Los camarones peneidos presentan unos de los recursos halieúticos más rentables del mundo. Su precio es muy elevado y la fuerte demanda que existe sobre los mercados de los países ricos (Estados Unidos, Japón, Europa) representa un formidable incentivo para el desarrollo de las pesquerías. Muchos países en desarrollo desean obtener de este recurso los medios (en divisas) que necesitan, y así se reúnen todas las condiciones para que, en ausencia de medidas de control, el esfuerzo de pesca alcance niveles demasiado elevados, que conducen a una sobreinversión, unos costes de producción excesivos, una rentabilidad nula y quizás una reducción global del valor de las capturas.
La ordenación de este tipo de pesquerías desde sus primeras fases es por lo tanto un factor importante para un desarrollo armónico y una rentabilidad óptima. En este orden de ideas es conveniente identificar los objetivos de ordenación así como decidir la metodología más apropiada. Aunque los datos disponibles no son siempre tan completos como uno desearía, se ha acumulado una cantidad fantástica de información después de los trabajos pioneros de Boerema (en FAO/UN, 1961) y Gunter (1966) sobre la ordenación de la pesca de camarón.
Cualquiera que sea el modelo que se ajuste mejor a la producción de una población de camarón y al esfuerzo de pesca ejercido (sección anterior), se observa generalmente la siguiente relación: cuando el esfuerzo aumenta, la captura aumenta igualmente, casi proporcionalmente desde el principio. No obstante, y muy rápidamente, la captura aumentará a menos velocidad que el esfuerzo conduciendo a una disminución progresiva de la captura por unidad de esfuerzo (Figura 78). Dado que los costes de explotación son aproximadamente proporcionales al esfuerzo ejercido, la curva que liga el valor bruto de las capturas con los costes de explotación tendrá la forma indicada sobre la Figura 84a. En el punto B, el valor de las capturas es máximo, en A el valor es igual al coste de la captura siendo entonces la rentabilidad nula. En la Figura 84b, se aportan otros índices económicos: el producto marginal (valor neto añadido a la captura por un crecimiento de los costes de una unidad o pendiente de la curva de valor total sobre la Figura 84a) y el producto económico neto, es decir la diferencia entre el valor de las capturas y los costes para obtenerlas. Estas curvtienen, evidentemente, sentido para la pesquería considerada en su conjunto y no son válidas si consideramos una unidad o una compañia de pesca.
Si no hay control, la pesquería se desarrollará hasta el punto A, e incluso más allá si el producto económico neto negativo es compensado por unas ayudas gubernamentales directas (subvenciones, créditos con intereses preferenciales) o indirectas (degravaciones, reducción del precio del carburante, etc.). En la situación mundial actual, y como consecuencia del nuevo derecho del mar (una importante potencia de pesca inutilizada, buscando campos de acción), es obvio que una pesquería rentable puede desarrollarse muy rápidamente, y que existe el peligro de que las pesquerías sobrepasen su nivel óptimo de desarrollo a causa de retrasos, difícilmente evitables, en los círculos de decisión. En ausencia de otras posibilidades, la pesquería se puede estabilizar en D, donde sólo se cubren los costes de funcionamiento (carburante, personal, seguros) y donde los medios de explotación se degradan debido a una falta de amortización.
La pesquería de camarón de Estados Unidos es un excelente ejemplo de gestión ineficaz de una pesquería. Según Neal (1975) esta pesquería está en un estado de “sobrepesca económica”. Hay demasiados barcos y demasiado personal y a pesar de que la captura se ha estabilizado, los beneficios por pescador disminuyen. Esta pesquería está siendo objeto actualmente de numerosos análisis económicos: Griffin y Beatie (1978), Griffin, Lacewell y Hayenga (1975), Blomo et al. (1978), Griffin y Nichols (1976), Griffin y Jones (1975), Rounsefell (1975), Greenfield (1975). Este último autor, analizando la crisis económica que afecta a la flota, culpa al incremento de los costes de combustible de ser el desencadenante de la crisis. El indica que el producto marginal decreció desde hace mucho tiempo pero que siempre permaneció superior a aquel que uno podría esperar con pesquerías alternativas. El incremento continuo del precio de los camarones ha permitido un movimiento inflacionario de la pesquería (y Rounsefell (1975) indicó que cada buen año ha sido seguido de un incremento de la construcción de nuevas unidades). En 1974 el producto económico neto de todos los tipos de barcos fue negativo pero la flota continuó funcionando debido a que los beneficios permanecieron superiores a los costos de funcionamiento. Esta situación podría continuar a corto plazo pero no prolongarse mucho debido a la degradación del potencial económico.
Es por ello que Rounsefell, criticando los reglamentos actuales, pidió la aplicación urgente de un sistema de entradas limitadas asociadas a una fuerte reducción del número de barcos. Está claro que, una vez alcanzado este estado de desarrollo, la crisis no será resuelta sin algunas conmociones socio-económicas.

Figura 84 A: Relación entre el esfuerzo y el valor de las capturas mostrando la posición de equilibrio A en ausencia de ordenación
B: Efectos de la evolución del esfuerzo sobre el valor de la cpue, el producto marginal y el producto económico neto (según Gulland, 1972)
Como regla general, es cierto que en muchos casos el producto económico neto se aumentaría sensiblemente reduciendo el esfuerzo pesquero (a un nivel inferior a aquel que produce el valor maximo de las capturas (B, B') y donde el producto marginal es nulo). En el punto C, el producto marginal es igual al coste de la unidad de esfuerzo que lo produce. En este punto, el producto económico neto es máximo. La dificultad reside en el hecho de que diversos países explotando el mismo recurso tendrán diferentes óptimos económicos. Existen, por supuesto, otros objetivos para la ordenación (mejor uso de la mano de obra, mejor distribución de los beneficios, etc.) pero según Gulland (1972), el punto C no está, en general, lejos del óptimo que permitiría satisfacer las diversas exigencias.
Es necesario recordar que en un análisis económico de este tipo, el costo de las medidas de ordenación que se intenten (costos de las limitaciones, de la vigilancia, etc.) se debe añadir a los de producción.
A la vista de este esquema teórico simplificado, es necesario planificar la ordenación teniendo en cuenta algunos principios fundamentales:
Es preferible intervenir muy pronto en el desarrollo de la pesquería. En efecto, es más fácil frenar la expansión cuando parezca necesario que reducir el nivel de explotación cuando la situación se vuelve catastrófica, ya que las consecuencias sociales y económicas a corto plazo son entonces tan desastrosas que la puesta en aplicación de un esquema de ordenación será muy dolorosa.
La ordenación no debe ser considerada solamente como un proceso restrictivo y coercitivo, sino también como una actividad integrada que apoya el desarrollo de una pesquería en sus comienzos (incentivos financieros, préstamos, prospecciones científicas, programas de mejora tecnológica, creación de infraestructuras) controlando el desarrollo y sus consecuencias (seguimiento del estado de los recursos, evaluación del potencial) y estableciendo mecanismos de regulación (cuotas, licencias, etc.) cuando sean necesarios.
