Panel leader: Filemón Torres
Rafael Montes
Agriculture Engineer
Tarapacá University
Arica, Chile
GENERAL FEATURES OF THE TAMARUGAL PAMPA
The Tamarugal Pampa is located in Northern Chile. Its main climatic features are low relative humidity, broad day-to-night temperature range, total lack of rainfall and intense sunlight, rated as normal desert climate.
The establishment of tamarugo (Prosopis tamarugo), besides giving its name to the pampa, offers great fodder potential for areas with similar desertic climatic characteristics around the world, particularly if research currently under way does establish that tamarugo has the ability for absorbing atmospheric water through the leaves.
Preliminary research showed tamarugo fodder (fruit and green and dry leaves) to be excellent feed for sheep and goats on account of its protein content (10%) and its good palatability for this type of livestock.
Tamarugo is a tree with easy reproduction, not very demanding as regards soils and water quality, thriving well on saline soils with no alternative agricultural use.
RATIONALE FOR THE TRIAL
Some problems were being detected in the forestry-livestock program undertaken in the area by the Production Development Corporation of Chile (CORFO), particularly reflected in lamb deaths at birth or within the first 20 days after lambing.
This research study was started on April 1st, 1967, and ended on March 23rd, 1968.
PROCEDURE
The selected sector was stocked with adult trees (20–30 years old) with uniform fodder yields, had a thick salt crust on its soil and well water for the sheep flock. The procedure used was rotational management, dividing the sector into three sections with 160 trees each. The animals stayed always together, each subjected to the same advantages or disadvantages.
Sixty-four early maturing French Merino sheep were selected, ensuring practically equal average weight and age in both treated and control sheep.
The animals were earmarked with a number to differentiate them, with additional color signs on their backs.
During the treatment, the sections were well fenced and watched permanently, so as to insure the reliability of the findings.
GROUP SELECTION
The selected sheep were divided into two main groups: the supplemented group and the control group, both under the same management practices, the only difference being the vitamin A supplement.
The supplemented group was further divided into two sub-groups: Group 1 was given 600,000 I.U. of vitamin A and Group 2 was given 1,200,000 I.U. of vitamin A per head.
These groups will be hereafter referred to as follows:
| — | Group 1 | = | Supplemented with 600,000 I.U. |
| — | Group 2 | = | supplemented with 1,200,000 I.U. |
| — | Group 3 | = | Control |
The supplement was given orally in two stages. Group 1 was given the first dose of 300,000 I.U. at breeding, on April 1st, 1967, and the second dose on July 10, i.e., two months before lambing.
Group (2) was given a first dose of 600,000 I.U. also at breeding, and the second dose 2 months before lambing.
EFFECT OF VITAMIN A ON SHEEP WEIGHT
Basing on the data obtained, it may be pointed out that Group (1) incremented its weight, within the first two controls, at a higher rate than Group (2), but lower than Group (3); this latter group incremented its weight in a higher proportion than the groups given vitamin A supplement.
At the final control period, i.e., at weaning, Group (1) increased its weight well above the other two groups. Group (3) showed a sharp change in its weight line, dropping totally its continuity.
RESULTS
TABLE 1
Weight at the beginning of the trial
| Group (1) | Group (2) | Group (3) | |
|---|---|---|---|
| Total sheep weight | 848 kg | 853 kg | 1,652 kg |
| No. of sheep | 16 | 16 | 32 |
| Average weight | 53.00 kg | 53.31 kg | 51.62 kg |
TABLE 2
Weight at weaning (28.01.68)
| Group (1) | Group (2) | Group (3) | |
|---|---|---|---|
| Total sheep weight | 853 kg | 883 kg | 1,751 kg |
| No. of sheep | 15 | 16 | 31 |
| Average weight | 59.60 kg | 55.18 kg | 56.48 kg |
TABLE 3
Weight at end of trial (23.03.68)
| Group (1) | Group (2) | Group (3) | |
|---|---|---|---|
| Total sheep weight | 789.88 kg | 924.00 kg | 1,757.70 kg |
| No. of sheep | 13 | 16 | 31 |
| Average weight | 60.76 kg | 57.75 kg | 56.70 kg |
TABLE 4
Average weight curve
| Beginning of trial | Weaning | End of trial | |
|---|---|---|---|
| Group (1) | 53.00 kg | 56.90 kg | 60.76 kg |
| Group (2) | 53.31 kg | 55.18 kg | 57.75 kg |
| Group (3) | 51.62 kg | 56.48 kg | 56.70 kg |
EFFECTS OF VITAMIN A ON LAMBING
No sheep died in the groups given vitamin A supplement prior to beginning of lambing.
Figure 1
VITAMIN A TREATMENT SHEEP WEIGHT CURVE DURING THE TRIAL

All treated sheep from Group 1 gave birth, unlike those from Group 2, where only 14 sheep delivered. One sheep died in Group 3 before delivering and, of the remaining 31, 27 delivered and four did not.
No animals died during birth in the three groups treated.
TABLE 5
| Group 1 | Group 2 | Group 3 | |
|---|---|---|---|
| Initial No. of sheep | 16 | 16 | 32 |
| Died before delivering | - | - | 1 |
| Started lambing | 16 | 16 | 31 |
| Died while lambing | - | - | - |
| Simple lambing | 14 | 13 | 20 |
| Double lambing | 2 | 1 | 1 |
| Total | 16 | 14 | 27 |
| Sheep with no lambs | - | 2 | 4 |
Figure 2
VITAMIN A TREATMENT PERCENTAGE OF GROSS LAMBING

Group 1 had 14 single births and 2 double births, with a total of 16 births and 18 offspring. Therefore, gross lambing was 18 individuals, i.e., 112.50%.
Group 2 had 13 single births and 1 double birth, with a total of 14 births and gross lambing of 15 offspring, i.e. 93.75%.
Group 3 had 26 single births and 1 double one, giving a total of 27 births, with gross lambing rate of 28 offspring, i.e. 90.32%.
To compute the gross lambing rate, the number of ewes which went into labor and their ratio to live- or dead-born offspring was considered.
To compute the net lambing rate, the ratio of ewes which went into labor to live-born offspring was used; lambs were counted at the moment of branding (average age: 3 months).
Figure 3
PERCENTAGE FROM LAMBING TO BRANDING

Group 1, with 16 sheep at the beginning of lambing and 16 offspring at branding, achieved a 100% net lambing rate.
Group 2, with 16 sheep at the beginning of lambing and 12 offspring at branding, achieved a 75% net lambing rate.
Group 3, with 31 sheep at the beginning of lambing and 18 offspring at branding, got a net lambing rate of 58.06%.
The percentages achieved by each group have certainly been influenced by double births, being at the moment impossible to establish a correlation between vitamin A and this phenomenon. It is possible that a reconsideration of these double births when computing the percentage of births would have been more convenient.
