Moderador: Filemón Torres
Rafael Montes G.
Universidad de Tarapacá
Arica, Chile
CARACTERISTICAS GENERALES PAMPA DEL TAMARUGAL
La Pampa del Tamarugal se encuentra ubicada en el Norte de Chile. Se caracteriza por una baja humedad relativa, una fuerte oscilación diaria de temperatura, carencia absoluta de precipitaciones y gran limpidez de la atmósfera, clasificándola con un clima Desértico Normal.
El establecimiento del árbol Prosopis tamarugo, fuera de dar el nombre a la pampa, abre inmensas posibilidades forrajeras en el mundo, para todos aquellos lugares de características similares en zonas desérticas, apoyadas en la investigación que establecerá la posibilidad de que este árbol se autoabastezca hídricamente por absorción foliar de la humedad atmosférica.
La investigación preliminar determinó que el forraje producido por tamarugo (Prosopis tamarugo): fruto, hojas verdes y secas, es excelente alimento para ovinos y caprinos por su contenido de proteínas (10%), siendo, además, muy apetecido por este tipo de ganado.
El tamarugo es un árbol de fácil reproducción, poco exigente en cuanto a suelos y calidad de agua, desarrollándose en áreas de suelos salinos marginados de cualquier tipo de uso agrícola.
RAZONES DE LA EXPERIMENTACION
Dentro del programa ganadero-forestal que estaba realizando la Corporación de Fomento de la Producción (CORFO), se estaban presentando inconvenientes, los que se reflejaban en la muerte de corderos entre el momento de nacer y los primeros 20 días de vida.
El estudio se inició el 1° de abril de 1967 y finalizó el 23 de marzo de 1968.
DESARROLLO
El sector ubicado se caracterizó por tener árboles adultos (20–30 años), poseer un suelo con gran cantidad de costra de sal, árboles con uniformidad en la producción y agua de pozo para el ganado ovino. El proceso utilizado en este ensayo fue un manejo rotativo, basado en el uso de todo el ensayo con tres secciones de 160 árboles cada sección. Los animales permanecieron siempre juntos, teniendo todos las mismas ventajas y desventajas.
Para llevar a cabo el presente trabajo se seleccionaron 64 ovinos Merino Precoz Francés, de tal manera que los tratados y testigos fueran prácticamente iguales en peso promedio y edad.
Los animales se diferenciaron con autocrotal numerados en cada oreja y con marcas en el lomo, para mantener la seguridad del tratamiento en cada uno de ellos.
Durante el tratamiento, las secciones se mantuvieron bien cercadas y en cuidado permanente, de modo de asegurar la veracidad de los resultados.
ELECCION DE GRUPOS
Las ovejas seleccionadas se dividieron en dos grupos principales: el primero fue el grupo suplementado, y el segundo el grupo testigo. Estos grupos tuvieron las mismas condiciones de manejo y la única variable fue la suplementación con Vitamina “A”.
El grupo suplementado se dividió a su vez en dos sub-grupos: el Grupo 1 recibió 600.000 U.I. de Vitamina “A” y el Grupo 2 recibió 1.200.000 U.I. de Vitamina “A”, por animal.
En adelante, estos grupos se identificarán como sigue:
La suplementación fue por vía oral y realizada en dos etapas. El Grupo (3) se dejó como testigo para la comparación.
El Grupo (1) recibió su primera dosis de 300.000 U.I. al momento del encaste, el 1° de abril de 1967, y la segunda dosis el 10 de julio, es decir, dos meses antes de la parición.
Al Grupo (2) se le proporcionó la primera dosis de 600.000 U.I. también al momento de encaste, el 1° de abril de 1967, y la segunda dosis 2 meses antes de la parición.
EFECTO DE VITAMINA “A” EN EL PESO CORPORAL DE LAS OVEJAS
Basado en los antecedentes obtenidos, se puede señalar que el Grupo (1) aumentó su peso, dentro de los dos primeros controles, en una proporción superior al Grupo (2), pero en proporción inferior al Grupo (3); este último aumentó su peso en una mejor proporción que los grupos suplementados.
En el período final del control, es decir, al destete, hasta finalizar el ensayo, el Grupo (1) experimentó un aumento muy por encima de los otros dos grupos. El Grupo (3) tuvo un cambio rotundo en su linea de peso, bajando completamente su continuidad.
PRESENTACION DE LOS RESULTADOS
CUADRO 1
Peso inicio del ensayo (01.04.67)
| Grupo (1) | Grupo (2) | Grupo (3) | |
|---|---|---|---|
| Peso total ovejas | 848 kg | 853 kg | 1.652 kg |
| No de Ovejas | 16 | 16 | 32 |
| Peso Promedio | 53,00 kg | 53,31 kg | 51,62 kg |
CUADRO 2
Peso al destete (28.01.68)
| Grupo (1) | Grupo (2) | Grupo (3) | |
|---|---|---|---|
| Peso total ovejas | 853 kg | 883 kg | 1.751 kg |
| No de Ovejas | 15 | 16 | 31 |
| Peso Promedio | 56,90 kg | 55,18 kg | 56,48 kg |
CUADRO 3
Peso al término del ensayo (23.03.68)
| Grupo (1) | Grupo (2) | Grupo (3) | |
|---|---|---|---|
| Peso total ovejas | 789,88 kg | 924,00 kg | 1.757,70 kg |
| No de Ovejas | 13 | 16 | 31 |
| Peso Promedio | 60,76 kg | 57,75 kg | 56,70 kg |
CUADRO 4
Curva de peso promedio
| Inicio ensayo | Destete | Término ensayo | |
|---|---|---|---|
| Grupo (1) | 53,00 kg | 56,90 kg | 60,76 kg |
| Grupo (2) | 53,31 kg | 55,18 kg | 57,75 kg |
| Grupo (3) | 51,62 kg | 56,48 kg | 56,70 kg |
EFECTOS DE LA VITAMINA “A” EN LA PARICION
En los grupos suplementados con Vitamina “A” no murió ninguna oveja antes de empezar la parición.
Gráfico 1
TRATAMIENTO CON VITAMINA “A”
CURVA DE PESO DE OVEJAS DURANTE EL ENSAYO

De las ovejas tratadas en el Grupo (1) parieron todas, no así las tratadas en el Grupo (2), en que solamente lo hicieron 14. En el Grupo (3) murió una oveja antes de empezar la parición y de las 31 restantes, 27 parieron y 4 no lo hicieron.
Durante el parto no murió ningún animal de los tres grupos tratados.
CUADRO 5
| Grupo (1) | Grupo (2) | Grupo (3) | |
|---|---|---|---|
| No inicial de ovejas | 16 | 16 | 32 |
| Muertos antes parición | - | - | 1 |
| Entraron a parición | 16 | 16 | 31 |
| Muertas en el parto | - | - | - |
| Partos simples | 14 | 13 | 26 |
| Partos dobles | 2 | 1 | 1 |
| Total | 16 | 14 | 27 |
| Ovejas sin parir | - | 2 | 4 |
Gráfico 2
TRATAMIENTO CON VITAMINA “A”
PORCENTAJE DE PARICION BRUTA

El Grupo (1) entregó 14 partos simples y 2 partos dobles, lo que da un total de 16 partos, obteniéndose una parición bruta de 18 animales, es decir, 112,50%.
El Grupo (2) entregó 13 partos simples y 1 parto doble, lo que da un total de 14 partos, con una parición bruta de 15 crías, vale decir, 93,75%.
El Grupo (3) entregó 26 partos simples y 1 parto doble, lo que da un total de 27 partos, con una parición bruta de 28 crías, es decir, 90,32%.
Para calcular el porcentaje de parición bruta se consideró el número de ovejas que entró a parición y su relación con el número de crías nacidas vivas y muertas.
Para calcular el porcentaje de parición neta se consideró el número de ovejas que entró a parición y su relación con el número de crías vivas, ovejas que se contabilizaron en el momento de la señalada (edad tres meses promedio).
Gráfico 3
PORCENTAJE DE PARICION A
LA SEÑALADA

El Grupo (1), con 16 ovejas al iniciar la parición y con un número de 16 crías a la señalada, estableció un porcentaje de parición neta de 100%.
El Grupo (2), con 16 ovejas al iniciar la parición y con un número de 12 crías a la señalada, estableció un porcentaje de parición neta de 75%.