Una pesquería bien ordenada crea un producto económico neto importante (diferencia entre el valor de la captura y el costo de la pesca). Es muy importante decidir, a nivel de las autoridades, sobre la utilización de este excedente que puede alcanzar unos niveles poco compatibles con los beneficios de otras profesiones y por ello crear algunas tensiones. Esta decisión permitirá definir el arsenal legislativo necesario para la transferencia de los beneficios (hacia otras actividades de pesca a desarrollar, hacia la hacienda pública, etc.).
Una buena ordenación descansa sobre una clara definición de los objetivos a alcanzar, sobre la disponibilidad de datos adecuados (biológicos, socio-económicos y políticos) para la identificación de las diversas alternativas posibles y para la puesta en aplicación de una estructura, de un mecanismo de consulta permanente entre la administración, la investigación y la explotación, a través del cual los datos disponibles se traducirán en decisiones cuyos resultados podrán ser utilizados retroactivamente para afinar o redefinir la estrategia de ordenación. Un esquema general de este tipo de mecanismos se presenta en la Figura 85. Etzold y Christmas (1977) han proporcionado un buen ejemplo de definición de objetivos y propuestas concretas para un mecanismo de coordinación regional.
Una política de ordenación eficaz se apoya sobre una definición clara de los objetivos a alcanzar y la puesta en aplicación de una estructura que permita ejecutar las medidas necesarias. Los diversos objetivos teóricamente posibles, en el caso de una pesquería de camarones, son los siguientes:
conservación a largo plazo del recurso;
maximización de la producción física;
maximización del valor total de las capturas o de la entrada de divisas;
maximización del producto económico neto;
disminución de los costes de producción (consumo de carburante, por ejemplo);
mejoras de la condición económica y social de la mano de obra para una mejor oportunidad de empleo y redistribución de los beneficios;
mejora de la explotación de las especies secundarias (muy frecuentemente descartadas, lo que representa un despilfarro considerable);
mejora de la rentabilidad de los arrastreros por la reducción de la destrucción de juveniles por parte de los camaroneros.

Figura 85 Mecanismos elementales de ordenación (modificada de Etzold y Christmas, 1977)
En la práctica, las políticas de ordenación serán definidas para cada caso particular a la luz de los conocimientos científicos y de los objetivos inmediatos, teniendo en cuenta que los datos (biológicos y económicos) necesarios, suficientemente precisos y exactos, raramente están totalmente disponibles.
La aparente simplicidad del concepto del modelo de producción (Capítulo 11) ha motivado su muy amplia utilización, durante el último cuarto de siglo, por los organismos responsables de la ordenación. Este modelo ha sido utilizado para los peneidos y seguirá durante un cierto tiempo, a falta de una mejor alternativa. La adecuación de este modelo para representar la evolución del recurso bajo la presión de la explotación ha sido discutida en un capítulo precedente. Aquí solamente examinaremos el valor del RMS como herramienta para la ordenación.
El concepto de rendimiento máximo sostenible (RMS) se basa sobre un modelo simple que:
describe las características biológicas de una población de forma comprensible para todo el mundo;
da una escala de valores para una pesquería. El RMS representa la “mejor” situación a la que hay que tender, y todos los esfuerzos superiores al nivel que da el RMS están prohibidos;
proporciona un “slogan” fácil de adoptar por todos: científicos, administradores y profesionales.
No obstante, tal y como nos ha recordado Gulland (1969), “es dudoso que la obtención del rendimiento máximo sostenible deba ser el objetivo de la ordenación, excepto en circunstancias muy especiales”.
Desde entonces, numerosos autores han acumulado críticas de todo tipo hacia este concepto (Christy y Scott, 1965; Larkin, 1977; Gulland, 1969, 1977, 1978; Sissenwine, 1978, etc.).
12.3.1 Argumentos Biológicos
La búsqueda del RMS presenta diversos inconvenientes graves:
Disminución del potencial reproductor. Conduce a buscar una explotación próxima a la ideal, donde la edad media en las capturas es cercana a la edad óptima (cuando la biomasa de una cohorte es máxima). Esta edad (topt), está muy próxima a la edad de primera madurez (tm) por lo que se daña el potencial reproductor, se reduce la población parental en individuos jóvenes, disminuye la fecundidad y la calidad de los huevos y se incrementa el riesgo de catástrofe (Larkin, 1977).
Empobrecimiento Genético. Este causa la desaparición de los elementos menos resistentes de una población conduciendo a un empobrecimiento genético de la misma. Según Larkin (1977) es indudable que ya han desaparecido muchas subpoblaciones.
Poblaciones2 Multiespecíficas. El RMS es inadecuado para las poblaciones multiespecíficas debido a que no se puede obtener, al mismo tiempo, el máximo de cada una de las especies, y la suma de los RMS específicos calculados será superior al RMS combinado que realmente podría obtenerse. En la medida que admitamos que la producción de una población es más estable que la de sus componentes, parece preferible calcular un RMS global, con todas las capturas específicas acumuladas, para evitar esta sobreestimación.
Crítica al concepto de equilibrio. La misma noción de equilibrio (de estabilidad) inherente al RMS (rendimiento máximo “sostenible”) es desafiada ya que existen variaciones interanuales inevitables del reclutamiento y, por lo tanto, de la producción. La búsqueda forzada del RMS durante una secuencia de malos reclutamientos puede conducir a un desequilibrio peligroso de la población.
Existe la tendencia a suponer que el esfuerzo sostenible al nivel del F permitirá, por término medio, obtener la captura máxima media anual, ya que la producción anual fluctuará, debido a causas naturales, a ambos lados del RMS. Según Doubleday (1976) y Sissenwine (1978), esto no es cierto y la captura máxima media (maximum average yield, MAY) es inferior al RMS, especialmente cuando la variabilidad natural es alta. Toda tentativa de alcanzar el RMS conducirá, por ello, a una sobreexplotación. Por otro lado, el fijar F al nivel de FRMS llevará a la obtención de una captura máxima media inferior, a largo plazo, al RMS.
Sissenwine (1978) indicó que, cuando existen fluctuaciones interanuales de la población (lo que es el caso de los peneidos), un ajuste anual de la tasa de explotación conduce a aumentar la captura máxima media obtenible durante un período largo.
Al discutir la noción de máximo “sostenible”, Sissenwine concluyó que la única magnitud que corresponde a la denominación es la cantidad que sería extraída cualesquiera que sean las variaciones interanuales de la biomasa y, por término medio, es la producción más baja previsible. En la práctica, éllo implica una baja utilización en los años de alta producción, pero para especies de vida muy corta (peneidos, cefalópodos, etc.) y producción muy variable e impredictible, esta técnica podría ser, según el autor, la única utilizable si el objetivo anual de captura no puede ser ajustado en función de índices de reclutamiento obtenidos por otros medios.
Gulland y Boerema (1973) sugirieron que cuando la producción anual es independiente de la abundancia parental (lo que puede ser el caso de los peneidos donde las variaciones interanuales de la producción parecen enmascarar eventuales relaciones con la abundancia de la población parental), es suficiente mantener F al nivel considerado como óptimo sobre la curva de rendimiento por recluta (Fmax o F0.1).