TABLE 6
Comparison between gross lambing and number of offspring at branding
| Treatment | % Gross lambing | % Net lambing | % Difference |
|---|---|---|---|
| Group 1 | 112.50 | 100.00 | 12.50 |
| Group 2 | 93.75 | 75.00 | 18.75 |
| Group 3 | 90.32 | 58.06 | 32.26 |
From the data in Table 6 we can establish some important indicators of the need to provide supplementary vitamin A to the animals. Analyzing gross lambing, it is evident that Group 3 had poorer performance than the supplemented groups; this is even more notorious when analyzing net lambing rates, where the difference is larger.
Figure 4
DIFFERENCE BETWEEN % OF GROSS LAMBING AND % AT BRANDING

LAMB DEATHS
The offspring which died between lambing and branding were divided into the following groups:
| Miscarriage | :including all lambs which died because of bad position at birth; |
| Unknown reasons | :all those lambs which were born alive but died shortly thereafter; |
| Predator | :all lambs killed by predators (particularly foxes), and |
| Other reasons | :death by accident. |
TABLE 7
Death causes during the trial
| Treatment | Miscarriage | Unknown reasons | Predators | Other reasons | Total |
|---|---|---|---|---|---|
| Group 1 | — | 1 | 1 | — | 2 |
| Group 2 | — | — | 2 | 1 | 3 |
| Group 3 | 1 | 7 | 2 | — | 10 |
Table 7 shows that most deaths correspond to unknown reasons, particularly at the control group; there is only one case in this bracket at the supplemented groups.
EFFECT OF VITAMIN A ON THE OFFSPRING
TABLE 8
15.10.67 (15 days)
| Treatment | Ram lambs | Ewe lambs | Total lambs | ||||||
|---|---|---|---|---|---|---|---|---|---|
| Ttl. L. | N | Av.L. | Ttl.L. | N | Av.L. | Ttl.L. | N | Av.L. | |
| Group 1 | 133.00 | 9 | 14.77 | 106.00 | 7 | 15.14 | 239.00 | 16 | 14.95 |
| Group 2 | 99.00 | 6 | 16.50 | 94.00 | 6 | 15.66 | 193.00 | 12 | 16.08 |
| Group 3 | 160.00 | 10 | 16.00 | 26.50 | 9 | 15.81 | 286.50 | 18 | 15.90 |
TABLE 9
28.01.68 (4 months)
| Treatment | Ram lambs | Ewe lambs | Total lambs | ||||||
|---|---|---|---|---|---|---|---|---|---|
| Ttl. L. | N | Av.L. | Ttl.L. | N | Av.L. | Ttl.L. | N | Av.L. | |
| Group 1 | 175.00 | 7 | 25.00 | 157.00 | 7 | 22.42 | 332.00 | 14 | 23.71 |
| Group 2 | 134.00 | 5 | 26.80 | 143.00 | 6 | 23.83 | 277.00 | 11 | 25.32 |
| Group 3 | 263.00 | 10 | 26.30 | 169.50 | 7 | 24.21 | 432.50 | 17 | 25.25 |
TABLE 10
15.03.68 (End of trial)
| Treatment | Ram lambs | Ewe lambs | Total lambs | ||||||
|---|---|---|---|---|---|---|---|---|---|
| Ttl. L. | N | Av.L. | Ttl.L. | N | Av.L. | Ttl.L. | N | Av.L. | |
| Group 1 | 227.50 | 7 | 32.50 | 196.50 | 7 | 28.07 | 424.00 | 14 | 30.28 |
| Group 2 | 117.50 | 5 | 35.50 | 185.40 | 6 | 30.91 | 363.00 | 11 | 33.20 |
| Group 3 | 317.50 | 9 | 35.27 | 223.50 | 7 | 31.94 | 541.00 | 16 | 33.60 |
GROWTH CURVE
The following findings have been made, weighing the animals at three stages in the trial: end of lambing, weaning and end of trial.
TABLE 11
| End of lambing | Weaning | End of trial | |||||||
|---|---|---|---|---|---|---|---|---|---|
| 1 | 2 | 3 | 1 | 2 | 3 | 1 | 2 | 3 | |
| Males | 14.77 | 16.50 | 16.00 | 25.00 | 26.80 | 26.30 | 32.50 | 33.50 | 35.27 |
| Females | 15.14 | 15.66 | 15.81 | 22.42 | 23.83 | 24.21 | 28.07 | 30.91 | 31.94 |
| Total | 14.95 | 16.08 | 15.90 | 23.71 | 25.32 | 25.25 | 30.28 | 33.20 | 33.60 |
The offspring were weighed once lambing was concluded, when they were 15 days old.
The second control was performed at weaning, when the offspring were 4 months old on average.
Lamb weight, at the end of the trial, was as follows:
Figure 5
VITAMIN A TREATMENT OFFSPRING GROWTH CURVE

WOOL PRODUCTION
Sheep in Group 1 yielded a total of 29.30 kg, which gives an average of 2.25 kg per sheep.
The 31 sheep in Group 3 yielded 71.90 kg, with an average of 2.31 kg of wool per sheep.
TABLE 12
| Group 1 | Group 2 | Group 3 | |
|---|---|---|---|
| Total output (kg) | 29.30 | 36.30 | 71.90 |
| No. of sheep | 13 | 16 | 31 |
| Average output (kg) | 2.25 | 2.26 | 2.31 |
As can be seen from the above findings, the effect of vitamin A on this aspect is practically nil, since the difference is minimal, and, if no significance degrees are applied, it would be very difficult to give a final judgment.
It is worth mentioning, nevertheless, that the deaths occurring during the trial affect the accuracy of the findings, as 15 animals died for an assortment of reasons. See Table 7.
CONCLUSIONS
It is worthy of mention that, as a result of this research study, replications were made which left vitamin A supplementing included in the management of sheep stocks raised at the Tamarugal Pampa.
Fernando Bórquez
Production Development Corporation
CORFO Agricultural Society
Chile
INTRODUCTION
The Tamarugal Pampa, located at Region I in Northern Chile, has a plant cover composed mainly by an arboreal stratum of tamarugo (Prosopis tamarugo) and algarrobo (Prosopis alba), the fruit and leaves of which are the only fodder source for different animal stocks (cattle, sheep and goats).
Beef cattle raising has been most difficult to establish, as this type of animals are more demanding in their nutrient quantity and quality requirements.
Cattle feeding was formerly based exclusively on tamarugo and algarrobo, which did not provide a balanced diet to meet the requirements for certain productive levels, nor did they supply a large enough volume to satisfy the animals, a fact that was worsened by the annual variations in fruit yields.
As a result of the above, growth rates were low, and the animals attained a stabilized weight of slightly over 300 kg. Reproduction was also poor, with birth rates of about 60–70%, calves with low birth weights (mostly dystocial) —in Hereford-Santa Gertrudis crossbreed cattle it could be as low as 20–30 kg—, and high mortality rates (occasionally exceeding 50%), as a consequence of low milk outputs by the mothers, which could lose as much as 40% of their weight and took practically one year to recover (Bórquez, 1983).
