En efecto, si se estima que las recapturas no son utilizables más que a partir de t3 (ó t3 > t2 > t1) se tendrá que:

y también

donde R13 y R23 son las recapturas obtenidas a partir de t3 para los dos marcados considerados y N1 .S1–2 .S2–3 y N2 .S2–3 es el número de ejemplares marcados y aún vivos en t3. Se puede entonces calcular S1–2 y Z(t2 - t1), como anteriormente.
Aunque muy poco utilizados aun en el caso de los peneidos, la eventualidad de que esto se produzca debe ser considerada ya que tienen la ventaja de conducir al uso más intensivo de los datos de las estadísticas de captura. Permiten también obviar las dificultades encontradas algunas veces en la definición del esfuerzo.
7.5.1 El Método de Análisis de las Poblaciones Virtuales
El método de análisis de las poblaciones virtuales, cuyos principios han sido puestos por Fry (1949) fue utilizado por Neal (1967) en Penaeus aztecus del Golfo de México. La población virtual (V) es definida por Fry como la contribución completa de una población a la pesquería. En un momento dado se materializa en la captura acumulada, realizada en los intervalos de tiempo posteriores hasta la extinción de la población. Se tiene así una evaluación mínima de la población presente (porque los individuos naturalmente no son contados) y una evaluación máxima de la tasa de explotación, que Ricker (1975) llama tasa biostática de explotación.
Si U (max) es la tasa de explotación máxima (en el sentido de Ricker)
Ct la captura realizada a la edad t, y
ft el esfuerzo de pesca ejercido sobre la edad t,
se pueden definir los elementos siguientes:

F(max)t = - loge (1 - U(max)t) y

Si se conoce por ejemplo la composición en tallas (o en edad) de las capturas mensuales (por clases de tallas o por categorías comerciales), y el ciclo estacional del reclutamiento, se puede reconstruir el vector de capturas mensuales por clase de talla (o de edad) para una generación dada (Figura 55)1. La población virtual mensual, total y por clases de tallas (o de edad), por mes puede ser calculada a continuación, así como las tasas biostáticas de explotación correspondientes. Cuando estas tasas son obtenidas por clases de tallas, el uso de una curva de crecimiento medio permite estandarizarlos para unidades de tiempo comparables (por ejemplo la semana en la tabla siguiente).
Tasa máxima de explotación semanal (en %) por grupo de edad para Penaeus aztecus (de Neal, 1967)
| Categoría (No/libra) | Clase de edad | ||||
| 1961 | 1962 | 1963 | 1964 | 1965 | |
| 51–67 | 2 | 3 | 4 | 2 | 6 |
| 41–50 | 10 | 10 | 5 | 6 | 8 |
| 31–40 | 27 | 14 | 19 | 17 | 17 |
| 26–30 | 22 | 12 | 18 | 17 | 18 |
| 21–25 | 5 | 9 | 7 | 9 | 11 |
Tasa máxima de explotación semanal (en %) por grupo de edad para Penaeus aztecus (de Neal, 1967)
La existencia de variaciones estacionales de crecimiento implicaría pasar previamente los histogramas de tallas mensuales a clases de edad, antes de hacer el reagrupamiento para el cálculo de poblaciones virtuales.
Este método simple permite también obtener los porcentajes de la población virtual capturada mes a mes durante su presencia en la pesquería, y hacer comparaciones entre distintos años (Figura 55). El uso de datos económicos (valor por categoría de talla) lleva a una aproximación práctica de la relación entre la repartición estacional del esfuerzo, la tallas de los camarones capturados y su valor de un año a otro (Neal, 1967). Este autor ha limitado su análisis a este aspecto práctico y demuestra que débiles variaciones en el esquema estacional de explotación se traducen en variaciones apreciables en el nivel de capturas.
Este método, poco utilizado en el caso de los peneidos (el ejemplo citado era sólo conocido por los autores), ha sido sin embargo muy aplicado en otras pesquerías y en los trabajos de Bishop (1959) y Ricker (1971, 1975) se encuentran análisis sobre los errores ligados al método y una discusión de los resultados obtenidos.
Dado que los resultados del análisis de las poblaciones virtuales tienen una entrada limitada y son difíciles de interpretar, puede parecer preferible utilizar el análisis de cohortes.
7.5.2 El Análisis de Cohortes
Muchos métodos están agrupados bajo este vocablo. Consiste en un método de cálculo secuencial de la mortalidad por pesca y del tamaño de la población, para el cual Ricker (1975, p. 194) explicó sus orígenes. Cadima (1978) da la simbología y el procedimiento de cálculo a aplicar con los elementos disponibles. En general, si M se supone conocido, se puede calcular el vector de mortalidades por pesca si se dispone del vector de capturas por clase de edad y un valor de F o de la población a una edad cualquiera. En el caso más corriente se conoce Ci, Fi y M (supuesta a constante) en el último intervalo (método inverso). Si se designa por Ni el número de individuos presentes al principio del intervalo, de tiempo, Ni el número medio y Di el número total de muertos en el intervalo se puede entonces calcular:


Figura 54 Principio del método de Ketchen (según Ricker, 1975)

Figura 55 Representación esquemática de la reconstitución de la población virtual por una generación reclutada en continuo durante 12 meses, y donde la duración de la vida en la pesquería es de 12 meses. Cada columna es un histograma mensual de captura por edad. Para cada generación, las capturas en número por mes se obtienen de la última línea de la tabla y las capturas por edad (mes) de la última columna (inspirado de Neal, 1967)
Esta última ecuación, resuelta por iteraciones sucesivas o con la ayuda de las tablas de Schumacher (1970), permite obtener Fi-1, y el proceso puede ser repetido para los grupos de edad más jóvenes hasta el principio de la secuencia de capturas. El último valor de Ni así obtenido corresponde al reclutamiento. El método puede aplicarse igualmente partiendo del primer intervalo (método directo o proyección).
El valor inicial de M que se supone conocido, debe obtenerse por otros métodos (marcado, método de esfuerzos variables, métodos aproximados, abacos) o ser tomado de la literatura para la misma especie o una especie vecina. Esto representa en el caso de los peneidos una gran dificultad, porque los valores disponibles son muy variables según los autores.
El valor inicial de F puede obtenerse por marcado (García (1977), sobre Penaeus notialis) o por otro método.
Cuando subsiste una incertidumbre en el valor de M o de F, el análisis de cohortes puede asimismo efectuarse usando diversos valores para estos parámetros. Los cálculos serán entonces más fáciles de realizar mediante los programas de ordenadores actualmente existentes, tales como COHORT escrito por Fox y disponible en La Jolla. En este caso se prefiere el método inverso, porque cualquier valor inicial de F conduce a una solución posible. Todos los vectores de F así obtenidos son compatibles con el correspondiente vector de captura, y Jones (1961) ha demostrado que, para una M dada, las estimaciones de F convergen rápidamente hacia su verdadero valor. Este método permite a menudo eliminar los valores más improbables de F. Es utilizado, por ejemplo, por Marcille (1978) sobre los camarones de Madagascar.
Pope (1972) ha propuesto un método simplificado del análisis de cohortes, que ha sido después modificado por Jones (1974) para ser aplicado directamente a los datos de captura por clase de talla (capturas anuales por categorías, por ejemplo).
Si se designa por los índices 1, 2, 3 los grupos de tallas sucesivos y el índice 1 (uno) designa el grupo de menor talla, Jones (1974) demuestra que

donde C1–2 es la captura en número de individuos cuya talla está comprendida entre L1 y L2. Se puede escribir para más facilidad
N1 = (N2 · X1–2 + C1–2)X1–2
y donde

