Bench terraces are a series of level or virtually level strips running across the slope at vertical intervals, supported by steep banks or risers.
The following are two main types of bench terraces:
- Irrigation or level bench terraces: These are used where crops, such as rice, need flood irrigation and impounding water.
- Upland bench terraces: These are used mostly for rain-fed crops or crops which only require irrigation during the dry season. They are generally sloped for drainage.
In humid regions: Use reverse sloped type.
In arid or semi-arid regions: Use outward-sloped type.
- To reduce run-off or its velocity and to minimize soil erosion.
- To conserve soil moisture and fertility and to facilitate modem cropping operations i.e. mechanization, irrigation and transportation on sloping land.
- To promote intensive land use and permanent agriculture on slopes and reduce shifting cultivation.
Generally speaking, bench terraces are particularly suited to countries or communities with the following macro conditions:
- Severe erosion hazards.
- Areas with small holdings and a dense population.
- Areas where there are food shortages or high unemployment rates.
- Areas where crops require flood irrigation.
For micro or site conditions, bench terracing is suitable in the following cases:
- Where there are relatively deep soils.
- On slopes not exceeding 25 degrees.
- On sites which are not dissected by gullies and not too stony.
Bench terraces are much more cost-effective if there is potential for mechanization, irrigation and for growing high-value crops.
Lenqth: The length of a terrace is limited by the size and shape of the field the degree of dissections and the permeability and erodibility of the Soil. The longer the terraces, the more efficient they will be. But it should be borne in mind that long terraces cause accelerated run-off and greater erosion hazards. A maximum of 100 m in one draining direction is recommended for typical conditions in a humid tropical climate. The length can be slightly increased in arid and semi-arid regions.
Width: The width of the bench (flat part) is determined by soil depth, crop requirements, tools to be used for cultivation, the land owner's preferences and available resources. The wider the bench, the more cut and fill needed and hence the higher the cost. The optimum width for handmade and manual-cultivated terraces range from 2.5 to 5 m; for machine~built and tractor-cultivated terraces, the range is from 3.5 to 8 m.
Gradients: Horizontal gradients range from 0.5 to 1% depending on the climate and soils. For example, in humid regions and on clay soils, 1% is safe for draining the run-off. In arid or semi-arid regions, the horizontal gradients should be less than 0.5%. The reverse grade for a reverse-sloped terrace is 5% while the outward grade for an outwardsloped terrace is 3%.
Slope limit: lf soil depths are adequate, hand-made terraces should be employed on 7 to 25 degree (12%-47%) slopes and machine-built terraces should be employed on 7 to 20 degree (12%-36%) slopes. If the soil depths are not adequate for bench terraces, hillside ditches or other types of rehabilitation measures should be used. Bench terraces are not recommended for slopes below 7 degrees. Broad-base terraces and other simple conservation measures should be used instead.
Risers and riser slopes: Riser material can be either compacted earth -protected with
grass, or rocks. In order to ensure easy
maintenance, terrace riser height should not exceed 2 m, after allowing for settling,
especially for earth risers. Riser slopes are
calculated by the ratio of the horizontal distance to the vertical rise as follows:
- Machine-built with earth material: 1:1
- Hand-made with earth material: 0.75:1
- Hand-made with rocks: 0.5:1
For level terraces, the following formula is used for determining the riser height (for reverse-sloped terraces see Fig. 3):
Hr = VI + DH
Hr : height of riser, in m
VI : vertical interval, in m
DH : dyke height i.e. 15 or 20 cm.
Vertical interval: The vertical interval (VI) is the difference in height between two succeeding terraces. It gives the height of the terrace; provides basic data for calculating the cross-section and volume of soil to be cut and filled; and is used as a guide for laying out and staking on the ground. The VI is determined using the following formula:
![]()
VI : vertical interval, in m
S : slope in percentage (%)
Wb : Width of bench (flat strip), in m
U : Slope of riser (using value 1 for machine-built terraces, 0.75 for hand-made earth risers and 0.5 for rock risers).
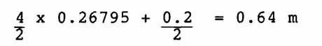
Example: Calculate the VI of 4 m wide, hand~made benches on a 30% slope with earth risers.

Depth of cut: The depth of cut can be calculated according to the following formula:

D : depth of cut
Wb : width of bench
tan 0 : tangent of the slope angle
RH : reverse height
Example: Calculate the depth of cut for a 4 m-wide reverse-sloped bench terrace on a 15 degree slope:

(RH: 4 x 0.05 = 0.2)
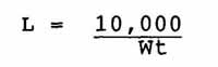
Net area: This is the area in benches or flat strips which is used for cultivation. It can be calculated by the following equation:
![]()
A : net area per ha
Wt : width of terraces (the sum of the width of the bench and the width of the riser), in m
Wb : width of the bench, in m
When calculating the net area of level terraces, the dyke width should be subtracted.
Cross section and volume: The cross~section can be computed by the f o r m u la below:

C : cross-sectional area of the cut triangle, in square m
Wb : width of bench, in m
Hr : height of riser, in m
The linear length can be obtained by the following equation:

L : linear length of terraces in a hectare, in m
Wt : width of terrace, in m
The volume (V) can be calculated by multiplying the linear length (L) by the cross-section (C).
V = L x C (for calculating linear length, see Fig. 3)
When calculating the volume to be cut and filled it should be noted that only one cross-section is used. This is because the same cross-section is moving downslope to form a terrace.