The problem of “appetite perversion” must be added to the above, caused by the insufficient volume of the diet, making the animals be permanently hungry. This problem caused difficulties in cattle management, provoking the death of many animals (Church, 1974).
The lack of alternative fodder sources in this area led to consider the inclusion of sheep feces —from the stocks existing at the Tamarugal Pampa, fed solely on tamarugo— as feed ingredient. This element could make a nutritive contribution to the diet, by the utilization of endogenous waste elements and the longer time of ruminative fermentative action on the undigested material, supplementing as well the diet volume, a further constraint in cattle feeding.
The great aridity, high radiation and salt levels prevailing at the Tamarugal Pampa enabled feces to be recycled with low sanitary risks.
The purpose of this trial was to study different input levels of Tamarugal Pampa sheep feces into a balanced diet for cattle, and evaluate their effect on consumption, weight gain and use efficiency.
MATERIALS AND METHODS
The trial was conducted at the Refresco Farm (Tamarugal Pampa) between October 1980 and January 1981 (112 days), during which 18 whole males, 9–10 months old, crossbreed of Hereford (75%) and Santa Gertrudis (25%), with initial weight of 164 kg, were distributed among three treatments in a randomized block design, with six replications.
The treatments corresponded to different input levels of sheep feces, namely 0, 25% and 50% of the ration for T1, T2 and T3, respectively. The ration, additionally, contained wheat bran, ground alfalfa hay, bone meal and common salt.
The animals were distributed at random in individual pens, supplying them with water and feed as needed, after a previous 15-day adaptation period to ingest the diet with feces.
A chemical analysis of the sheep feces used in the trial was made, with the following results:
| —Dry matter | 97% |
| —Organic matter | 75.1% (Dry matter basis) |
| —Dry matter digestibility | 30.80% (Dry matter basis) |
| —Organic matter digestibility | 23.40% (Dry matter basis) |
| —Crude protein (N × 6.25) | 11.2% (Dry matter basis) |
| —Gross energy, Kcal/g | 3.33% (Dry matter basis) |
| —Cell wall | 74.12% (Dry matter basis) |
TABLE 1
Diet Composition*
| T1 | T2 | T3 | |
|---|---|---|---|
| Wheat bran, % | 40 | 40 | 40 |
| Alfalfa hay, % | 60 | 35 | 10 |
| Sheep feces, % | 0 | 25 | 50 |
| Chemical Composition | |||
| Organic matter, % | 89.6 | 87.4 | 83.8 |
| Digestible organic matter, % | 75.5 | 66.8 | 49.4 |
| Cell wall, % | 37.7 | 47.8 | 54.1 |
| Crude protein, % | 11.1 | 11.0 | 9.6 |
Dry matter intake, water consumption and live weight variations were recorded during the trial.
RESULTS AND DISCUSSION
The chemical composition of sheep feces, determined primarily by the quality of the feed ingested, shows a low value for the feeding gradient, made up mostly by cell wall of low digestibility. The nutritional value could be improved if a longer time were allowed for the action of the ruminal microbian flora, together with the contribution made by the endogenous waste elements (Arndt et al. 1979). The statements made by Smith & Wheeler (1979) were also confirmed, in the sense than the greatest nutritional contribution of the feces —for ruminants— is as a source of protein, rather than as source of energy.
Despite the above, one of the interesting aspects in this particular trial was to increase the volume of the ration in order to eliminate the “appetite perversion”. The utilization of feces is improved when given together with other feeds which enhance the nutritional balance of the diet (Fontenont 1979; Smith & Wheeler 1979; Gómez 1981).
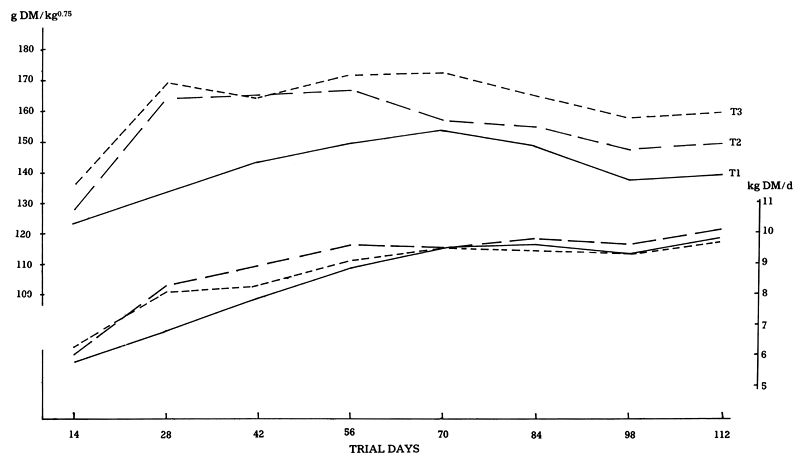
Average dry matter consumption per animal varied among the treatments (P ≤ 0.05), being higher when higher volumes of feces were included in the ration (Table 2, Figure 1).
TABLE 2
Average dry matter and water consumption
| T1 | T2 | T3 | |
|---|---|---|---|
| kg DM/day/animal | 8.47 | 9.02 | 8.74 |
| g DM/kg0.75/day | 141.1 a | 154.1 b | 161.7 c |
| kg DM/kg live weight (%) | 3.68 | 4.00 | 4.24 |
| It water/day/animal | 37.4 a | 40.9 b | 30.8 a |
The consumption levels attained are considered good, exceeding 3.5% of the body weight in all cases, pointing to the fact that the inclusion of high levels of feces is not a limiting factor for consumption; on the contrary, feed intake was even higher.
Water consumption, in turn, was similar for all three treatments (P ≤ 0,05), increasing from the beginning of the trial up to the 6th–8th week, and tending to level off thereafter. The exception was treatment 2, which increased its consumption towards the end of the trial period. All animals were provided with shade in their pens throughout the trial.
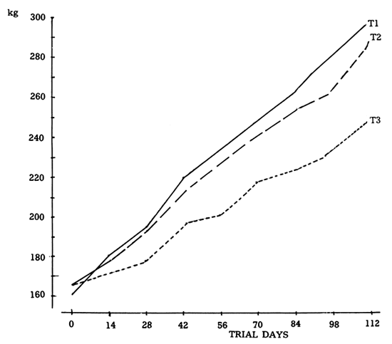
A weight gain was observed in the animals as a response to the various treatments, somewhat greater in T1 and T2 than in T3 (P ≤ 0,05). There was a clearcut trend towards decreased weight with the the inclusion of higher levels of feces in the ration.
