5.1 Accessing New Technologies and Information Base
Familiarity with and access to new technology are facilitated by the presence of large migrant workers in developed countries e.g. the Turkish and North African workers in Europe. This presence will lead to promotion of the development and application of technology that improves yield, reduces risk and is environmentally sustainable. For crops this involves extending the area under irrigation wherever economically feasible and sustainable, improving water resources management, breeding and use of high, yet stable, yielding varieties and optimal use of fertilizers. For livestock it involves integration with crop production, optimal use of natural grazing, forage crops and crop by-products, improved breeding management and animal health measures. Nevertheless attention is still needed through more training and extension programmes in these areas and through strengthening and expanding post-harvest food storage facilities and documentation services.
Biotechnology has great potential to influence and benefit agriculture, forestry and fisheries. Modern techniques of biotechnology offer the potential of moving any cloned gene from any organism into any other organism and confer much greater precision and speed in achieving results as compared to conventional techniques. In conjunction with conventional technologies, modern biotechnology holds promise of increased and sustained productivity, efficient processing for improved product diversification and utilization, adaptation of product quality to functional requirements, and decreased reliance on agrochemicals and other external inputs. It may also promote better conservation and use of genetic resources, and environmentally friendly management of natural resources. However, the number of marketable products and their influence at the farm level still seems to be limited, but is likely to increase in the next decade.
Biotechnology also poses certain challenges. These are largely determined by how, where and when it finds application. In general, the fast-paced research, predominantly funded by private-sector investment and use of intellectual property rights in industrialized countries are seen as evidence that the application of biotechnology will hold the key to competitiveness and comparative advantage in many fields, including agriculture and food.
Biotechnology, with its vast potential and challenges, is thus of the utmost importance to agricultural development. However, the application of biotechnology tools in the development process requires preconditions which are hardly exist in most the countries of the Near East. Therefore, one of the major concerns of the countries of the Region is the development of more capacities and expertise in this area.
Knowledge and information are increasingly becoming the key factors of production and exchange, and this has major implications for developing countries. The innovations are so numerous and radical that they are deeply affecting competition, social organizations, institutions, materials, and even life itself. Driving today's rapid technological change are dramatic improvements in information and telecommunication technology, aided by advances in the tools of scientific inquiry and in the codification of knowledge.
In electronic information processing, performance per unit cost has doubled every two to three years since the start of the computer revolution (Dahlman 2002). In the life sciences, the increased ability to measure, analyze, and model living processes allows opening new possibilities to agriculture. The most immediate consequence of these developments is to increase the speed of production and product development. This in turn is leading to a revolution in business practices. Time and speed are now more central to competitive success, providing an advantage to producers with the best links to the markets and the greatest flexibility. In addition, the continuing rapid decline in the costs of transporting information and goods due to advances in telecommunications and the use of information technology have led to the growing irrelevance of the boundaries of geography and even of time, unifying national economies in a fast-moving, highly interdependent world economy.
The capacity of the Near East Region to absorb new technologies is greater now than it has ever been due to the continuing rise of educational levels in comparison to Africa and to the younger and more adaptable populations The Region has relatively high educational level in comparison to Africa. This is particularly true as far as the availability of large pool of expertise in agriculture. Many countries of the Region are also better integrated than before into the advanced science and engineering education systems of the most technologically-dynamic countries. Added to this are ongoing improvements in production and design know how obtained through prolonged experience of working with and for export markets and multinational enterprises.
Advances in telecommunications and informatics are globalizing labour markets and permitting workers from developing countries to export service inputs to production processes in developed country markets. In the Sudan, the use of satellite remote sensing after the 1984 drought allowed the government to assess the acreage and conditions of crops.
5.2 Governance and Decentralization
The Governments of the countries of Near East are carrying out institutional reforms and experiencing changes in governance by strengthening decentralization through enhancing decentralization, privatization and reduced state control. The government's role is moving towards reducing direct intervention and being of a more catalytic nature that would concentrate on conducive measures and facilitating actions, such as socio-economic services, infrastructure and development of human resources, needed for stimulating and guiding spontaneous economic activities to the right direction. The countries of the Region are pursuing this in different degrees, speeds and sequences. The private sector, supported by Non-Governmental Organizations (NGOs), is expected to have a larger role in the development process.
Most governments in the Near East Region seek to provide a broad range of social and other public goods to promote both economic and social development. The Region has made significant progress over the past decades in extending education and health care, water, and public infrastructure. Against these signs of progress, however, stands evidence of enduring weaknesses in public services, precisely at a time when burgeoning populations and increasingly limited public resources are straining existing services and even threatening to reverse past gains.
Good public services require good public governance, especially stronger accountability. And public accountability is precisely the area where the NE Region falls short. The most powerful remedy to weak accountability is to give citizens a stronger voice, which can help ensure both that public officials pay attention to the quality and coverage of government services and that service agencies themselves respond to citizens' needs.
Countries can increase the citizen's voice in two ways. The first is to enlist citizens in monitoring and even managing agencies providing public services, since they are in a better position to judge quality and effectiveness. Governments can move in this direction by using feedback surveys to allow users to grade agencies, by enhancing the transparency and client focus of their e-government initiatives, by allowing different service providers to compete, by decentralizing more services to local agencies or governments, and by designing participatory processes that give citizens a direct say in public services.
The second is to expand public participation in government generally, directly through competitive elections and indirectly through a broader array of consultations and public debate. Such participation puts pressure on policymakers, whether in the executive or the legislature, to pay attention to public service issues, to adopt policies that improve quality and coverage, and to strengthen administrative accountability systems. Civil society organizations must be at the forefront of any effort to strengthen the citizen's voice and empowering them is an important first step in rendering policy makers more accountable for service delivery.
