G. G. M. Farias
L. F. Silva
E. L. Leite
C. B. S. Nascimento
C. J. Lima
A. N. M. Negreiros
D. F. Lima
Biochemistry Department, Biosciences Center
Universidade Federal do Rio Grande do Norte
Introduction
Man does not count on adequate amino acid reserves, and when receiving low-protein or incomplete-protein diets, an immediate mobilization of residual protein occurs, evidencing the dynamic balance existing among the various body tissues. An ensuing weight loss is the result of that mobilization.
As the cultural, social, economic and climatic causes leading to limited intake of nourishing proteins are many, protein malnutrition can be considered as a multifaceted problem affecting most developing countries, particularly in their rural milieus. In the Brazilian Northeast, this is further complicated by the periodic long droughts which reduce the population's protein intake.
The effects of body protein reserve depletion can be studied by controlling the weight of laboratory animals or by studying the changes taking place in plasma proteins, as well as through lipid metabolism alterations, which can be ascertained mainly though liver fat content (Howe and Dooley, 1963; Coward and Sawyer, 1976).
The repletion of depleted tissue may be attained through the ingestion of adequate proteins, repletion speed and efficiency depending largely upon the biologic value of the protein ingested. As the biologic value depends, in turn, on the physiologic conditions of the receiving organism, the same protein can show different performance in well-nourished animals and in animals depleted by disease or starvation. Foodstuffs need to be evaluated, therefore, bearing in mind the nutritional status of the population ingesting them.
Assessment methods which ascertain the recovery of tissue based on liver protein reserves and/or on the increase of body weight after depletion were described and revised by Campbell in 1963.
According to that author, liver protein content depends as much on protein quantity as on protein value. He described several methods for studying the restructuring of labile protein in the liver after a period of fasting, and suggested those methods as suitable for routine food evaluation, as they reflect the status of liver labile protein under certain circumstances.
For our purposes, it is sufficient with the additional information these methods provide on the effects of certain proteins on metabolism during repletion of undernourished animals.
The researchers from the Universidade Federal do Rio Grande do Norte studying the nutritional value of P. juliflora investigate with a view to subsequent application of their findings to improving the region's present situation.
Up to the moment, research has focused on the nutritional value of P. juliflora, ascertaining the values of the Protein Efficiency Rate (per), Net Protein Retention (npr) and Net Protein Utilization (npu) (Lima et al., 1983); these very exacting techniques are performed only on young animals with normal nitrogen balance (whtr-/3unup/129, 1980).
It would be convenient to evaluate the capacity of P. juliflora pod flour for replenishing depleted adult animal tissue or, at least, the possibility of keeping these tissues at basal levels, as the inhabitants of our region who are likely to consume it are almost always undernourished, due to food scarcity during the dry season.
In an attempt to reproduce in laboratory the situation of those people affected by drought, a state of malnutrition was induced in laboratory animals which, later, were replenished by feeding them on diets based on P. juliflora pod flour, using as reference casein-based diets and assessing the findings through weight gain, food intake, amount of liver protein and fat, and plasmatic protein.
Material and Methods
Malnutrition inducement
The laboratory animals used were 3-month-old male Wistar white rats, with an average weight of 376.5 g, all from our own breeding, and were allotted into three groups of 15 animals each, in individual cages.
The malnutrition status was induced by means of a non-protein diet and two hypoprotein diets based on beans and casein. The non-protein diets were prepared according to the recommendations of whtr-3/unup,, 1980.
The hypoprotein diets capable of inducing weight loss were formulated to contain 3 ndp cal%, with protein content of each calculated from the npu of the protein used, as shown in Table 1.
The non-protein diet was administered ad libitum over a 24-day period, and the hypoprotein diet was furnished with restrictions during 36 days. The animals were considered undernourished when they had lost about 1/4 of their original body weight. In all groups, water was provided as desired.
Repletion
The animals used in this stage were those on whom undernourishment had been induced in the first stage. Of each undernourished group, five rats were removed at random and sacrificed, measuring in them serum and liver biochemical data. In each group, the 10 remaining animals were divided into two subgroups to be subjected to repletion with casein and P. juliflora pod flour.
The diets used for replenishment were prepared with 10% protein, adjusted to starch expenditure, as determined in method whtr-3/unup-129 (1980), and containing all the nutrients recommended for a basal diet (Table 1).
The replenishing period was 28 days, during which the animals received water and feed ad libitum, measuring weight gain every four days and controlling feed intake every two days.
The efficacy of the nourishing proteins was expressed by the ratio weight gain/grams of protein ingested, in addition to measuring the serum and liver biochemical dosages of the animals sacrificed after the experiment.
Diet nitrogen measurement was performed by Kjeldahl's semi-micro method (aoac, 1975).
Liver and serum protein content was ascertained by means of the Lowry method, taking B.S.A. as standard (Lowry, 1951).
Liver triglycerides were ascertained as per Carlson (1963). The values shown for each case are the arithmetical mean value with the corresponding standard deviation. The data thus obtained received statistical treatment, verifying the significance of the alterations recorded through Student's “t” test.
TABLE 1
Proximate Composition of the Rations Used for Inducing Malnutrition
and Subsequent Repletion of Experimental Animals
| Components | Malnutrition | Repletion | |||
|---|---|---|---|---|---|
| g% | Casein | Beans (b) | Non-protein | Casein | P. juliflora (b) |
| Proteins | 4 (a) | 5 (a) | 0 | 10 | 10 |
| Lipids | 10 | 10 | 10 | 10 | 10 |
| Fibers | 5 | 5 | 5 | 5 | 10,5 |
| Vitamin mixture* | 1 | 1 | 1 | 1 | 1 |
| Saline mixture* | 4 | 4 | 4 | 4 | 4 |
| Carbohydrates | 76 | 75 | 80 | 70 | 66,5 |
(c) The amount of fibers in this ration results from the high fiber content existing in the flour used (19 to 20%).
Results and Discussion
Malnutrition
Starting from the nutritional evaluation of P. juliflora pod protein (Lima et al., 1983), it was then necessary to assess its real performance, under the ingestion conditions prevailing among the rural population during the dry season.
In the dry season, 3 nourishment conditions are capable of giving rise to the ubiquitous malnutrition in our region:
To reproduce these three diets in laboratory, 3 diets were formulated, one non-protein diet and two hypoprotein ones based on beans and casein, whose compositions are shown in Table 1.