Figure 1. Dry Matter Consumption

TABLE 3
Weight Variation of the animals in 112 days
| T1 | T2 | T3 | |
|---|---|---|---|
| Initial weight, kg | 161.5 | 165.3 | 165.3 |
| Final weight, kg | 298.8 a | 286.2 a | 247.3 b |
| Weight gain, kg | 137.3 a | 120.8 a | 82.0 b |
| Gain rate, kg/day | 1.23 | 1.08 | 0.73 |
| Conversion (kg feed/kg weight gain) | 6.9 | 8.4 | 12.0 |
The figures in Table 3 show a clear decrease in the efficiency of feed utilization as the level of feces included in the ration is increased.
The small size of the crushed particles of sheep feces makes it possible for them to go through the digestive tract faster, thus enabling the animal to make use of the endogenic material contained in the feces (Campling 1966). This allows for a higher level of feed consumption, which is nevertheless insufficient to maintain the weight gain for the animals in treatment T1.
The results obtained with a 25% proportion of feces in the ration coincide with the utilization of other types of feces, such as those from broiler chickens, porkers and cattle (Smith & Wheeler 1979), which, added to a balanced diet in average amounts, show a similar result as those of the control which ingested no feces.
The stated aim of this trial is considered to have been thoroughly attained, as the weight gains observed are good considering the amount of feces included in the rations; additionally, the high consumption level supports their inclusion to boost the volume of the ration. The behaviour of the animals in these trials suggests an optimum level of feces inclusion of 25%, corresponding to treatment 2.
The conclusion arrived at is that the utilization of sheep feces in cattle feeding at the Tamarugal Pampa helps in the attainment of good weight gains, together with increasing consumption. The latter factor corrects the effects produced by the low volume of the diet.
Figure 2. Weight variations

REFERENCES
ARNDT D.L., DAY D.L., HATFIELD E.E. 1979. Processing of animal excreta for feeding. J. Animal Science 48 (1):157–162.
BORQUEZ L.F., 1983. Corporación de Fomento de la Producción. Actividades Forestales y Ganaderas en la Pampa del Tamarugal 1963 – 1982. Tomo II. Aspectos Ganaderos. Gerencia de Desarrollo AA 83/30.
CAMPLING R.C., FREER M. 1966. Factors affecting the voluntary intake of food by cows. Br. J. Nutrition 20:229–244.
CHURCH D.C. 1974. Fisiología Digestiva y Nutrición de los Rumiantes, Vol. 2 Nutrición Ed. Acribia.
FONTENONT J.P., 1979. Alternatives in animal waste utilization - Introductory Comments. J. Animal Science 48 (1): 111–112.
GOMEZ R.J., 1981. Utilización de guano de conejos en concentrado de crecimiento para terneros. Fac. de Ciencias Agrarias Veterinarias y Forestales, Universidad de Chile (Thesis for Agr. Eng. Deg.).
SMITH L.W., WHEELER W.E. 1979. Nutritional and economic value of animal excreta. J. Animal Science 48(1):144–156.
José De La Torre
National Forestry Corporation
Arica, Chile
Enrique Díaz
Pedro Joustra
CORFO Agricultural Society
Santiago, Chile
Luis Zelada
Production Development Corporation
Santiago, Chile
INTRODUCTION
The afforested area at the Tamarugal Pampa with capacity for livestock raising amounts to 22,650 ha, 90% of which corresponds to tamarugo (Prosopis tamarugo) (Actividades forestales y ganaderas en la Pampa del Tamarugal, CORFO 1983), which need to be “made fit” for their use by livestock, i.e., it is necessary to remove the low branches, as they form a thorny compact mass hindering livestock access to the fruit, the main feed item.
There are presently 10,080 ha fit for this purpose, which means that a further 12,570 ha, approximately, need to be made fit, at an estimated cost —as of June 1980— of US$ 39.00 per ha.
Considering, on the one hand, the need to make fit for production over half of the existing forest and, on the other hand, the high costs involved when this is made in the traditional way, it was estimated that goats could carry out this task, on account of their known hardiness and aggresiveness, reducing considerably the costs and using the tamarugo biomass —formerly felled to make fences— to feed this animal.
The purpose of the trial was to assess the effect of the goats on the trees, using different stocking rates, and to evaluate the nutritional and reproductive behaviour of the animals, so as to establish the optimum number of goats to achieve good preparation of the site and maintaining their productive parameters.
The Bellavista forest was selected —property of the Production Development Corporation (CORFO)— to conduct this trial. This well-developed forest is approximately 15 years old, and, therefore, interesting to incorporate into the productive mass. It is located to the Northeast of the former Victoria nitrate mine, at km 1,750 of the North Pan American Highway.
The data furnished below correspond to the first year of the trial, therefore being of a preliminary nature, requiring future ratification.
1. MATERIAL AND METHOD
The sector selected for the trial corresponds to a plot representative of the general conditions of the Tamarugal Pampa, i.e., trees planted at 10 m × 10 m spacing, 6 to 9 m tall, average crown diameter 7 to 8 m, which had never been used with animals.
58 two-toothed goats were selected from the flocks existing at the Refresco Farm, angoranative crossbreed, to evaluate them over their entire reproductive life. Average weight was 23.98 kg.
As tamarugo is the only primary producer, and as it is not distributed evenly in the field, the following were used as stocking rates:
| —Light | : | 1 goat every 100 trees |
| —Medium | : | 1 goat every 66.6 trees |
| —Heavy | : | 1 goat every 33.3 trees |
Table 1 shows the number of animals and trees in each treatment, together with the initial average weight of the goats.
To avoid sacrificing goats to no purpose, it was decided to suspend the treatment whenever weight losses exceeded 30% of the initial weight. It was also decided to replace animals lost to causes other than feeding, with goats of the same type from the normal flock of the farm.
TABLE 1
Number of goats and trees in each treatment.
Average (x) weight of the goats (kg).
| Treatments | No. of goats | No. of trees | x weight kg |
|---|---|---|---|
| Light stocking T1 | 17 | 1,700 | 24.4 ± 5.37 |
| Medium stocking T2 | 17 | 1,132 | 23.88 ± 5.25 |
| Heavy stocking T3 | 24 | 799 | 23.68 ± 6.02 |
The reproductive management corresponds to that used with the goat flock in 1982, namely:
Breeding in April and May. Three male goats were brought from Region IV for the purpose, and each of them was kept for 15 days in each of the treatments. At the second half of May they were replaced by other male goats from Refresco.
Supplements at the last third of pregnancy:
All females were given a 200-g feed supplement, made up of 80% wheat bran and 20% alfalfa
hay, during the 45 days prior to birth.
Supplements during lactation:
All goats that gave birth were given 400 g a day of the same supplement for 45 days after
birth.
Basic feeding throughout the treatment was all which the animals could consume from the forest during the 9 hours they were “grazing”. During the night they were confined in pens.
The parameters measured were:
Weight variations: Animal weight was controlled every 15 days, generally after a night of tare reduction. Kids were weighed at birth and then every fifteen days together with their mothers.
Water consumption: Daily water comsumption was measured at the three treatments in order to establish the real requirement of the animals, as this resource is expensive and difficult to obtain.