Overall, increasing such participation is one of the greatest governance challenges facing this Region, and any Region with a legacy of limited public disclosure and restrictions on the media and public debate. But addressing this governance challenge is the only way for NE governments to continue building on past achievements in delivering public services, and in meeting the growing shortfall in ensuring appropriate public services for the next generation.
5.3 Outward-Export Promotion Policies
Close proximately to main export markets provides agriculture in the Region with good opportunities. Most countries of the Region especially the Mediterranean ones have strong economic ties with Europe. The Euro-Mediterranean Association Agreement negotiations have already been concluded with Algeria, Morocco, Tunisia, Jordan, Lebanon, Cyprus, Malta, Turkey, and the Palestinian Authority.
The core element of this agreement is the creation of bilateral free trade areas between each of the Near East countries and the EU by the year 2010. Agricultural goods are exempted from the free trade commitment but are subject to preferential trade rules. This means that for particular products tariff reductions are applied, limited to fixed quantities and certain periods of the year in many cases.
For the Near East Region, the EU is the principle trading partner, regarding imports as well as exports. Access to EU markets is therefore of central importance to the countries of the Near East. Almost 70% of total agricultural exports of the Near East countries go to the EU and about 30% of total agricultural imports come from the EU. These figures indicate that in relative terms the EU is a much more important trade partner for the Near East countries on their export side than on the side of their imports.
The composition of agricultural exports to the EU also differs widely from country to country. Fish is important only in the case of Algeria, Morocco and Tunisia. Olive oil accounts for more than 55% of Tunisia's agricultural exports to the EU and is quite unimportant for other countries. Wine has a significant share in the cases of Algeria and Lebanon only, and cotton accounts for more than 80% in the case of Egypt, whereas it is of no significance in the other countries of the Near East. Fruits and vegetables are important export products in trade with the EU for all of the NE countries except Syria and Lebanon. Production of fruits and vegetable and trade with EU is expected to increase further in future as the growing scarcity of water may drive many countries to shift further to the production of fruits and vegetable, which have a relatively high return to water use.
5.4 Urban Food Security
In-spite of the presence of food insecurity widely in rural areas in many countries of the Region, urban food security seem to increase and is expected to increase in importance in the future. Cities in the Near East have grown and continue to grow. In the year 2000 nearly two billion people lived in cities all over the world, and by 2030 this figure will have more than doubled. Due to recent implementation of the economic reform programmes including privatization and measures to reduce Government expenditure affecting earning capacity of labourers. Meanwhile, as cities expand so do the food needs of urban families. In most cities poverty rates are 30 percent and rising, consequently more and more people have difficulty in accessing the food they need. Protecting and promoting the food security of urban populations is therefore becoming an increasing concern for Governments in the countries of the Region.
5.5 Food Safety
Consumers and governments have being showing increasing concern for food safety. The last few years have witnessed the crises of mad cow disease in British cattle and dioxin in foodstuffs produced in Belgium. This has caused a lot of disruption to international trade. In November 2003, Spain banned imports of fresh citrus fruit from Argentina and Brazil. The Ministry of Agriculture said that inspections of fruit from these countries had shown a higher incidence of exotic organisms, including one that causes citrus canker.
In the Near East Region, few countries have been the subject of bans from developed countries imposed on their food exports. Iranian pistachios were banned from the EU and the Japanese markets because of their high content of aflatoxin. Egyptian peanuts have also been the subject of similar ban from the EU because of their high content in aflatoxin, while Egyptian potatoes underwent a ban because of brown rot. In both cases the economic loss for Egypt was big.
Food control systems in most of the NE countries are far from ideal. Many of the countries have not yet comprehensive and self-contained food legislation, which would meet the present day requirements in this field. Few countries with the technical assistance of FAO have started to up-date their food legislation by drafting and/or formulating a basic food law, and a comprehensive set of food regulations based on the FAO/WHO Codex Alimentarius Commission's work. The UAE and Jordan have recently updated and strengthened their food control infrastructure and introduced the risk based system in their food control set-ups for both domestic and imported food consignments. Egypt now is reviewing and up-dating its food standards in harmony with the Codex Alimentarius.
Food control legislation is also being up-dated in the line with WTO agreements. Food inspection services vary greatly from one country to another. In most countries, analytical service facilities are only adequate for simple routine analysis and as a consequence the food control service, at least in certain aspects, is minimal. In presence of comprehensive food legislation, and adequate inspection and analytical service, the success of a food control service in providing adequate and effective protection to the consumer as well as the import and export service is dependent on an overall proper administration, capable of overseeing, programming and directing the food control activities.
Accordingly, countries of the Region are in need of strengthening their national capacities aiming at updating food control infrastructure, in particular laboratory facilities to meet emerging threats of hazards and contamination of chemicals, microbial, or of physical origin, legislation to meet Codex requirements and WTO's agreements of the SPS and TBT including food quality and safety, inspection service and finally administration and enforcement. However, complying with these agreements might not be always easy for many of the countries in the Region because this requires human, technical and financial resources that could be lacking.
5.6 Organic Farming
Organic agriculture movement emerged and rapidly developed almost spontaneously during the last decades of the previous century, as a reaction to the fact that, for the first time in history, mankind is severely damaging the Earth's carrying capacity. The movement is strongly developed especially in Europe. From the 20ties to the 80ties it was a prerogative of a small group of farmers but it has significantly expanded during the last decades as result of the increasing public awareness.
Originally, organic farming was a sector of agriculture that developed to a large extent independently of governmental influence. Within the last few years, public interest in organic farming practices and products has been continually growing in response to increase environmental and health problems (e.g. BSE) linked to conventional farming systems. The main motivation for people, in the Western society to consume organic products will remain the assumed positive ecological impact of organic agriculture versus the known negative impact of conventional agriculture.