El Grupo (3), con 31 ovejas al iniciar la parición y con un número de 18 crías a la señalada, estableció un porcentaje de parición neta de 58,06%.
En los porcentajes logrados para los tres grupos han influido, desde luego, los partos dobles, sin que pueda establecerse la influencia de Vitamina “A” en este fenómeno. Es posible que hubiese sido más conveniente reconsiderar tales partos dobles en la contabilización del porcentaje de pariciones.
CUADRO 6
Comparación en Parición Bruta y Parición a la señalada
| Tratamiento | % Parición Bruta | % Parición Neta | % Diferencia |
|---|---|---|---|
| Grupo (1) | 112,50 | 100,00 | 12,50 |
| Grupo (2) | 93,75 | 75,00 | 18,75 |
| Grupo (3) | 90,32 | 58,06 | 32,26 |
Del cuadro podemos establecer ya algunos indicadores de real importancia sobre la necesidad de suplementación con Vitamina “A”. Al basarnos inicialmente en la parición bruta, vemos que el Grupo (3) tuvo un rendimiento menor al suplementado, situación que se agudiza al analizar la porcentualidad en la parición neta, reflejándose en una alta incidencia en el porcentaje diferenciativo.
Gráfico 4
DIFERENCIA DE % DE PARICION BRUTA
MENOS % DE PARICION A LA SEÑALADA

MUERTE DE CORDEROS
Las crías muertas de la parición hasta la señalada se dividieron en los siguientes grupos:
por mal parto: todo animal que murió por venir en mala posición en el momento del parto;
causas desconocidas: todas aquellas crías que nacieron vivas y al poco tiempo murieron;
por zorro: muerte por depredador; y
por otras causas: muertes provocadas por accidentes.
CUADRO 7
Causas de muerte durante el ensayo
| Tratamiento | Mal Parto | Causas Desconocidas | Zorros | Otras Causas | Total |
|---|---|---|---|---|---|
| Grupo (1) | — | 1 | 1 | — | 2 |
| Grupo (2) | — | — | 2 | 1 | 3 |
| Grupo (3) | 1 | 7 | 2 | — | 10 |
En el Cuadro 7 podemos establecer el origen de las muertes, observándose que corresponde principalmente a causas desconocidas, con una gran relevancia en el Grupo Testigo y no así en el Suplementado, con excepción de un caso en el Grupo (1).
EFECTO DE LA VITAMINA “A” EN LAS CRIAS
CUADRO 8
15.10.67 (15 días)
| Tratamiento | Crías machos | Crías hembras | Total crías | ||||||
|---|---|---|---|---|---|---|---|---|---|
| P. Ttl. | N | P. Pro. | P. Ttl. | N | P. Pro. | P. Ttl. | N | P. Pro. | |
| Grupo (1) | 133,00 | 9 | 14,77 | 106,00 | 7 | 15,14 | 239,00 | 16 | 14,95 |
| Grupo (2) | 99,00 | 6 | 16,50 | 94,00 | 6 | 15,66 | 193,00 | 12 | 16,08 |
| Grupo (3) | 160,00 | 10 | 16,00 | 26,50 | 9 | 15,81 | 286,50 | 18 | 15,90 |
CUADRO 9
28.01.68 (4 meses)
| Tratamiento | Crías machos | Crías hembras | Total crías | ||||||
|---|---|---|---|---|---|---|---|---|---|
| P. Ttl. | N | P. Pro. | P. Ttl. | N | P. Pro. | P. Ttl. | N | P. Pro. | |
| Grupo (1) | 175,00 | 7 | 25,00 | 157,00 | 7 | 22,42 | 332,00 | 14 | 23,71 |
| Grupo (2) | 134,00 | 5 | 26,80 | 143,00 | 6 | 23,83 | 277,00 | 11 | 25,32 |
| Grupo (3) | 263,00 | 10 | 26,30 | 169,50 | 7 | 24,21 | 432,50 | 17 | 25,25 |
CUADRO 10
15.03.68 (Término del Ensayo)
| Tratamiento | Crías machos | Crías hembras | Total crías | ||||||
|---|---|---|---|---|---|---|---|---|---|
| P. Ttl. | N | P. Pro. | P. Ttl. | N | P. Pro. | P. Ttl. | N | P. Pro. | |
| Grupo (1) | 227,50 | 7 | 32,50 | 196,50 | 7 | 28,07 | 424,00 | 14 | 30,28 |
| Grupo (2) | 117,50 | 5 | 35,50 | 185,40 | 6 | 30,91 | 363,00 | 11 | 33,20 |
| Grupo (3) | 317,50 | 9 | 35,27 | 223,50 | 7 | 31,94 | 541,00 | 16 | 33,60 |
CURVA DE CRECIMIENTO
Se ha obtenido el siguiente resultado, considerando los pesajes en tres etapas del ensayo: fin de parición, destete y fin de ensayo:
CUADRO 11
| Término parición | Destete | Término ensayo | |||||||
|---|---|---|---|---|---|---|---|---|---|
| (1) | (2) | (3) | (1) | (2) | (3) | (1) | (2) | (3) | |
| Machos | 14,77 | 16,50 | 16,00 | 25,00 | 26,80 | 26,30 | 32,50 | 33,50 | 35,27 |
| Hembras | 15,14 | 15,66 | 15,81 | 22,42 | 23,83 | 24,21 | 28,07 | 30,91 | 31,94 |
| Total | 14,95 | 16,08 | 15,90 | 23,71 | 25,32 | 25,25 | 30,28 | 33,20 | 33,60 |
Una vez terminada la parición, cuando los corderos tenían 15 días de vida (15 de octubre de 1967), se pesaron las crías.
El segundo control se realizó al destete, cuando las crías tenían 4 meses de edad promedio, el 28 de enero de 1968.
El peso de los corderos, al final del ensayo, fue el siguiente:
Gráfico 5
TRATAMIENTO CON VITAMINA “A”
CURVA DE CRECIMIENTO DE LAS CRIAS

PRODUCCION DE LANA
CUADRO 12
| Grupo (1) | Grupo (2) | Grupo (3) | |
|---|---|---|---|
| Producción total | 29,30 | 36,30 | 71,90 |
| No de ovejas | 13 | 16 | 31 |
| Producción promedio | 2,25 | 2,26 | 2,31 |
Como se puede apreciar de los resultados obtenidos, la acción de la Vitamina “A” sobre este aspecto es prácticamente nula, pues existe una diferencia mínima, y, sin aplicar grados de significación, sería muy difícil dar un veredicto final.
Vale la pena, sí, señalar que las muertes sucedidas durante el ensayo hacen variar la exactitud de los resultados, ya que por diferentes causas murieron 15 animales, tal como se demuestra en el Cuadro 7.
CONCLUSIONES
Cabe señalar que, producto de esta investigación, se efectuaron repeticiones de ensayos cuyos resultados dejaron la suplementación con Vitamina “A” incluida dentro del manejo del ganado ovino establecido en la Pampa del Tamarugal.
Fernando Bórquez L.
Corporación de Fomento de la Producción
Sociedad Agrícola CORFO-Chile
La Pampa del Tamarugal, ubicada en la Primera Región de Chile, presenta una vegetación compuesta fundamentalmente por una estrata arbórea con tamarugo (Prosopis tamarugo) y algarrobo (Prosopis chilensis), los cuales aportan su fruto y follaje como únicos recursos forrajeros para diversos sistemas de producción animal (bovino, ovino y caprino).
El sistema de producción bovino de carne ha sido el que más dificultades ha presentado en su establecimiento, por ser ésta la especie más exigente en cantidad y calidad de nutrientes.
La alimentación de los vacunos estaba basada exclusivamente en tamarugo y algarrobo, con los cuales no se alcanzaba una dieta balanceada, que cubriera los requerimientos para ciertos niveles productivos, ni tampoco un volumen suficiente para lograr la saciedad, situación que se veía agravada por las diferencias anuales en producción de frutos.
Como consecuencia de lo anterior, las tasas de crecimiento eran bajas, lográndose animales que estabilizaban su peso en poco más de 300 kg. El comportamiento reproductivo era también bajo, con porcentajes de parición del orden de 60–70%, terneros con muy bajo peso de nacimiento (mayoritariamente distócico) —en animales cruza Hereford-Santa Gertrudis llegaba a 20–30 kg—, y alta mortalidad (a veces superior al 50%), como consecuencia de una mala producción de leche de las madres, las que llegaban a perder hasta un 40% de su peso y demoraban prácticamente un año en recuperarse (Bórquez, 1983).