The ingestion of these diets provoked immediate tissue movement, with the consequent weight loss, as can be seen in Chart 1. Rats fed on non-protein diet lost 26% of their body weight in 24 days, and rats fed on hypoprotein diets, with restriction, lost near 20% or their original weight in 36 days, as shown in Table 2.
No significant difference was observed between weight loss caused by the various types of rations tested, being valid the assertion that all three rat groups were affected by similar malnutrition conditions.
As regards biochemical controls performed on the animals sacrificed after the malnutrition period, Table 4 shows similar situations for all three groups: liver protein decreased in relation to the normal animals in the colony, but this alteration is not statistically significant. Serum protein is, in all cases, significantly below the normal value established in laboratory (p<0.005), which caused, as expected, an increase in liver triglycerides and, therefore, less protein availability for release into the blood stream, as shown previously by Flores (1969).
Repletion
Once the weight and biochemical malnutrition conditions had been established, five animals were fed on P. juliflora pod flour, keeping as control five animals fed on casein (Table 1).
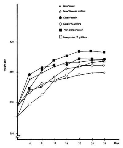
Analyzing Table 3, it may be seen that all groups, regardless of the diet provided, regained from 92% to 100% of their initial weight, varying only the time they required for it, as can be seen also in the weight gain curves of Chart 2.
This recovery of the original weight corresponds, in the case of casein, to 100% of the weight lost during malnutrition; in the case of P. juliflora pod flour, the animals regained up to 89% of the weight they had lost.
The minor differences observed between the final weight achieved by the animals fed on P. juliflora pod flour and the final weight of those fed on casein were not significant. A significant difference (p<0.005) was found for the amount of P. juliflora protein and casein used to attain total recovery of depleted tissue: the animals fed on P. juliflora needed to ingest more protein and, in some cases, needed more time to regain their initial weight; this entails significantly different indices for protein efficiency of P. juliflora and casein in repletion, which was to be expected due to the high biological value of the protein taken as standard.
In some groups, indicated as (c) in Table 3, maximum weight was reached in 20 days, and in such cases the protein ingested up to that moment was included in the calculations. As after the 20th day and until the 28th the animals' mean weight in these groups remained constant, it was assumed that the protein consumed during this interval was used for maintenance and not for repletion. It was therefore not included in the calculations of the protein repletion efficacy index.
The protein efficiency coefficients obtained in repletion with P. juliflora did not differ significantly among the three experimental groups (0.99; 1.12; 1.22), showing that under all malnutrition conditions, P. juliflora was capable of replenishing satisfactorily the undernourished animals, with up to 68% of the efficiency of a complete protein such as casein.
The biochemical indicators, presented in Table 4, which can reflect the situation of the animals after repletion, confirm the replenishing capacity of P. juliflora. It may be seen that liver protein content increased significantly (p<0.005) in repletion of undernourished animals with non-protein diet and hypoprotein diet with beans, regardless of having been carried out with P. juliflora or casein.
The animals on which malnutrition was induced through a hypoprotein diet with 4% casein kept always their liver protein within normal levels, without any significant increases after repletion.
The seemingly better results of P. juliflora in some cases, concerning replenishment of liver protein, were not statistically significant.
Serum protein stayed below the levels established as normal for the colony, after replenishment both with P. juliflora and with casein, which reflected, obviously, in a corresponding retention of triglycerides in the liver. These increased liver triglyceride levels after repletion did not attain disquieting values, as compared with the high total lipid levels found by some authors in rats receiving diets with equal content of vegetal protein and casein (Killberg, 1964; Heard et al., 1975; Sidranski, 1960). The liver triglyceride content in this trial, although suggesting certain fatty infiltration, did not exceed 27.07 mg per gram of fresh weight of the organ, and the increase after replenishment with P. juliflora and casein keeps a certain correlation with the findings of Baltzell (1985), when he found liver lipogenesis in animals subjected to a starvation-refeeding regime. In any case, the similar results obtained both with P. juliflora and casein suggest that the negative alterations result from the metabolic adaptation processes under way during repletion and not from the particular protein. Consequently, the possibility of using P. juliflora successfully in the replenishment of depleted tissue can be considered.

Chart 1. Experimental animals' weight loss during the undernourishment period.
TABLE 2
Experimental Animal Weight Loss During the Malnutrition Induction Period
| Diets | Protein (%) | Initial weight (g) | Final weight (g) | Weight loss (%) |
|---|---|---|---|---|
| Non-protein(a) | 0 | 374.73 ± 29.27 | 277.06 ± 28.60 | 26.06 |
| Casein(b) | 4 | 378.58 ± 27.60 | 296.36 ± 16.98 | 21.70 |
| Beans(b) | 5 | 375.72 ± 29.76 | 297.72 ± 23.24 | 20.70 |
(a) Non-protein ration was fed during 24 days.
(b) Hypoprotein rations were programmed for 3 NDp cal%, and fed during 36 days.

Chart 2. Experimental animals' weight gain during the repletion period.
TABLE 3
Assessment of P. juliflora Protein Efficiency in the Repletion of Rats
on Which Malnutrition Had Previously Been Induced with Three Types of Diet
| Malnutrition | Repletion (a) | Initial weight | Final Weight |
|---|---|---|---|
| Diets | Diets | (g) | (g) |
| Non-protein | Casein | 277.96 ± 28.60 | 381.46 ± 48.19 (c) |
| P. juliflora pods | 277.96 ± 28.60 | 363.04 ± 29.52 (c) | |
| Casein | Casein | 296.36 ± 16.98 | 371.00 ± 30.39 (c) |
| P. juliflora pods | 296.36 ± 16.98 | 348.30 ± 20.61 | |
| Beans | Casein | 297.72 ± 23.24 | 369.12 ± 23.15 |
| P. juliflora pods | 297.72 ± 23.24 | 366.30 ± 11.28 |
The data in this table is the arithmetic mean of each group of animals ± standard deviation. Student's “t” test was used for calculating significance, considering it = 0.005.