Si se conoce Nn-1, número de ejemplares en el límite inferior del grupo de tallas más grandes, se pueden obtener sucesivamente Nn-2, Nn-3, Nn-4, etc.
La tasa de explotación puede calcularse por la relación de las capturas al número de muertos en el intervalo (N1 – N2)
(F/Z)1–2 = C1–2/N1 – N2
La tasa de supervivencia y la mortalidad total en el intervalo de talla considerado, están dados por
S1–2·Δt = e–Z1–2·Δt = N2/N1
donde Δ es el tiempo necesario para pasar de L1 a L2· Entonces
Z1–2·Δt = - loge (S1–2·Δt)
F1–2·Δt = (F/Z)1–2·Z1–2Δt
Los valores de la mortalidad total sobre una base de tiempo t pueden después obtenerse por
Z1–2 = M1–2/ 1 - (F/Z)1–2
o incluso
Z1–2 = (Z1–2·Δt)/Δt
El razonamiento es idéntico si se dispone de un valor (F/Z)n-1,n para el grupo de tallas más elevado. Para obtener por ejemplo Nn, número de ejemplares en el limite inferior del último grupo de tallas, se puede usar
Nn = Dn-1,n = Cn-1,n/(F/Z)n-1,n
Después prosigue como ya se ha expuesto. La tabla siguiente resume los cálculos efectuados sobre una cohorte de Penaeus semisulcatus en Kuwait por Jones y Van Zalinge (1979).
| 1 | 2 | 3 | 4 | 5 | 6 | 7 | 8 | 9 |
| Categoría tamaño No/libras | Intervalo tallas (LC) | ![]() | X - A0,75 | Número capturado (106) | No al principio del intervalo de talla (106) | F/Z | F (anual) | Z (anual) |
| << 15 | 40, 5-Lmax | - | - | 0,63 | 1,26 | (0,5)a | - | - |
| 16/20 | 36,2–40,5 | 1,617 | 1,434(1,117)b | 0,63 | 2,28 | 0,62 | 6,3 | 10,2 |
| 21/25 | 33,2–36,2 | 1,268 | 1,195(1,117)b | 0,98 | 3,94 | 0,59 | 5,6 | 9,5 |
| 26/30 | 30,9–33,2 | 1,159 | 1,117 | 1,78 | 6,91 | 0,60 | 5,8 | 9,7 |
| 31/35 | 20,1–30,9 | 1,109 | 1,081 | 1,89 | 10,11 | 0,59 | 5,6 | 9,5 |
| 36/40 | 27,6–29,1 | 1,080 | 1,060 | 2,00 | 13,47 | 0,59 | 5,7 | 9,6 |
| 41/50 | 25,3–27,6 | 1,116 | 1,086 | 3,18 | 19,33 | 0,54 | 4,6 | 8,5 |
| 51/70 | 22,1–25,3 | 1,141 | 1,104 | 2,96 | 26,81 | 0,40 | 2,6 | 6,5 |
| 71/110 | 18,5–22,1 | 1,142 | 1,104 | 1,30 | 34,15 | 0,18 | 0,8 | 4,7 |
| 111/140 | 11,2–18,5 | 1,255 | 1,185 | 2,81 | 51,31 | 0,16 | 0,8 | 4,7 |
b El valor entre paréntesis ha sido utilizado por los autores en lugar del calculado
Hay que recordar que el método original de Pope (1972), según el autor, era válido para valores de mortalidad inferiores a 0,3 para M y a 1,2 para F.
7.5.3 Conclusiones
La aplicación de este tipo de métodos a los peneidos presenta muchas dificultades:
Los histogramas de frecuencias de tallas son difíciles de separar en grupos de edad por los métodos clásicos, lo que obliga a menudo a dividirlos en bloques yuxtapuestos con ayuda de la curva de crecimiento (o distintas curvas si existen variaciones estacionales). Para limitar los sesgos introducidos es preferible escoger intervalos de edad bastante amplios (el trimestre por ejemplo), aunque eso conlleva otro riesgo de sesgo.
El reclutamiento es a menudo continuo y consiste en un flujo permanente, más o menos modulado estacionalmente, de individuos de edad tr (en realidad esta edad puede variar ligeramente en el curso del año). Cuando los individuos se consideran una sóla generación anual, el procedimiento seguido en la Sección 7.5.1 y sobre la Figura 55 servirá de base para la construcción del vector de capturas por edad.
En el caso más plausible, sin embargo, la existencia de variaciones estacionales de la capturabilidad, del esfuerzo de pesca, y del crecimiento, pueden hacer preferible una subdivisión en las cohortes (base trimestral por ejemplo). La adaptación del método clásico de construcciones de los vectores de la captura sería elaborar las distribuciones trimestrales y dividirlas en clases de edad de tres meses cada una (0–2, 3–5, etc.) para reconstruir, en diagonal, el vector de captura (Figura 57A). Este procedimiento se basa en suponer que el reclutamiento se produce al principio del trimestre, lo que no es el caso, o que es constante en el tiempo, lo que tampoco puede ser cuando los intervalos son inferiores al año porque existen variaciones estacionales de reclutamiento.
Si los datos disponibles lo permiten, un mejor procedimiento sería compilar los histogramas mensuales y dividirlos en clases de edad para construir después los vectores de captura por clase de edad trimestral, siguiendo el esquema de la Figura 57B.
Es preciso finalmente notar que las variaciones de q observadas (si se conoce f en cada intervalo de tiempo) serán el resultado de las variaciones en función de la edad y de las variaciones estacionales, ligadas de forma prácticamente indisociable.