A todo lo anterior debe agregarse el problema de “perversión del apetito” ocasionado por una insuficiencia de volumen en la dieta, con lo cual no se lograba la saciedad y los animales tenían un apetito permanente. Este problema ocasionó dificultades en el manejo del ganado, y provocó la muerte de muchos animales (Church, 1974).
La escasez de otros recursos forrajeros en este medio llevó a estudiar las fecas de ovinos (alimentados sólo con tamarugo) existentes en la Pampa del Tamarugal como ingrediente alimenticio, las cuales harían un aporte en nutrientes al aprovecharse elementos endógenos de desecho, sumados al mayor tiempo de acción fermentativa ruminal sobre el material no digerido y, además, harían un aporte en volumen a la dieta, lo que constituye también una limitante para la alimentación de vacunos.
Las condiciones de la Pampa del Tamarugal, de gran aridez, alta radiación y nivel salino, permiten un reciclaje de las fecas con bajo riesgo sanitario.
El objetivo de este ensayo fue el de estudiar diferentes niveles de inclusión de fecas de ovinos de la Pampa del Tamarugal en una dieta balanceada para vacunos, y su efecto en consumo, ganancias de peso y eficiencia de utilización.
MATERIALES Y METODOS
El ensayo se efectuó en el Fundo Refresco (Pampa del Tamarugal) entre octubre de 1980 y enero de 1981, durante 112 días, en los cuales 18 machos enteros de 9–10 meses de edad, cruza de Hereford (75%) y Santa Gertrudis (25%), y peso inicial de 164 kg, se distribuyeron en un diseño de bloques al azar en tres tratamientos, con seis repeticiones.
Los tratamientos en estudio correspondieron a diferentes niveles de inclusión de fecas de ovinos, que fueron de 0,25 y 50% de la ración para T1, T2 y T3, respectivamente. La ración, además, contenía afrechillo de trigo, heno de alfalfa picado, harina de huesos y sal común.
Los animales fueron distribuidos al azar en corrales individuales, entregándoseles agua y alimento a discreción, luego de un período previo de acostumbramiento de 15 días para consumir la dieta con fecas.
Se efectuó un análisis químico de las fecas de ovinos utilizadas en el ensayo, que entregó el siguiente resultado:
| — Materia seca | 97% |
| — Materia orgánica | 75,1% (Base mat. seca) |
| — Digestibilidad mat. seca | 30,80% (Base mat. seca) |
| — Digestibilidad mat. orgánica | 23,40% (Base mat. seca) |
| — Proteína cruda (N × 6,25) | 11,2% (Base mat. seca) |
| — Energía bruta, Kcal/g | 3,33% (Base mat. seca) |
| — Pared celular | 74,12% (Base mat. seca) |
CUADRO 1
Composición de las Raciones *
| T1 | T2 | T3 | |
|---|---|---|---|
| Afrechillo de trigo, % | 40 | 40 | 40 |
| Heno de alfalfa, % | 60 | 35 | 10 |
| Fecas de ovinos, % | 0 | 25 | 50 |
| Composición química | |||
| Materia orgánica, % | 89,6 | 87,4 | 83,8 |
| Materia org. digestible, % | 75,5 | 66,8 | 49,4 |
| Pared celular, % | 37,7 | 47,8 | 54,1 |
| Proteína cruda, % | 11,1 | 11,0 | 9,6 |
Durante el transcurso del ensayo se hicieron mediciones de consumo de materia seca, consumo de agua y variaciones en el peso vivo.
RESULTADOS Y DISCUSION
La composición química de las fecas de ovinos, determinadas en primer lugar por la calidad del alimento ingerido por ellos, muestra un gradiente alimenticio de bajo valor, constituido fundamentalmente por pared celular poco digestible, que pudiera mejorar su valor nutricional por un mayor tiempo de acción de la flora microbiana ruminal, sumado al aporte que hacen los desechos endógenos (Arndt et al. 1979). Se corroboran también las afirmaciones de Smith y Wheeler (1979), en el sentido de que el aporte nutritivo más importante de las fecas —para rumiantes— es como fuente proteica, más que como aporte energético.
No obstante lo anterior, uno de los aspectos de interés en este estudio en particular, es el de aumentar el volumen de la ración para eliminar la “perversión del apetito”. La utilización de las fecas se ve mejorada al ser entregadas con otros alimentos que mejoran el balance nutricional de la dieta (Fontenont, 1979; Smith y Wheeler, 1979; Gómez, 1981).
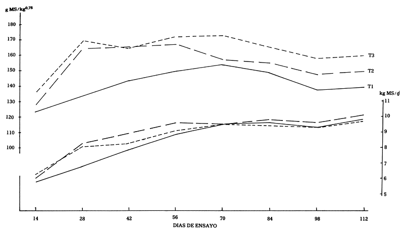
El consumo de materia seca promedio por animal fue diferente entre tratamientos (P ≤ 0,05), siendo superior cuando se incluyeron mayores niveles de fecas en la ración (Cuadro 2, Figura 1).
CUADRO 2
Consumo promedio de materia seca y agua
| T1 | T2 | T3 | |
|---|---|---|---|
| kg MS/día/animal | 8,47 | 9,02 | 8,74 |
| g MS/kg0.75/día | 141,1 a | 154,1 b | 161,7 c |
| kg MS/kg peso vivo (%) | 3,68 | 4,00 | 4,24 |
| It agua/día/animal | 37,4 a | 40,9 b | 30,8 a |
Los niveles de consumo alcanzados se consideran buenos, siendo en todos los casos superiores al 3,5% de su peso corporal, lo cual indica que la inclusión de altos niveles de fecas en la ración no constituye una limitante al consumo; por el contrario, su ingestión es superior.
El consumo de agua por su parte fue similar en todos los tratamientos (P ≤ 0,05), aumentando desde el inicio del ensayo hasta la 6–8a semana, y luego tendiendo a estabilizarse, a excepción del tratamiento 2, que al final aumentó su consumo. Todos los animales tuvieron sombra en sus corrales individuales durante el ensayo.
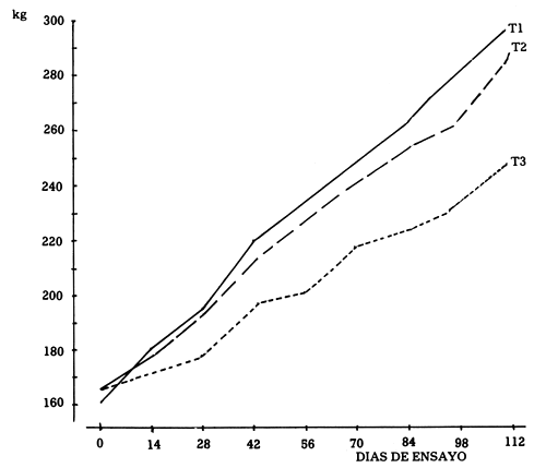
El comportamiento de los animales de los diferentes tratamientos se tradujo en buenas ganancias de peso, que fueron mayores en T1 y T2, comparadas con T3 (P ≤ 0,05), observándose una clara tendencia a disminuir las ganancias de peso en la medida que aumenta la inclusión de fecas.
Figura 1. Consumo de materia seca

CUADRO 3
Variaciones de peso de los animales en 112 días
| T1 | T2 | T3 | |
|---|---|---|---|
| Peso inicial, kg | 161,5 | 165,3 | 165,3 |
| Peso final, kg | 298,8 a | 286,2 a | 247,3 b |
| Aumento de peso, kg | 137,3 a | 120,8 a | 82,0 b |
| Tasa de aumento, kg/día | 1,23 | 1,08 | 0,73 |
| Conversión (kg alimento/kg aumento de peso) | 6,9 | 8,4 | 12,0 |
Los valores del Cuadro 3 indican claramente una disminución en la eficiencia de utilización del alimento, cuando se incluyen mayores niveles de fecas.
El grado de molienda que tiene el material fecal de ovinos permite una mayor velocidad de pasaje en el tracto digestivo, logrando el animal aprovechar el material endógeno que tienen las fecas (Campling, 1966). Este hecho permite un mayor consumo de alimento, pero éste es insuficiente para mantener las tasas de ganancia de peso de los animales de T1.