For level terraces, the following formulas should be used for computing cross-section:
![]()
C : cross-section, in square m
Wb : width of bench, in m
VI : vertical interval, in m
DC : dyke cross-section, in square m
For outward-sloped terrace a modification of the riser height (Hr) is required for
calculating cross~section and volume as follows:
Hr = VI - OH
Hr : height of riser
Hi : vertical interval
OH : outward height (equals width of bench multiplied by 0.03)
Fig. 3 shows a diagram of reverse-sloped bench terraces and terminology, together with a set of formulas for computing the specifications of the terraces. These step-by-step computations, using only simple mathematics, should present no difficulties to field assistants. The computations are for reverse-sloped bench terraces, but they can be applied to other types of bench terraces with only minor modifications. For level terraces, the major differences are their dykes and the lack of gradients.
Table 1 lists all the specifications of hand-made reverse-sloped bench terraces for reference purposes. These are the results of calculations using formulas listed in Fig. 3. The same set of formulas also can be used for terraces built by mechanical methods.
Fig. 4 is a nomograph for quick reference. It shows the volumes to be cut and filled and the width limit for both hand-made and machine-built bench terraces of the reverse-sloped type.
Layout
The layout of terraces should include an examination of the site's physical conditions e.g. slope, soil depth, texture, erosion, presence of rocks, wetness, vegetation cover and present land use. The layout design should include specifications of the terraces (or treatments), sites and types of waterways, sites of roads and other farm installation needs. Human factors such as the farmer's plans and resources, labour conditions, and the tools to be used, must also be considered.

This entails brushing the area, preparing survey equipment, stakes, colour ribbons or markers, and deciding on survey methods and sequences.
The equipment usually consists of the following:
- Dumpy level, abney level or A-level.
- Measuring tape and rod.
- Soil auger.
- For level terraces: use contouring or levelling techniques.
- For upland bench terraces: use graded-contouring techniques.
- Setting of base-line: An up-and-down base-line should be set at the site along a representative slope.
- Use of centre-line method: When specification tables are not available, a quick calculation of the VI can be made in the field. Use a level to determine and stake the VI of the terraces along the base line. This should be followed by graded contouring or levelling surveys according to the type of terrace to be built.
After staking out all the contours or graded contours, add one line of marked stakes in between them. This line serves as the bottom line of the upper terrace and the top line of the lower one. Continue adding stakes so as to cover the whole area. A top line should be added to the first terrace on the upward slope, and a bottom line to the last terrace on the downward slope. This method is recommended for hand-made terraces where centre-lines should be kept and observed as non-cut and non-fill lines.
- Use of two-line method: Design details can be readily obtained when a set of specification tables are available. The base line should be staked out with the width of the terrace (Wt), using a tape. A contour or graded contour line should be run from each stake until the whole area is covered. These lines serve as the bottom lines of the upper terraces as well as the top lines of the succeeding terraces. This method is recommended for terrace construction using mechanical or animal power, as any centre-lines will obstruct the construction operation and should be omitted.

The stakes should be streamlined if there are sharp turns and narrow bottlenecks as these will interfere with future operations. Streamlining the stakes entails extra cuts or fills but is worthwhile in the long run.
Each contour line of stakes should be marked with a different colour ribbon or paint in order to avoid confusion during construction, (e.g. centre lines in red, and side lines in yellow or green, etc.).
The cut and fill of the terraces should be done gradually and at an equal pace so that there is neither an excess nor a lack of soil. This principle applies regardless of what kind of tools are used for the operation.
The terrace must be built when the soil is neither too dry nor too wet. Start building the terrace from the top of a hill and proceed downslope. It will not be washed away in the case of heavy rain. However, when topsoil treatment or preservation is carried out, it is necessary to start building from the bottom of the hill upwards. In this case, temporary protection measures should be undertaken.
Tie cord or rope around the stakes to mark each constructed terrace in sequence. The initial cut must be made immediately below the top stakes while the fill work should be started against the bottom stakes. This is done in order to ensure that the correct grade is attained without overcutting. Sometimes, rocks or clods of earth can be placed along the bottom line of the stakes to serve as a foundation before filling. During the filling operation, the soil should be compacted firmly by a beater every 15 cm. If the layer of soil fill is thick, the compacting process becomes difficult. Terraces which go across existing depression areas should be built particularly strong. The edge of a terrace should be built a little higher than planned because of settling. The rate of settling may be as high as 10% of the depth of the fill.
Both the reverse and horizontal grades should be checked by a level during construction work and corrections must be made promptly wherever necessary. The slope of the riser should be shaped to 0.75:1. Waterway shaping should be commenced only after the terraces are cut. Make sure all the terrace outlets are higher than the waterway bottom.
In many countries, ploughs and Fresno Scrapers, pulled by oxen, horses or buffaloes,
are used to build terraces.. The Fresno scrapers, however, cannot be used to
build terraces less than 3 m wide. In addition, they are not suitable for use
in soils which have many rocks exceeding 25 cm in diameter. In general, Fresno
Scrapers should not
be used when the soils are wet and sticky, and if the cut area of the terrace
is very hard or has a lot of grass, it must first be ploughed to allow the scraper
to move the soil.