Teniendo en cuenta las características especiales de las poblaciones de vida corta y de la poca experiencia existente actualmente en la materia, conviene hacer una utilización prudente de los métodos discutidos después de haber examinado en qué medida las hipótesis de base están satisfechas. En cualquier caso, podrá referirse útilmente a los trabajos de Aager, Boetius y Lassen (1971), Pope (1972, 1978) y Ulltang (1977).
Cuando el recurso está constituido por una multitud de pequeñas poblaciones, más o menos ligadas a las bahías costeras como Madagascar, las migraciones de una bahía a otra son susceptibles de introducir sesgos en el análisis de capturas. Los trabajos de Ulltang (1977) y de Aldenberg (1975) llaman la atención sobre este aspecto del análisis de cohortes.
La industria se desarrolla en general mucho más rápidamente que la investigación, y el factor tiempo se convierte en un elemento primordial en la eficacia de la investigación orientada hacia la ordenación de los recursos. El uso de métodos que permitan evaluaciones rápidas de los parámetros básicos era recomendado en 1956 por Holt y el problema nunca ha dejado de señalarse después (Holt, 1962; Gulland, 1971; Joseph, 1972; Rikhter y Efanov, 1976; Pauly, 1978). Dicho problema es particularmente agudo para los peneidos, pues las poblaciones se encuentran muy frecuentemente fuera de las regiones donde existe un potencial de investigación elevado y los datos sobre ellos son extremadamente raros. Holt (1962) recomendó el estudio de las relaciones entre parámetros básicos (crecimiento, mortalidad, maduración) en grupos de especies, para, una vez identificadas las posibles leyes generales, utilizarlas en la determinación rápida de estos mismos parámetros en especies del mismo grupo, poco o mal conocidos. Beverton (1963) ha profundizado en esta posibilidad con los clupeidos y ha notado cierta coherencia en las relaciones entre estos parámetros. Concluye que existe una relación entre el crecimiento y la longevidad (entre la edad máxima o la mortalidad natural y K) e indica que la maduración está quizás aún más estrechamente ligada a la mortalidad que el crecimiento. Aunque los datos sobre este tema en los peneidos sean muy raros, nos ha parecido necesario desarrollar este aspecto y dar algunas relaciones que puedan ser eventualmente utilizadas con prudencia.
7.6.1 Relaciones entre Mortalidad Natural, Crecimiento y Longevidad
Beverton y Holt (1959), y Holt (1960, 1962) han demostrado las relaciones entre la edad máxima (Tmax), la edad máxima observada, y la “talla máxima” L∞, así como entre M y K para diversos grupos de peces. La información de este tipo de relaciones no existe para los camarones, pues los datos son aún raros y dispersos.
Tanaka (1960), citado por Saville (1977), ha dado una relación entre la edad máxima y M, que puede usarse para obtener una primera aproximación de M. Este tipo de relación debe utilizarse con prudencia y Beverton y Holt (1959) y Beverton (1969) señalan que su significación estadística es limitada porque la precisión de los datos utilizados es desconocida y los valores obtenidos son verdaderamente, en ciertos casos, sobreestimaciones o subestimaciones: la edad máxima deberá ser la media de los valores máximos obtenidos en una serie de muestreos de talla idéntica, lo que no es prácticamente nunca el caso. Por otra parte, el valor de Tmax observado depende de la intensidad del muestreo.
Estas observaciones deben estar presentes en el espíritu y muy particularmente en lo que concierne a los crustáceos para los cuales, en ausencia del método directo de lectura de edad, toda evaluación de la edad máxima (basada sobre la extrapolación de la curva de crecimiento hasta la talla máxima media alcanzada o sobre los marcados) es incierta. Recordemos igualmente las reservas puestas por Knight (1968) en cuanto a la significación biológica de los parámetros de crecimiento y la distinta opinión de Kruger (1969).
A pesar de las restricciones expresadas, Beverton y Holt (1959) notan que K y M parecen estar muy relacionados. En los camarones peneidos, los valores elevados de K (0,15 – 0,30/mes, que es 1,8–3,6/año) dejan suponer una mortalidad natural alta, lo que es normal para animales de corta duración de vida.