The protein ingested during the following days until the end of the trial was considered as being utilized for weight maintenance, therefore not being included in the protein efficiency calculation.
| Malnutrition | Repletion (a) | Recuperation (b) | Protein | Protein |
|---|---|---|---|---|
| Diets | Diets | (%) | Ingested (g) | Efficiency |
| Non-protein | Casein | 101.7 | 53.40 ± 10.20 (d) | 1.91 ± 0,17 |
| P. juliflora pods | 96.8 | 69.68 ± 10.20 (d) | 1.22 ± 0.16 | |
| Casein | Casein | 97.9 | 45.58 ± 2.84 (d) | 1.79 ± 0.24 |
| P. juliflora pods | 92.0 | 55.18 ± 6.86 | 0.99 ± 0.18 | |
| Beans | Casein | 98.2 | 43.22 ± 5.33 | 1.64 ± 0.18 |
| P. juliflora pods | 97.5 | 61.46 ± 6.24 | 1.12 ± 0.18 |
(a) Repletion diets contained 10% protein and were furnished during 28 days.
(b) Weight recovery is calculated in relation with the initial weight of the original group, presented in Table 2.
(c) These values were attained in 20 days, remaining unchanged until the end of the trial.
(d) Protein consumed up to the 20th day, necessary for the weight gain attained during this period.
TABLE 4
Biochemical Assessment of Rats Depleted with Non-protein and Hypoprotein Diets
Based on Casein and P. juliflora Pod Flour
| Liver | Plasma | Liver | ||
|---|---|---|---|---|
| Diets | Protein (a) | Protein (b) | Triglycerides (c) | |
| Malnutrition | Repletion | mg % | g/100 ml | mg/g |
| Non-protein | 15.05 ± 1.78 | 6.07 ± 0.68 | 9.16 ± 2.69 | |
| Casein | 19.24 ± 1.48 | 5.90 ± 0.51 | 14.91 ± 0.53 | |
| P. juliflora pods | 18.62 ± 0.69 | 5.86 ± 0.84 | 27.07 ± 7.82 | |
| Casein | 17.18 ± 3.81 | 4.99 ± 0.37 | 13.40 ± 5.90 | |
| Casein | 17.53 ± 0.90 | 5.17 ± 0.40 | 14.57 ± 6.15 | |
| P. juliflora pods | 19.66 ± 2.23 | 5.51 ± 0.51 | 17.71 ± 5.54 | |
| Beans | 16.62 ± 0.95 | 5.59 ± 0.51 | 12.82 ± 5.90 | |
| Casein | 18.84 ± 1.40 | 5.27 ± 0.43 | 14.75 ± 4.25 | |
| P. juliflora pods | 21.09 ± 1.39 | 5.85 ± 0.30 | 24.11 ± 10.23 | |
(a) Normal value determined for the colony = 17.06 ± 2.03.
(b) Normal value determined for the colony = 7.06 ± 0.30.
(c) Normal value determined for the colony = 6.40 ± 0.38.
Note: The normal values are the arithmetic mean with standard deviation of the measurements performed on five animals selected at random from the Wistar rat colony of this Biochemistry Laboratory, all males and of the same age as the experimental animals. (0.005 was considered for Student's “t” test).
Conclusions
The above data and discussion support the following conclusions:
Thus, the positive results of these biologic trials, although not directly applicable to human standards, prompt us to suggest the convenience of using P. juliflora pod flour by our region's inhabitants as a valid food resource. Its use can be considered both as an emergency solution in cases of prolonged drought, and as a nourishing option under normal situations for the semi-arid zones of the Brazilian Northeast.
References
aoac, 1975: “Official methods of analysis of the Association of Analytical Chemistry,” 12. ed., W. Horwitz, Washington d.c.
baltzell, j. k. and berdanier, c. d. 1985: “Effects of the interaction of dietary carbohydrate and fat on the responses of rats to starvation-refeeding,” J. Nutrition, 115: 104, 110.
carlson, l.a., 1963: “Determination of serum triglycerides,” J. of. Atheroscler., 3: 334–336.
campbell, j.a., 1963: “Methods of protein evaluation: Critical appraisal of methods for evaluation of protein in foods,” Beirut, American University of Beirut.
coward, w.a. and sawyer, m.b. 1977: “Whole-body albumin mass and distribution in rats fed on low protein diets,” Br. J. Nutr. 37: 127–134
flores, h. et al., 1969: “Triglyceride transport in protein depleted rats,” J. Nutrition 100: 375–379.
heard, c. r. c. et al., 1977: “Biochemical characteristics of different forms of protein-energy malnutrition: an experimental model using young rats,” Br. J. Nutr. 37: 1–21.
howe, e.e. and dooly, c. l., 1963: “Effects of alternate depletion-repletion on the laboratory rat,” J. Nutrition 81: 35–38.
kihlberg, r. and ericson, l. e., 1964: “Amino acid composition of rye-flour and the influence of amino acid supplementation of rye-flour and bread on growth, nitrogen efficiency ratio and liver fat in the growing rat,” J. Nutrition 82: 385–394.
lima, d. f. et al., 1983: “Avaliação nutricional da farinha de algaroba (Prosopis juliflora:) Preparo, composição centesimal e toxidez,” Arquivos de Biologia e Tecnologia 26, P. 193.
lowry, o.h. et al., 1951: “Protein measurement with the folin phenol reagent,” J. Biol. Chem. 193: 265–275.
sidranski, h., 1960: “Chemical patology of nutritional deficiency induced by certain plant proteins,” J. Nutrition, 71: 387–95.
whtr-3/unup-129, 1980: “Nutritional evaluation of protein foods,” Ed. Peter L. Pellet and Vernon R. Young, Tokio.
Dr. Awad Elkarim Ibrahim Abdel Gabar
Animal Nutritionist
Agricultural Research Corporation
Forestry Research Center
Soba, Sudan
Introduction
Sudan has an area of about 2.5 million square kilometers and lies between latitudes 3° N and 23° N. The arid and semi-arid zones represent more than 60% of its area. The dominant occupations are rainfed cultivation mainly on sandy “Goz” soils and clay soils, animal husbandry and collection of Gum Arabic from Acacia species. The productivity of these sectors is rapidly deteriorating year after year because of irrational use and the situation is becoming more and more disastrous and alarming. Agriculture and nomadism are seriously affected and their continuity is threatened. At the same time, it is evident that this area has a place in the national and rural economy. So it is natural that due attention should be paid to the rehabilitation of this zone.