To begin the operation, raise the handle of the scraper so that the rear of the floor is 10 cm higher than the cutting edge. This angle will enable the scraper to cut into the soil more easily. After the bucket is loaded, the handle should be lowered to let the scraper slide flat on its bottom to the fill area in order to dump the dirt. Always begin loading the scraper at the high point of the cutting area. As soon as it is filled, turn the animal and dump the soil parallel to the lower line of the stakes. Never load the Fresno beyond the pulling capacity of the draft animal.
When dumping dirt from the scraper, the handle should be raised to a vertical position so that the scraper rides on the runners and the dirt slides forward out of the bucket. A more efficient operation can be achieved if the cutting and filling are done by following a figure eight pattern ( ) in which the animal is turning continuously, without stopping.
When using a caterpillar bulldozer, start cutting parallel to and about 50 cm from the top line of the stakes and push the dirt down the slope, dumping it just above the bottom line. Optimum efficiently is achieved when the bulldozer travels down a slope about three times its length or approximately 12 to 15 m, when dumping the dirt.
Attention should be paid to the load of the bulldozer blade when cutting parallel to the top line. The bulldozer should be driven down to the dumping area as soon as the blade is full (but not before). After dumping a layer about 30 cm thick along the bottom line, the dirt should be compacted by the bulldozer. Whenever the bulldozer needs to travel from one end of the terrace to another, it should always be driven along the edge of the bench for compacting purposes.
The angled blade should be used each time for cutting to a depth of about 40 to 50 cm. Continue the cut and fill until the correct vertical and horizontal grades are attained. Alternatively, mark the height of the fill with coloured ribbons at the lower line of the stakes. Do not cut or fill at the proposed waterway site, and do not overcut at the toe drain.
A dumpy level should be used for checking the grades during the construction work. Final measuring or smoothing must be done as soon as the level checking is made. The riser slope should be shaped by hand to 1:1.
Bench terraces usually expose the infertile subsoil and this can result in lower production unless some prevention or improvement measures are undertaken. One such measure is topsoil treatment or preservation. When fertile topsoil exists, topsoil treatment is always worthwhile. Two alternative methods follow:
- The terraces should be built from the bottom of the slope upwards. After the bottom terrace is roughly cut, the topsoil from the slope above is then pulled down to the bench and spread on top of ¡t. Repeat this procedure for the next terrace up the slope and proceed uphill in this way until the top terrace is built. The top terrace will not have topsoil unless ¡t is obtained from another place.
- The second method is to push the topsoil off horizontally to-the next section before cutting the terrace. The topsoil should be pushed back when the cutting is completed. For hand-made terraces, the topsoil can be piled along the centre line provided that the bench is wide enough.
Generally-speaking, a man can cut and fill 3 to 4 cubic m of earth desting eight hours of supervised work, although output may vary depending on the type of soil and if rocks are present. If a terrace is wider than 4 m, output will be reduced because the transporting of the earth requires extra time. A team of 3 men for narrow terraces and 4 men for wider terraces is recommended for efficient terracing work. In the case of wider terraces, two men should be employed for cutting, the third for compacting and consolidating the risers, and the fourth for transporting the dirt.
On terraces exceeding a width of 3.5 m, an animal with a plough and a Fresno Scraper can complete 12 to 16 cubic m of dirt moving in an 8-hour period.

A medium-sized machine, such as the Caterpillar D-6 bulldozer fitted with an angled blade can do an efficient job on slopes not exceeding 15 degrees. The average production per hour for different widths of terraces on moderate slopes is as follows:
| Width of bench (Wb) | Production per hour |
| m | cubic m |
| 3.4 | 45.0 |
| 4.6 | 43.5 |
| 5.8 | 42.0 |
| 7.0 | 40.7 |
| 8.2 | 39.7 |
N.B. Experiences from Smithfield, Jamaica show that on gentle slopes, the output can be up to 30% higher.
A small machine, such as a John Deer 450, can be used on slopes ranging from 15 to 20 degrees, with an output per hour, according to experiments in Taiwan(province of China), of approximately 20 cubic m.
Once the terracing volume per unit area is calculated with the formula illustrated in the previous section or from the specification tables, the construction cost can be computed as follows:
![]()
C : cost of constructing terraces
V : volume of cut and fill
T : output per man-day or per machine hour
R : wage per man-day or rate per hour, etc.
For topsoil preservation, add 15 to 20 hours per hectare for a medium sized machine and 40 man-days per hectare for manual labour.
Example: To calculate the construction cost for 0.5 ha of 3.5 m wide bench terraces on a 30% slope using the topsoil preservation method:
Step 1: The volume for 0.5 ha is 719 cubic m. This figure is calculated by the formula mentioned earlier or taken from specification tables (Table l).
Step 2: Expected output for the proposed site is 3.5 cubic m per man-day for the proposed site (under average conditions).
Step 3: Calculate the local wage per man-day, e.g. $3.
![]()
Step 5: $616 + (20 x 3) = $676 (Including top soil preservation).
The cost of terracing per unit area depends on the following factors: slope, soil, width of bench, presence of rocks or tree stumps, and tools to be used for construction. The wider the bench (flat strip) the more costly it will be, even though the percentage of the bench remains the same.
With a fixed width, the steeper the slope, the more expensive the terracing work will be. Machine-built terraces are generally cheaper than hand-made ones in many countries. In Jamaica, for example, the ration is 1:3 or even 1:5, depending on locations.