Los resultados obtenidos con niveles de 25% de fecas son coincidentes con el uso de otros tipos de fecas, como las de broiler, cerdos y vacunos (Smith y Wheeler, 1979), las cuales, incluidas en niveles medios en una dieta balanceada, presentan un comportamiento similar a los testigos sin fecas.
Se estima que el objetivo planteado al inicio de este ensayo fue plenamente logrado, puesto que las ganancias de peso son buenas si se considera el nivel de inclusión de fecas; además, el alto consumo permite su uso para aumentar el volumen de la dieta. El comportamiento de los animales en este ensayo permite considerar que el nivel más adecuado al incluir fecas sería de 25%, correspondiente al tratamiento 2.
Se pudo concluir que el uso de fecas de ovinos de la Pampa del Tamarugal en la alimentación de vacunos permite obtener buenas ganancias de peso, y aumenta el consumo. Esto último corrige los efectos producidos por una falta de volumen de la dieta.
Figura 2. Variaciones de peso

REFERENCIAS
ARNDT D.L., DAY D.L., HATFIELD E.E. 1979. Processing and animal excreta for feeding. J. Animal Science 48 (1):157–162.
BORQUEZ L.F., 1983. Corporación de Fomento de la Producción. Actividades Forestales y Ganaderas en la Pampa del Tamarugal 1963 – 1982. Tomo II. Aspectos Ganaderos. Gerencia de Desarrollo AA 83/30.
CAMPLING R.C., FREER M. 1966. Factors affecting the voluntary intake of food by cows. Br. J. Nutrition 20:229–244.
CHURCH D.C. 1974. Fisiología Digestiva y Nutrición de los Rumiantes, Vol. 2 Nutrición Ed. Acribia.
FONTENONT J.P., 1979. Alternatives in animal waste utilization - Introductory Comments. J. Animal Science 48 (1) : 111–112.
GOMEZ R.J., 1981. Utilización de guano de conejos en concentrado de crecimiento para terneros. Fac. de Ciencias Agrarias, Veterinarias y Forestales, Universidad de Chile (Tesis Ingeniero Agrónomo).
SMITH L.W., WHEELER W.E. 1979. Nutritional and economic value of animal excreta. J. Animal Science 48(1):144–156.
José De La Torre H.
Corporación Nacional Forestal
Arica, Chile
Enrique Díaz M.
Sociedad Agrícola CORFO
Santiago, Chile
Pedro Joustra P.
Sociedad Agrícola CORFO
Santiago, Chile
Luis Zelada G.
Corporación de Fomento de la Producción
Santiago, Chile
INTRODUCCION
La superficie forestada de la Pampa del Tamarugal, susceptible de aprovechamiento ganadero, es de 22.650 há. Está compuesta en un 90% de tamarugos (Actividades forestales y ganaderas en la Pampa del Tamarugal, CORFO 1983), los que necesitan ser “habilitados” para su aprovechamiento por el ganado. Es decir, es necesario remover o podar sus ramas bajas, debido a que forman un manto compacto y con gran cantidad de espinas, lo que impide el acceso del ganado al fruto, que es el alimento básico.
En la actualidad se cuenta con una superficie habilitada de 10.080 há, por lo que faltaría por habilitar 12.570 há, aproximadamente, con un costo estimado a junio de 1980 de US$ 39,00 por há.
Considerando, por una parte, la necesidad de integrar a la producción, a través de la habilitación, a más del 50% del bosque existente, y, por otra, lo oneroso que resulta hacerlo en la manera tradicional, se estimó, basado en la conocida agresividad y rusticidad de los caprinos, que ellos podían efectuar esa labor, disminuyendo por una parte los costos de habilitación, y por otra, aprovechar en su alimentación la parte de la biomasa del tamarugo que se cortaba para ser utilizada como cercos.
El objetivo del ensayo fue medir el efecto que ejercían las cabras sobre los árboles, utilizando diferentes cargas animales o presión de pastoreo, y, a su vez, revisar el comportamiento nutricional y reproductivo de ellas, de tal manera de obtener una diferencia sobre el número de animales necesarios para habilitar una unidad de superficie, sin causar daño al árbol y manteniendo sus parámetros productivos.
Para efectuar la experiencia se eligió el bosque de Bellavista, de propiedad de la Corporación de Fomento de la Producción, de aproximadamente 15 años de edad. Posee un buen desarrollo, y es por lo tanto interesante de integrar al bosque productivo. Este bosque se encuentra al noreste de la ex oficina Salitrera Victoria, en el km 1.750 de la carretera Panamericana Norte.
Los datos que se presentan a continuación corresponden al primer año de la experiencia, por lo que los resultados son parciales y deberán ser ratificados en el futuro.
1. MATERIAL Y METODO
El sector del bosque elegido para la experiencia corresponde a un potrero representativo de las condiciones generales del tamarugal, vale decir, árboles plantados a 10 m × 10 m, de 6 a 9 m de altura, con un diámetro de copa medio de 7 a 8 m y que nunca había sido utilizado con animales.
Por otra parte, del piño de caprinos existentes en el Fundo Refresco se seleccionó un total de 58 cabras de dos dientes, cruzas de angora por criollos, para poder evaluarlas durante toda su vida productiva. El peso promedio fue de 23,98 kg.
Por ser el tamarugo la única unidad productora primaria, y por no existir una distribución pareja de ellos en los potreros, se utilizó como medida de presión de pastoreo las siguientes cargas:
En el Cuadro l se indica el número de animales y de árboles por cada tratamiento, así como el peso promedio inicial de las cabras.
Pensando que en algunos de los tratamientos se podrían producir bajas importantes de peso, se determinó suspender el tratamiento cuando la baja superara el 30% del peso inicial de la experiencia, de tal manera de no sacrificar inútilmente los animales. También se consideró reponer los animales que se perdieran por razones extraalimentarias. Para esto se utilizarían cabras del mismo tipo existentes en el piño normal del fundo.
CUADRO 1
Número de animales y árboles utilizados
en cada tratamiento. Peso x de cabras (kg).
| Tratamientos | No animales | No árboles | Peso x cabras kg |
|---|---|---|---|
| Carga liviana T1 | 17 | 1.700 | 24,4 ± 5,37 |
| Carga media T2 | 17 | 1.132 | 23,88 ± 5,25 |
| Carga pesada T3 | 24 | 799 | 23,68 ± 6,02 |
El manejo reproductivo del ensayo corresponde al sistema utilizado, en general, en la masa caprina en 1982, vale decir:
La alimentación base durante todo el ensayo correspondió a lo que los propios animales fueron capaces de consumir del bosque en las 9 horas diarias que permanecían “pastoreando”. Durante la noche se encerraron en corrales.
Los parámetros medidos fueron:
Variaciones de peso: Se controló cada quince días a los animales. El pesaje se hizo en general con una noche de destare. Los cabritos se pesaron al nacer y posteriormente cada quince días, junto a sus madres.
Consumo de agua: Se obtuvo el consumo de agua diario de los 3 tratamientos para evaluar las necesidades reales de los animales, de este recurso escaso y caro de obtener.
Reproductivos: Se llevaron registros de cabras encastadas, % de preñez, % de parición, % de abortos, peso nacimiento, No de machos y hembras, % destete.
Efecto sobre los árboles: Como una manera de medir la capacidad de “habilitación” de las cabras, y dimensionar el probable daño que pudiera hacer sobre el árbol, se eligieron al azar 12 árboles para el tratamiento 1 (carga liviana), 9 árboles para el tratamiento 2 (carga media) y 6 árboles para el tratamiento 3 (carga pesada), los que se fotografiaron cada 2 meses, evaluando el efecto sobre ramas, corteza y follaje en general.
2. RESULTADOS Y DISCUSION
El ensayo se programó para una duración de tres años, al cabo de los cuales se haría evidente la capacidad de habilitar de las cabras, el efecto o daño probable sobre los árboles y el comportamiento productivo de los animales. Es natural, entonces, que en el curso del primer año no se adviertan aún indicadores concretos sobre algunos de los objetivos planteados. Sin embargo, existen algunos datos que pueden orientar acerca de lo que serán los resultados en el futuro.