12.3.2 Argumentos Técnicos
(a) Valor de las estadísticas. La simplicidad del modelo se basa en las estadísticas elementales necesarias y su aplicación específica. Larkin (1977) recuerda que las estadísticas oficiales son muy imprecisas, aunque los estadísticos dirían que son más precisas que exactas. Este es el caso de los peneidos para los que, debido a la falta de datos de calidad, la distribución de las capturas y del esfuerzo por especies y población unitaria es imprecisa, la estimación del esfuerzo es frecuentemente aproximada, y los datos relativos a la pesca artesanal son, en la mayoría de los casos, inexistentes.
(b) Métodos de regresión. Sissenwine (1978) crítica el uso de las regresiones de la cpue sobre el esfuerzo de pesca cuando este último es determinado por la división de la captura por unidad de esfuerzo y cuando, además, se suaviza la serie con medias móviles para tener en cuenta el tiempo de desfase (método de Gulland, 1969). La confusión de la variable independiente (cpue) y de la variable dependiente (que es en realidad el esfuerzo en este caso particular) introduce una correlación significativa incluso para series de captura y cpue obtenidas al azar.
(c) Valor limitado para la ordenación. Aparte de las consideraciones ya enumeradas, una de las limitaciones del concepto de RMS es su poca aptitud para permitir la previsión de las consecuencias de una modificación del vector de la mortalidad por pesca en función de las estaciones o de la edad y, por lo tanto, para la predicción de los resultados de un cambio de malla, de una veda anual, o de un incremento del esfuerzo de pesca artesanal sobre los juveniles.
12.3.3 Argumentos Socio-Económicos
Desde 1965, Christy y Scott subrayaron la poca aptitud del concepto RMS para tener en cuenta factores sociales (empleo, recreo, etc.) o económicos (costes, ganancias, beneficios, etc.).
12.3.4 Conclusiones
La utilización del concepto de rendimiento máximo sostenible (RMS), o captura máxima media (MAY), como base para la ordenación, presenta por lo tanto unas dificultades que deberán ser tenidas en cuenta. La obtención de un máximo físico de las capturas (en tonelaje o en valor) no es un objetivo defendible, debido a que es difícil de alcanzar, y solo puede ser aproximado a costa de ciertos riesgos para la reproducción y la estabilidad del recurso (aunque este riesgo puede ser limitado en camarones) y a través de un incremento de los costes que no justifica el de las capturas. Las alternativas propuestas al RMS son, no obstante, raras e imprecisas, y la definición del concepto de captura óptima equilibrada (optimum sustainable yield, OSY) de Roedel (1975) destaca toda la amplitud del problema. En efecto este nuevo concepto se define como:
“A deliberate melding of biological, economic, social and political values, designed to produce the maximum benefit to society from stocks that are sought for human use, taking into account the effect of harvesting on dependent or associated species.”1
1 Nota del traductor: En inglés en el texto original francés
En realidad, como subrayó Sissenwine (1978), la OSY se basa en la práctica esencialmente en el RMS modificado por diversas limitaciones (económicas, sociales, etc.) y el epitafio de Larkin (1977) para el concepto de captura máxima equilibrada parece aún prematuro.
Por lo tanto, el RMS parece todavía una magnitud útil a definir. Representa una limitación que debe ser identificada y no sobrepasada sin serias razones, pero no es en sí mismo el objetivo a alcanzar. Por ello parece útil definir, como objetivo para la ordenación, un punto de la curva situado a la izquierda del RMS (Figura 84a).
Gulland y Boerema (1973) han propuesto una definición del nivel de esfuerzo “óptimo” sobre una curva de rendimiento por recluta en función de F, por el criterio F0.1, definido como el punto donde la curva de rendimiento por recluta (o tangente a la curva) tiene una pendiente igual al 10% de la pendiente en el origen, es decir, cuando el producto marginal es inferior al 10% del producto marginal teóorico de la población virgen. Este criterio permite una considerable reducción de los costes para una pequeña pérdida de la captura total y un incremento del producto económico neto, así como una gran mejora del potencial reproductor.
Por analogía, en un modelo de producción el nivel óptimo de explotación Fopt puede ser definido como aquel donde la captura marginal (aumento de la captura por unidad de esfuerzo suplementaria) cae por debajo del 10% de la cpue obtenida de la población al principio de la explotación.
Se les puede clasificar en grupos que, no obstante, no son completamente distintos: métodos para regular las tallas capturadas y aquellos que controlan el esfuerzo pesquero.
12.4.1 El Control de las Tallas Capturadas
Todos los métodos que pueden ser considerados bajo este título llegan a una disminución de la mortalidad de las clases jóvenes confiando en una mejora de la producción, en la medida en que las ganancias potenciales a través del crecimiento de los que sobrevivan compensará ampliamente las pérdidas por muerte natural. Esto se puede obtener bien por la regulación de las mallas, estableciendo una talla mínima de desembarco cerrando o regulando la explotación en las zonas de alevinaje, o bien por vedas estacionales en el momento de la migración hacia el mar.
Estas medidas no ejercen influencia en el tamaño de la flota, y no pueden evitar que a largo plazo las inversiones y los costes se vuelvan excesivos.
12.4.1.1 Regulaciones para medidas de mallas
Según Lindner (1965) el incremento del tamaño de mallas que se necesita para llegar a un aumento apreciable en la talla de camarones capturados sería tal que las pérdidas inmediatas serían inaceptables, aun cuando puede esperarse un pequeño beneficio a largo plazo. Esta explicación, que sólo se aplica a camarones, fue confirmada por Lhomme (1979) quien señaló que las mallas de 20 a 35 mm dan curvas de selección prácticamente solapadas pero claramente distintas de las correspondientes a las mallas de 40 y 50 mm (Figura 73).
Según Gulland (1972) la regulación del tamaño de las mallas no es efectiva para peneidos porque el proceso de selección no es muy eficiente (debido a la presencia del rostro y apéndices que pueden impedir su paso a través de la luz de malla). Boerema (1974) indicó que “la regulación de mallas no sería muy efectiva para regular la talla del camarón, debido al amplio rango de selección de las mallas usadas en el arrastre para camarones” (ver 10.2 y 10.4.2). Según este autor, el cumplimiento de esta regulación debería ser complementado por una legislación sobre talla mínima autorizada para camarones que evitará su venta pero no su destrucción por las redes.
Según Hynd (1975), Lhomme (1979), García, Boely y Domain (1980), Garcia y Lhomme (1977)2, tal regulación puede ser útil. Estos autores dan los siguientes argumentos:
ya que los camarones tienen una vida corta y un crecimiento rápido, la posible ganancia anual se obtendría antes de terminar el primer ciclo anual;
el aumento del tamaño de mallas lleva a un aumento en edad y peso medio individual y precio por kilo (que depende del peso medio individual). El posible aumento en valor sería proporcionalmente mayor que el aumento en el tonelaje;
las mallas usadas en la actualidad por todos los camaroneros capturan grandes cantidades de pescado pequeño no comercial que es desechado (varias toneladas/día/barco en las costas de Africa). Estos peces son en su mayoría juveniles y su destrucción intensiva pone seriamente en peligro el reclutamiento de especies explotadas por otras pesquerías. Un aumento, incluso pequeño, en la malla (cuyos beneficios, en términos de producción de camarón deberán ser evaluados) debe ser beneficioso para las pesquerías costeras de arrastre.