Prosopis chilensis (Molina) Stuntz, now naturalized in Sudan, is considered one of the most important species for afforestation and, consequently, as the solution for some problems like fuel and fodder shortages, in addition to its protective value against wind (Jackson 1960; Wunder 1966).
As a result, the International Development Research Center - Canada launched a nationwide afforestation program for Sudan in 1976 through the introduction of ecologically well adapted varieties of Prosopis that combine sufficient drought tolerance with maximum fodder biomass productivity.
P. chilensis Introduction, Establishment and Distribution
A Prosopis species was introduced to the Sudan under the name P. juliflora (Swartz) dc. Jackson (1960) reported its introduction from Egypt and South Africa in 1917 by r. e. Massay. The plants were established at Shambat, north of Khartoum, from where they spread their seeds encapsulated in goat droppings. In 1928 another plot was established near Khartoum airport. It was found that it grew best near Khartoum on sand dune crests. Thus, in 1938, at Kilo 5 a plot was established on sand dunes. The plantation grown on eroded slopes near Sinnar and elsewhere in Fung gave good results. Other plantations were equally established at Port Sudan on sandy soils with high salt content with initial watering for one year. Also successful were the plantations at Kassala Green Belt and the Gash. However, on fixed sand with higher rainfall, at Darfur and Kordofan, the results were disappointing. One net result of these experimental plantations is that P. juliflora become a hope of afforestation schemes in arid areas of the Sudan.
Since then a number of Prosopis species were introduced, as the genus is reported to combat desertification and to lessen sand movement. It has been suggested for greenbelt projects.
It has been now established that all the plants referred to as local or naturalized, irrespective of provenance of the initial seeds, belong to P. chilensis (Molina) Stuntz (Abdelbari 1986), and not to P. juliflora.
Pod Production
Pod productivity studies conducted in North America, Hawaii and Sudan showed production varying over a wide range, between 1,061 kg and 20,000 kg/ha/year (Felker 1979; García 1916; Smith 1953; Musnad and ElMek 1984). Pod production starts in December, steadily increasing until it peaks in March. It then decreases to a minimum in June, after which time the trees cease production. There was significant correlation between pod production and crown diameter (rs = 0.44 P<0.05) (Siddig 1983).
Nutritive Value of P. chilensis
Proximate composition of pods, seeds and leaves
The average chemical composition of pods, seeds and leaves of P. chilensis and and the content of different P. chilensis parts are presented in Tables 1 and 2, respectively. Regarding composition of the different parts of P. chilensis, the seed had the highest protein content (32.5%), followed by the leaves (14.8%), and the whole pods had the least protein content. The reverse order is equally true for crude fibre and nitrogen free extract. The relatively high protein content of the seeds suggests that they may be useful as protein supplement to poor grass. To take full advantage of the high protein content of the seeds they should be crushed as they may escape digestion. Though the leaves of P. chilensis are rich in protein, the green leaves are unpalatable to all domestic animals except camels. The calcium and magnesium content of P. chilensis pods is probably adequate to meet the maintenance requirements of ruminants as indicated by the nrc (1971). The pods are however deficient in sodium but rich in potassium and animals fed solely on pods should be supplemented with sodium preferably in form of sodium chloride. Pod content of magnese and copper probably meets the requirement of small ruminants, but the pods are deficient in zinc. This must be added when animals are fed on pods only. It must be realized that the availability of these elements to animals depend on pod digestibility, which itself is affected by the manner in which pods are fed, viz. crushed or intact.
Digestibility trials
Eight male desert goats ranging in weight between 15 and 17 kg were used. They were assigned to two treatments (A and B) of four animals each. The chemical composition of ration A (crushed P. chilensis pods) and B (55% crushed P. chilensis pods plus 30% wheat bran and 15% cottonseed cake) fed during metabolism trial is presented in Table 3. Differences in crude protein and crude fibre were presumably due to variation in the pod portion of the ration. The result of the metabolism studies are also summarized in Table 3. The crude protein in the ration containing supplementary cottonseed cake and wheat bran (ration B) was more digestible than ration A. Nitrogen free extract and ether extract were also more digestible than those of ration A. Apparently the digestibility of ether extract is affected to a great extent by the nature and the amount of ether in the ration. The slight discrepancy in the digestibility of dry matter may be attributed to variation of behaviour of animals in metabolism pens, to sampling and analytical errors.
It seems that animals not only maintain their body weight but also exhibit marginal gain (10 and 53 g). This is in line with the recommendations for maintenance requirements of small ruminants (arc, 1965).
Apparently P. chilensis could provide an adequate maintenance ration for goats and sheep, particularly when the presence of other pasture plants is rather scarce in the long dry season.
Effect of feeding intact P. chilensis pods to sheep
Forty-eight yearling Sudan desert ewes were used. They were allotted to four groups of comparable average initial weight. Groups A, B and C were fed intact pods ad libitum. Group D (control group) was fed a complete ration composed of 44% dura grain, 29% humra (Aristida funiculata), 25% cottonseed cake and 2% mineral and vitamine mixture. Daily record of feed consumption and weekly weight gain records were kept. Water was freely available. The feeding period extended for 13 weeks.
The results of the feeding trial are shown in Table 4. Ewes fed intact P. chilensis pods progressively lost weight but at a slow rate. Similar findings were reported with goats (Ibrahim and Gaili 1982) and sheep (Ladrille et al. 1971). As the experiment proceeded towards the 12th and 13th week, some of the ewes could hardly take the pods and others were reluctant to eat. Deaths occurred during the course of the experiment but the majority (75%) of ewes died during the 12th and 13th week. Postmortem findings revealed ruminal impaction; severe carcass emaciation and serious atrophy was evident. The small intestine was empty and the caecum was full of watery ingesta. Deaths are attributed to ruminal atony impairing rumen motility. The excessive accumulation of improperly digested pods favoured the proliferation of bacteria leading to the production of lactic acid in extensive amounts, thereby destroying the protozoa, cellulolytic organisms and lactate utilizing organisms. Progressive acidosis and subsequent dehydration lead to the death of the ewes.