In the Near East Region, under the pressure of globalization many countries have liberalized their economy. This has led to public budget declining and forced governments to re-structure their economy even those with high crude oil returns. The agriculture sector was deeply affected by this movement and since that relevant policy in Near East have been seeking to increase their earning from export. Public structures, institutions have to lay down developmental strategies export oriented and encourage the private sector to play a greater role in agriculture sector. This trend has given in some countries of the Region (Tunisia, Egypt) an impulse to the introduction and development of organic agriculture. However, some specialists in Region do not feel that organic farming is able to respond to food security concerns. This attitude denotes their reservation and is likely to limit their motivation for policy changes to support organic agriculture.
Although the Region has a great potential for organic agriculture (i.e. the agro-climatic conditions are diverse and often favourable to grow many crops, farming practices are traditional with low external inputs and, easy to be converted to comply with organic requirements, and incentive measures, research training and extension structures are often in place for conventional agriculture and then can be used to promote organic farming) the business is being faced with several obstacles. These include: lacking of regulatory framework, inadequate infrastructure and logistics, lacking of know how of production, lacking of knowledge of markets requirements and developments, lacking of awareness about organic farming as a whole (KAHOULI, 2003).
5.7 Agricultural Safety Net Programmes
The Agricultural Safety Net Programmes intend to provide producers with the tools to reduce the impact of production and market risks on farm income. Safety net programmes are designed to ensure ongoing viability of the farm business by reducing fluctuations in farm income.
Producers today face an agricultural economy that is radically different from that which existed just a few years ago. Furthermore, the changes occurring in agriculture are continuing to escalate, resulting in both new opportunities and challenges. One of the foremost challenges is an environment that requires new and improved risk management tools and knowledge.
There are many risk management tools that could be available to farmers to reduce the risk of unpredictable decreases in farm income. Over the years, developed countries including US, EC members, Canada, etc. have developed a package of comprehensive risk management programmes to help producers in to effectively manage their risks. However, these risk management strategies cannot be considered in isolation. For example, there are some alternative private risk management strategies a producer can implement (such as forward contracting, futures and options, etc.) that are not available to the farmers in the Near East Region that will limit fluctuations in farm income in addition to or instead of publicly funded safety net programmes.
Agricultural Policy decision makers and analysts in some countries of the Near East Region including Egypt, Turkey, Tunisia and Morocco have started to discuss government run risk management tools and the programmes currently available to farmers in developed countries. These programmes attempt to reduce the impact of unexpected drops in income due to output price fluctuations, input cost increases and physical losses in commodity production. The safety net package may include: Net Income Stabilization Account, Crop Insurance, Market Revenue Insurance Programme, Self Directed Risk Management Programme, Ontario Farm Income Disaster Programme, Research and Development Programme, and Wildlife Damage Compensation.
5.8 Post-Cancun Reflections on Agriculture Policy Analysis
Lack of an agreement in Cancun is due largely to contention over high agricultural support and subsidies in wealthier countries as well as the so-called "Singapore" issues (investment, competition policy, transparency in government procurement and trade facilitation). The collapse of talks in Cancun will delay completion of the current round of trade talks and add uncertainty to the process. With a delay in the talks, the three pillars of agricultural trade (market access, export competition, and domestic support) still represent imposing/serious trade barriers. However, as tariff rates had been expected to be negotiated downward, analysis of non-tariff measures moves closer to the forefront. Intellectual property rights and labelling are increasingly important areas requiring more research. Other unresolved issues have emerged. These include sanitary and phytosanitary measures, use of labelling as a technical barrier to trade, mandatory country-of-origin labelling, and negotiations for reserving mandatory labelling for certain legitimate goals such as conveying essential information related to health, safety, and quality. Future research needs include more trade liberalization in processed products.
Sound empirical economic policy analysis is being used more in trade remedy and trade dispute settlements, but further work seem to be needed in the Near East Region related to appreciation of the new tools for analyzing the implications of trade remedies. For trade negotiations, economics policy analysis is surely need to be strengthened to provide general understanding of costs and benefits of more open markets, and projecting outcomes of specific options and proposals, in addition to providing historical factual analysis.
For example countries in the Region engaged in trade negotiations should be ready to assess and exchange information on the proposals introduced including the implications of the revisiting of the "green box" to ensure minimal trade distortion whilst at the same time ensuring appropriate coverage of measures which meet important societal goals such as conservation of landscapes, the protection of the environment, enhancement of animal welfare, the sustained vitality of rural areas and poverty alleviation, and food security for developing countries. In addition, thorough analysis is needed on the implications of the proposed tariff reduction to 0-5% on an unspecified number of tariff lines, since these tariff cuts could imply a major threat to small farmers, driving them out of business, and poverty in rural areas could be aggravated, emigration in the cities could increase. The application to developing countries of the Swiss formula and the third tariff category need to be assessed at the country level, vis-à-vis applying the different tariff models [linear reduction formula, and Non-Ad Valorem (NAV) Rates - Specific Rates (e.g. $2/Kg), Mixed Rates (e.g. 30% or $2/kg, whichever higher), Compound rates (e.g. 30% + $2/kg), and Technical rates, bound rates, and applied rates]. Simulation of the impact of the proposed measures needs to be individually or collectively carried out by concerned policy analysis agencies in the countries of the Near East. This is a challenge for policy analysts in the Region who should provide decision makers with needed assessment of the proposed options.
5.9 Regional Cooperation and Regional Programmes for Food Security
There seem to be increasing needs for regional priorities and cooperation to harmonize and support national efforts to achieve the goals of food security of sustainable agricultural development. Regional Programmes that tend to set the ground for facilitating trade and complement national efforts are highly needed in the Near East. Within the countries' priorities Regional cooperation and enhancing intra-regional agricultural trade is being recognized and expected to gain more importance in the near future.
In general, Regionalism has become one of the most powerful forces shaping the world economy today. In 1996, around 53 percent of the world trade was conducted within Regional trading blocs. The most powerful bloc is the European Union (EU) followed by NAFTA. Other Regional trading arrangements have been formed in the developing world; the most important are ASEAN in Asia and MERCOSUR in Latin America.