2 Ver apartado 10.2 para referencias adicionales
El problema de regular el tamaño de la malla se vuelve difícil cuando la pesca se lleva a cabo simultáneamente con especies de camarón de diferentes tallas óptimas. El ajuste de la malla correspondiente al óptimo para las poblaciones más rentables (generalmente las especies mayores) conduciría a la sobreexplotación de las especies secundarias.
En el mismo orden de ideas, debe considerar que la selectividad de trampas, nasas de bambú y otros tipos de artes de estuario pueden también ser modificados para permitir el escape de los juveniles aumentando la separación entre los palos de bambú con los que se construyen las barreras y las trampas (Le Reste y Marcille, 1973).
Desde la óptica de una ordenación integral de la explotación de las especies demersales, se debe tomar en consideración, en la definición de malla óptima, no sólo las diferentes especies de camarón capturadas conjuntamente, sino también las especies de peces accesorias (de las que se guardan sólo los ejemplares de más valor), y tener en cuenta el efecto inducido por la disminución de las mallas de los arrastres para camarón sobre los recursos de peces explotados por arrastreros (destrucción masiva de juveniles).
Existen regulaciones de mallas en la mayoría de los países (según Ruello, 1975, existen en Australia desde 1880), pero los pescadores se saltan a menudo la ley de la siguientes maneras:
utilizando una malla distinta a la oficial;
forrando el interior o el exterior del copo con una malla más fina;
simplemente doblando el paño donde la malla es reglamentaria. Lo que resulta en una malla más pequeña, aproximadamente la mitad de la legal;
atando un lastre muy pesado al final del copo para obtener un alargamiento de la red y así reducir las aberturas.
Es importante destacar que cuando el período de reclutamiento intensivo está limitado en el tiempo, una veda estacional instaurada justo antes del reclutamiento produce un efecto sensiblemente idéntico al de la regulación de mallas (bien entendido que sólo en lo que concierne a las especies de camarón).
12.4.1.2 Talla comercial mínima
Esta regulación pretende:
que la pesca no sea atractiva en zonas donde abunden camarones de pequeña talla;
reducir la tentación de evadir las regulaciones sobre mallas.
Todos los especialistas concuerdan en que estos métodos han resultado ser ineficaces por sí solos. Obligan a los pescadores a desechar los camarones jóvenes capturados. Se pierde un tiempo precioso clasificando la captura y, en cualquier caso, debido a su fragilidad, los camarones jóvenes ya están muertos cuando se descartan; el efecto sobre la conservación del recurso es nulo. En los pocos casos en que esta medida ha sido aplicada, lo que fue más por razones comerciales (dificultades de procesamiento, limitaciones de mercado) y por la presión de los comerciantes que por serias razones biológicas. Rounsefell (1975) destacó que en ciertas zonas de estuario del golfo de México los descartes alcanzan un 80 % de la captura. Este ejemplo es suficiente para mostrar la ineficacia del método cuando se aplica solo.
12.4.1.3 Ordenación y protección de las zonas de alevinaje
La primera fase del rápido crecimiento del camarón tiene lugar en los estuarios, en la zona intermareal, en la vegetación o pantanos de manglares, y la protección de esta fase pasa por la conservación del hábitat (ver apartado 12.4.1.3a).
(a) Prohibición de pesca. Cuando los camarones jóvenes alcanzan profundidades mayores, están expuestos a ser capturados primero por la pesca artesanal (salabardos, trampas, etc.) y luego, cuando la profundidad es suficiente, por la pesca de arrastre motorizada. Las zonas pobladas por camarones de talla inferior a la de la primera captura autorizada deberían, por lo tanto, estar permanentemente cerradas a todas las modalidades de pesca.
La protección se reforzará si esta medida está acompañada de una ley que establezca una talla comercial mínima. No obstante, en los países en desarrollo, la ley puede incumplirse, ya que los camarones de pequeña talla, secados o ahumados y reducidos o no a polvo, sirven como condimento y son vendidos por medios tradicionales difíciles de controlar.
(b) La ordenación del medio ambiente. Las zonas de alevinaje también deberían estar protegidas de agresiones indirectas como la contaminación. La localización de zonas de concentración de juveniles debería de tomarse en cuenta durante la elección de lugares para la instalación de zonas industriales, desarrollo urbanístico, etc. La rehabilitación biológica de hábitats que han sido degradados es una medida de ordenación que puede dar buenos resultados. Por otra parte, la destrucción de la vegetación acuática por el arrastre “artesanal” puede también propiciar una caída apreciable de la producción.
La ordenación de los cursos fluviales (irrigación, barras antisalinas, etc.) puede también afectar la capacidad biótica de ciertas zonas de alevinaje y, por lo tanto, el reclutamiento.
El dragado intensivo de las entradas a las lagunas modifica la distribución de las salinidades en los estuarios y puede tener consecuencias importantes (cambios en la composición de especies, disminución de la abundancia). Por otra parte, las operaciones para la regulación de niveles de agua en pantanos y para promover intercambios mar-estuario, pueden ser de tal naturaleza que se favorezca la entrada de larvas en las zonas de crecimiento, aumentando la producción de la población. Se ha propuesto ordenar las zonas naturales para disminuir la predación, y así mejorar la supervivencia de las larvas (Kurata, 1972), e incluso la construcción de zonas intermareales artificiales (Kurata, 1979).
(c) La repoblación. Esta técnica se practica principalmente en Japón y es un subproducto de la acuicultura. La relativa facilidad con que los camarones pueden ser cultivados hasta el estado de poslarva, y las dificultades de llevarlos de una forma económicamente rentable hasta su talla comercial, ha conducido a ciertos laboratorios a considerar seriamente la posibilidad de suplementar la reproducción de los camarones con un aporte artificial de poslarvas o de juveniles cultivados.
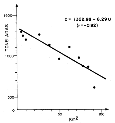
Este es un enfoque complejo ya que los resultados prácticos parecen difíciles de demostrar. Doi et al. (1972) han desarrollado una metodología que permite seguir la evolución de las poblaciones así como evaluar cuantitativamente los efectos de sembrar en una población salvaje, y destacan las grandes dificultades de tales intentos. Kurata (1972) enumeró las condiciones esenciales para una siembra satisfactoria e indicó que ciertos principios implícitos eran incompatibles. Según Hiroko (1973) hay pocas pruebas biológicas de las ventajas que produce esta técnica y Doi, Okada e Isibashi (1973) indicaron que en el mar interior de Seto (donde tuvieron lugar este tipo de experiencias) la producción de camarones era inversamente proporcional al tamaño de la zona intermareal contaminada por actividades humanas (Figura 86). Según Doi, la pérdida es de 6 t/km2 de terreno natural destruido y los resultados muestran que es ilusorio intentar mejorar una costa mediante la repoblación, incrementando el reclutamiento que ha sido destruido de otra forma, como es por la contaminación o la degradación de las zonas de alevinaje.