Reproduction: Records were kept on amount of goats bred, % of pregnancy, % of births, % of abortions, weight at birth, number of males and females, % at weaning.
Effect on the trees: As a way to assess the ability of the goats to make the forest fit for use and evaluate the possible damage to the trees, 12 trees were selected at random for treatment 1 (light stocking rate), 9 trees for treatment 2 (medium stocking rate), and 6 trees for treatment 3 (heavy stocking rate), which were photographed every two months, evaluating the effect on the branches, bark and foliage.
2. RESULTS AND DISCUSSION
The trial was programmed for a duration of three years, at the end of which the ability of the goats to make a forest fit for stock raising would be evident, together with the effect or probable damage on the trees and the productive behaviour of the animals. It is natural, therefore, that after the first year no concrete indicators are yet evident on some of the goals set forth. Nevertheless, there is some data pointing to the likely results in the future.
2.1 Weight Variations
Table 2 shows the average weight of the goats at the beginning of the trial, March 15, 1982, and at the end of the trial, November 30, 1982, for each of the treatments.
TABLE 2
Average weight of goats under different stocking rates:
light, medium, heavy (kg)
| Treatment | Initial weight | Mar. 30 | April 15 | April 30 | May 15 | May 31 | June 15 | June 30 | Sept. 30 | Oct. 15 | Oct. 30 | Nov. 15 | Nov. 30 |
|---|---|---|---|---|---|---|---|---|---|---|---|---|---|
| Light stk. rate T1 | 24.4 | 24.0 | 25.1 | 25.8 | 27.6 | 27.5 | 30.9 | 29.6 | 32.2 | 33.2 | 34.5 | 35.1 | 32.0 |
| Medium stk. rate T2 | 23.8 | 25.3 | 26.0 | 25.3 | 25.3 | 27.6 | 29.5 | 29.7 | 32.2 | 33.3 | 34.5 | 35.5 | 34.1 |
| Heavy stk. rate T3 | 23.7 | 27.7 | 27.1 | 27.8 | 27.1 | 29.0 | 30.5 | 32.6 | 33.3 | 31.8 | 33.7 | 35.0 | 31.6 |
Generally speaking, there are no marked differences among the treatments throughout the trial, as illustrated by Figure 1.
The abrupt changes in the curves at certain moments are primarily due to the stress factors to which the goats were subjected, such as: breeding in April and May; a drop in the nutritional value of the foliage between July and August, since at that time there are few green leaves, which account for approximately 44% of the rations; birth and lactation in October and November; and suspension of the supplement as from November.
The weight gain for the 260-day period was 9.2 kg on average for treatment 1, which entails a daily weight gain of 35 g; treatment 2 achieved an average weight gain of 10.3 kg, equivalent to 39 g daily; treatment 3 gained 7.9 kg on average in the same period of time, equivalent to 30 g a day.
These weight gains are quite low for growing animals, and the differences detected do not suggest an optimum stocking rate.
As these findings are of a preliminary nature, they might lead to wrong conclusions. It is likely that once the goats have pruned the trees, they will gain access to the fruit, which is its main nutritional element.
Section 2.3 below analyzes the weight gains of the kids over the period.
2.2 Water Consumption
Table 3 shows the average values for daily water consumption by month and by treatment from April through December.
TABLE 3
Goat daily average water consumption by month and by treatment
lt/day/goat. April – December 1982
| Treatments | Consumption It/day | x Period | ||||||||
|---|---|---|---|---|---|---|---|---|---|---|
| April | May | June | July | August | Sept. | Oct. | Nov. | Dec. | ||
| Light stk. rate - T1 | 2.66 | 2.60 | 2.73 | 2.91 | 3.75 | 5.86 | 6.85 | 7.23 | 7.77 | 4.70 |
| Medium stk. rate - T2 | 2.45 | 2.48 | 2.71 | 2.96 | 3.77 | 6.00 | 6.85 | 7.12 | 7.87 | 4.69 |
| Heavy stk. rate - T3 | 2.31 | 2.35 | 2.46 | 2.59 | 3.19 | 4.86 | 5.86 | 6.88 | 7.44 | 4.21 |
No significant differences were observed in water consumption for the different treatments, although there is a distinct trend to increased water consumption per head throughout the trial. Figure 2 illustrates this trend.
There is a sharp increase in water consumption as from July, coinciding with the last third of pregnancy and, later, with lactation. Consumption by the kids also contributed to this increase.
These data will make it possible to determine the amount of water which should be given to the animals during their different physiological stages, along with the size of the troughs to be used in any future commercial exploitation at the Pampa.
The lower consumption detected in treatment 3 may be attributed to the smaller size of the plot assigned to that flock (799 trees), which entails a shorter distance to be covered while browsing, therefore with lower water expenditure.
Figure 1
WEIGHT VARIATIONS OF THE GOAT HERD IN UNTOUCHED FORESTS

Figure 2
WATER CONSUMPTION IN THE VARIOUS TREATMENTS

2.3 Reproductive Parameters
The findings related to this aspect are presented in Table 4. The three treatments are evaluated separately. Breeding was started on the 1st of April and ended on the 31st of May.
The reproductive efficiency shown by the goats in each of the treatments was remarkable. The pregnancy and birth rates are very good for any goat raising scheme, considering that the angora race —the basis for the trial—is not known by multiple births.
Kid deaths were observed in treatments 2 and 3 from the action of predators, particularly foxes, which killed a kid in each treatment. These rates fall within the acceptable limits for the species.
The low amount of miscarriages is noteworhty, especially when considering that the rate for the normal flock —for the same period— was 6.6%, and in the previous year (1981), 32.7%. This may be due to more intensive management and more controlled supplements to the animals.
TABLE 4
Goat reproductive parameters
in light, medium and heavy stocking rates. 1982
| Parameter | T R E A T M E N T S | ||
|---|---|---|---|
| 1 | 2 | 3 | |
| No. of goats bred | 17 | 17 | 24 |
| No. of pregnant goats | 17 | 16 | 23 |
| % pregnancy | 100 | 94.1 | 95.8 |
| No. of miscarriages | 0 | 0 | 1 |
| % of miscarriages | 0 | 0 | 4.2 |
| No. of kids born | 23 | 21 | 27 |
| % of birth | 135.3 | 129.4 | 112.5 |
| Weight at birth kg | 3.1 | 2.8 | 2.4 |
| No. of kid deaths | 1 | 2 | 3 |
| % mortality at birth | 4.1 | 8.6 | 6.6 |
As expected, no significant differences in any of the reproductive parameters are observed among the treatments, as in just one year no feeding stress has yet been induced which could affect the reproduction rates of the goats.
The weight at birth of the kids is somewhat low, but still within the standards (2.40 – 2.96 kg); however, it is necessary to consider that the mothers have very light weight (32 – 33 kg on average) and that a significant amount of double births was observed. In general, the kids looked healthy and vigorous, indicating good vitality.