Access roads are essential for the efficient use of terraces. The following factors are important when considering the road layout for terracing systems:
Road access to and from the terraced area is required for 4~wheel mechanized vehicles. On gentler slopes, the roads can be built up and down the hills but on steeper slopes, they should be built diagonally across the field. The maximum grade for this kind of tractor road is 7 to 8 degrees. There is no need for roads to traverse because the bench terraces themselves can be used as roads. Generally speaking, 200 m of road per hectare should be ample even for rugged and steep terrains. The recommended width for the road is 3.5 m.
There are three types of road systems which can be used to cope with the various field conditions and mechanization requirements:
- Two-road system: Two up-and-down roads to connect both ends of the terraces at approximately right angles. They are ideal for cultivation on gentle slopes. On large tracks of land, each road can serve two sides.
- Single road system plus U-turn: This type is recommended on moderately steep slopes, or where there is no room for the two-road system. A road is built to connect one side of the terraces while on the other side, a Utype short road connects two neighbouring terraces to enable the tractor to turn around.
- Single road system: If the benches are wide enough for the tractor to turn around, a single road connecting one end of each terrace should be sufficient. Alternatively, in the case of steeper slopes and round hills, the road can cross the terrace field diagonally.
The road requirements for these cultivation methods are less rigid. A width of 2 to 2.5 m should be ample and the road gradient can be much steeper as long as there is proper protection. About 100 to 150 m of road is required per hectare of land.
New terraces should be protected at their risers and outlets and should be carefully maintained, especially during the first two years.
After cutting a terrace, its riser should be shaped and planted with grass as soon as possible. Sod-forming, or rhizome-type grasses are better than those of the tall or bunch-type. Although tall grasses may produce considerable forage for cattle, they require frequent cutting and attention. The rhizome-type of local grass has proved very successful in protecting risers. Stones, when available, can also be used to protect and support the risers. An additional protection method is hydro-seeding.
The outlet for drainage-type terraces is the point where the run-off leaves the terrace and goes into the waterway. Its gradient is usually steep and should be protected by sods of earth. A piece of rock, a brick, or a cement block, is sometimes needed to check the water flow on steeper channels. Similar checks on water flow are required for level bench terraces where the water falls from the higher terraces onto those below. A piece of rock should be placed on the lower terrace to dissipate the energy of the following water. Grasses should also be established on the area of the bench crossed by the waterway.
Bench terraces require regular care and maintenance. If a small break is neglected, large-scale damage will result. Following is a list of maintenance work that should be carried out after heavy storms and cropping, especially in the first two to three years period:
The toe drains should be always open and properly graded; water must not be allowed to accumulate in any part of the terrace. All run-off should be allowed to collect at the toe drains for safe disposal to the protected waterway. Obstacles such as continuous mounds or beds must be removed at regular intervals to allow water to pass to the toe drain. Grasses and weeds should be removed from the benches. Correct gradients should be maintained and reshaped immediately after crops are harvested. Ploughing must be carried out with care so as not to destroy the toe drains and the grade.
Keep grasses growing well on the risers. Weeds and vines which threaten the survival of the grasses should be cut back or uprooted. Grasses should not be allowed to grow too high. Any small break or fall from the riser must be repaired immediately. Cattle should not be allowed to trample on the risers or eat the grass. Run~off should not be allowed to flow over the risers on reverse-sloped terraces.
The outlets should be checked to see whether they are adequately protected. Make sure the water flows through the outlets instead of going around them. Any breaks must be mended immediately.
Deep ploughing, ripping or sub-soiling is needed to improve the structure of the soils on the cut part of the bench terraces. Green manuring, compost or sludge is needed in the initial period in order to increase soil fertility. Soil productivity should be maintained by means of proper crop rotation and the use of fertilizers.