Many key factors heavily conditioned the interest in regional integration agreement in the Near East Region. First, many of the countries in the Region have been pursuing economic reform to reduce the economic role of the public sector and have been shifting away from import-substitution to export-led industrialization strategies. As a result, there is greater scope for the Region to expand intra-trade and to exploit investment opportunities for complementarity and economies of scale. Moreover, the implementation of the package of trade liberalization agreed to in the Uruguay Round continues to confront the Near East Region with less-advantageous access to the markets of their key trading partners in the EU. The response to this challenge has been the European initiative to conclude a new generation of Association Agreements with the Southern Mediterranean countries. Such Association Agreements involve the creation of a regional free trade area with the EU in year 2010.
The agreements are expected to foster trade and development, and to attract foreign direct investment in the Southern Mediterranean Region. However, the danger of such Association Agreements lies in creating a bilateral trade pattern which discourages (trade diversion) intra-Arab regional economic ties. If all the Arab Southern Mediterranean countries do not have comparable FTAs with each other - that is if they do not conclude a single free trade area - then the common denominator will be the EU. Foreign investors could choose to invest in the EU as being the "hub", because of the access that it offers to all Arab countries as a "spoke", if the latter maintain high intra-regional trade barriers. Therefore, minimizing the so-called "hub and spoke" effect can be a major reason to have a single free trade area among all Arab countries.
A broad and comprehensive regional trade agreement can be regarded as a more viable response to attracting foreign direct investment by the "large market effect" and to exploiting the opportunities offered by the privatization programmes pursued by individual Arab countries.
These changes, following the UR AoA, are expected to have pronounced effects on both the magnitude and direction of intra-regional trade. First, the main effect on intra-regional trade will emanate from the tariffication process, as non-tariff protection in most of the countries in the Region discriminates against agricultural products that could be competitively supplied from other countries within the Region. Hence, tariffication on a MFN basis ensures positive effects on intra-regional trade. Benefits of tariffication will go beyond improvement in the magnitude of intra-trade as it may serve to improve its stability as well. Second, reduction in import tariffs should generally encourage a region-wide exchange of products on an MFN basis, though this might have a negative impact on the exchange within the existing economic groupings in the Region (e.g. CAEU, GCC, ECO and AMU) due to the erosion of the margins of preferences within these groupings. This current large gap between bound and applied tariffs in many NE countries could be exploited by RTAs in the Near East.
Other WTO agreements such as the SPS, TBT, and TRIPS offer great opportunity for the NE countries to harmonise their standards and regulations, which would provide an environment conducive to the promotion of intra-regional trade. Indeed the most significant effect of the UR would emerge from its rules of conduct and the general improvement in policy discipline.
The broad scene seems to suggest that the WTO agreements, on balance, would create limited but positive improvement in intra-regional agricultural trade. The magnitude of the increased benefits depends a great deal on the way each country implement its UR commitments and on the level of co-ordination within and between existing sub-regional groupings.
5.10 Updating National Strategies for Sustainable Agricultural Development and Food Security
In support to all of the above policy and institutional concerns, the international community has identified the reduction of poverty and hunger as overarching goals for development policy in the new millennium. Commitments to achieve the Millennium Development Goals (MDGs) constitute a framework for development actions and a benchmark for measuring development progress. Countries are now in the process of formulating strategies and policies to fulfil the commitments they have subscribed to in the context of the MDGs.
Reducing hunger and food insecurity is an essential part of the international development agenda, as stated in the Rome Declaration of the World Food Summit in 1996 and re-affirmed by the participants in the World Food Summit: five years later (WFS:fyl). The Millennium Declaration reflected the WFS target by making hunger and extreme poverty reduction an overarching Millennium Development Goal.
Many countries in the Region need to prioritize the implementation and completion of policy reforms within the national strategy taking into considerations these recent domestic, Regional and world developments, as well as the Governments commitments within the international community.
Many countries in the Region have already started implementing policy reforms, notably structural adjustment programmes (SAPs) in the early 1980s. Countries like Egypt, Turkey, Iran, Morocco, Pakistan, Syria and Sudan, for example, have cut explicit food subsidies. Such policy reforms affect both availability and access to food in a number of ways. The radical changes involved in SAPs, while essential for increased food production, have costs that threaten the short-term welfare of the poor. However, initial assessment of reforms in agriculture in Egypt, Morocco and Tunisia in the second half of the 1980s suggests that these reforms helped overall agricultural output to increase to record levels in early 1990s
This might not, however, be the outcome in all countries adopting reforms. Rising agricultural prices may have a limited effect on agricultural output, in the short- and medium-term, since farmers are unable to increase their output quickly, due chiefly to lack of new technical options and to the constraints they face in acquiring modern inputs. Furthermore, the rise in input prices can have a negative effect on production. None-the-less, the macro-economic policy reforms, with their attendant short-term pains, would in the long run, if properly implemented, lead to healthy socio-economic systems. Alleviation of non-price constraints such as limited rural infrastructure, inadequate credit and lack of access to markets, are also essential to produce significant increases in output.
Revising the national strategic framework for sustainable agricultural development to cover at least the above issues and concerns seem to be highly needed. Governments of the Region should be prepared with the appropriate institutional and technical capacities to deal with these issues within a comprehensive strategy for sustainable food security and agricultural development. FAO is trying to support the national efforts in that regard.
6. Concluding Remarks
Although the countries of the Near East Region have achieved improvements in reforming their economies and creating a more favourable enabling environment for economic and social prosperity, they still face several challenges for achieving the goals of sustainable rural and agricultural development. From the preceding description and analysis, it can be concluded that many countries in the Near East Region are still facing the need for a suitable institutional and technical capacity for responding to the requirements of formulating, analyzing, adjusting and monitoring policies for agricultural and rural development within the context of a changing domestic and international environment. However, these needs differ from one country to the other, according to their specific conditions and recent history.