2.1 Variaciones de Peso
Los pesos promedios de las cabras, desde el inicio del ensayo, 15 de marzo de 1982, hasta el 30 de noviembre de 1982, fecha en que se le dio término, para cada uno de los tratamientos, se presentan en el Cuadro 2.
CUADRO 2
Pesos promedios de cabras en diferentes cargas
liviana, media, alta (kg)
| Tratamiento | Peso inicial | Mar. 30 | Abril 15 | Abril 30 | Mayo 15 | Mayo 31 | Junio 15 | Junio 30 | Sept. 30 | Oct. 15 | Oct. 30 | Nov. 15 | Nov. 30 |
|---|---|---|---|---|---|---|---|---|---|---|---|---|---|
| Carga liviana T1 | 24,4 | 24,0 | 25,1 | 25,8 | 27,6 | 27,5 | 30,9 | 29,6 | 32,2 | 33,2 | 34,5 | 35,1 | 32,0 |
| Carga media T2 | 23,8 | 25,3 | 26,0 | 25,3 | 25,3 | 27,6 | 29,5 | 29,7 | 32,2 | 33,3 | 34,5 | 35,5 | 34,1 |
| Carga pesada T3 | 23,7 | 27,7 | 27,1 | 27,8 | 27,1 | 29,0 | 30,5 | 32,6 | 33,3 | 31,8 | 33,7 | 35,0 | 31,6 |
En general, no existen diferencias notables entre los tratamientos en el transcurso del ensayo, como se aprecia en el Gráfico l.
Los quiebres de las curvas en determinados momentos están dados principalmente por factores de “stress” a que fueron sometidas las cabras, como encaste en abril y mayo; disminución nutritiva del follaje entre julio a agosto, ya que en esa época casi no hay hoja verde y el consumo de ellos es de aproximadamente 44%; parición y lactancia en los meses de octubre y noviembre, y suspensión de la suplementación a partir de noviembre.
El incremento de peso, para el período de 260 días, fue de 9,2 kg promedio para el tratamiento 1, que significa un incremento diario de peso de 35 g; para el tratamiento 2 se obtuvo un incremento total de 10,3 kg promedio, o sea, una ganancia de 39 g diarios, y el tratamiento 3 subió en el período 7,9 kg promedio, que significan 30 g diarios.
Estos incrementos son bastante bajos para animales en crecimiento, y las diferencias observadas entre los tratamientos no sugieren una idea de carga óptima, al menos para esta variable.
Los resultados —por ser muy preliminares— pueden inducir a error, ya que es probable que una vez que las cabras abran camino, o poden el árbol, puedan utilizar el fruto, que es el principal elemento nutritivo de él.
Los pesos de los cabritos, así como sus incrementos en el período, se analizan en el punto 2.3
2.2 Consumo de Agua
En el Cuadro 3 se presentan los valores promedios de consumo de agua diarios por mes y por tratamiento, desde abril a diciembre de 1982.
CUADRO 3
Consumo diario promedio de agua en cabras por mes, y según tratamiento
lt/día/cabra. Abril – diciembre de 1982
| Tratamientos | Consumo It/día | x Período | ||||||||
|---|---|---|---|---|---|---|---|---|---|---|
| Abril | Mayo | Junio | Julio | Agosto | Sept. | Oct. | Nov. | Dic. | ||
| Carga liviana T1 | 2,66 | 2,60 | 2,73 | 2,91 | 3,75 | 5,86 | 6,85 | 7,23 | 7,77 | 4,70 |
| Carga media T2 | 2,45 | 2,48 | 2,71 | 2,96 | 3,77 | 6,00 | 6,85 | 7,12 | 7,87 | 4,69 |
| Carga pesada T3 | 2,31 | 2,35 | 2,46 | 2,59 | 3,19 | 4,86 | 5,86 | 6,88 | 7,44 | 4,21 |
No hay diferencias significativas en el consumo de agua de los distintos tratamientos, pero existe una clara tendencia a aumentar el consumo por cabeza a lo largo del ensayo. Esto queda mejor clarificado en el Gráfico 2.
Es destacable el fuerte incremento en el consumo a partir de julio, que coincide con el último tercio de gestación de las cabras, y luego con la lactancia y el consumo propio de la cría.
Este dato permitirá dimensionar las cantidades de agua ofrecidas en los distintos estados fisiológicos de las cabras, así como también los tamaños de bebederos en las explotaciones comerciales que se pudieran realizar en la Pampa.
El menor consumo registrado en el tratamiento 3 se explicaría por el tamaño más reducido de la “parcela” en que se encontraban (799 árboles), lo que implica caminar menos en busca del alimento y, por lo tanto, menos gasto hídrico.
Gráfico 1
VARIACIONES DE PESO DEL GANADO CAPRINO EN BOSQUES SIN HABILITAR

Gráfico 2
VARIACIONES DE CONSUMO DE AGUA EN LOS DIFERENTES TRATAMIENTOS

2.3 Parámetros Reproductivos
Los resultados obtenidos en el aspecto reproductivo de las cabras se muestran en el Cuadro 4. Se evalúan en forma separada los 3 tratamientos. El encaste se inició el 1° de abril y finalizó el 31 de mayo de 1982.
Es destacable la eficiencia reproductiva demostrada por las cabras en cada uno de los tratamientos. Los porcentajes de preñez son muy buenos en cualquier explotación caprina, así como también los porcentajes de parición, considerando que la raza angora, que es la base de origen de las cabras en ensayo, no se caracteriza por partos múltiples.
La mortalidad neonatal se vio aumentada en el caso de los tratamientos 2 y 3 por la acción de predadores, particularmente zorros, que mataron un cabrito en cada ensayo. De todas maneras, se considera dentro de los limites aceptables para la especie.
Es conveniente resaltar el bajo porcentaje de abortos ocurridos, toda vez que en el piño normal de crianza se obtuvo, para el mismo período, un 6,6% y en el año anterior, 1981, un 32.7%. Esto puede ser efecto de un manejo más intensivo de los animales y de una suplementación más controlada.
CUADRO 4
Parámetros reproductivos de cabras
en cargas liviana, media, alta. 1982
| V a r i a b l e s | T R A T A M I E N T O S | ||
|---|---|---|---|
| 1 | 2 | 3 | |
| No de cabras encastadas | 17 | 17 | 24 |
| No de cabras preñadas | 17 | 16 | 23 |
| % de preñez | 100 | 94,1 | 95,8 |
| No de abortos | 0 | 0 | 1 |
| % de abortos | 0 | 0 | 4,2 |
| No de cabritos nacidos | 23 | 21 | 27 |
| % de parición | 135,3 | 129,4 | 112,5 |
| Peso nacimiento kg | 3,1 | 2,8 | 2,4 |
| No cabritos muertos | 1 | 2 | 3 |
| % mortalidad neonatal | 4,1 | 8,6 | 6,6 |
No se observan diferencias significativas entre los tratamientos en ninguno de los parámetros reproductivos, lo que era de esperar, puesto que en un año aún no se ha producido stress alimenticio que pudiera estar influyendo en la reproducción de las cabras.
Los pesos al nacimiento de los cabritos son un tanto bajos, pero dentro de los estándares (2,40 – 2,96 kg); empero, es necesario considerar que las madres son muy livianas (32 – 33 kg en promedio) y que, además, se presentó una cantidad importante de partos gemelos. En el aspecto general, los cabritos se mostraron vigorosos y animosos, lo que es un indicador de vitalidad.
En el Cuadro 5 se presentan los incrementos de peso promedio de los cabritos desde el nacimiento al destete, para los distintos tratamientos.
CUADRO 5
Variaciones de peso promedio en cabritos según tratamiento (kg)
| Tratamiento | Peso nac. | 15 oct. | 30 oct. | 15 nov. | 30 nov. | destete 30 dic. |
|---|---|---|---|---|---|---|
| Carga liviana T1 | 3,09 | 10,73 | 14,41 | 15,90 | 18,40 | 20,53 |
| Carga media T2 | 2,81 | 9,45 | 12,07 | 13,30 | 17,80 | 18,14 |
| Carga pesada T3 | 2,45 | 10,00 | 12,42 | 14,20 | 16,40 | 17,75 |
| Promedio | 2,78 | 10,06 | 12,97 | 14,47 | 17,53 | 18,89 |
Se desprende del cuadro que el incremento de peso de los cabritos es absolutamente normal; incluso, el peso promedio de destete es superior al promedio del manejo general de la masa del Fundo Refresco, que fue de 17,36 kg.