Table 5 shows the average weight gain of the kids from birth to weaning, for the different treatments.
TABLE 5
Average weight variations in kids by treatment (kg)
| Treatment | Wt. at birth | 15 Oct. | 30 Oct. | 15 Nov. | 30 Nov. | weaning 30 Dec. |
|---|---|---|---|---|---|---|
| Light stk. rate - T1 | 3.09 | 10.73 | 14.41 | 15.90 | 18.40 | 20.53 |
| Medium stk. rate - T2 | 2.81 | 9.45 | 12.07 | 13.30 | 17.80 | 18.14 |
| Heavy stk. rate - T3 | 2.45 | 10.00 | 12.42 | 14.20 | 16.40 | 17.75 |
| Average | 2.78 | 10.06 | 12.97 | 14.47 | 17.53 | 18.89 |
The above table shows the weight gains of the kids to be absolutely normal; average weight at weaning is even higher than the average attained by the goats under general management practices at the Refresco Farm, which was 17.36 kg.
This indicates that there was no detrimental effect on the milk output of the trial goats derived from the new feeding conditions.
From mid-November a tendency to levelling can be observed in weight gains for treatment 3, which may be due to the fact that the kids begin to eat together with their mothers increasing the already heavy stocking rate.
2.4 Effect on the Trees
Seven months after the beginning of the trial no effects can be appreciated on the trees selected as control, due to the short time of the trial and the eating habits of the goats. They consume collectively the trees of a given sector until they “make it fit”, and then move on to another tree, always looking for the edges of the plot. Appendix 2 illustrates this situation.
Their more notorious effects are on the low branches, eating some over 1 inch in diameter. In the case of small trees not yet well developed, they even eat the bark, which could endanger the survival of the tree.
This suggests that the treatment of the forest by goats should be carried out under strict control, in order to avoid irrecuperable damage to the forest resource.
3. CONCLUSIONS
No definite conclusions may be derived from such a short period of time in the trial. Nevertheless, some indications of the future trends may be inferred:
It is technically feasible to use unpruned tamarugo for goat stock raising. In the first stage no detrimental effects may be observed in the reproductive parameters with any of the three treatments. Judging from the amount of trees “made fit” by the goats in the high stocking rate treatment (heavy stocking), another full year can be expected without any reproductive or feeding problems.
This type of goat utilization for making a forest fit for livestock raising is feasible only under controlled conditions, as the goats eat the bark of new or small trees, jeopardizing the basic resource.
The water consumption observed indicates that abundant water and troughs are required, particularly during the last third of pregnancy and lactation, when normal consumption is increased three-fold.
APPENDIX
PRODUCTION DEVELOPMENT CORPORATION
REFRESCO FARM
TAMARUGAL PAMPA


Angora goat

Native goat

Goat herd at Bellavista

Flock of sheep in the forest
Robert D. Kirmse
University of Utah
INTRODUCTION
The interest in browse as a potentially important component in the nutrition of the grazing animal on arid and semi-arid rangelands is a relatively recent phenomenon. This is exemplified by the 1980 symposium on browse held in Africa (Le Houérou 1980) and the 1972 symposium on wildland shrubs held in Utah, USA (McKell et al. 1972). These symposia highlight the potential importance of trees and shrubs for livestock nutrition. However, they also expose our lack of understanding concerning the actual role of woody plants in the woody plant-herbivore system.
A review of the literature has revealed that our traditional research approaches may be responsible for our inability to formulate concrete statements concerning the nutritional importance of fodder derived from woody plants. Most of our knowledge of the nutritional value of browse for domestic animals is limited to the empirically derived concepts based on pen fed studies or chemical analyses of clipped foliage. These studies generally have shown browse to be poorly palatable and of low nutritional value. High levels of fiber and secondary compounds, such as tannins and lignin, are usually suspected to be responsible for the poor results. These studies, however by their inherent nature to exclude the grazing animal, do not account for the selectivity and other plant-animal relations that may influence the potential use of browse. Assessing the relative value of browse for dry season forage reserves for the grazing animal, within the framework of the ecosystem, will ideally involve a grazing trial on paired areas, one with woody plants and the other without (Wilson 1969).
My objective with this paper is to outline the important parameters that should be addressed in assessing potential yields and nutritional value of fodder from trees and shrubs, and to highlight some of the problem areas of our current methodology.
ASSESSMENT OF YIELDS
Most studies on the effect of forage production to a reduction in the woody plant density have only assessed changes in herbaceous yields. This is probably because of the impressive yield responses that these studies have shown. Studies that assess only the herbaceous forage component, however, may lead to incorrect conclusions. In a brush clearing study in the caatinga of Northeast Brasil we found a fivefold increase in production after clearing, when only herbaceous yields were compared. By including a measure of the woody foliage production into this comparison, higher total productions were observed on the uncleared areas than the cleared areas. Greater than 90% of the available forage throughout the dry season on the uncleared areas was browse.
Assesing total browse production for deciduous species is straightforward because leaves can be sampled from the ground after they have fallen. In grazed areas determining total foliage production requires collecting litter samples from suspended baskets, because livestock may be feeding on these fallen leaves, resulting in an underestimation of production.
For evergreen trees and shrubs or for resprouted deciduous shrubs with persistant leaves more complex browse measurement techniques are required. These techniques are more complicated because they involve estimating foliage attached to the stem. Shrub measurement techniques can be classified in two general categories: destructive (e.g. clip-and-weigh) method and non-destructive approaches.
Study designs for grazing trials where woody plants have been introduced generally require a non-destructive approach. The most commonly used and best documented non-destructive technique is dimensional analysis. It requires establishing a relationship between easily obtained plant dimensions or branch measurements and foliage weight. We tested this technique on a large evergreen leguminous shrub (Mimosa acutistipula) by calculating canopy volume from weight and diameter measurements. The relationship between the actual weight (obtained from clipped sacrifice plants outside the research area) and the canopy volume was established using simple linear regression. The high correlation coefficient obtained (R2 = .95) indicated that this approach provides a precise estimate of foliage biomass. The method is also relatively time efficient, as it took only 1.5 minutes to measure each shrub.
Another promising, but less well documented, non-destructive approach is the reference unit method. This requires an ocular estimation of the number of multiples of the reference unit standard (e.g. leafy branch) present in an entire plant. Least squares methods are then used to establish a relationship between the actual weight and the estimated weight as determined from the multiples of the reference unit standard. Again we tested this on the Mimosa plant and obtained correlation coefficients ranging from .93 to .98.
ASSESSMENT OF NUTRITIVE QUALITY
Chemical analyses of clipped samples representative of the average available forage on a pasture can be a good indicator of gross changes a treatment may effect on the chemical composition of the plant community. Grazing animals, however, select forages of higher nutrient quality than the average quality of the forage on offer (Weir and Torell 1959, Van Dyne et al. 1980). An evaluation of shrub nutritional quality from clipped samples may therefore be misleading in terms of grazing animal production. An accurate measure of mixed shrub pasture quality for animal performance may only be obtained by an assessment of the quality of the diet actually selected in combination with animal response measures.