In-spite of the scarcity of land and water resources, and the existing institutional and policy challenges, several countries of the Region have a number of niches and comparative advantage edges that need to be better echoed in establishing competitiveness and enhancing efforts to combat food insecurity and poverty. This requires adequate institutional and technical capabilities to establish priorities within well articulated policy options as part of a strategic framework for sustainable agricultural development and food security at the national and household levels.
Policy Analysts in the Region are faced with challenges to update their knowledge and capacities to provide timely and sound analysis of the above mentioned issues. In such analysis, recent paradigms and contemporary knowledge/know how should be closely considered within the changing socio-economic and political environment at the national, regional and international levels. The Governments should exert more efforts to update their national strategies and harmonize them with regional efforts and programmes for food security. Several policy and institutional issues and considerations seem to be of particular relevance to the countries of the Near East Region. These current and emerging policy issues include natural resources use and management, sustainability and environmental issues, trade liberalization, comparative advantages and competitiveness of agriculture, agricultural investment, the changing role of the state, improving rural people's organization, improving the organizational setup of policy analysis, market and marketing institutions, property rights, enhancement of the pro-poor orientation of rural financial services, prioritizing the implementation and completion of policy reforms, accessing new technologies and information base, governance and decentralization, establishing strategic frameworks including outward-export promotion strategies, promotion of intra-regional agricultural trade and trade facilitation, food safety, organic farming, agricultural safety net programmes, and post-Cancun reflections on agricultural development in general and on agriculture policy analysis in particular.
FAO and other partners in development are working closely with the countries of the Region in identifying needs and developing the institutional and technical capacities of governments and other stakeholders in the area of agricultural policies analysis.
The comparison of, and the lessons drawn from, the experience of countries of the Region will help each of them take advantage of the experience of others, establishing links within the Region among institutions having to render similar services to the respective governments and countries, and improve the ability of international donor community to assist them upon request to meet emerging needs for adaptation and improvement.
Bibliography
Dahlman Carl (2002): Technology, development, and the role of the World Bank, Working paper for Human Capital Development and Operation Policy (http://www.worldbank.org/html/extdr/hnp/hddflash/workp/wp_00053.html).
Datt, Gaurav and Martin Ravallion. 1998. "Why Have Some Indian States Done Better than Others at Reducing Rural Poverty?" Economica 65: 17-38.
David Gibbon, John Dixon and Aidan Gulliver edits (2001): Farming Systems and Poverty: improving farmers' livelihoods in a changing world: Malcolm Hall ISBN 92-5-104627-1
El Ghonemy, M. Riad, 1993, Land, Food and Rural Development in North Africa. London. IT and Westview Press.
FAO. 2002. Regional Workshop on Irrigation Advisory and Training Services in the Near East. Regional Office for the Near East. Cairo, Egypt.
FAO. 2002. The State of Food and Agriculture- Agriculture and Global Public Goods- Ten Year after the Earth Summit. Rome, Italy.
IFAD 2002. IFAD Strategy for Rural Poverty Reduction in Near East and North Africa (http://www.ifad.org/operations/regional/2002/pn/pn.htm)
Intergovernmental Panel on Climate Change. 2001. Special report on the regional impacts of climate change: an assessment of vulnerability. Geneva.
KAHOULI, H. (2003) " Organic farming in NENA Region: challenges and opportunities"
CUREMISII2, Cairo, Egypt. Mellor, J (2000): Faster More Equitable Growth: The Relation Between Growth in Agriculture and Poverty Reduction, CAER II Discussion Paper No. 70. Harvard Institute for International Development
N. Chbouki. 1992 Spatio-temporal characteristics of drought as inferred from tree-ring data in Morocco. University of Arizona. (Ph.D. thesis); and C.W. Stockton. 1988. Current research progress toward understanding drought. In Drought, water management and food production, Proceedings, International conference, Agadir, Morocco, 21-24 November 1985.
NERC 26 (2002): Trade policies, intra-regional trade and opportunities for sustainable agricultural development, the 26th FAO regional Conference for the Near East, Tehran, Islamic Republic of Iran, 9 - 13 March 2002.
NERC 26 (2002): Biotechnology for Agriculture, Forestry and Fisheries in the Near East Region, the 26th FAO Regional Conference for the Near East, Tehran, Islamic Republic of Iran, 9 - 13 March 2002.
RNEP (2003) "National Strategies and Regional Programmes for Food Security within the Context of Economic Integration in the Near East" a paper presented at the High-Level Technical Workshop "Regional Programmes for Food Security in the Near East: Towards Sustainable Food Security and Poverty Alleviation" Jeddah, 8-9 October 2003.