Esto indica que no hubo efecto de la nueva condición alimenticia sobre la producción de leche de las cabras en ensayo.
Desde mediados de noviembre se puede apreciar una tendencia a la nivelación en el incremento de peso en el tratamiento 3, lo que se debería a que los cabritos comienzan a comer conjuntamente con sus madres, lo que eleva la carga, de por sí ya pesada.
2.4 Efecto Sobre los Arboles
Transcurridos siete meses desde la iniciación del ensayo, no se aprecian efectos sobre los árboles seleccionados como indicadores, debido al escaso tiempo transcurrido y al hábito de consumo de las cabras. Estas consumen colectivamente los árboles de un determinado sector hasta “habilitarlo”, y luego cambian a otro, siempre buscando las orillas del potrero.
La principal acción la ejercen sobre las ramas rastreras, consumiendo algunas de más de l pulgada de diámetro, y, en el caso de árboles pequeños de poco desarrollo, consumen incluso la corteza, lo que implica un peligro para la sobrevivencia del árbol.
Esto hace suponer que la habilitación del bosque con caprinos debe realizarse bajo un estricto control para evitar daños irrecuperables en el recurso básico.
3. CONCLUSIONES
Por lo breve del tiempo transcurrido, no se pueden sacar conclusiones definitivas. Sin embargo, algunos indicadores son útiles para señalar cuál podría ser la tendencia a futuro.
ANEXO
CORPORACION DE FOMENTO DE LA PRODUCCION FUNDO REFRESCO PAMPA DEL TAMARUGAL


Cabra tipo angora

Cabra tipo Criollo

Cabras en Bellavista

Aspecto de la masa ovina
Robert D. Kirmse
Universidad de Utah
INTRODUCCION
El interés en el ramoneo, como componente potencialmente importante de la alimentación de animales de pastoreo en praderas áridas y semiáridas, es un fenómeno relativamente reciente. Este hecho quedó en evidencia en el simposio sobre ramoneo que se realizó en Africa en 1980 (Le Houérou 1980) y en el simposio sobre arbustos silvestres llevado a cabo en Utah, EE.UU., en 1972 (McKell et al. 1972). Estos simposios destacaron la importancia potencial de los árboles y arbustos para la nutrición del ganado. Sin embargo, también evidenciaron nuestra falta de conocimiento respecto del papel actual de las plantas leñosas en el sistema planta-hervíboro.
La revisión de la literatura revela que los responsables de nuestra incapacidad para formular declaraciones concretas respecto de la importancia nutricional del forraje derivado de plantas leñosas, pueden ser nuestros enfoques tradicionales de investigación. La mayor parte de nuestro conocimiento sobre el valor nutricional del ramoneo para animales domésticos, se limita a conceptos derivados empíricamente, basados en estudios de alimentación de corral o análisis químicos de follaje cortado. Estos estudios generalmente han mostrado que el ramoneo es de poca palatabilidad y de bajo valor nutritivo. Usualmente se sospecha que los altos niveles de fibra y los compuestos secundarios, como los taninos y lignina, son responsables de lo pobre de los resultados. Estos estudios, no obstante, por su inherente naturaleza de excluir el animal de apacentamiento, no toman en cuenta la selectividad y otras relaciones planta-animal que pueden influir en el uso potencial del ramoneo. La evaluación del valor relativo del ramoneo en las reservas de forraje para estación seca, para animales de pastoreo, dentro del marco del ecosistema, idealmente debería incluir un ensayo de apacentamiento en áreas pareadas, una con plantas leñosas y la otra sin ellas (Wilson 1969).
Mi propósito con este trabajo es bosquejar los parámetros importantes que deberían tomarse en cuenta al evaluar los rendimientos y valor nutritivo potenciales del forraje proveniente de árboles y arbustos, y destacar algunas de las áreas problemas en nuestra metodología actual.
EVALUACION DE RENDIMIENTOS
La mayor parte de los estudios sobre el efecto de la producción forrajera en la reducción de la densidad de plantas leñosas, sólo han evaluado cambios en los rendimientos herbáceos. Esto se debe probablemente a las impresionantes respuestas de rendimiento que han mostrado estos estudios. Sin embargo, los estudios que sólo miden el componente herbáceo del forraje pueden conducir a conclusiones equivocadas. En un estudio de despeje de arbustos, en la caatinga del Noreste Brasileño, encontramos un aumento de cinco veces en la producción después del despeje, si sólo se comparaban rendimientos herbáceos. Al incluir una medida de la producción de forraje leñoso en esta comparación, se observaron producciones totales más altas en las áreas sin despejar, que en las despejadas. Más del 90% del forraje disponible en las áreas sin despejar, en la estación seca, correspondía a ramoneo.
La evaluación de la producción total de ramoneo de las especies caducifolias es directa, ya que las hojas se pueden muestrear del suelo después que han caído. En las áreas pastoreadas, es necesario recolectar las muestras de material eliminado por el árbol (litter) con cestas colgadas. Esto se debe a que es posible que el ganado se esté alimentando de estas hojas caídas, lo que originaría una subestimacion de la producción.
Para los árboles y arbustos perennifolios, o para los arbustos caducifolios rebrotados con hojas persistentes, se requiere de técnicas más elaboradas de medición del ramoneo. Estas técnicas son más complicadas, porque implican estimar el follaje que se encuentra adherido al tallo. Las técnicas de medición de arbustos se pueden clasificar en dos categorías generales: destructivas (p.ej., cortar y pesar) y no destructivas.
Los estudios para ensayos de pastoreo donde se han introducido plantas leñosas, generalmente requieren de un enfoque no destructivo. La técnica no destructiva más comúnmente empleada y mejor documentada, es el análisis dimensional. Esta técnica implica establecer una relación entre las dimensiones de la planta, que se pueden obtener fácilmente, o mediciones de ramas, y el peso del follaje. Nosotros probamos esta técnica en un arbusto leguminoso grande (Mimosa acutistipula), calculando el volumen de la copa a partir de mediciones de altura y diámetro. La relación entre el peso real (obtenida de plantas para sacrificio, cortadas fuera del área de investigación) y el volumen de la copa se estableció mediante una simple regresión lineal. El alto coeficiente de correlación que se obtuvo (R2 = 0,95) indicó que este enfoque proporciona una estimación precisa de la biomasa del follaje. El método, además, es relativamente eficiente en tiempo, ya que sólo tomó 1,5 minutos medir cada arbusto.
Otro enfoque no destructivo promisorio, pero no tan bien documentado, es el de unidad de referencia. Esto requiere de la observación ocular de la cantidad de múltiplos de la unidad de referencia estándar (p.ej., rama con follaje) que se encuentra en toda la planta. A continuación, se emplean métodos de cuadrados menores para establecer una relación entre el peso real y el estimado, según se determina de los múltiplos de la unidad estándar de referencia. Nuevamente pusimos a prueba este método en Mimosa, y obtuvimos coeficientes de relación en un rango de 0,93 a 0,98.
EVALUACION DE LA CALIDAD NUTRITIVA
Los análisis químicos de muestras recortadas, representativas del forraje promedio disponible en una pradera, pueden ser una buena indicación de los cambios gruesos en la composición química de la comunidad vegetal, que puede provocar la aplicación de un tratamiento. Los animales de pastoreo, sin embargo, seleccionan forrajes de mayor calidad nutricional que la calidad promedio del forraje en oferta (Weir & Torell 1959, Van Dyne et al. 1980). Una evaluación de la calidad nutricional de los arbustos a partir de muestras recortadas puede, por consiguiente, ser engañosa en términos de producción de animales de pastoreo. Una medición precisa de la calidad de praderas mixtas (pastizal-arbusto) para el desempeño animal, se puede obtener solamente a partir de una evaluación de la calidad de la dieta seleccionada realmente, en combinación con mediciones de las respuestas de los animales.
El método de selección para obtener muestras representativas de la dieta del animal de pastoreo usa animales de esófago fistulado. Se dispone de extensa literatura sobre la aplicación de este método en la evaluación de la calidad de la dieta.