Riser Solpe = 0 .75:1
Reverse Slope = 0.05
|
Width of the bench (Wb(m) |
Slope |
S P E C I F I C A T I O N |
|||||||||||
|
|
% |
Grade |
VI m |
RH m |
Hr m |
Dc m |
Wr m |
Wt m |
L m |
A m² |
Pb % |
C m² |
V m³ |
|
2.50 |
12 |
6.8 |
0.33 |
0.13 |
0.46 |
0.21 |
0.35 |
2.85 |
3509 |
8773 |
88 |
0.14 |
491 |
| 14 | 8.0 | 0.39 | 0.13 | 0.52 | 0.24 | 0.39 | 2.89 | 3460 | 8650 | 87 | 0.16 | 554 | |
| 16 | 9.1 | 0.46 | 0.13 | 0.59 | 0.27 | 0.44 | 2.94 | 3401 | 8503 | 85 | 0.18 | 612 | |
| 18 | 10.2 | 0.52 | 0.13 | 0.65 | 0.29 | 0.49 | 2.99 | 3345 | 8363 | 84 | 0.20 | 669 | |
| 20 | 11.3 | 0.59 | 0.13 | 0.72 | 0.31 | 0.54 | 3.04 | 3290 | 8225 | 82 | 0.23 | 757 | |
| 22 | 12.4 | 0.66 | 0.13 | 0.79 | 0.34 | 0.59 | 3.09 | 236 | 8090 | 81 | 0.25 | 809 | |
| 24 | 13.5 | 0.73 | 0.13 | 0.86 | 0.37 | 0.65 | 3.15 | 3175 | 7938 | 80 | 0.27 | 857 | |
| 26 | 14.6 | 0.81 | 0.13 | 0.94 | 0.39 | 0.71 | 3.21 | 3115 | 7788 | 78 | 0.29 | 903 | |
| 28 | 15.6 | 0.89 | 0.13 | 1.02 | 0.41 | 0.77 | 3.27 | 3058 | 7645 | 77 | 0.32 | 979 | |
| 30 | 16.7 | 0.97 | 0.13 | 1.10 | 0.44 | 0.83 | 3.33 | 3003 | 7508 | 75 | 0.34 | 1021 | |
| 32 | 17.7 | 1.05 | 0.13 | 1.18 | 0.47 | 0.89 | 3.39 | 2950 | 7375 | 74 | 0.37 | 1092 | |
| 34 | 18.8 | 1.14 | 0.13 | 1.27 | 0.49 | 0.95 | 3.45 | 2899 | 7248 | 73 | 0.40 | 1160 | |
| 36 | 19.8 | 1.23 | 0.13 | 1.36 | 0.51 | 1.02 | 3.52 | 2841 | 7103 | 71 | 0.43 | 1222 | |
| 38 | 20.8 | 1.33 | 0.13 | 1.46 | 0.54 | 1.10 | 3.60 | 2778 | 6945 | 70 | 0.46 | 1278 | |
| 40 | 21.8 | 1.43 | 0.13 | 1.56 | 0.57 | 1.17 | 3.67 | 2725 | 6813 | 68 | 0.49 | 1335 | |
| 42 | 22.8 | 1.53 | 0.13 | 1.66 | 0.59 | 1.25 | 3.75 | 2667 | 6668 | 67 | 0.52 | 1387 | |
| 44 | 23.7 | 1.64 | 0.13 | 1.77 | 0.61 | 1.33 | 3.83 | 2610 | 6525 | 65 | 0.55 | 1436 | |
| 46 | 24.7 | 1.76 | 0.13 | 1.89 | 0.64 | 1.42 | 3.92 | 2551 | 6378 | 64 | 0.59 | 1505 | |
| 48 | 25.6 | 1.88 | 0.13 | 2.01 | 0.67 | 1.51 | 4.01 | 2494 | 6235 | 62 | 0.63 | 1571 | |
| 50 | 26.6 | 2.00 | 0.13 | 2.13 | 0.69 | 1.60 | 4.10 | 2439 | 6098 | 61 | 0.67 | 1634 | |
| 2.75 | 12 | 6.8 | 0.36 | 0.14 | 0.50 | 0.23 | 0.38 | 3.13 | 3195 | 8786 | 88 | 0.17 | 543 |
| 14 | 8.0 | 0.43 | 0.14 | 0.57 | 0.26 | 0.43 | 3.18 | 3145 | 8649 | 87 | 0.20 | 629 | |
| 16 | 9.1 | 0.50 | 0.14 | 0.64 | 0.29 | 0.48 | 3.23 | 3096 | 8514 | 85 | 0.22 | 681 | |
| 18 | 10.2 | 0.57 | 0.14 | 0.71 | 0.32 | 0.53 | 3.28 | 3049 | 8385 | 84 | 0.24 | 732 | |
| 20 | 11.3 | 0.65 | 0.14 | 0.79 | 0.34 | 0.59 | 3.34 | 2994 | 8324 | 82 | 0.27 | 808 | |
| 22 | 12.4 | 0.73 | 0.14 | 0.87 | 0.37 | 0.65 | 3.40 | 2941 | 8088 | 81 | 0.30 | 882 | |
| 24 | 13.5 | 0.81 | 0.14 | 0.95 | 0.40 | 0.71 | 3.46 | 2890 | 7948 | 80 | 0.33 | 954 | |
VI = Vertical Interval
RH - Reverse height
Hr = Height of the riser
Dc = Depth of cut
Wr = Width of the riser
Wt = Width of the terrace
L = Length of the terrace per ha
A = Arca of the benches (flat arca) per ha
Pb = Percentage of benches
C = Cross section of the terrace
V = Volume of cut per ha
BENCH TERRACES (2)