Appendix 1
Contribution of Agriculture to GDP and GDP per capita for the Countries of the Near East (2001)
|
COUNTRY |
TOTAL |
Agric. |
Agric. |
Per Capita |
|
(Bill$) |
(Bill$) |
% |
$ |
|
|
Afghanistan |
NA |
NA |
NA |
NA |
|
Algeria |
54.9 |
5.4 |
9.8 |
1780 |
|
Bahrain |
7.9 |
0.1 |
1.0 |
12117 |
|
Cyprus |
9.1 |
0.4 |
4.6 |
11519 |
|
Djibouti |
0.6 |
0.0 |
3.5 |
932 |
|
Egypt |
98.5 |
16.7 |
17.0 |
1426 |
|
Iran, Islamic Rep of |
114.1 |
21.7 |
19.0 |
1599 |
|
Iraq |
NA |
NA |
NA |
NA |
|
Jordan |
8.8 |
0.3 |
3.7 |
1742 |
|
Kazakhstan |
22.2 |
2.0 |
9.0 |
1379 |
|
Kuwait |
32.8 |
0.1 |
0.3 |
16641 |
|
Kyrgyzstan |
1.5 |
0.6 |
37.3 |
301 |
|
Lebanon |
16.7 |
2.0 |
12.0 |
4696 |
|
Libyan Arab Jamahiriya |
41.0 |
3.7 |
9.0 |
7581 |
|
Malta |
3.6 |
0.1 |
2.8 |
9184 |
|
Mauritania |
1.0 |
0.2 |
20.9 |
364 |
|
Morocco |
33.9 |
5.4 |
15.8 |
1114 |
|
Oman |
19.9 |
0.6 |
3.0 |
7590 |
|
Pakistan |
58.6 |
14.1 |
24.0 |
404 |
|
Qatar |
16.2 |
0.1 |
0.4 |
28174 |
|
Saudi Arabia |
186.5 |
9.7 |
5.2 |
8869 |
|
Somalia |
NA |
NA |
NA |
NA |
|
Sudan |
12.5 |
4.9 |
38.9 |
393 |
|
Syrian Arab Republic |
19.5 |
5.3 |
27.0 |
1174 |
|
Tajikistan |
1.1 |
0.3 |
29.4 |
179 |
|
Tunisia |
20.0 |
2.3 |
11.6 |
2092 |
|
Turkey |
145.2 |
18.7 |
12.9 |
2147 |
|
Turkmenistan |
6.0 |
1.7 |
28.8 |
1241 |
|
United Arab Emirates |
53.0 |
1.9 |
3.5 |
19970 |
|
Uzbekistan |
11.4 |
3.9 |
34.0 |
451 |
|
Yemen |
9.1 |
1.4 |
15.4 |
478 |
|
Grand total |
1005.6 |
85.5 |
8.5 |
1685 |
Appendix 2
Agricultural, Rural, Urban and Total Population (000) for
the Countries of the Near East Region
(Estimates for the Year
2001)
|
|
Total |
Rural |
Urban |
Agric. |
Non |
Total |
Total |
|
Afghanistan |
22,474 |
17,411 |
5,063 |
14,976 |
7,498 |
9,153 |
6,099 |
|
Algeria |
30,841 |
13,034 |
17,807 |
7,307 |
23,534 |
10,857 |
2,613 |
|
Bahrain |
652 |
49 |
603 |
7 |
645 |
307 |
3 |
|
Cyprus |
790 |
236 |
554 |
65 |
725 |
390 |
32 |
|
Djibouti |
644 |
102 |
542 |
505 |
139 |
315 |
248 |
|
Egypt |
69,080 |
39,601 |
29,479 |
24,805 |
44,275 |
26,566 |
8,665 |
|
Iran, Islamic Rep of |
71,369 |
25,133 |
46,236 |
18,465 |
52,904 |
25,062 |
6,515 |
|
Iraq |
23,584 |
7,690 |
15,894 |
2,272 |
21,312 |
6,568 |
633 |
|
Jordan |
5,051 |
1,075 |
3,976 |
561 |
4,490 |
1,624 |
180 |
|
Kazakhstan |
16,095 |
7,110 |
8,985 |
3,110 |
12,985 |
8,012 |
1,386 |
|
Kuwait |
1,971 |
77 |
1,894 |
21 |
1,950 |
845 |
9 |
|
Kyrgyzstan |
4,986 |
3,284 |
1,702 |
1,251 |
3,735 |
2,220 |
557 |
|
Lebanon |
3,556 |
353 |
3,203 |
123 |
3,433 |
1,295 |
45 |
|
Libyan Arab Jamahiriya |
5,408 |
651 |
4,757 |
303 |
5,105 |
1,846 |
103 |
|
Malta |
392 |
35 |
357 |
6 |
386 |
149 |
2 |
|
Mauritania |
2,747 |
1,126 |
1,621 |
1,444 |
1,303 |
1,213 |
638 |
|
Morocco |
30,430 |
13,345 |
17,085 |
10,877 |
19,553 |
12,093 |
4,271 |
|
Oman |
2,622 |
620 |
2,002 |
917 |
1,705 |
749 |
262 |
|
Pakistan |
144,971 |
96,574 |
48,397 |
73,030 |
71,941 |
53,737 |
25,033 |
|
Qatar |
575 |
41 |
534 |
7 |
568 |
317 |
4 |
|
Saudi Arabia |
21,028 |
2,799 |
18,229 |
1,928 |
19,100 |
6,338 |
581 |
|
Somalia |
9,157 |
6,593 |
2,564 |
6,475 |
2,682 |
3,906 |
2,762 |
|
Sudan |
31,809 |
20,017 |
11,792 |
19,136 |
12,673 |
12,557 |
7,554 |
|
Syrian Arab Republic |
16,610 |
8,008 |
8,602 |
4,535 |
12,075 |
5,375 |
1,468 |
|
Tajikistan |
6,135 |
4,437 |
1,698 |
2,031 |
4,104 |
2,467 |
817 |
|
Tunisia |
9,562 |
3,232 |
6,330 |
2,319 |
7,243 |
3,913 |
949 |
|
Turkey |
67,632 |
22,946 |
44,686 |
20,365 |
47,267 |
31,851 |
14,485 |
|
Turkmenistan |
4,835 |
2,665 |
2,170 |
1,594 |
3,241 |
2,111 |
696 |
|
United Arab Emirates |
2,654 |
339 |
2,315 |
125 |
2,529 |
1,386 |
65 |
|
Uzbekistan |
25,257 |
16,035 |
9,222 |
6,814 |
18,443 |
11,086 |
2,991 |
|
Yemen |
19,114 |
14,339 |
4,775 |
9,536 |
9,578 |
5,746 |
2,867 |
|
AGG_COUNTRIES |
652,031 |
328,957 |
323,074 |
234,910 |
417,121 |
250,054 |
92,533 |
Source: Http://devdata.worldbank.org