Figura 56 Comparación de las capturas (en % de la población virtual) por mes de presencia en la pesquería para las generaciones reclutadas en 1961 y 1962 (según Neal, 1967)

Figura 57 Representación esquemática del método de construcción del vector de captura
A: procedimiento clásico suponiendo se localiza al comienzo del trimestre o que es constante
B: procedimiento cuando el reclutamiento es continuo y está sometido a variaciones estacionales importantes
Si se llevan sobre una gráfica los valores de M y Tmax compilados por estos dos autores (Figura 58), así como la relación de Tanaka (1960) reproducida por Saville (1977), se nota:
que esta última parece subestimar los valores de M;
que para los peneidos, cuya edad máxima es alrededor de dos años, el orden de magnitud de M sería 2–3/año, es decir, 0,16–0,25/mes, en una primera aproximación. Esta estimación, aunque muy grosera, es comparable con los valores existentes en la literatura, y que van de 0,04 a 2,2/mes, es decir, 0,5–26/año, e indica que ciertos valores son claramente demasiado elevados.
Beverton (1963) ha señalado que la dispersión de los puntos en la relación entre M y K volvía imposible la obtención de un valor preciso de M a partir de un valor de K. Sin embargo, ha indicado también que esta dispersión estaba en parte ligada a una relación entre estos parámetros y la latitud o la temperatura del agua. Siguiendo esta idea, Pauly (1978) ha mostrado más recientemente una correlación entre M, L∞, K y T (temperatura media anual en superficie) bajo la forma:
log M = 0,1228 – 0,1912 log L∞ + 0,7845 log K + 0,2391 log T
log M = -0,1091 - 0,1017 log Woo + 0,5912 log K + 0,3598 log T
L∞ expresada en longitud total en centímetros, Woo en gramos y T en grados centígrados.
Aplicado a los datos de Penaeus notialis1 de Côte d'Ivoire (K = 2,2; L∞ = 20 cm LT; T = 24° C), este modelo permite calcular M = 2,8/año, valor muy próximo al encontrado por los métodos clásicos (M = 2,5).
7.6.2 Relaciones entre Mortalidad Natural y Madurez Sexual
Beverton y Holt (1959) han investigado, sin gran éxito, una relación entre Tmax y Lm/L∞, donde Lm es la talla de primera madurez sexual. Holt (1962) recuerda que se admite generalmente que la relación Lm/L∞ es de alrededor de 2/3 (valor medio 0,64 comprendido entre los valores mínimo y máximos de 0,3 y 0,9). En zonas tropicales ha sido calculado un valor medio de 0,58 ± 0,03 (con el 95 % de probabilidad) (ISRA/ORSTOM, 1979).
Continuando las investigaciones en este dominio aún poco estudiado de la dinámica comparativa, Rikhter y Efanov (1976) muestran una relación estrecha entre M y tm o tm50, siendo tm la edad de la primera madurez sexual y tm50 la edad cuando el 50% de la población está madura, llamada también por Rikhter y Efanov “la edad de maduración masiva”. Demostraron una relación hiperbólica cuya ecuación es:

Esta relación empírica permite fijar el orden de magnitud de M. Desgraciadamente es imposible calcular la varianza.
A título de ejemplo, Penaeus notialis en Côte d'Ivoire efectúa la primera puesta a los 7 meses y el 50% de los camarones están maduros a los 10 meses. La fórmula da M = 1,6/año ó 0,13/mes.
Este valor es sólo indicativo porque, como en la Figura 58, la relación utilizada es hiperbólica y por tanto poco precisa para las tallas pequeñas. Sin embargo es un elemento más que tiende a mostrar que la mortalidad natural de los peneidos es ciertamente elevada, pero no tanto como ciertos trabajos pioneros han podido dejar creer.
Rikhter y Efanov (1976) sugieren también que la edad de reproducción masiva parece poder ser asimilada a la topt, la “edad óptima” definida como la edad a la cual la biomasa de una clase de edad es máxima. Si esta observación es confirmada, se puede estimar M utilizando directamente las ecuaciones de Beverton y Holt (1966) que permiten calcular Lopt cuando el crecimiento se considera como isométrico