(Hand Made)
|
Width of the bench (Wb(m) |
Slope |
S P E C I F I C A T I O N |
|||||||||||
|
|
% |
Grade |
VI m |
RH m |
Hr m |
Dc m |
Wr m |
Wt m |
L m |
A m² |
Pb % |
C m² |
V m³ |
|
2.75 |
26 |
14.6 |
0.89 |
0.14 |
1.03 |
0.43 |
0.77 |
3.52 |
2841 |
7813 |
78 |
0.35 |
994 |
| 28 | 15.7 | 0.98 | 0.14 | 1.12 | 0.46 | 0.84 | 3.59 | 2786 | 7662 | 77 | 0.39 | 1087 | |
| 30 | 16.7 | 1.07 | 0.14 | 1.21 | 0.48 | 0.91 | 3.66 | 2732 | 7513 | 75 | 0.42 | 1147 | |
| 32 | 17.7 | 1.16 | 0.14 | 1.30 | 0.51 | 0.98 | 3.73 | 2681 | 7373 | 74 | 0.45 | 1207 | |
| 34 | 18.8 | 1.26 | 0.14 | 1.40 | 0.54 | 1.05 | 3.80 | 2632 | 7238 | 72 | 0.48 | 1263 | |
| 36 | 19.8 | 1.36 | 0.14 | 1.50 | 0.57 | 1.13 | 3.88 | 2577 | 7086 | 71 | 0.52 | 1340 | |
| 38 | 20.8 | 1.46 | 0.14 | 1.60 | 0.59 | 1.20 | 3.95 | 2532 | 6963 | 70 | 0.55 | 1393 | |
| 40 | 21.8 | 1.57 | 0.14 | 1.71 | 0.62 | 1.28 | 4.03 | 2481 | 6823 | 68 | 0.59 | 1464 | |
| 42 | 22.8 | 1.69 | 0.14 | 1.83 | 0.64 | 1.37 | 4.12 | 2427 | 6674 | 67 | 0.63 | 1529 | |
| 44 | 23.7 | 1.81 | 0.14 | 1.95 | 0.67 | 1.46 | 4.21 | 2375 | 6531 | 65 | 0.67 | 1591 | |
| 46 | 24.7 | 1.93 | 0.14 | 2.07 | 0.70 | 1.55 | 4.30 | 2326 | 6397 | 64 | 0.71 | 1652 | |
| 48 | 25.6 | 2.06 | 0.14 | 2.20 | 0.73 | 1.65 | 4.40 | 2273 | 6251 | 63 | 0.76 | 1728 | |
| 3.00 | 12 | 6.8 | 0.40 | 0.15 | 0.55 | 0.25 | 0.41 | 3.41 | 2933 | 8799 | 88 | 0.21 | 616 |
| 14 | 8.0 | 0.47 | 0.15 | 0.62 | 0.29 | 0.47 | 3.47 | 2882 | 8648 | 87 | 0.23 | 663 | |
| 16 | 9.1 | 0.55 | 0.15 | 0.70 | 0.32 | 0.53 | 3.53 | 2883 | 8499 | 85 | 0.26 | 737 | |
| 18 | 10.2 | 0.62 | 0.15 | 0.77 | 0.35 | 0.58 | 3.58 | 2793 | 8397 | 84 | 0.29 | 810 | |
| 20 | 11.3 | 0.71 | 0.15 | 0.86 | 0.37 | 0.65 | 3.65 | 2740 | 8220 | 82 | 0.32 | 877 | |
| 22 | 12.4 | 0.79 | 0.15 | 0.94 | 0.40 | 0.71 | 3.71 | 2695 | 8085 | 81 | 0.35 | 943 | |
| 24 | 13.5 | 0.88 | 0.15 | 1.03 | 0.43 | 0.77 | 3.77 | 2653 | 7959 | 80 | 0.39 | 1035 | |
| 26 | 14.6 | 0.97 | 0.15 | 1.12 | 0.47 | 0.84 | 3.84 | 2604 | 7812 | 78 | 0.42 | 1094 | |
| 28 | 15.6 | 1.06 | 0.15 | 1.21 | 0.49 | 0.91 | 3.91 | 2558 | 7674 | 77 | 0.45 | 1151 | |
| 30 | 16.7 | 1.16 | 0.15 | 1.31 | 0.53 | 0.98 | 3.98 | 2513 | 7539 | 75 | 0.49 | 1231 | |
| 32 | 17.7 | 1.26 | 0.15 | 1.41 | 0.55 | 1.06 | 4.06 | 2463 | 7389 | 74 | 0.53 | 1305 | |
| 34 | 18.8 | 1.37 | 0.15 | 1.52 | 0.57 | 1.14 | 4.14 | 2416 | 7248 | 73 | 0.57 | 1377 | |
| 36 | 19.6 | 1.48 | 0.15 | 1.63 | 0.60 | 1.22 | 4.22 | 2370 | 7110 | 71 | 0.61 | 1446 | |
| 38 | 20.8 | 1.59 | 0.15 | 1.74 | 0.63 | 1.31 | 4.31 | 2320 | 6960 | 70 | 0.65 | 1508 | |
| 40 | 2.18 | 1.71 | 0.15 | 1.86 | 0.67 | 1.40 | 4.40 | 2273 | 6819 | 68 | 0.70 | 1591 | |
VI = Vertical Interval
RH - Reverse height
Hr = Height of the riser
Dc = Depth of cut
Wr = Width of the riser
Wt = Width of the terrace
L = Length of the terrace per ha
A = Arca of the benches (flat arca) per ha
Pb = Percentage of benches
C = Cross section of the terrace
V = Volume of cut per ha
BENCH TERRACES (3)
(Hand Made)
|