Appendix 3
Values of Total and Agricultural Trade in the Near East
Region in 2001
(Thousands US$)
| |
Total Trade |
Agricultural Trade |
||
|
Imports |
Exports |
Imports |
Exports |
|
|
Algeria |
11,529,800 |
20,000,000 |
2,610,717 |
26,834 |
|
Bahrain |
4,263,500 |
5,545,600 |
517,078 |
25,280 |
|
Cyprus |
3,929,600 |
975,912 |
646,088 |
401,286 |
|
Djibouti |
170,000 |
25,000 |
114,587 |
3,166 |
|
Egypt |
12,756,000 |
5,600,000 |
3,222,034 |
628,459 |
|
Iran |
18,138,000 |
23,716,000 |
2,461,185 |
969,755 |
|
Iraq |
4,748,000 |
11,087,000 |
1,596,050 |
9,231 |
|
Jordan |
4,831,360 |
2,293,650 |
841,832 |
316,118 |
|
Kazakhstan |
6,363,000 |
8,646,900 |
504,897 |
441,100 |
|
Kuwait |
7,733,880 |
16,141,700 |
1,132,023 |
40,912 |
|
Kyrgyzstan |
467,200 |
476,100 |
61,227 |
86,184 |
|
Lebanon |
7,291,070 |
889,300 |
1,213,880 |
169,126 |
|
Libya |
4,131,620 |
8,376,830 |
790,104 |
31,204 |
|
Malta |
2,722,050 |
1,956,600 |
233,057 |
39,580 |
|
Mauritania |
395,700 |
360,600 |
159,256 |
34,149 |
|
Morocco |
10,961,000 |
7,122,000 |
1,669,118 |
702,898 |
|
Oman |
5,796,180 |
11,070,800 |
1,286,763 |
615,645 |
|
Pakistan |
10,192,000 |
9,238,000 |
1,519,426 |
1,019,891 |
|
Qatar |
3,385,130 |
10,869,100 |
418,768 |
5,406 |
|
Saudi Arabia |
31,223,000 |
68,063,000 |
4,656,803 |
439,491 |
|
Somalia |
324,000 |
140,000 |
55,458 |
65,675 |
|
Sudan |
1,585,500 |
1,688,700 |
347,992 |
323,527 |
|
Syria |
4,033,010 |
4,699,780 |
1,303,499 |
1,368,540 |
|
Tajikistan |
687,500 |
651,600 |
111,190 |
90,588 |
|
Tunisia |
9,552,000 |
6,609,000 |
845,591 |
453,598 |
|
Turkey |
41,399,100 |
31,334,200 |
2,421,377 |
4,093,661 |
|
Turkmenistan |
2,097,000 |
2,632,000 |
140,723 |
101,424 |
|
UAE |
50,400,000 |
84,000,000 |
2,445,285 |
862,438 |
|
Uzbekistan |
3,136,900 |
3,264,900 |
296,216 |
945,643 |
|
Yemen |
2,298,900 |
3,199,900 |
857,236 |
87,450 |
|
AGG COUNTRIES |
266,542,000 |
350,674,172 |
34,479,461 |
14,398,258 |
Appendix 4
Total Area and Land Use in the Countries of the Near East
Region in 2001
(000 Hectares)
|
|
Total Area |
Permanent |
Agricultural |
Arable
& |
|
Afghanistan |
65,209 |
30,000 |
38,054 |
8,054 |
|
Algeria |
238,174 |
31,800 |
40,052 |
8,252 |
|
Bahrain |
71 |
4 |
10 |
6 |
|
Cyprus |
925 |
4 |
117 |
113 |
|
Djibouti |
2,320 |
1,300 |
1,301 |
1 |
|
Egypt |
100,145 |
|
3,338 |
3,338 |
|
Iran, Islamic Rep of |
164,820 |
44,000 |
60,548 |
16,548 |
|
Iraq |
43,832 |
4,000 |
10,090 |
6,090 |
|
Jordan |
8,921 |
742 |
1,142 |
400 |
|
Kazakhstan |
272,490 |
185,098 |
206,769 |
21,671 |
|
Kuwait |
1,782 |
136 |
151 |
15 |
|
Kyrgyzstan |
19,990 |
9,291 |
10,758 |
1,467 |
|
Lebanon |
1,040 |
16 |
329 |
313 |
|
Libyan Arab Jamahiriya |
175,954 |
13,300 |
15,450 |
2,150 |
|
Malta |
32 |
|
10 |
10 |
|
Mauritania |
102,552 |
39,250 |
39,750 |
500 |
|
Morocco |
44,655 |
21,000 |
30,720 |
9,720 |
|
Oman |
30,950 |
1,000 |
1,081 |
81 |
|
Pakistan |
79,610 |
5,000 |
27,160 |
22,160 |
|
Qatar |
1,100 |
50 |
71 |
21 |
|
SaudiArabia |
214,969 |
170,000 |
173,794 |
3,794 |
|
Somalia |
63,766 |
43,000 |
44,071 |
1,071 |
|
Sudan |
250,581 |
117,180 |
133,833 |
16,653 |
|
Syrian Arab Republic |
18,518 |
8,273 |
13,723 |
5,450 |
|
Tajikistan |
14,310 |
3,500 |
4,560 |
1,060 |
|
Tunisia |
16,361 |
4,090 |
8,999 |
4,909 |
|
Turkey |
77,482 |
12,378 |
38,733 |
26,355 |
|
Turkmenistan |
48,810 |
30,700 |
32,515 |
1,815 |
|
United Arab Emirates |
8,360 |
305 |
543 |
238 |
|
Uzbekistan |
44,740 |
22,800 |
27,630 |
4,830 |
|
Yemen |
52,797 |
16,065 |
17,660 |
1,595 |
|
AGG-COUNTRIES |
2,165,266 |
814,282 |
982,962 |
168,680 |
Source: Http://devdata.worldbank.org
Appendix 5
Water Resources in the Near East Region

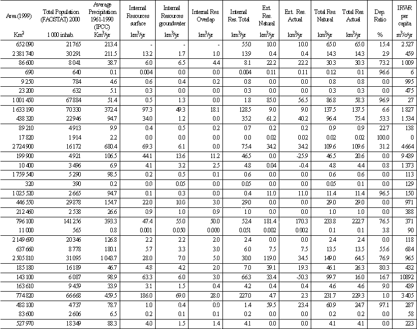
Aggregation of data can only be done for internal renewable water resources and not the total renewable water resources, as that would result in double counting of shared water resources.