The method of choice for obtaining representative samples of the grazing animal's diet is by the use of esophageally fistulated animals. Extensive literature is available on the implication of this method for assessing diet quality.
Chemical Composition of Diets
Diet quality, in terms of chemical composition, influences feed intake and animal productivity by its effect on rumen function and efficiency in converting plant material to animal tissue (Zimmerman, 1980). The most significant and commonly ascertained chemical measures of diet quality are digestibility, crude protein, neutral detergent fiber (cell wall constituents), and lignin.
Digestibility
Digestibility is defined as the fraction of a feed that is not recovered in the feces and implies metabolic use by the animal. For grass pastures dry matter digestibility (DMD) can be used as an index for energy available for metabolism because of the good linear relationship between DMD and digestible energy (Moir 1961, Rittenhouse et al. 1971, Minston et al. 1976). There is also a close relationship between DMD and forage consumed, whereby low digestibility depresses intake (Blaxter et al. 1961). In addition to being an important index of forage quality digestibility, it is also required in the equation for determining intake.
The Tilley and Terry (1963) two-stage in vitro fermentation technique or some modification thereof is the generally accepted method for assessing the in vitro dry matter digestibility (IVDMD) of a diet sample. This indirect method involves the simulated rumen fermentation of diet samples (extrusa) collected from fistulated animals. Application and interpretation of this analysis, however, pose special problems for browse diets. The technique assumes the fluid collected for the digestion process has a similar microbial population as the grazing animal from which the extrusa was collected. A standard diet of alfalfa or grass is usually used to maintain ruminally fistulated animals from which inoculum is obtained because of the complications in maintaining these animals on the study pasture and for timely collection of rumen fluid. The high levels of secondary compounds characteristic of browse may greatly influence microbial populations, however, leading to biased IVDMD results. Unlike forb and grass pastures, in vitro digestibility of mixed brush diets do not show clear one-to-one relationships with in vivo digestibility (Nastis 1977, Brooks and Urness 1984). Considering also that expensive and impractical in vivo digestion trials would be required to correct for the bias, IVDMD for mixed shrubs cannot be used as an absolute predictor if in vivo digestion. Uncorrected IVDMD can, however, be used as a comparative index of forage quality.
Browse is generally lower in digestibility than herbaceous forages. Unlike tropical forbs, however, foliage of trees and shrubs is not subject to the large seasonal variations in digestibility (Wilson 1977).
Fiber and Lignin
The amount of cell wall (CWC) as expressed by the neutral detergent fiber (NDF) and its degree of lignification are considered the most important factors determining forage quality and digestibility (Van Soest 1982). High levels of each depress digestibility of a forage plant (Barton et al. 1976) and browse is generally higher in these components than herbaceous vegetation. The detergent method (Goering and Van Soest 1970) is the most widely acceptable chemical determination of fiber and lignin components in diets.
Lignin is a plant protection and structural material and has been found to be the single component most highly correlated with depressing digestibility (Van Soest 1982). It apparently inhibits the effect of enzymes on cellulose catabolism and may also have an antibacterial function. Wilson (1977) noted that the lignin content of browse was not closely related to the digestibility of cell wall contents as is the case with herbaceous forages. He explains this as probably attributed to a difference in the lignin. In our research with goats and sheep grazing on mixed shrub pastures in Northeast Brasil we also found an unexpected lack of correlation between dietary lignin and digestibility. The lignin-digestibility relationship for browse is not clear and needs further study.
Crude Protein
Crude protein (or nitrogen * 6.25) is the nutrient entity most commonly determined for forages. Nitrogen is a principal constituent of animal tissue and is therefore continuously required for cell function (NAS 1981). Rumen bacteria require a minimum level of 6–8 % crude protein for efficient fermentation of plant material (NAS 1981, Van Soest 1982).
Although an important recognized value of browse is the ability to retain high CP levels during the dry periods, when herbaceous forage reserves have declined, little information is available specifically related to animal diets. Evergreen shrub or deciduous species that leaf out earlier in the season than herbaceous plants or retain persistant green leaves longer into the dry season are presumably most valuable in supplementing dietary nitrogen to grazing animals. Leguminous browse plants, such as Proposis, generally contain higher levels of crude protein than other shrub families (Wilson 1969), and are often good sources of forage reserves.
Standard procedures for determining crude protein are reported by the Association of Official Analytical Chemist (AOAC 1975). These Kjeldahl-derived values may overestimate N availlability for browse diets, however, because of the tendency for protein to form indigestible complexes with secondary compounds.
Secondary Plant Compounds
The leaves of shrubs and trees contain a wide range of secondary metabolites that can have detrimental effects on nutrient digestibility and animal production. Tannins and lignins are the two most common polyphenols produced by trees that are believed to depress palatability and nutritive value of leaves. The determination of lignin has already been discussed in association with the fiber complex.
Approximately 80 percent of the woody perennial dicotyledonous plant species of the world contain tannins (Rhodes 1979). By contrast, only 15 percent of the world's herbaceous species contain tannins. The precise role of tannins in plant-animal interactions is unclear. However, one theory is that they evolved as a defence against herbivores (Rhodes 1979). Tannins may depress intake of browse by decreasing its palatibility or by reducing the digestibility of protein and cellulose (Swain 1979). The propensity of tannins to form insoluble complexes with proteins may reduce digestibility of forages by inhibiting digestive enzymes as well as cause a decrease in protein availability to the animal. (McLeod 1974). On work with blackbush in Utah, Provenza and Malechek (1984) found evidence that tannin may have a greater effect on palatibility than digestibility. Neither function is well understood, however, and needs to be studied for browse species throughout the world.
Martin and Martin (1982) compared methods for assessing tannins in oak species and maintain that the best methods for studying the roles that tannins play in herbivore selection of browse is a protein-precipitation assay. Rather than provide an absolute amount, as determined by the standard chemical analyses, biological assays offer a relative measure of the defensive properties of tannins (Martin and Martin 1982). These assays, however, generally underestimate the biologically active tannins of diet samples, due to the release of tannins by the mastication associated with collecting forage samples with esophageal fistula (Provenza and Malechek 1984).
ASSESSMENT OF DIETS
An understanding of the specific plants and plant parts eaten by the grazing animal is essencial for explaining modifications in feeding behaviour and chemical composition of diets, as influenced by the presence or absence of browse species. More importantly, however, an assessment of diets may provide a measure of the relative acceptance of browse in a mixed community, and indicate the most important species for management purposes.