Width of the bench (Wb(m) |
Slope |
S P E C I F I C A T I O N |
|||||||||||
|
|
% |
Grade |
VI m |
RH m |
Hr m |
Dc m |
Wr m |
Wt m |
L m |
A m² |
Pb % |
C m² |
V m³ |
|
3.00 |
42 |
22.8 |
1.84 |
0.15 |
1.99 |
0.71 |
1.49 |
4.49 |
2227 |
6681 |
67 |
0.75 |
1670 |
| 44 | 23.7 | 1.97 | 0.15 | 2.12 | 0.73 | 1.59 | 4.59 | 2179 | 6537 | 65 | 0.80 | 1743 | |
| 3.25 | 12 | 6.8 | 0.43 | 0.16 | 0.59 | 0.27 | 0.44 | 3.69 | 2710 | 8809 | 88 | 0.24 | 650 |
| 14 | 8.0 | 0.51 | 0.16 | 0.67 | 0.31 | 0.50 | 3.75 | 2666 | 8665 | 87 | 0.27 | 720 | |
| 16 | 9.1 | 0.59 | 0.16 | 0.75 | 0.34 | 0.57 | 3.82 | 2617 | 8505 | 85 | 0.31 | 811 | |
| 18 | 10.2 | 0.68 | 0.16 | 0.84 | 0.37 | 0.63 | 3.88 | 2577 | 8375 | 84 | 0.34 | 876 | |
| 20 | 11.3 | 0.77 | 0.16 | 0.93 | 0.41 | 0.70 | 3.95 | 2532 | 8229 | 82 | 0.38 | 962 | |
| 22 | 12.4 | 0.86 | 0.16 | 1.02 | 0.44 | 0.77 | 4.02 | 2488 | 8086 | 81 | 0.41 | 1020 | |
| 24 | 13.5 | 0.95 | 0.16 | 1.11 | 0.47 | 0.83 | 4.08 | 2451 | 7966 | 80 | 0.45 | 1103 | |
| 26 | 14.6 | 1.05 | 0.16 | 1.21 | 0.50 | 0.91 | 4.16 | 2404 | 7813 | 78 | 0.49 | 1178 | |
| 28 | 15.6 | 1.15 | 0.16 | 1.31 | 0.53 | 0.98 | 4.23 | 2364 | 7683 | 77 | 0.53 | 1253 | |
| 30 | 16.7 | 1.26 | 0.16 | 1.42 | 0.57 | 1.07 | 4.32 | 2315 | 7524 | 75 | 0.58 | 1343 | |
| 32 | 17.7 | 1.37 | 0.16 | 1.53 | 0.61 | 1.15 | 4.40 | 2273 | 7387 | 74 | 0.62 | 1409 | |
| 34 | 18.8 | 1.48 | 0.16 | 1.64 | 0.63 | 1.23 | 4.48 | 2232 | 7254 | 73 | 0.67 | 1495 | |
| 36 | 19.8 | 1.60 | 0.16 | 1.76 | 0.67 | 1.32 | 4.57 | 2188 | 7111 | 71 | 0.72 | 1575 | |
| 38 | 20.8 | 1.73 | 0.16 | 1.89 | 0.70 | 1.42 | 4.67 | 2141 | 6958 | 70 | 0.77 | 1649 | |
| 40 | 21.8 | 1.86 | 0.16 | 2.02 | 0.73 | 1.52 | 4.77 | 2096 | 6812 | 68 | 0.82 | 1719 | |
| 42 | 22.8 | 2.00 | 0.16 | 2.16 | 0.76 | 1.62 | 4.87 | 2053 | 6672 | 67 | 0.88 | 1801 | |
| 3.50 | 12 | 6.8 | 0.46 | 0.18 | 0.64 | 0.30 | 0.48 | 3.98 | 2513 | 8796 | 88 | 0.28 | 704 |
| 14 | 8.0 | 0.55 | 0.18 | 0.73 | 0.34 | 0.55 | 4.05 | 2469 | 8642 | 86 | 0.32 | 790 | |
| 16 | 9.1 | 0.64 | 0.18 | 0.82 | 0.37 | 0.62 | 4.12 | 2427 | 8495 | 85 | 0.36 | 874 | |
| 18 | 10.2 | 0.73 | 0.18 | 0.91 | 0.41 | 0.68 | 4.18 | 2392 | 8372 | 84 | 0.40 | 957 | |
| 20 | 11.3 | 0.82 | 0.18 | 1.00 | 0.44 | 0.75 | 4.25 | 2353 | 8236 | 82 | 0.44 | 1035 | |
| 22 | 12.4 | 0.92 | 0.18 | 1.10 | 0.47 | 0.83 | 4.33 | 2310 | 8085 | 81 | 0.48 | 1109 | |
| 24 | 13.5 | 1.02 | 0.18 | 1.20 | 0.51 | 0.90 | 4.40 | 2273 | 7956 | 80 | 0.53 | 1205 | |
| 26 | 14.6 | 1.13 | 0.18 | 1.31 | 0.54 | 0.98 | 4.48 | 2232 | 7812 | 78 | 0.57 | 1272 | |
| 28 | 15.6 | 1.24 | 0.18 | 1.42 | 0.58 | 1.07 | 4.57 | 2188 | 7658 | 77 | 0.62 | 1357 | |
VI = Vertical Interval
RH - Reverse height
Hr = Height of the riser
Dc = Depth of cut
Wr = Width of the riser
Wt = Width of the terrace
L = Length of the terrace per ha
A = Arca of the benches (flat arca) per ha
Pb = Percentage of benches
C = Cross section of the terrace
V = Volume of cut per ha
BENCH TERRACES (4)
(Hand Made)
|
Width of the bench (Wb(m) |