For some countries large discrepancies exists between national and IPCC data on rainfall average.
In these cases, IPCC data were modified to ensure consistency with water resources data.
Source: FAOSTAT 1997 and Review of World Water Resources by Country, 2003
Appendix 6
Comparisons of Yield of Selected Crop in the Near East
Region to the Developed and Developing Countries and the World Average
(1998-2002)
(MT/Ha)
| |
1998 |
1999 |
2000 |
2001 |
2002 |
|
|
Wheat |
|
|||||
|
World |
2.70 |
2.76 |
2.72 |
2.75 |
2.72 |
|
| |
Developed Countries |
2.76 |
2.81 |
2.74 |
2.82 |
2.72 |
| |
Developing Countries |
2.62 |
2.70 |
2.70 |
2.67 |
2.72 |
| |
Near East |
1.82 |
1.83 |
1.82 |
1.94 |
1.96 |
|
Rice, Paddy |
|
|||||
|
World |
3.82 |
3.99 |
3.92 |
3.95 |
3.92 |
|
| |
Developed Countries |
6.03 |
6.16 |
6.27 |
6.62 |
6.55 |
| |
Developing Countries |
3.76 |
3.93 |
3.85 |
3.88 |
3.84 |
| |
Near East |
3.81 |
3.96 |
4.04 |
3.92 |
3.97 |
|
Maize |
|
|||||
|
World |
4.43 |
4.38 |
4.28 |
4.42 |
4.34 |
|
| |
Developed Countries |
7.02 |
7.14 |
6.95 |
7.24 |
6.98 |
| |
Developing Countries |
3.08 |
2.99 |
2.85 |
3.01 |
3.01 |
| |
Near East |
3.54 |
3.58 |
3.76 |
3.81 |
3.90 |
|
Potatoes |
|
|||||
|
World |
15.97 |
15.30 |
16.39 |
15.86 |
16.13 |
|
| |
Developed Countries |
16.72 |
16.49 |
18.01 |
17.10 |
17.36 |
| |
Developing Countries |
15.03 |
13.94 |
14.63 |
14.54 |
14.85 |
| |
Near East |
17.67 |
19.24 |
18.88 |
19.19 |
19.37 |
|
Oranges |
|
|||||
|
World |
16.76 |
16.90 |
18.13 |
17.24 |
17.56 |
|
| |
Developed Countries |
25.80 |
22.20 |
26.63 |
25.80 |
26.43 |
| |
Developing Countries |
14.54 |
15.60 |
15.96 |
15.03 |
15.32 |
| |
Near East |
14.20 |
14.41 |
14.27 |
14.86 |
14.53 |
|
Grapes |
|
|||||
|
World |
7.85 |
8.34 |
8.65 |
8.29 |
8.24 |
|
| |
Developed Countries |
7.33 |
7.92 |
8.25 |
7.78 |
7.64 |
| |
Developing Countries |
9.22 |
9.43 |
9.68 |
9.52 |
9.68 |
| |
Near East |
7.14 |
6.89 |
7.41 |
7.06 |
7.32 |
|
Sugar Beets |
|
|||||
|
World |
38.81 |
39.53 |
41.00 |
38.33 |
40.80 |
|
| |
Developed Countries |
39.23 |
40.24 |
41.71 |
39.30 |
42.69 |
| |
Developing Countries |
37.18 |
36.22 |
37.86 |
34.19 |
33.44 |
| |
Near East |
39.95 |
37.95 |
40.56 |
35.60 |
32.95 |
|
Sugar Cane |
|
|||||
|
World |
64.66 |
65.65 |
64.16 |
64.68 |
65.80 |
|
| |
Developed Countries |
85.06 |
81.88 |
81.42 |
72.77 |
75.03 |
| |
Developing Countries |
63.39 |
64.62 |
63.05 |
64.17 |
65.21 |
| |
Near East |
58.82 |
56.32 |
56.35 |
56.53 |
58.54 |
Source: FAOSTAT 2002
Appendix 7
Prevalence of undernourishment in Near East Countries (1998-2000)
|
Country |
Number (millions) |
% to country's population |
|
Iraq |
5.9 |
27% |
|
Jordon |
03 |
6% |
|
Kuwait |
0.1 |
4% |
|
Lebanon |
0.1 |
3% |
|
Saudi Arabia |
0.6 |
3% |
|
Syria |
0.5 |
3% |
|
United Arab Emirates |
0.0 |
- |
|
Yemen |
5.9 |
33% |
|
Algeria |
1.7 |
6% |
|
Egypt |
2.5 |
4% |
|
Libya |
0.0 |
- |
|
Morocco |
2.0 |
7% |
|
Tunisia |
0.0 |
- |
|
Somalia |
6.0 |
71% |
|
Sudan |
6.0 |
21% |
|
Mauritania |
0.3 |
12% |
|
Afghanistan |
14.9 |
25% |
|
Azerbaijan |
1.9 |
3% |
|
Iran |
3.8 |
6% |
|
Kazakhstan |
1.2 |
2% |
|
Kyrgyz Republic |
0.4 |
1% |
|
Pakistan |
26.0 |
44% |
|
Tajikistan |
3.9 |
7% |
|
Turkey |
1.6 |
3% |
|
Turkmenistan |
0.4 |
1% |
|
Uzbekistan |
4.7 |
8% |
Source: FAO, the State of Food Insecurity in the World, 2002)