En cualquier caso, un estudio de Hasegawa et al. (1975) indicó que la tasa de recaptura de “semillas” por los pescadores puede alcanzar un 42 % y que la operación puede ser rentable, si se mejoran las técnicas para liberar los camarones jóvenes. Los resultados definitivos de esta técnica de ordenación están aún por demostrar y se requieren estudios más amplios antes de poder pronunciarse sobre su eficiencia.
12.4.1.4 Vedas estacionales en estuarios
Excepto en las zonas marginales del hábitat, la mayor parte de los fondos arrastrables de una bahía están poblados por camarones cuya talla varía con las estaciones. Ya que los camarones requieren protección hasta una talla determinada, se hace necesario prohibir su pesca hasta que se alcance la talla límite.
La veda estacional “ideal” puede establecerse mediante datos experimentales. No obstante, la dinámica de las cohortes varía apreciablemente de un año a otro, en función de la fecha de comienzo de la estación de puesta y del reclutamiento de las larvas de los estuarios, así como de la combinación entre la temperatura y la salinidad durante el período de estancia en la zona de alevinaje (Ford y St. Amant, 1971). Al ser los pescadores muy reticentes a tales cierres, se hace necesario decidir cada año las fechas precisas de cierre y apertura en función de la evolución de la población, controlada por un muestreo permanente durante el período crítico. La evolución de la biomasa del camarón es un proceso extremadamente dinámico y, según Ruello (1973), las ventajas proporcionadas por una ordenación flexible justifican el coste de la necesaria investigación suplementaria. La fecha de apertura se calcula extrapolando los datos recolectados en las semanas precedentes y corresponde a unas fechas en la que un cierto porcentaje (50 % ó 75 %, por ejemplo) de la población excede el límite de talla mínima adoptado. Un ejemplo teórico se muestra en la Figura 87. Tal método se utiliza en Estados Unidos (Ford y St. Amant, 1971; Ingle, 1956, 1960) y en Australia (Ruello, 1975).
Del establecimiento de zonas cerradas o vedas estacionales resultará un retraso en la edad de primera captura para acercarse a la edad óptima, aumentando así la biomasa media disponible y la captura total.
Cuando varias especies coexisten en un estuario, la aplicación de este principio es más complicada, especialmente cuando las estaciones de puesta son diferentes. Ford y St. Amant (1971) presentaron un ejemplo y Eldridge y Goldstein (1977) propusieron esquemas que pueden utilizarse cuando están implicadas dos especies.
12.4.1.5 Vedas estacionales en el mar
La pesca marítima puede vedarse en el momento que el reclutamiento sea más intenso. De esta forma puede evitarse la explotación de concentraciones de juveniles, de rápido crecimiento, que no hayan alcanzado la talla de madurez sexual. La veda puede coordinarse con la de los estuarios, si es que existe. Los trabajos realizados en Côte d'Ivoire (García, 1977) muestran que los resultados esperados dependen mucho del esquema de las variaciones estacionales de la capturabilidad en el mar. Grant y Griffin (1979) estudiaron las consecuencias de tales cierres sobre las capturas del golfo de México.
El aspecto económico de estas vedas debe considerarse antes de que se decida su aplicación. De hecho, un cierre corto (un mes) puede ser ventajoso para los armadores pués aseguran las reparaciones (suponiendo que los astilleros puedan recibir toda la flota en el mismo mes). Un período más largo puede ser costoso si los barcos no tienen otra posibilidad y deben detener sus actividades. Las ventajas económicas pueden, en este caso, ser malgastadas ya que los costes fijos tienen que mantenerse durante el período de veda.
A menudo hay posibilidades de actividades alternativas con una ligera adaptación en el equipo, y de hecho estas se realizan por parte de los pescadores en períodos de bajo rendimiento. En Côte d'Ivoire, por ejemplo, en la estación fría, parte del esfuerzo es desviado hacia los camarones costeros o hacia los profundos, que son desatendidos durante el resto del año. En la costa sudoriental de los Estados Unidos, los camaroneros buscan pescado fuera de la estación de pesca del camarón (lutjánidos, serránidos, espáridos, pomadásidos) o pescan cangrejos, ostras, almejas, o camarones de profundidad (McKenzie, 1974).
12.4.2 El Control del Esfuerzo Pesquero
Una ordenación de este tipo permite reducir los costes y frecuentemente aumentar las capturas y su valor. Pueden considerarse dos clases de regulaciones: aquellas dirigidas a limitar la eficacia de la pesca individual y las que persiguen limitar la capacidad de la flota.
(a) Limitación de la eficacia del esfuerzo. Estas medidas son raramente aplicadas en operaciones camaroneras en el mar, donde la innovación es la regla, y donde el cambio del arrastre clásico a un aparejo doble y luego al Twin (ver Sección 3.2) ha permitido mejorar continuamente la eficacia de la pesca. al disminuir la eficiencia de la flota, aumentan inútilmente los costes de la pesca y Gulland (1972) concluyó que tal medida no puede ser justificada económicamente salvo para evitar la destrucción de juveniles (camarones o especies asociadas). Esto sucede en algunos estuarios donde las dimensiones de las redes están limitadas, como es el caso de Australia desde 1965 (Ruello, 1975). Asimismo, las redes de arrastre remolcadas en aguas poco profundas están prohibidas en ciertas zonas de los estuarios de Senegal. Las pesquerías artesanales que utilizan redes fijas constituyen un problema particular. La eficacia global de esta pesquería depende de la posición de las redes, por lo que la eficiencia varía de acuerdo con su ubicación, y aumenta especialmente en pasos y canales (ver Capítulo 8.5). La necesidad de asegurar cierto escape y una mejor distribución de las ganancias a lo largo de la ruta de migración, puede justificar la puesta en aplicación de regulaciones sobre el emplazamiento y número de redes autorizadas. La prohibición del uso de artes eficaces se podría justificar para proteger a una clase de pescadores que no tienen los medios para invertir en equipos costosos. Se puede prohibir así el arrastre en lagunas para dejar los beneficios a los pescadores artesanales que usan redes fijas.
No obstante, debe recordarse que el éxito de las medidas dirigidas a limitar la eficiencia de las redes es discutible ya que el poder de pesca efectivo depende de numerosos factores asociados con el arte, el barco, la distribución del esfuerzo, etc., que permiten a los pescadores continuar aumentando la eficiencia por medio de un factor no limitado.
(b) Cupos de esfuerzo (o de captura). Ciertas vedas estacionales parecen ser también una forma indirecta, costosa e ineficaz de limitar la eficiencia de las flotas. Este es el caso, por ejemplo, de la pesca que se interrumpe cuando el esfuerzo o la captura ha alcanzado un cierto nivel. Esta medida reduce los gastos de funcionamiento (combustible) pero, si no se acompaña de una limitación del tamaño de la flota, no es suficiente para impedir la sobre-inversión a largo plazo.