Figura 58 Relación entre la edad máxima y la mortalidad natural (según los datos de Beverton y Holt (1959) y Tanaka (1960). Esta última curva ha sido tomada de Saville, 1977) (curvas trazadas a mano por los autores del presente trabajo)
o la ecuación de Kutty y Qasim (1968) que permite calcular topt cuando el crecimiento es alométrico

y

donde to es la edad teórica cuando 1 = o,1o es la talla a la edad to y n el exponente de la relación talla-peso.
7.6.3 Método del Area Barrida
El principio esencial del cálculo de F por este método es expuesto por Beverton y Holt (1956) y ha sido utilizado para evaluar el orden de magnitud de F por Berry (1969) en la región de las Tortugas (Florida) y por Mathews (1973) en México. Este método supone que F es igual a la relación del área total barrida por la flota y el área total de la población si los camarones están distribuidos uniformemente y si todos los que se encuentran en el área barrida son capturados.
Berry ha estimado que la abertura real de la red es igual al 70% solamente de la longitud del burlón; ha calculado después el área realmente arrastrada, eliminando las zonas poco visitadas, y suponiendo que todos los camarones existentes delante de la abertura eran capturados por la red. Según Penn (1976) este método da valores muy sobrestimados de F para Penaeus latisulcatus en Australia. Esta observación es confirmada por el trabajo de Loesch et al. (1976) que muestran que la eficiencia de una red en pequeños fondos es solamente del 30 al 50 %. Watson (1976) ha mostrado que un arrastre eléctrico pescando camarones hundidos en los sedimentos tenía una eficiencia del 35 al 55 % en pesca por día. Según Klima (1976) en los arrastres de camarones ésta sería de 0,55 y 0,65 para las redes de arrastre de 18 a 21 m de burlón. Por otra parte, la eficacia de las redes de arrastre de camarones en la captura de peces sería de 0,25.
Se deben formular las observaciones generales siguientes:
los camarones se encuentran muy raramente distribuidos uniformemente. Existe en general una fuerte heterogeneidad en las tallas, las edades y las densidades y la pesca no es aleatoria sino extremadamente dirigida gracias al arrastre exploratorio. Convendría pues tenerlo en cuenta para dividir la zona de pesca en estratos y corregir los valores de F obtenidos, ponderándolos con la densidad en los estratos para evitar una subestimación de F (Beverton y Holt, 1956);
se supone que todos los camarones encontrados son capturados. Esto puede ser aceptable en Florida y con P. duorarum, donde la pesca tiene lugar exclusivamente de noche. Cuando la pesca se realiza durante toda la jornada, está claro que la hipótesis no es válida porque la capturabilidad varía según la hora del día.
Varía también estacionalmente (García, 1973–1977; Penn, 1976) y nunca es verdaderamente total. Este sesgo tiende a sobrestimar la mortalidad total y es opuesto al efecto del sesgo precedente.
Teniendo en cuenta estas observaciones, los valores de F obtenidos por este método deben considerase con prudencia.
7.6.4 Método de la Edad o de la Longitud Media
Como señalan Beverton y Holt (1956), una economía del esfuerzo puede realizarse en ciertos casos estimando la mortalidad a partir de las propiedades “integrales” de las estructuras demográficas. Por ejemplo, la edad media de los animales en las capturas puede relacionarse con Z por la ecuación
![]() | (Holt, 1956) |
donde t es la edad media de los individuos cuya talla es superior a tc o edad de primera captura.
Cuando el reclutamiento es continuo, como sucede a menudo en el caso de los camarones, Ssentongo y Larkin (1973) indican que la estimación no sesgada es:

donde n es el número de muestreos usados para estimar t. La varianza es dada por

Cuando la edad es difícil de determinar, como en los crustáceos, el análisis de la talla media de los individuos en la población y de sus variaciones a lo largo de la explotación permite una estimación aproximada de las mortalidades. Beverton y Holt (1956) han mostrado que si ℓ es la talla media de los individuos de talla superior a ℓ (o talla de primera captura), se puede escribir

Este método, utilizado por Banerji y George (1967) para Metapenaeus dobsoni, ha permitido calcular un valor medio de Z = 4,04/año o 0,34/mes.
Ssentongo y Larkin (1973) dan un método derivado que permite calcular Z cuando el reclutamiento es continuo, como sucede generalmente en los peneidos costeros.