Slope |
S P E C I F I C A T I O N |
|||||||||||
|
|
% |
Grade |
VI m |
RH m |
Hr m |
Dc m |
Wr m |
Wt m |
L m |
A m² |
Pb % |
C m² |
V m³ |
| 3.50 | 30 | 16.7 | 1.36 | 0.18 | 1.54 | 0.62 | 1.16 | 4.66 | 2146 | 7511 | 75 | 0.67 | 1438 |
| 32 | 17.7 | 1.47 | 0.18 | 1.65 | 0.65 | 1.24 | 4.74 | 2110 | 7385 | 74 | 0.72 | 1519 | |
| 24 | 18.8 | 1.60 | 0.18 | 1.78 | 0.69 | 1.34 | 4.84 | 2066 | 7231 | 72 | 0.78 | 1612 | |
| 26 | 19.8 | 1.73 | 0.18 | 1.91 | 0.72 | 1.43 | 4.93 | 2028 | 7098 | 71 | 0.84 | 1704 | |
| 28 | 20.8 | 1.86 | 0.18 | 2.04 | 0.75 | 1.53 | 5.03 | 1988 | 6958 | 70 | 0.89 | 1769 | |
| 40 | 21.8 | 2.00 | 0.18 | 2.18 | 0.79 | 1.64 | 5.14 | 1946 | 6811 | 68 | 0.95 | 1849 | |
| 3.75 | 12 | 6.8 | 0.50 | 0.19 | 0.69 | 0.32 | 0.52 | 4.27 | 2342 | 8783 | 88 | 0.32 | 749 |
| 14 | 8.0 | 0.59 | 0.19 | 0.78 | 0.35 | 0.59 | 4.34 | 2304 | 8640 | 87 | 0.37 | 853 | |
| 15 | 9.1 | 0.69 | 0.19 | 0.88 | 0.39 | 0.66 | 4.41 | 2268 | 8505 | 85 | 0.41 | 930 | |
| 18 | 10.2 | 0.78 | 0.19 | 0.97 | 0.43 | 0.73 | 4.48 | 2232 | 8370 | 84 | 0.46 | 1027 | |
| 20 | 11.3 | 0.88 | 0.19 | 1.07 | 0.47 | 0.80 | 4.55 | 2198 | 8243 | 82 | 0.50 | 1099 | |
| 22 | 12.4 | 0.99 | 0.19 | 1.18 | 0.51 | 0.89 | 4.64 | 2155 | 8081 | 81 | 0.55 | 1185 | |
| 24 | 13.5 | 1.10 | 0.19 | 1.29 | 0.55 | 0.97 | 4.72 | 2119 | 7946 | 80 | 0.61 | 1293 | |
| 26 | 14.6 | 1.21 | 0.19 | 1.40 | 0.58 | 1.05 | 4.80 | 2083 | 7811 | 78 | 0.66 | 1375 | |
| 28 | 15.6 | 1.33 | 0.19 | 1.52 | 0.62 | 1.14 | 4.89 | 2045 | 7669 | 77 | 0.71 | 1452 | |
| 30 | 16.7 | 1.45 | 0.19 | 1.64 | 0.65 | 1.23 | 4.98 | 2008 | 7530 | 75 | 0.77 | 1546 | |
| 32 | 17.7 | 1.58 | 0.19 | 1.77 | 0.69 | 1.33 | 5.08 | 1969 | 7384 | 74 | 0.83 | 1634 | |
| 34 | 18.8 | 1.71 | 0.19 | 1.90 | 0.73 | 1.43 | 5.18 | 1931 | 7241 | 72 | 0.89 | 1719 | |
| 36 | 19.8 | 1.85 | 0.19 | 2.04 | 0.77 | 1.53 | 5.28 | 1894 | 7103 | 71 | 0.96 | 1818 | |
| 38 | 20.8 | 1.99 | 0.19 | 2.18 | 0.81 | 1.64 | 5.39 | 1855 | 6956 | 70 | 1.02 | 1892 | |
| 4.00 | 12 | 6.8 | 0.53 | 0.20 | 0.73 | 0.34 | 0.55 | 4.55 | 2198 | 8792 | 88 | 0.37 | 813 |
| 14 | 8.0 | 0.63 | 0.20 | 0.83 | 0.38 | 0.62 | 4.62 | 2165 | 8660 | 87 | 0.42 | 909 | |
| 16 | 9.1 | 0.73 | 0.20 | 0.93 | 0.42 | 0.70 | 4.70 | 2128 | 8512 | 85 | 0.47 | 1000 | |
| 18 | 10.2 | 0.83 | 0.20 | 1.03 | 0.46 | 0.77 | 4.77 | 2096 | 8384 | 84 | 0.52 | 1090 | |
| 20 | 11.3 | 0.94 | 0.20 | 1.14 | 0.50 | 0.86 | 4.86 | 2058 | 8232 | 82 | 0.57 | 1173 | |
| 22 | 12.4 | 1.05 | 0.20 | 1.25 | 0.54 | 0.94 | 4.94 | 2024 | 8096 | 81 | 0.63 | 1275 | |
| 24 | 13.5 | 1.17 | 0.20 | 1.37 | 0.58 | 1.03 | 5.03 | 1988 | 7952 | 80 | 0.69 | 1372 | |
VI = Vertical Interval
RH - Reverse height
Hr = Height of the riser
Dc = Depth of cut
Wr = Width of the riser
Wt = Width of the terrace
L = Length of the terrace per ha
A = Arca of the benches (flat arca) per ha
Pb = Percentage of benches
C = Cross section of the terrace
V = Volume of cut per ha
BENCH TERRACES (5)
(Hand Made)

BENCH TERRACES (6)
(Hand Made)