Figura 86 Relación entre la superficie acumulada de las zonas de estuario degradadas y la captura total en el mar interior de Seto (Doi, T., K. Okada y K. Isibashi, 1973)

Figura 87 Esquema teórico de definición de la fecha de apertura de la pesca en estuario (adaptado de Ford y St. Amant, 1971)
Se ha dicho que cuando se trata con animales de vida corta como los camarones peneidos, cefalópodos y quizás con algunas especies de peces tropicales1, las regulaciones por cuota anual de captura pueden ser inadecuadas. De hecho, cada pescador, en su intento de conseguir una participación creciente del cupo global, tiende a incrementar su poder de pesca y a concentrar sus actividades más y más frecuentemente después del reclutamiento. La misma captura total estaría así compuesta de un creciente número de juveniles, cada vez más jóvenes, que causaría un aumento paralelo en mortalidad de pesca para la misma captura total. En tal situación, la regulación no obtendrá el resultado esperado, es decir, el bloqueo de la tasa de explotación en el nivel deseado. Además puede tener un efecto nefasto en el plano económico. De hecho, nada impide que las inversiones excedan notablemente el nivel que sería necesario si las operaciones de pesca estuviesen uniformemente distribuidas a lo largo del año. El esfuerzo anual podría estar mejor distribuido estableciendo cuotas para períodos cortos (trimestralmente por ejemplo), dando una mejor distribución en la explotación del ciclo anual. No obstante, tales regulaciones serían siempre más difíciles de aplicar.
A nivel operativo, el establecimiento de cupos de captura para controlar la mortalidad de pesca implica también que la autoridad responsable de la ordenación deberá estar informada en tiempo real de las capturas efectuadas. Las difficultades que tienen ciertos países costeros en conocer la naturaleza (especies) y el peso de las capturas realmente realizadas por las diversas flotas que operan en su zona económica exclusiva (dificultad de muestreo de su pesca artesanal y control de la actividad y de las actuaciones de buques extranjeros que operan con licencia), aboga en favor de una limitación de esfuerzo.
(c) La limitación de acceso a la pesquería. Ninguna de las medidas recomendadas anteriormente puede por sí sola evitar la sobrexplotación. A lo sumo se podrá mejorar el estado de la población e incrementar temporalmente la rentabilidad. No obstante, estas mejoras animarán rápidamente a los armadores a invertir en un esfuerzo suplementario que vendrá, mediante la activación de los mecanismos ya descritos al principio del capítulo, a malgastar la renta que la regulación haya podido producir (Pearse, 1980).
La regulación de la tasa de explotación por control de esfuerzo de pesca, por ejemplo mediante el control de los medios de captura, evita estas dificultades. Permite no solo prevenir la sobrexplotación biológica de las poblaciones sino también minimizar los costes de explotación, lo que no es menos ventajoso. Además, si se sobreestima el esfuerzo que se necesita para obtener el esperado nivel óptimo de explotación, tal regulación no implicará el mismo daño que el que surgiría de la regulación por cuota de captura si el máximo rendimiento medio ha sido sobreestimado (Walter, 1976).
Teniendo en cuenta la corta duración de la vida de los camarones tropicales y ante el hecho de que año tras año las variaciones en la abundancia son mucho mayores que las variaciones en capturabilidad, y ya que este método aporta una posibilidad de controlar tanto las capturas como los costes de explotación, deberá darse preferencia a la regulación de los medios de explotación (barcos, artes).
Esto puede realizarse, por ejemplo, limitando tanto el número de barcos en flotas nacionales como, en los países donde surge la cuestión, el número de licencias concedidas a barcos extranjeros. Tales licencias deben obviamente establecer los límites de tallas y las otras características que afectan al poder de pesca de los barcos, así como al tipo de pesca (arte) y especies autorizadas.
La limitación del número de unidades de pesca es simple de aplicar, especialmente cuando se implanta al comienzo de las pesquerías, pero el control de las tasas de explotación, limitando el esfuerzo pesquero, también implica la estimación y control de las actuaciones de las diferentes clases de barco y, sobre todo, los aumentos en eficiencia que ciertamente surgirán de las innovaciones técnicas (aumento del poder de pesca) o de mejoras en la distribución espacio-temporal de las operaciones de pesca (mejora en el coeficiente general de capturabilidad). En principio, la tasa de captura de cada clase de barco en cada pesquería puede determinarse por la observación del modo de actuación de una muestra de barcos. Esta posibilidad puede simplificar apreciablemente la recolección de datos. Esta última es, en cualquier caso, indispensable para evaluar periódicamente las ganancias en eficiencia, en orden a determinar el número total de licencias que se necesitan. Los diarios de navegación, que deben ser llevados como condición para obtener una licencia, pueden ser una fuente excelente de datos para controlar la actividad de la flota.
La introducción de un sistema de ordenación mediante licencias tiene ventajas y desventajas. Uno de los aspectos esenciales es que de la regulación resultarán unos beneficios sustanciales, que serán repartidos entre los portadores de licencias, lo que acrecentará el valor de las mismas. Según Olsen (1975) esta prima alcanza de US$ 20 000 a 30 000 en el sur de Australia.
1 Donde la magnitud de la captura depende del reclutamiento anual
Este fenómeno puede crear alguna tensión cuando los beneficios sean mucho mayores que los obtenidos por otros comerciantes (Haysom, 1975) así como una considerable presión exterior por parte de aquellos que quieren tener acceso a la pesquería.
La introducción de una cuota alta permitirá a la administración recuperar parte del valor añadido creado por solicitudes de licencias. Según Gulland (1978) el establecimiento de una cuota que sea gradualmente más alta a medida que se acerque el nivel de esfuerzo al óptimo, tiene que desanimar progresivamente a eventuales candidatos, ya que tanto los pescadores como la administración llegarán a las mismas conclusiones sobre los niveles de rentabilidad de la pesquería. El valor potencial de una licencia puede utilizarse para estimular la explotación de zonas menos frecuentadas o especies (haciendo pesca exploratoria o desembarcando cierto tonelaje de pescado de ciertas especies para condicionar la obtención de una licencia) o animar el establecimiento de infraestructuras en tierra. Hancock (1975) destaca que la explotación de poblaciones distantes se potenció en Australia mediante la limitación, a priori, de acceso a los mismos, creando así un cuasi-monopolio para las compañias pioneras.
Por otra parte, según Bowen (1975), la seguridad dada por medio de un sistema de licencias, impide la búsqueda de nuevas zonas de pesca creando situaciones frustrantes de cuasi-monopolio, incrementando artificialmente el valor de los barcos con licencia, creando una discriminación embarazosa en contra de los pescadores que están fuera y permitiendo subsistir a unidades de pesca ineficaces. Gulland (1972) también señaló que este sistema podría desanimar los avances técnicos, a pesar de que Hancock (1975) observó que esto no ocurría en Australia donde la técnica de pesca evoluciona siempre muy rápidamente.
Debe señalarse que cuando existen varias poblaciones vecinas, la concesión de licencias para una población dada debe estar acompañada de la obligación de explotar ésta durante un cierto número de meses al año.
Haysom (1975), resumiendo los resultados de limitación de entrada en la pesquería de Moreton Bay (Australia), destacó que el establecimiento de tal sistema para una población ya explotada produce muchos problemas sociales y económicos (especialmente si la población está sobrexplotada) y que la decisión de concesión de licencias debe basarse en un buen análisis socio-económico previo.