Composición Química de las Dietas
La calidad de la dieta, en términos de composición química, influye en la ingestión de alimento y en la productividad del animal, por su efecto en la función del rumen y en la eficiencia para convertir la materia vegetal en tejido animal (Zimmerman 1980). Las mediciones químicas más significativas, y más comúnmente determinadas, de la calidad de la dieta, son digestibilidad, contenido de proteína cruda, fibra neutral detergente (constituyente de las paredes celulares) y lignina.
Digestibilidad
La digestibilidad se define como la fracción de un alimento que no se recupera en las fecas, e implica aprovechamiento metabólico por parte del animal. Para los pastos verdes, se puede emplear la digestibilidad de materia seca (DMS) como índice de la energía disponible para metabolismo, gracias a la buena relación lineal entre DMS y energía digerible (Moir 1961, Rittenhouse et al. 1971, Minston et al. 1976). Existe también una estrecha relación entre la DMS y el forraje consumido, mediante la cual la baja digestibilidad deprime la toma de alimentos (Blaxter et al. 1961). Además de constituir un importante índice de la calidad del forraje, la digestibilidad es también necesaria en la ecuación para determinar la ingestión de alimento.
La técnica de dos etapas de fermentación in vitro de Tilley & Terry (1963), o alguna de sus modificaciones, es el método aceptado generalmente para evaluar la digestibilidad in vitro de la materia seca (DIVMS) de una muestra de dieta. Este método indirecto implica la fermentación simulada de rumen de muestras de dieta (extrusa), recolectada de animales fistulados. La aplicación e interpretación de este análisis, sin embargo, implica serios problemas para las dietas de ramoneo. La técnica supone que el fluido recolectado para el proceso de digestión posee una población microbial similar a la del animal de pastoreo del cual se recolectó la extrusa. Usualmente se emplea una dieta estándar de alfalfa o pasto para mantener a los animales ruminalmente fistulados de los cuales se obtiene inóculo, debido a las complicaciones para mantener estos animales en la pradera en estudio, y para la recolección pronta de fluido de rumen. Sin embargo, los altos niveles de compuestos secundarios característicos del ramoneo pueden influir considerablemente en las poblaciones microbiales, conduciendo a resultados sesgados de DIVMS. A diferencia de las praderas de hierbas y pastos, la digestibilidad in vitro de las dietas de arbustos mixtos no muestra relaciones claras uno-a-uno (Nastis 1977, Brooks & Urness 1984). Considerando además que se requerirían ensayos caros y poco prácticos de digestión in vivo para corregir el sesgo de los valores, la DIVMS de arbustos mixtos no se puede emplear como un predictor absoluto de ella. La DIVMS sin corregir, no obstante, se puede usar como un índice comparativo de la calidad del forraje.
El ramoneo es generalmente más bajo en digestibilidad que los forrajes herbáceos. A diferencia de las hierbas tropicales, sin embargo, el follaje de los árboles y arbustos no está sometido a grandes variaciones estacionales en digestibilidad (Wilson 1977).
Fibra y Lignina
La fibra detergente neutral (FDN) y su grado de lignificación determinan la cantidad de pared celular (CPC), y se consideran los factores más importantes para establecer la calidad y digestibilidad del forraje (Van Soest 1982). Los altos niveles de ambos disminuyen la digestibilidad de una planta forrajera (Barton et al. 1976), y el ramoneo generalmente contiene estos componentes en mayor proporción que la vegetación herbácea. El método detergente (Goering & Van Soest 1970) es el más ampliamente aceptado para determinar los componentes de fibra y lignina de las dietas.
La lignina es una protección y material estructural de la planta, y se ha encontrado que es el componente individual más altamente correlacionado con la disminución de la digestibilidad (Van Soest 1982). Aparentemente inhibe el efecto de las enzimas en el catabolismo de la celulosa, y puede también tener una función antibacterial. Wilson (1977) observó que el contenido de lignina del ramoneo no estaba relacionado estrechamente con la digestibilidad de los contenidos de pared celular, como en el caso de los forrajes herbáceos. Este autor explica que esta diferencia probablemente se atribuye a un distinto eslabonamiento estructural lignina-holocelulosa, o al carácter de la lignina. En nuestra investigación con cabras y ovejas en praderas de arbustos mixtos en el Noreste de Brasil, también encontramos una inesperada falta de correlación entre la lignina de la dieta y la digestibilidad. La relación lignina-digestibilidad para el ramoneo no está clara y requiere de mayor estudio.
Proteína Cruda
La proteína cruda (o nitrógeno *6,25) es la entidad nutriente más comúnmente determinada para los forrajes. El nitrógeno es el principal constituyente de los tejidos animales, y por lo tanto se le requiere continuamente para el funcionamiento de la célula (NAS 1981). Las bacterias del rumen requieren de un nivel mínimo de 6–8% de proteína cruda para la fermentación eficiente del material vegetal (NAS 1981, Van Soest 1982).
Aunque un valor de reconocida importancia del ramoneo es la capacidad de retener altos niveles de PC durante los períodos secos —cuando las reservas de forraje herbáceo han disminuido—, se dispone de poca información relacionada específicamente con las dietas animales. Las especies de arbustos perennifolios o caducifolios que botan la hoja más temprano en la temporada que las plantas herbáceas, o que retienen hojas verdes persistentes más tiempo en la temporada seca, son presumiblemente más valiosas para suplementar nitrógeno a la dieta de animales de pastoreo. Las plantas leguminosas de ramoneo, como el Prosopis, generalmente contienen niveles más altos de proteína cruda que otras familias de arbustos (Wilson 1969), y con frecuencia son buenas fuentes de reservas forrajeras.
Los procedimientos estándar para determinar la proteína cruda han sido reportados por la Association of Official Analytical Chemists (AOAC 1975). Sin embargo, estos valores derivados por Kjeldahl pueden sobreestimar la disponibilidad de N en las dietas de ramoneo, debido a la tendencia de la proteína a formar complejos indigeribles con compuestos secundarios.
Compuestos Vegetales Secundarios
Las hojas de arbustos y árboles contienen un amplio rango de metabolitos secundarios, que pueden tener efectos perjudiciales sobre la digestibilidad de nutrientes y la producción animal. Los taninos y la lignina son los dos polifenoles más comunes producidos por árboles, que se cree disminuyen la palatabilidad y el valor nutritivo de las hojas. La determinación de la lignina ya ha sido discutida en relación con el complejo de fibras.
Aproximadamente el 80% de las especies vegetales perennes leñosas dicotiledóneas del mundo contienen taninos (Rhodes 1979). Por contraste, sólo el 15% de las especies herbáceas del mundo los contienen. El papel preciso de los taninos en las interacciones planta-animal no está claro. Sin embargo, una teoría es que evolucionaron como defensa contra los herbívoros (Rhodes 1979). Los taninos pueden reducir la ingestión de ramoneo, al disminuir la palatabilidad o al reducir la digestibilidad de la proteína y celulosa (Swain 1979). La propensión de los taninos para formar complejos insolubles con las proteínas puede reducir la digestibilidad de los forrajes, al inhibir las enzimas digestivas y, además, causar una disminución de la disponibilidad de proteínas para el animal (McLeod 1974). Los taninos también reducen la permeabilidad de las paredes del intestino (McLeod 1974). En un trabajo con blackbrush en Utah, Provenza & Malechek (1984) encontraron evidencia de que el tanino puede tener un efecto mayor sobre la palatabilidad que sobre la digestibilidad. Ninguna de las funciones es aún bien comprendida, sin embargo, y necesitan ser estudiadas para las especies de ramoneo en el mundo.
Martin & Martin (1982) compararon métodos para evaluar los taninos en especies de roble, y sostienen que el mejor método para estudiar los papeles que desempeñan los taninos en la selección de ramoneo por parte de los herbívoros es una medición de la precipitación de proteína. Más que proporcionar una cantidad absoluta, como lo hacen los métodos estándar de análisis químico, los mediciones biológicas ofrecen una medida relativa de la propiedades defensivas de los taninos (Martin & Martin 1982). Estas mediciones, sin embargo, generalmente subestiman los taninos biológicos activos de las muestras de dieta, debido a la liberación de taninos por la masticación asociada a la recolección de muestras de forraje con fístula esofágica (Provenza & Malechek 1984).