Feeding crushed pods supplemented with molasses and Karkade (Hibiscus sabdarifa) seed cake to Sudan desert ewes
Of the remaining animals (26) from the above experiment, 24 were allotted into 3 groups of 8 animals each. Each group was fed on one ration. Composition of the rations and their chemical analysis is given in Table 5. The rations were formulated to provide sufficient protein and energy to yield maximum gain of 200 g/day according to arc (1965). The duration of the experiment was 10 weeks.
It is clear that the ration used contained about the same level of energy. Although protein and energy varied, they were sufficient to meet the expected daily live weight gain, feed intake and feed conversion. Table 6 shows the performance of ewes fed on the different rations. It is clear from the table that the dry matter intake of rations A, B and C increased significantly by inclusion of molasses and Karkade seed cake compared to intact pods in the previous experiment. The voluntary intake was relatively similar in ration B (20% molasses) and C (30% molasses), but differs significantly from that of ration (A) (10% molasses). It is clear from Table 6 that all animals gained in weight. Voluntary intake also increased progressively due to improvement in feed palatability and the balance of the nutrient content of the rations. As a result, rumen microflora were furnished with substrate necessary for their growth and multiplication, with the result that cellulose digestion was much enhanced. On the other hand, the nitrogen requirements of rumen microorganisms depend on the amount of fermentable substrate (Orskov and Mehres, 1977; Miller, 1973) and the nitrogen uptake is largely a function of both the ratio of degradation of the energetic substrate and of the availability of nitrogen for microorganisms (Oldham et al., 1977).
Performance was influenced by the molasses level, which was probably due to the differences in net energy utilized by ewes. However, performance failed to reach the expected levels, probably due to overestimation of the feeding value of the rations. Better performance was recorded at 20% and 30% molasses levels. This may be due to higher net energy available at molasses levels of 20%–30%, since Lofgreen and Obtagski (1960) have shown that net energy decreases considerably at levels lower than 20%.
Toxicological Investigation
Goats and sheep are prone to toxicity of fresh leaves and the flat-green immature pods. A daily intake of 10 g/kg body weight will cause death to sheep and goats within a period of 4–5 weeks for leaves and 5–8 weeks for the flat green immature pods. The clinical signs and lesions of poisoning with fresh leaves and flat-green immature pods do not differ. Generally the symptoms included inappetence, weight loss, weakness, loss of fitness, visible pallor, mucuous membrane, loss of eye reflex, alopecia, lack of coordination, foul watery diarrhea, severe dehydration and recumbency followed by death (Ibrahim A., unpublished data).
Conclusions
The first introduction of Prosopis in 1917 from Egypt and South Africa, as well as subsequent naturalization either through experiments or incidental correspond to P. chilensis (Molina) Stuntz.
Ruminants, particularly goats, play an important role in the natural regeneration and propagation of P. chilensis, via dissemination of intact undigested seeds in their droppings.
P. chilensis responds to different environmental conditions and could result in future problems, so it is of paramount importance to keep it under strict control by those concerned.
Chemical analysis of mature pods, seeds and leaves showed the proximate composition of the entire pods, seeds and leaves was, respectively, as follows: crude protein 12.5, 32.5 and 14.81%; crude fibre 27.2, 12.2 and 21.4%; nitrogen free extract 53.1, 47.6 and 48.9%; ash 4.9, 4.7 and 12.9%.
Apparently, P. chilensis could form an adequate maintenance ration for goats and sheep, particularly when the presence of other pasture plants is rather scarce in the long dry season.
P. chilensis pods could be used in livestock fattening experiments, provided they are supplemented with a source of energy and protein.
It is not advisable to feed sheep exclusively on P. chilensis pods beyond a period of 13 weeks. Under normal conditions, sheep feed on P. chilensis as well as other sources of feed. It is particularly important to mention that loss in weight occurs generally in the dry season (March–July) and although feeding solely on P. chilensis for a period shorter than 13 weeks can cause weight loss, it can sustain the animals during such period.
The availability and the relatively low cost of molasses and Karkade seed cake justify their use in addition to P. chilensis to supplement growing animals during the dry season, so they may attain marketable weight at an earlier age.
Pods of P. chilensis are well relished by domestic animals, but foliage and immature (green) pods are apparently devoid of attraction and toxic to domestic animals.
TABLE 1
Proximate Composition (%) (Dry Matter Basis) of Prosopis chilensis Pods, Seeds and Leaves
| Component | Ripe pods | Seeds | Leaves |
|---|---|---|---|
| Mean ± SD | Mean ± SD | Mean ± SD | |
| Ash | 4.88 ± 0.26 | 4.70 ± 0.02 | 12.91 ± 0.12 |
| Crude protein | 12.49 ± 0.25 | 32.46 ± 0.40 | 14.79 ± 0.30 |
| Crude fiber | 27.20 ± 1.92 | 12.15 ± 0.02 | 21.36 ± 0.14 |
| Nitrogen free extract | 53.30 ± 00 | 47.36 ± 0.01 | 48.86 ± 0.20 |
| ME (Mj/kg DM)* | H 58 | 12–13 | 10.32 |
* ME (Mj/kg DM) = 0.012 CP + 0.031 (EE) + 0.005 (CF) + 0.014 (NFE)
TABLE 2
Major (g/100g) and Trace (ppm) Elements of Prosopis chilensis