Two basic methods are in common use for assessing botanical compositions of diets: a microhistological assessment of the botanical composition of fecal samples and a microscope point or microhistological assessment of botanical composition of diet samples collected from fistulated animals. The analysis of fecal samples has the advantage of allowing unlimited and easily assessible samples. However, the extent of digestion varies by plant species as it passes through the digestive tract of the ruminant (Vavra et al. 1978, Holechek et al. 1982). Pfister (unpublished data), working on the caatinga of Northeast Brazil found that the fecal method tends to overestimate browse species that are characteristic of a highly cutinized epidermis that is capable of passing intact through the digestive tract. Fast growing tropical forbs have relatively low levels of cutin and lignin and are therefore more readily disintegrated.
The preferred approach for tropical woodlands is the botanical analysis of diet samples collected from esopohageally fistulated animals. Both the microscope point and the microhistological approach involve the use of a microscope to establish a systematic method to analyze frequency via predetermined points. The choice of approach (high powered or low powered microscope) will depend on the objective of the study. The microhistological technique is preferred if identification of herbaceous plants to the species level is required. This approach has the disadvantage of not allowing determination of green versus dry material or plant parts. The microscope point technique is easier to use and requires less training. This method is probably the best method for determining browse species and plant parts in the diet, because the highly lignified and cutinized leaves of woody plants tend to be easily identified to the species level by a low powered microscope. Leaf and stem ratios and relative amounts of green material are also important information for determining the potential value of browse.
In a worldwide review of dietary botanical composition, Van Dyne et al. (1980) found that nearly 60 percent of the average goat's diet consists of browse. Cattle and sheep were found to consume 15 and 20 percent shrub foliage, respectively. Browse plants are generally highly variable in their relative palatibility to livestock. Little is known, however, concerning the basis of these differences.
CONCLUSIONS
Browse is not generally highly nutritious nor is it a preferred forage during the growing season, when herbaceous vegetation is available. This is probably an advantage, however, because otherwise woody plants may succumb to overgrazing. Potentially the greatest importance of browse for livestock production in the arid and semi arid tropics is under conditions of nutritional stress where leaf litter or green browse may be the only available forage. Browse may also provide the only source of maintenance protein and vitamine A during prolonged drought periods. Our management options are currently limited, however, by our lack of understanding of the precise role of browse in the nutrition of grazing animals.
REFERENCES
AOAC 1975. Official Methods of Analysis (12th ed.). Association of Official Analytical Chemists, Washington, D.C.
BARTON II F.E., AMOS H.E., BURDICK D. & WILSON R.L. 1976. Relationship of chemical analysis to in vitro digestibility for selected tropical and temperate grasses. J. Animal Science 43:504–512.
BLAXTER K.L., WAINMAN F.W. & WILSON R.S. 1961. The regulation of food intake by sheep. Animal Prod. 3:51–61.
BROOKS III J. & URNESS P.J. 1984. Comparison of in vivo and in vitro digestibility of forages by elk. J. Animal Science 58:963–970.
HOLECHEK J.L., VAVRA M. & PIEPER R.D. 1982. Methods for determining the nutritive quality of range ruminant diets: A review. J. Animal Science 54:363–375.
GOERING H.K. & VAN SOEST P.J. 1970. Forage fiber analysis. Agr. Res. Service. USDA Agr. Handbook No. 379, p.20.
LE HOUEROU H.N. (Ed.) 1980. International Symposium on Browse in Africa. International Livestock Centre for Africa (ILCA). Addis Abeba 8–12 April 1980.
MARTIN J.S. & MARTIN M. 1982. Tannin assays in ecological studies: Lack of correlation between phenolics, proanthocyanidins and protein-precipitating constituents in mature foliage of six oak species. Oecologia 54:205–211.
MCKELL C.M., BLAISDELL J.P. & GOODIN J.R. (Eds.) 1972. Wildland shrubs: Their biology and utilization. USDA Forest Service Gen. Tech. Report Int-1.
MCLEOD M.N. 1974. Plant tannins: Their role in forage quality. Nutrition Abstracts and Review 44:803–815.
MINSON D.J., STOBBS T.H. & PLAYNE M.J. 1976. Measuring the nutritive value of pasture plants. pp. 308–337. in N.H. Shaw and W.W. Bryan (Eds.). Tropical pasture research principles and methods. Commonwealth Bur. Past. Field Crops, Bull. 51. Commonw. Agric. Bur.
MOIR R.J. 1961. A note on the relationship between digestibility of dry matter and the digestible energy content of ruminant diets. Aust. J. Experimental Agric. and Animal Husbandry 1:24–26.
NAS. 1981. Nutrient requirements of goats: Angora, dairy and meat goats in temperate and tropical countries. National Academy Press, Washington, D.C. 91p.
NASTIS A.S. 1977. Consumption, digestion and utilization by goats of the dry matter and nitrogen in diets containing oak Quercus gambelii foliage and estimation of in vivo digestibility of oak-containing diets by micro-digestion techniques. Masters' thesis. Utah State University. 79 p.
PROVENZA F.D. & MALECHEK J.C. 1984. Diet selection by domestic goats in relation to blackbush twig chemistry. J. Applied Ecology 21: (accepted).
RHODES D.F. 1979. Herbivores: Their interaction with secondary plant metabolites. Academic Press. New York.
RITTENHOUSE L.R., STREETER C.L. & CLANTON D.C. 1971. Estimating digestible energy from dry and organic matter in diets of grazing cattle. J. Range Management 24:73.
SWAIN T. 1979. Herbivores. Their interaction with secondary plant metabolites. (Rosenthal, G.A. & Janzen, D.H. Eds.) p. 657. Academic Press, New York.
TILLEY J.M.A. & TERRY R.A. 1963. A two-stage technique for the in vitro digestion of forage crops. J. Brit. Grassl.Soc. 18:104.
WEIR W.C. & TORELL D.T. 1959. Selective grazing by sheep as shown by a comparison of the chemical composition of range and pasture forage obtained by hand clipping and that collected by esophageal-fistulated sheep. J. Animal Science 18:641–9.
WILSON A.D. 1969. A review of browse in the nutrition of grazing animals. J.Range Management 22:23–28.
WILSON A.D. 1977. The digestibility and voluntary intake of leaves if trees and shrubs by sheep and goats. Aust. J.Agric.Res. 28:501–8.
VAN DYNE G.M., BROCKINGTON N.R., SZOCS Z., DUEK J. & RIBIC C.A. 1980. Large herbivore system. in Breymeyer A.I. & Van Dyne G.M. (Ed.) Grassland, systems analysis and man. Cambridge Univ. Press, Cambridge, England.
VAN SOEST P.J. 1982. Nutritional ecology of the ruminant. O & B Books, Inc., Corvallis, Or. 374 p.
VAVRA M., RICE R.W. & HANSON R.M. 1978. A comparison of esophageal fistula and fecal material to determine steer diets. J. Range Management 31:11–33.
ZIMMERMAN I. 1980. Factors influencing the feed intake and liveweight change of beef cattle on a mixed tree savannah in the Transvaal. J. Range Management 33.