EVALUACION DE LAS DIETAS
El conocimiento de las plantas —y partes de ellas—que comen los animales de pastoreo es esencial para explicar las modificaciones en el comportamiento alimentario y la composición química de las raciones, según son influídas por la presencia o ausencia de especies de ramoneo. Más importante, sin embargo, es que una evaluación de las raciones puede proporcionar una medida de la aceptación relativa del ramoneo en una comunidad mixta, e indicar las especies más importantes para propósitos de manejo.
Dos métodos se emplean comúnmente para evaluar las composiciones botánicas de las raciones: una evaluación microhistológica de la composición botánica de las muestras fecales, y una evaluación de punto microscópico o microhistológica de la composición botánica de las muestras de raciones recolectadas de animales fistulados. El análisis de muestras fecales tiene la ventaja de permitir la recolección ilimitada y fácil de muestras. No obstante, el grado de la digestión varía según la especie de planta, a medida que pasa por el tracto digestivo del rumiante (Vavra et al. 1978, Holechek et al. 1982). Pfister (datos inéditos), trabajando en la caatinga del Noreste de Brasil, encontró que el método fecal tiende a sobreestimar las especies de ramoneo que son características de una epidermis altamente cutinizada, capaz de pasar intacta a través del tracto digestivo. Las hierbas tropicales de crecimiento rápido poseen niveles relativamente bajos de cutina y lignina, y por lo tanto se desintegran más rápidamente.
El enfoque preferido en terrenos forestales tropicales es el análisis botánico de las muestras de raciones recolectadas de animales de esófago fistulado. Tanto el enfoque de punto microscópico como el microhistológico implican el empleo de un microscopio para establecer un método sistemático de análisis de frecuencia mediante puntos predeterminados. La selección del medio a utilizar (microscopio de alto o de bajo poder) dependerá del objetivo del estudio. La técnica microhistológica se prefiere si la identificación de las plantas herbáceas a nivel de especies es necesaria, pero debido a la molienda y preparación de la placa necesarios, este método tiene la desventaja de no permitir la determinación de materia verde versus seca, o las partes de plantas presentes. La técnica del punto microscópico es más fácil de usar y requiere de menos entrenamiento. Es, probablemente, el mejor método para identificar las especies de ramoneo y las partes de plantas en la dieta, gracias a que las hojas altamente lignificadas y cutinizadas de las plantas leñosas tienden a ser fácilmente identificadas a nivel de especies con un microscopio de bajo poder. Las relaciones de hojas y tallos y las cantidades relativas de materia verde también constituyen información importante para determinar el valor potencial del ramoneo.
En una revisión mundial de la composición botánica de las dietas animales, Van Dyne et al. (1980) encontraron que casi el 60 por ciento de la dieta promedio de las cabras consiste en ramoneo. Se encontró que los vacunos y ovejas consumen 15 y 20 por ciento de follaje de arbustos, respectivamente. Las plantas de ramoneo, por lo general, son muy variables en su palatabilidad relativa para el ganado. Se sabe poco, sin embargo, sobre la razón de estas diferencias.
CONCLUSIONES
El ramoneo no es generalmente muy nutritivo, ni constituye un forraje preferido durante la temporada de reverdecimiento, cuando la vegetación herbácea se encuentra disponible. Esto, probablemente, es una ventaja, ya que de otro modo las plantas leñosas sucumbirían como consecuencia de un ramoneo excesivo. La importancia potencialmente mayor del ramoneo para la producción de ganado en los trópicos áridos o semiáridos, se encuentra en las condiciones de stress nutricional, cuando el desecho de hojas o el ramoneo verde puede constituir el único forraje disponible. Es posible que el ramoneo también proporcione la única fuente de proteína y vitamina. A de mantención durante los períodos de sequía prolongada. Nuestras opciones de manejo se encuentran actualmente limitadas, sin embargo, debido a nuestra falta de conocimiento sobre el papel preciso del ramoneo en la nutrición de los animales de pastoreo.
REFERENCIAS
AOAC 1975. Official Methods of Analysis (12th ed.). Association of Official Analytical Chemists, Washington, D.C.
Barton II F.E., Amos H.E., Burdick D. & Wilson R.L. 1976. Relationship of chemical analysis to in vitro digestibility for selected tropical and temperate grasses. J. Animal Science 43:504–512.
Blaxter K.L., Wainman F.W. & Wilson R.S. 1961. The regulation of food intake by sheep. Animal Prod. 3:51–61.
Brooks III J. & Urness P.J. 1984. Comparison of in vivo and in vitro digestibility of forages by elk. J. Animal Science 58:963–970.
Holechek J.L., Vavra M. & Pieper R.D. 1982. Methods for determining the nutritive quality of range ruminant diets: A review. J. Animal Science 54:363–375.
Goering H.K. & Van Soest P.J. 1970. Forage fiber analysis. Agr. Res. Service. USDA Agr. Handbook No. 379, p.20.
Le Houérou H.N. (Ed.) 1980. International Symposium on Browse in Africa. International Livestock Centre for Africa (ILCA). Addis Abeba 8–12 April 1980.
Martin J.S. & Martin M. 1982. Tannin assays in ecological studies: Lack of correlation between phenolics, proanthocyanidins and protein-precipitating constituents in mature foliage of six oak species. Oecologia 54:205–211.
McKell C.M., Blaisdell J.P. & Goodin J.R. (Eds.) 1972. Wildland shrubs: Their biology and utilization. USDA Forest Service Gen. Tech. Report.Int-1.
McLeod M.N. 1974. Plant tannins: Their role in forage quality. Nutrition Abstracts and Review 44:803–815.
Minson D.J., Stobbs T.H. & Playne M.J. 1976. Measuring the nutritive value of pasture plants. pp.308–337. in N.H. Shaw and W.W. Bryan (Eds.). Tropical pasture research principles and methods. Commonwealth Bur. Past. Field Crops, Bull. 51. Commonw. Agric. Bur.
Moir R.J. 1961. A note on the relationship between digestibility of dry matter and the digestible energy content of ruminant diets. Aust. J. Experimental Agric. and Animal Husbandry 1:24–26.
NAS. 1981. Nutrient requirements of goats: Angora, dairy and meat goats in temperate and tropical countries. National Academy Press, Washington, D.C. 91p.
Nastis A.S. 1977. Consumption, digestion and utilization by goats of the dry matter and nitrogen in diets containing oak Quercus gambelii foliage and estimation of in vivo digestibility of oak-containing diets by micro-digestion techniques. Masters' thesis. Utah State University. 79 p.
Provenza F.D. & Malechek J.C. 1984. Diet selection by domestic goats in relation to blackbrush twig chemistry. J. Applied Ecology 21: (accepted).
Rittenhouse L.R., Streeter C.L. & Clanton D.C. 1971. Estimating digestible energy from dry and organic matter in diets of grazing cattle. J. Range Management 24:73.
Swain T. 1979. Herbivores. Their interaction with secondary plant metabolites. (Rosenthal, G.A & Janzen, D.H. eds.) p. 657. Academic Press, New York.
Tilley J.M.A. & Terry R.A. 1963. A two-stage technique for the in vitro digestion of forage crops. J. Brit. Grassl. Soc. 18:104.
Weir W.C. & Torell D.T. 1959. Selective grazing by sheep as shown by a comparison of the chemical composition of range and pasture forage obtained by hand clipping and that collected by esophageal-fistulated sheep. J. Animal Science 18:641–9.
Wilson A.D. 1969. A review of browse in the nutrition of grazing animals. J. Range Management 22:23–28.
Wilson A.D. 1977. The digestibility and voluntary intake of leaves of trees and shrubs by sheep and goats. Aust. J. Agric. Res. 28:501–8.
Van Dyne G.M., Brockington N.R., Szocs Z., Duek J. & Ribic C.A. 1980. Large herbivore system. In Breymeyer A.I. & Van Dyne G.M. (Ed.) Grassland, systems analysis and man. Cambridge Univ. Press, Cambridge, England.
Van Soest P.J. 1982. Nutritional ecology of the ruminant. O & B Books, Inc., Corvallis, Or. 374 p.
Vavra M. Rice R.W. & Hanson R.M. 1978. A comparison of esophageal fistula and fecal material to determine steer diets. J. Range Management 31:11–13.
Zimmerman I. 1980. Factors influencing the feed intake and liveweight change of beef cattle on a mixed tree savannah in the Transvaal. J. Range Management 33.