| Ripe Pods | Seeds | Leaves | |
|---|---|---|---|
| Major elements | Mean ± SD | Mean ± SD | Mean ± SD |
| Calcium | 0.43 ± 0.05 | 0.32 ± 0.02 | 1.88 ± 0.06 |
| Phosphorus | 0.17 ± 0.00 | 0.31 ± 0.01 | 0.16 ± 0.00 |
| Magnesium | 0.12 ± 0.01 | 0.20 ± 0.01 | 0.42 ± 0.00 |
| Potassium | 1.38 ± 0.04 | 0.87 ± 0.04 | 1.07 ± 0.00 |
| Sodium | 0.02 ± 0.00 | 0.02 ± 0.00 | 0.04 ± 0.00 |
| Calcium/Phosphorus | 2.33 : 1 | 1.03 : 1 | 11.75 : 1 |
| Trace elements | |||
| Copper | 5.28 ± 1.04 | 14.53 ± 0.70 | 14.18 ± 1.77 |
| Magnesium | 12.75 ± 0.05 | 33.30 ± 1.2 | 74.04 ± 1.78 |
| Zinc | 18.86 ± 0.46 | 56.62 ± 1.04 | 2.09 ± 0.00 |
TABLE 3
Performance of Goats and Chemical Analysis and Digestibility
of Rations Fed During Metabolism Trial
| Item | A | B |
|---|---|---|
| Average initial weight (kg) | 15.89 | 17.14 |
| Average daily gain (kg) | 0.010 | 0.053 |
| Average dry matter intake (kg) | 0.510 | 0.580 |
| Chemical composition % dry matter | ||
| Dry matter | 93.30 | 91.80 |
| Crude protein | 13.00 | 17.70 |
| Crude fiber | 23.40 | 19.00 |
| Ether extract | 2.50 | 3.80 |
| Nitrogen free extract | 59.20 | 54.90 |
| Ash | 4.90 | 4.60 |
| Digestibility % | ||
| Dry matter | 71.26 | 73.18 |
| Crude protein | 72.49 | 74.76 |
| Crude fiber | 62.47 | 54.08 |
| Ether extract | 70.04 | 85.43 |
| Nitrogen free extract | 74.45 | 78.36 |
| TDN | 69.79 | 73.79 |
| Nitrogen balance | ||
| Nitrogen intake g/day | 66.30 | 104.40 |
| Nitrogen in faeces and urine (g) | 57.60 | 92.93 |
| Nitrogen retention (g) | 8.7 | 12.17 |
| Nitrogen balance (% of intake) | 13.12 | 11.65 |
TABLE 4
Performance of Ewes Fed on Intact Pods (A, B and C) and a Complete Ration (D)
| Item | Rations | |||
|---|---|---|---|---|
| A | B | C | D | |
| No. of animals | 12 | 12 | 12 | 12 |
| Average initial weight (kg) | 28.60 ± 2.65 | 27.39 ± 2.70 | 28.33 ± 1.69 | 28.05 ± 1.40 |
| Average final weight (kg) | 24.32 ± 2.65 | 22.83 ± 2.35 | 25.18 ± 2.93 | 43,22 ± 1.78 |
| Overall daily gain or loss. | 0.048 ± 0.605 | 0.050 ± 0.007 | 0.057 ± 0.603 | 0.166 ± 0.006 |
| Daily feed intake of animals (kg) | 0.062 ± 0.02 | 0.590 ± 0.65 | 0.637 ± 0.834 | 1.22 ± 0.028 |
TABLE 5
Composition (%) of Rations Used in the Experiment
| Component | A | B | DC |
|---|---|---|---|
| Crushed pods | 58 | 58 | 58 |
| Karkade seed cake | 10 | 20 | 30 |
| Molasses | 30 | 20 | 10 |
| Mineral and vitamine mixture | 2 | 2 | 2 |
| Chemical composition | 89.4 | 87.63 | 86.13 |
| Dry matter | 89.40 | 87.63 | 86.13 |
| Crude protein | 11.78 | 14.82 | 16.13 |
| Ether extract | 4.42 | 3.44 | 2.47 |
| Crude fiber | 27.66 | 17.99 | 16.32 |
| Ash | 4.93 | 11.95 | 4.96 |
| Nitrogen free extract | 46.03 | 49.93 | 53.85 |
| ME (Mj/kg DM) | 11.80 | 12.00 | 12.00 |
TABLE 6
Performance of Ewes Fed Rations Containing Different Levels of Molasses
and Karkade (Hibiscus sabdariffa) Seed Cake
| Ration | A | B | C |
|---|---|---|---|
| Average initial weight (kg) | 25.32 ± 0.93 | 24.90 ± 0.88 | 25.60 ± 1.02 |
| Average final weight (kg) | 33.73 ± 1.20 | 35.18 ± 1.37 | 36.25 ± 1.02 |
| Average daily feed intake(kg) | 0.690 ± 0.026 | 0.702 ± 0.068 | 0.737 ± 0.092 |
| Average daily gain (kg) | 0.120 ± 0.083 | 0.146 ± 0.03 | 0.152 ± 0.012 |
| Food: gain ratio | 5.75 | 4.81 | 4.85 |
References
abdel bari e., 1986: “The identity of the common mesquite Prosopis species,” Pamphlet No. 1, Prosopis Project supported by idrc, Editor A. El Houri, Project Leader frc, Khartoum Sudan.
arc, Agricultural Research Council, 1965: “The nutrient requirement of farm livestock,” No. 2, Ruminants, London.
felker, p., 1979: “Mesquite in Indian Cultures of South Western North America,” in: Mesquite: Its biology on two desert ecosystems, B.B. Simpson (Ed.), u.s./i.b.p Synthesis Series 4, Dowden Hutchinson and Res. Inc., Strandsburg, Pennsylvania.
garcia, f., 1916: “Mesquite beans for pig feeding,” N, Mex. Agric. Exp. Station, 28th Ann. Rpt., pp. 77–82.
ibrahim, a. and gaili, e.s.e., 1985: “Performance and carcass traits of goats fed on a diet containing different proportion of mesquite (Prosopis chilensis (Mol.) Stuntz,” Trop. Agric., Trinidad 62, (2): 97–99.
jackson, j.k., 1960: “The introduction of exotic trees into the Sudan,” Sudan Silva, i, No. (10) 28 ff.
latrille, l.; garcia, x.; robb, j.b. and roning, m. 1971: “Digestible nutrients and nitrogen balance studies on tamarugo (Prosopis tamarugo) forage,” J. Anim. Sci., 33: 667–670.
lodgreen, g.p. and otagaki, k.k., 1960: “The net energy of balck strap molasses for fattening steers as defined by a comparative slaughter technique,” J. Anim. Sci. 10: 392–402.
miller, e.e., 1973: “Evaluation of food as source of nitrogen and amino acid,” Proc. Nat. Soc. 32: 74–84.
musnad, h.a. and elmek, o.a., 1984: “Pod production of mesquite (Prosopis chilensis) in the Nile Province,” Sudan Silva.
national research council, nrc, 1971: “Nutritional requirements of domestic animals,” Washington, d.c.
odlham, j.d; buttery, p.j.; swan, h. and lewis, d., 1977: “Interactions between dietary carbohydrates and nitrogen digestion in sheep,” J. Agric. Sci. 89: 467–479.
orskov, e.r.; fraser, c. and mcdonald, i., 1972: “Digestion of concentrate in sheep. 4. The effect of urea on digestion, nitrogen retention and growth in young lambs,” Br. J. Nutr. 27: 491–501.
siddig, m.e.b., 1983: “Phenology and regeneration of mesquite (Prosopis chilensis (Molina) Stuntz) in the Sudan,” Msc. Thesis, Gezira University.
smith, j.r., 1953: In: Tree crops: A permanent agriculture, Devin-Adair Pub. Co. New York.
wunder, e.g. 1966: “Prosopis juliflora in the arid zone of Sudan,” Republic of Sudan Forests Department and undp, Forest Research and Education Project, Pamphlet No. 26.