donde
, y es la media de y en n muestras,
y

Estos métodos, a pesar de su sensibilidad a pequeñas variaciones de lc, sirven para dar el orden de magnitud de las mortalidades totales.
El cálculo de las mortalidades en el caso de los peneidos es complicado por la dificultad de obtener composiciones en edad fiables o de utilizar marcas sin riesgo de sesgos importantes. Los métodos de dinámica comparativa (Holt, 1962) son aún difíciles de usar porque los valores disponibles en la literatura son muy poco numerosos y disparados.
Las relaciones generales entre M y la edad máxima (Tmax) o M y la edad de madurez (tm) son imprecisas para animales de vida corta y sólo permiten tener una idea grosera del orden de magnitud de M.
Los primeros experimentos de marcado realizados en Estados Unidos han dado estimaciones de M tan elevadas que hacen prácticamente inútil toda reglamentación. Los resultados obtenidos después en diversas regiones del mundo llevan a pensar que estos primeros valores estaban sin duda sobrestimados, probablemente porque las técnicas de marcados y el análisis de los resultados no estaban aún totalmente dominados.
Aunque hay una tendencia creciente a admitir que la protección de los juveniles es natural que mejore la producción, no deja de ser difícil definir el valor exacto de las mortalidades y en particular el de la mortalidad natural cuya importancia es primordial en los modelos.
A título de ejemplo se han reagrupado en la tabla siguiente algunos valores disponibles en la literatura.
Se ve que los valores encontrados para M varían de 0,04 a 2,2 por mes o de 0,48 a 26,4/año. El valor más bajo dado por Berry está sin duda subestimado ya que el de F obtenido por el método del área barrida es probablemente demasiado alto (ver Sección 7.6.3). La gran mayoría de los valores se encuentran entre 0,10 y 0,45 por mes. Como la mayor parte han sido obtenidos por marcado pueden tener errores por exceso. Eso conduce a valores anuales de M = 1,2 a 5,4. La utilización prudente de los métodos sugeridos en las Secciones 7.6.1 y 7.6.2 debería permitir eliminar los valores menos probables.
Notemos por último que se admite a menudo que la mortalidad natural de los machos debe ser superior a la de las hembras, ya que su crecimiento finaliza más rápidamente (Holt, 1960, 1962; Beverton y Holt, 1959; Beverton, 1964). Sin embargo, en P. notialis, García (1975) ha mostrado que la relación de sexos en función de la edad es estable y próximo al 50 %, lo que implica que las mortalidades son idénticas para los dos sexos (Figura 34). Esta estabilidad había sido puesta en evidencia igualmente por Iversen, Jones y Idyll (1960).
| Especies | Autores | M/mes | F/mes | Z/mes | |
| P. duorarum | Kutkuhn | (1966) | 2,2 | 3,8 | 3,0–6,0 |
| Berry | (1967) | 0,08–0,24 | 0,64–0,92 | 0,88–1,08 | |
| Costello y Allen | (1968) | 0,32–0,44 | 0,12–0,28 | 0,44–0,72 | |
| Berry | (1970) | 0,04–0,08 | 0,36 | 0,40–0,48 | |
| Garcia | (1977) | 0,17–0,32 | 0,15–0,16 | 0,32–0,48 | |
| Garcia | (1977a) | 0,21 | - | 0,24–0,32a | |
| P. setiferus | Klima y Benigno | (1965) | 0,32 | 0,24–0,76 | 0,96–1,08 |
| Klima | (1974) | 0,16–0,48 | 0,40–0,48 | 0,65–0,90 | |
| P. aztecus | Klima | (1964) | 0,84 | 0,24 | 1,08 |
| P. indicus | Le Reste | (1978) | 0,21 | 0,27 | 0,48 |
| Marcille | (1978) | 0,15–0,25 | |||
| P. latisulcatus | Penn | (1976) | 0,05–0,13 | 0,04 | 0,09–0,16b |
| Marcille | (1978) | 0,10–0,30 | |||
| Metapenaeus dobsoni | Banerji y George | (1967) | - | - | 0,34 |
| Penaeus plebejus | Lucas | (1974) | 0,2 (adultos) | 0,88 (adultos) | 0,28 |
| 0,88 (juv.) | 0,16 (juv.) | 1,04 | |||
| Metapenaeus monoceros | Marcille | (1978) | 0,10–0,20 | ||
a Para varios niveles de esfuerzo
b Población prácticamente no explotada