Dado que el problema de limitación directa de esfuerzo es general y que los ejemplos para peneidos son escasos (aunque esta técnica ha sido utilizada en Australia desde 1960, según Meany, 1978) esta sección ha estado deliberadamente limitada a la exposición de algunas ideas. Para más ejemplos y un mayor desarrollo del tema puede consultarse el trabajo de Stokes (1979).
(d) Optima distribución del esfuerzo en un recurso multiple. Cuando el recurso está constituido por un mosaico de poblaciones geográficamente distintas, compuestas de las mismas especies, o de diferentes especies con distintos valores económicos y abundancias, puede suponerse que existe una estrategia de distribución de esfuerzo que permitirá a la flota optimizar las ganancias producidas por la población. Garrod (1973), por ejemplo, destaca que “bajo ciertas circunstancias determinadas por la variabilidad particular del complejo, un régimen de explotación (dependiente de la densidad) puede ser un medio más eficaz para explotar un conjunto dado de recursos”. Un excelente ejemplo ha sido presentado por Clayden (1972) sobre el complejo de la pesca bacaladera del Atlántico Norte.
En el caso de los peneidos, el complejo explotado puede ser un conjunto de pequeñas poblaciones más o menos independientes en el estado adulto y distribuidas a lo largo de la costa, como en Madagascar (Marcille, 1978): la explotación fue en un principio desarrollada con éxito sobre los distintos elementos pero ahora, una vez descubiertos, son explotados simultáneamente.
Otro ejemplo puede encontrarse en Senegal donde existen dos poblaciones independientes de Penaeus notialis (San Luis y Roxo-Bissagos). El primero tiene un potencial más pesqueño, está más cerca del puerto principal y muestra distintas variaciones estacionales en abundancia. El segundo, de un potencial más alto, está más lejos del puerto principal y muestra una abundancia prácticamente estable durante todo el año. El esfuerzo pesquero aplicado a la población del norte era en un principio muy estacional y cuando los rendimientos eran comparativamente bajos, todo el esfuerzo de la primera población se transfería a la segunda, que era explotada durante todo el año. Con el aumento en el esfuerzo total y la consecuente disminución de rendimientos en la segunda población, la pesca se hizo cada vez menos estacional en el primero. La transferencia estacional del esfuerzo de una población a otra está ahora muy limitada y se han desarrollado dos flotas diferentes con distinta potencia motriz y sistema de conservación de las capturas. Esta evolución se desarrolló naturalmente y puede asumirse que es el resultado de la búsqueda empírica del pescador de un máximo beneficio. El problema se hace aún más complicado si se toma en cuenta la diversificación de esta pesquería desde 1961. En la actualidad, los camaroneros buscan a veces otras especies (peces planos, sciánidos, pomadásidos, brotúlidos, etc.), bien exclusivamente durante una cierta jornada, o bien en combinación con la pesca del camarón. Ya que las características de las poblaciones explotadas son muy diferentes, existen ciertas estrategias que permiten la optimización de los beneficios (que los pescadores practican empíricamente) mientras que al mismo tiempo se mantiene la naturaleza perenne de la población (lo que es responsabilidad de la administración).
Por último, otro ejemplo se encuentra en Côte d'Ivoire donde, desde 1974–1975, los camaroneros que explotan P. notialis han comenzado a interesarse en especies menos buscadas como Parapenaeus longirostris, e incluso Parapenaeopsis atlántica, que son abundantes sobre el talud y la desembocadura de los ríos respectivamente. La distribución estacional del esfuerzo sobre las tres especies se determina empíricamente como una función del valor potencial de las captura en un momento dado y, también como una función de la demanda del mercado.
Aunque esta línea de investigación será una de las más importantes en los próximos diez años, todavía se han llevado a cabo muy pocos trabajos sobre los peneidos, en lo que concierne a las consecuencias para la ordenación. Marcille (1978) ha examinado esta cuestión para las poblaciones de la costa occidental de Madagascar y ha construido un modelo simple de simulación basado en las ecuaciones de los modelos de producción de cada población intentando encontrar, para cada nivel de esfuerzo total, la distribución que permita la captura total más alta. Demostró que las capturas teóricamente posibles eran un 20 % mayores que aquellas obtenidas por la pesquería durante su desarrollo previo.
Es obvio que los parámetros económicos (tiempo de ruta, costos de combustible, proximidad al puerto de desembarco, valor de las especies capturadas) juegan un papel fundamental en la determinación de la estrategia óptima. Aunque estos parámetros se tomaron en cuenta por Marcille, de forma simplificada, son un elemento importante del modelo de simulación diseñado por Clark y Kirkwood (1979) en Australia para optimizar el desarrollo de una pesquería camaronera, de entrada libre, con dos tipos de barcos y dos especies de valores diferentes calculando la óptima distribución espacio-temporal del esfuerzo y la mejor composición de la flota.
Debe señalarse que el problema expuesto es el mismo si se considera la explotación simultánea de dos recursos geográficamente distintos de la misma especie, o dos especies diferentes con una distribución similar en el espacio pero con diferente capturabilidad y valor comercial. En los dos casos, se busca un esquema óptimo de distribución de la mortalidad por pesca, cualquiera que sea el criterio de optimización considerado.
Podemos dar solamente un breve recordatorio aquí a uno de los aspectos más importantes de la ordenación de recursos en zonas tropicales. Si están disponibles los datos para cada población elemental del complejo explotado y si se piensa que los elementos no son interactivos, la búsqueda de una estrategia óptima y teórica puede ser un proceso relativamente sencillo. Será mucho más difícil si las poblaciones consideradas reaccionarán entre sí.
En cualquier caso, la implantación de un sistema de ordenación para aplicar tal estrategia óptima, no será ciertamente un problema simple.
Existen muchos métodos disponibles para la ordenación de peneidos. El que uno sea aplicable dependerá de los conocimientos científicos disponibles, de las limitaciones socio-económicas y de los objetivos que se persigan.
La ordenación deberá estar integrada en el tiempo desde el desarrollo de la pesquería hasta la definición de un esquema óptimo de ordenación, vigilancia y control del estado del recurso.
Es igualmente un proceso integrado puesto que la ordenación no debe estar limitada solamente al proceso de captura. Se ha observado que el beneficio obtenido mediante una limitación de acceso a la pesquería puede utilizarse para la creación de infraestructuras en tierra. Al mismo tiempo, la preocupación de evitar la sobreinversión puede llevar a optimizar el número de plantas procesadoras y a organizar los circuitos de la comercialización (una red de carreteras, por ejemplo, ayudará a promocionar la pesquería artesanal, ampliando el mercado y eventualmente dándole acceso a la exportación).
Más adelante la ordenación debe tomar en cuenta las interacciones con otras pesquerías (destrucción de juveniles por camaroneros, por ejemplo). La gran rentabilidad de la pesca de camarones puede ser un instrumento de desarrollo para las zonas poco explotadas. La pesca que comenzó sobre los camarones puede luego ser diversificada con los peces (por ejemplo, haciendo descargar a cada barco autorizado un cierto tonelaje de pescado adaptándolo, si es necesario, para este uso).