Nésio Antonio Moreira Teixeira de Barros
Carlos António de Gois Bai
Francisco das Chagas Estevam da Fonseca
Associate Professors
Universidade Federal do Rio Grande do Norte
Introduction
The climatic conditions in the Brazilian Northeast are very irregular, dry weather predominanting most of the year, bringing about low livestock productivity due to low pasture yields.
Low pasture availability and the at times inadequate use of feed supplementation with concentrates make livestock feeding quantitatively and qualitatively deficient, with marked effects on production and productivity. A certain keenness is observed for supplying protein supplement, while energy supplements are not granted due relevance. The producers appear to seek immediate results without considering feed efficiency and economic aspects.
Among the available energy sources, in addition to corn (Zea mays) and molasses, are also cassava (Manihot utilissima), widely cultivated throughout the country, and P. juliflora, which is receiving a great deal of attention in the Northeast.
Cassava is particularly rich in water and carbohydrates, with low protein and fat content. But, according to Kok (1942), quoted by Ribeiro (1973), as an energy source it is comparable to corn and can replace it totally or partly in animal rations. As regards P. juliflora, long used as animal feed, experience has shown how beneficial its introduction into this region has been. It provides energy, nutrients and a certain amount of protein, contributing with its shade to increasing yield rates of crops grown in association with it (Alves, 1972).
This research project has the objective of comparing P. juliflora and cassava, from the nutritional point of view, as energy supplements in ruminant rations, with a view to establishing which of them would constitute a better source of carbohydrates having urea as non-protein nitrogenated source. Languidey et al. (1976), quoted by Barros (1981) states that urea use, among the non-protein nitrogenated compounds, has increased the most in ruminant rations.
According to Horn and Beeson (1969), quoted by Barros (1981), the addition of legumes to urea, as nitrogen source, is beneficial, mainly as a result of their carbohydrate type and content.
Material and Methods
This trial was conducted at Base Física Judiaí, a farm belonging to the Agriculture and Forestry Department of the Universidade Federal do Rio Grande do Norte. Twenty castrated rams of no particular breed were used, after removing their tail and applying a vermifuge. A randomized block design was employed, with 5 treatments and four replications, the experimental rations were formulated as shown in Table 1 below.
TABLE 1
Percentage Composition of Concentrate Rations
| Treatments | |||||
|---|---|---|---|---|---|
| Ingredients | A | B | C | D | E |
| Cassava | 79.68 | 58.82 | 39.37 | 18.63 | — |
| P. juliflora | — | 19.60 | 39.37 | 63.43 | 83.65 |
| Urea | 2.39 | 1.96 | 1.57 | 1.12 | 1.15 |
| Cotton flour | 9.96 | 11.76 | 11.81 | 9.32 | 7.60 |
| Wheat flour | 7.97 | 7.86 | 7.88 | 7.48 | 7.60 |
| Total | 100 | 100 | 100 | 100 | 100 |
In addition to the concentrate, all the animals received equal amounts of elephant grass (Cenchrus ciliaris) as bulk feed.
The trial lasted for 21 days, with 14 for adaptation and 7 for data gathering.
The material was collected using the technique described by Staples and Dinusson (1951), quoted in Velloso (1971); polyethylene bags were used to collect faeces, as recommended by Noller et al. (1966), quoted by Velloso (1971).
The equivalent of 10% of the total faeces of each animal was stored daily in a freezer at -10°C, as well as samples of the rations supplied and of the residues of each animal. At the beginning of each day, 20 ml of HCl (1 + 1) was placed in the urine collectors, with the purpose of preventing ammonium losses through volatilization. A urine aliquote equivalent to 5% of the total urine of each animal was removed daily and placed in a freezer at -10° C. Assays and analyses were performed as suggested by Harris (1970).
Results and Discussion
TABLE 2
Effect of Treatment on Dry Matter, Gross Energy, Crude Protein Digestibility
and on Nitrogen Balance
| Treatments | |||||
|---|---|---|---|---|---|
| Variables | A | B | C | D | E |
| Dry matter digestibility | 66.1 | 72.0 | 66.7 | 72.5 | 66.0 |
| Gross energy digestibility | 76.4 | 81.0 | 72.1 | 80.8 | 78.7 |
| Crude protein digestibility | 85.6 | 86.5 | 84.7 | 84.9 | 83.7 |
| Nitrogen balance | 7.26 | 8.16 | 6.83 | 8.27 | 7.48 |
Apparent dry matter digestibility was not influenced (P>0.05) by the treatments. As may be seen from Table 2, a tendency to higher dry matter digestibility occurred in treatments B and D, the treatments with the highest dry matter content in the ration. These findings are in line with those obtained by Colovos et al. (1970) and by Jones et al. (1971), who reported increases in digestibility coefficients as the ration's dry matter content was increased.
Table 2 shows satisfactory indices for dry matter digestibility, probably due to the presence of easily utilizable carbohydrates in the ration, an effect also observed by Chappell and Fontenot (1968), and by Woods et al. (1970). Treatments where both cassava and P. juliflora formed part of the ration exhibited a better dry matter digestibility coefficient compared with those treatments where only one of them was present. These findings are comparable to those reported by Grossman and Oliveira (1950), who replaced corn by cassava and found that the best treatment was one in which cassava accounted for 50% of the ration. The inclusion of P. juliflora and cassava in the ration also contributed to increasing dry matter digestibility, a finding which agrees with those of Teixeira (1975), who observed that the inclusion of legumes to the cassava ration increases dry matter digestibility.
According to Horn and Beeson (1969), quoted by Teixeira (1975), the inclusion of legumes in supplements containing urea is also beneficial.
Apparent gross energy digestibility was not influenced (P>0.05) by the treatments. As shown in Table 2, gross energy tended to be more digestible in treatments B and D.