Finalmente, uno de los grandes problemas de la ordenación de pesquerías camaroneras es el de los conflictos entre la explotación de juveniles y la de adultos. La primera usa aparejos más o menos sofisticados, desde el esparavel hasta el pequeño arte de arrastre, y captura ejemplares jóvenes antes de que alcancen su madurez sexual y talla óptima. La segunda captura sub-adultos y adultos a escala industrial. Los sistemas socio-económicos son generalmente muy diferentes. La pesca en aguas de poca profundidad (menos de 5 m) captura el camarón mientras está en pleno crecimiento, e incluso antes de que se complete la fase de estuario de su ciclo vital. Esta explotación de juveniles causa una reducción apreciable en el reclutamiento de la población marina. De hecho puede asumirse que a la edad en que los camarones emigran, la mayor parte de la mortalidad natural (que tiene lugar especialmente en el estado larvario) ya ha sucedido. Por esta razón, la reducción en número de ejemplares del reclutamiento potencial, por parte de la pesquería artesanal de juveniles, será seguida de un decrecimiento proporcional de la captura potencial en el mar (en peso). Se hace por lo tanto evidente que el máximo rendimiento medio en el mar se lograría con la eliminación total de la pesca artesanal. Dada la importancia social de esta pesca, no es menos evidente que su completa eliminación sería difícil de justificar. Por el contrario, sería teóricamente posible suprimir la pesca marítima y solo mantener la pesca artesanal. No obstante, esta solución extrema puede no ser deseada desde el punto de vista económico.
El estudio de la relación entre el rendimiento total (mar más lagunas, en tonelaje y valor) y las diversas combinaciones del nivel de explotación en los dos tipos de pesquerías, es complejo y requiere el uso de técnicas de simulación. Un estudio de esta naturaleza, llevado a cabo por García (1977) sobre las poblaciones de Penaeus notialis de Côte d'Ivoire, mostró (Figura 82) que para tasas de explotación en el mar próximas al máximo (que es ahora la regla en casi todos los lugares), las variaciones de estas en las lagunas entre un 0 y un 50 %, tienen sólo una ligera influencia en el rendimiento total (en peso) pero causan un significativo cambio beneficioso en valor (desde 12 a 40 %). Este resultado puede no ser necesariamente generalizado para todas las poblaciones de características dinámicas similares. Depende, en gran parte, de los cambios de capturabilidad con la edad y de las variaciones estacionales en capturabilidad ligadas a las condiciones hidrológicas locales.
Grant y Griffin (1979) realizaron un trabajo similar pero más completo en lo que se refiere a los aspectos económicos. Ellos también concluyeron que las variaciones en las tasas de explotación de juveniles no tienen influencia sobre la captura total.
Otros criterios tales como el de los respectivos costes de inversión, incluyendo aquellos en divisas extranjeras, por tonelada producida por la pesca en estuarios y la pesca marítima, los respectivos costes de explotación, la cantidad de empleo creado en zonas rurales o urbanas, la distribución de beneficios surgidos de la pesca entre los diferentes grupos sociales y profesionales, etc., deben ser considerados para definir un plan racional de explotación de las poblaciones de camarones (Troadec, 1978). McGoodwin (1979) dio, para la costa de México del Pacífico, un buen ejemplo de los desastrosos resultados, para el sector artesanal, de un programa de ordenación para una pesquería camaronera basado en simples consideraciones económicas que olvidaban completamente los aspectos sociales, imponiendo una severa reducción en una pesquería tradicional a pequeña escala.
Finalmente, la ordenación de la explotación de camarones debe tomar en cuenta la coordinación geográfica de los esquemas de ordenación.
Cuando el recurso se compone de camarones que prácticamente completan todo su ciclo vital en estuarios, como por ejemplo Metapenaeus mackleyi, cada población constituye probablemente una unidad distinta que puede ser ordenada aisladamente.
Por el contrario, cuando el recurso está formado por especies clásicas de camarones que migran de los estuarios hasta zonas de pesca, a veces muy distantes, la definición de poblaciones unitarias es quizas más complicada. Las mezclas pueden de hecho ocurrir por la migración de adultos desde una pequeña bahía a otra (como en Madagascar). En este caso, la ordenación del recurso debe tomar en cuenta el total de las subpoblaciones interrelacionadas e intentar armonizar las regulaciones y obtener la distribución espacio-temporal óptima del esfuerzo pesquero (ver apartado 12.4.2.4).
Un recurso puede incluso pertenecer a dos países diferentes. Aunque las migraciones de peneidos están generalmente limitadas en el mar, son lo suficientemente importantes como para provocar tal situación (entre los Estados Unidos y México, Côte d'Ivoire y Liberia, Senegal y Guinea-Bissau) cuando el simple proceso de dispersión o las migraciones estacionales llevan al camarón a cruzar las fronteras políticas. La población de camarón de Roxo-Bissagos es un interesante ejemplo donde la mayoría de las zonas de alevinaje están en Senegal (donde la pesca artesanal es extremadamente importante) mientras que los adultos se encuentran, en gran parte, en Guinea-Bissau. El clásico problema de conflictos entre la pesca artesanal e industrial se vuelve aquí aún más complejo ya que los dos sistemas de explotación pertenecen a países diferentes cuyos intereses económicos no coinciden necesariamente.
La situación es muy similar cuando el recurso pertenece, dentro del mismo país, a estados federales que tienen su propia jurisdicción (Australia, Estados Unidos). Entonces es necesaria la definición de planes de ordenación regional coordinados. Pueden encontrarse buenos ejemplos en los trabajos de Etzold y Christmas (1977) para el golfo de México y Eldrige y Goldstein (1977) para la costa sudoriental de los Estados Unidos.
La ordenación de las poblaciones vírgenes es un problema particular y, a pesar de que probablemente no queden muchas, vale la pena recordar la secuencia de acciones propuestas por Gulland (1972) y adoptada para ciertas poblaciones de camarones de Australia (Hancock, 1975).
Hacer una primera evaluación aproximada del potencial y del máximo número de barcos a autorizar basándose en la superficie del recurso y por comparación con otras poblaciones de zonas similares.
Emitir un número de licencias por debajo de este máximo y requerir estadísticas detalladas (libros de navegación) como una de las condiciones esenciales para la obtención del permiso.
Controlar la actividad de estos barcos durante dos o tres años (el período de prueba puede estar ligado a la estabilidad de la población).
Al finalizar este período, reevaluar el máximo y, en caso necesario, corregir el número de licencias, siempre quedándose por debajo del “nuevo máximo”1. Hancock (1979) sugirió que sólo debían concederse licencias “condicionales”, y por lo tanto sin garantías de renovación, y sometidas a la verificación de las hipótesis que conciernen al estado de la población.
Hacer un estudio de la rentabilidad de los barcos.
Calcular los beneficios netos y, si son muy importantes, decidir sobre su utilización (pago de derechos de pesca, obligación de desembarco de pescado, creación de empleo mediante la instalación de plantas procesadoras, etc.)
Los puntos 3 al 6 pueden repetirse periódicamente.