Barros (1981) states that P. juliflora exhibited a very high gross energy digestibility coefficient (75.2); Pervez and Battacharya (1973), working on digestibility -which is impaired by urea as a supplement-, found high gross energy digestibility indices, similar to those found in this trial.
Teixeira et al. (1977) report that gross energy digestibility in rations containing urea and legumes increased with the addition of cassava sugar, findings in line with those of this work.
Crude protein apparent digestibility of the experimental rations was not influenced (P>0.05) by the treatments.
According to Azevedo (1961) and Alba (1968), quoted by Barros (1981) and Barbosa (1977), P. juliflora presents a high digestibility coefficient for crude protein, of about 70%.
Neto et al. (1971) state that supplementation with urea increased crude protein digestibility, as found also in this trial. The authors report that the effect of urea on the protein digestibility rise is probably due to the speed of hydrolysis of this compound in the rumen, with the consequent incorporation of ammonia into the microbial protein being absorbed by the blood stream.
Silva et al. (1975), quoted by Barros (1981), and Ferreira et al. (1974) observed that amylaceous supplements, when added to ruminant diets, can affect protein digestibility favorably, as found also in this trial.
White et al. (1972) report that crude protein digestibility indices tended to increase when, in addition to the amylaceous source, urea was added as supplement, as also found in this trial.
Santana et al. (1978) state that cassava, although poor in fats and proteins, has low crude fiber content and high-quality starch; thus, it may be inferred that the combination of cassava and P. juliflora can account for the excellent results for crude protein digestibility in this trial.
No effect of the treatments on nitrogen balance was observed (P>0.05), expressed in g/day; the data shows, however, that all treatments encouraged positive nitrogen balance.
Campos et al. (1977) report, in a trial with negative nitrogen balance, that in the treatment with higher protein content there was higher nitrogen intake (9.7 g/animal/day). They observed that the animals in this treatment exhibited high amounts of nitrogen eliminated via urine, similar in part to the findings of this trial, where nitrogen intake was high (ranging from 10.52 to 11.31 g/animal/day), but no great excretion via urine or faeces was detected, therefore existing good nitrogen retention. This may probably be explained, as advanced by García et al. (1969), by the nitrogen in urea being almost completely used up by the presence of large amounts of starch and of other carbohydrates in the rumen.
Conclusions
References
alves, a.q., 1972: “Algaroba, uma experiencia válida,” João Pessoa, saic, 20 p.
barbosa, h.p., 1977: “Valor nutritivo de algaroba através de ensaio de digestibilidade em carneiros,” Viçosa, Universidade Federal de Viçosa, 48 p., (M. Sc. Thesis).
barros, n.a.m.t. de, 1981: “Efeitos da substituição progressiva do melaço por vagens de algaroba na alimentação de ruminantes,” Areira, Universidade Federal de Paraíba, 97 p. (M. Sc. Thesis).
campos, o.f. de; silva, j.f.c. da; vilela, h. and souza, a.a., 1977: “Valor nutritivo da raspa de mandioca e do bagaço de cana para ruminantes,” Rev. Ceres, 24 (135): 521–29.
colovos, n.f.; keener, h.a.; davis, h.a; reddy, b.s. and REDDY, P.P., 1962: “Nutritive value of the dairy cattle rations as affected by different levels of urea and quality of ingredients,” J. Dairy Sci., 50:523.
ferreira, j.j.; silva, j.f.c. da and gomide, j.a., 1974: “Efeito do estágio de desenvolviento, do emurchesimento e da adição de raspa de mandioca sobre o valor nutritivo da silagem do capim elefante,” Experientiae, 17 (50): 86–107.
garcia, j.a.; campos, j. and peres, f.l., 1969: “Melaço/uréia × raspa de mandioca/uréia na engorda de bovinos em confinamento,” Rev. ceres pp. 9–21.
harris, e.l., 1970: “Métodos para análisis químicos y la evolución biológica de alimentos para animales,” Gainerville, University of Florida, Center for Tropical Agricult.
jones, g.m.; donerfer, e.; javed, a.h. and gaudreay, j.m., 1971: “Intake and digestibility by sheep of wilted alfalfa-timoty and corn silages of low and high dry matter levels,” J. Animal Sci., 33 (6): 1315–20.
languidey, p.h.; moreira, h.a.; santos, k.a.s.; viana, j.a.c. and rodrigues, n.m., 1976: “Melaço de cana e/ou mandioca dessecado em rações contendo uréia para novilhas de corte,” Arq. Esc. Vet. u.f.m.g. 128 (3): 307– 15.
neto, a.a.; campos, j.; silva, j.f.c da and garcia, j.a., 1981: “Efeito da uréia sobre o consumo e degistibilidade de tres fenos de gramineas forrageiras tropicais,” Rev. Soc. Bras. Zoot., 10 (2): 212–34.
pervez, e. and battacharya, a.n., 1973: “Effect of urea supplementation on intake and utilization of diets containing low quality roughages in sheep,” J. Anim. Sci., 36 (5): 976–81.
ribeiro, p.j.; moreira, h. a.; vilela, h. and silva, t., 1976: “Melaço desidratado e raspa de mandioca como substitutos parciais do milho para produção de leite,” Arq. Esc. Vet. ufmg, 28 (2): 193–200.
santana, j.c.r.; costa, p.m.a.; mello, h.v. de ; sanvero, a.b. and menezes, l. c., 1978: “Raspa de mandioca processado pelo calor seco na alimentação de suinos,” Rev. Soc. Bras. Zoot., 7 (1): 53–75.
teixeira, l. b., 1975: “Uréia, estilosantes e raspas de mandioca como suplemento do capim elefante para bovinos em confinamento,” Viçosa, u.f.v., 34 p.
velloso, l., 1971: “Estudo sobre a digestibilidade aparente e o balanço metabólico dos nutrients de uma ração balanceada contendo melaço e uréia, mediante ensaio com zebuínos em crescimento,” Piracicaba, e.s.a.l.q., 72 p. (M. Sc. Thesis).
white, t.w.; hembry, f.g.; reynolds, w. l., 1972: “Influence of grinding supplemental nitrogen source and roughage on the digestibility of corn,” J. Anim. Sci., 34 (4): 672–76.