by
W. Ligtvoet, A.I. Chande and O.I.I.W. Mosille
Haplochromis Ecology Survey Team
Mwanza, Tanzania
SUMMARY
Following the increase of the Nile perch (Lates niloticus) stock in Lake Victoria, an important artisanal Lates fishery developed. In the Mwanza area (southeast Lake Victoria), the Lates fishery strongly increased since 1984 and in 1986 more than an estimated 50 percent of the fishermen were exclusively targetting for this species. A survey was carried out to gain information on gear and catches of the most important artisanal Lates fisheries, viz. gillnet, beach seine and longline fishery. Fishing on Lates meant that new gear had to be developed. At present, the Lates fishery is mainly prosecuted with gillnets with mesh sizes ranging from 6 to 16 inches. The length frequency distributions of the Lates catches from gillnets, beach seines and longlines are presented. An estimate of the mean weight of the Lates catches per boatlanding for gillnets and beach seines is given as well. The fact that most gillnets are home-made and of no standardized materials and dimensions hampers the establishment of an accurate index of fishing effort. Concerning beach seines it is suggested for statistical data collection to take the size of the seines into account.
INTRODUCTION
With a surface of approximately 70 000 km2, Lake Victoria is the largest lake of Africa. The lake supports an important fishery with at present a total annual catch of more than 100 000 t, comprising 20–25% of the fish production of the three riparian countries, Tanzania, Uganda and Kenya (CIFA, 1985; Ssentongo and Welcomme, 1985). Of old, an artisanal multispecies fishery existed on some 17 fish species or species groups, of which the tilapiines were the main target species (CIFA, 1985). During the past 25 years important changes have taken place concerning the lake fisheries.
Around 1960, the Nile perch, Lates niloticus, a large piscivorous fish, was introduced into Lake Victoria, in order to feed on the under-utilized haplochromine stock which encompassed not less than 82% of the total benthic fish biomass (Kudhongania and Cordone, 1974). Via predation by Lates the haplochromine biomass would be converted into a good and valuable consumption fish.
Although Lates spread over the whole lake within a few years, the catches during the first 20 years after its introduction remained low. Only in 1980 the Lates stock suddenly increased exponentially in the Nyanza Gulf (Kenya), raising within three years from near zero to 20 000 t/year (Okemwa, 1984). Since 1982 a strong increase in Nile catches was observed in the Manza area (southern Lake Victoria, Figure 1), where within three years these catches comprised nearly 40% of the total catch (Figure 2).
The increasing Lates stock appeared to have a strong impact on the indigenous fish fauna (Figure 2): the haplochromines virtually disappeared from many areas of the lake and most, formerly important, stocks of table fish were reduced to low levels (Arunga, 1981; Okemwa, 1981; Hughes, 1986; Goudswaard, 1987; Goudswaard and Ligtvoet, 1987). Only Oreochromis niloticus and Rastrineobola argentea seem to be able to coexist with or even to flourish in the presence of Lates (Arunga, 1981; Okemwa, 1984; Hughes, 1986).
Following the growth of the Lates stock, a Lates fishery developed and at present this fishery is the most important and most profitable one throughout the countries bordering the lake. In Tanzania, in the Mwanza area, five major types of fishing exist, four at artisanal and one at industrial level:
The artisanal fishery comprises:
an angling rod fishery.
The industrial fishery consists of a fleet of 17 trawlers of various sizes with otter trawl nets.
Concerning the artisanal Lates fishery, especially the gillnet, beach seine and longline fisheries are of importance. The angling rod fishery almost exclusively fetches tilapiines.
In order to be able to catch the strong, large-sized Lates, fishermen had to develop new fishing methods and gear. Surveys of the Tanzanian Fisheries Division of the Ministry of Lands, Natural Resources and Tourism indicate that increasing numbers of large meshed gillnets are being used nowadays, their mesh size ranging from 6 to 16 inches (Figure 3). More detailed data on the gear used in the artisanal fishery and their catch composition were not available.
With the purpose to gain more information, a survey was started under the artisanal fishermen, during which the following data were collected:
length composition of the catch.
In this report the initial results of the survey are given which provide basic data on catches and efforts in the artisanal gillnet, beach seine and longline fishery in the Mwanza area. The survey programme will be continued on a monthly basis.
METHODS
In the Mwanza area eight landing sites have been visited, of which five were selected for the monthly monitoring programme (Figure 1). Three of these are located along the Mwanza Gulf, with their main fishing grounds in the Gulf. Catches from Juma Island are also landed in Mwanza. The two other landing sites with their fishing grounds are situated along the Speke Gulf.
The total number of boats landing at each landing site was recorded, as well as their target species. For the survey only fishermen fishing for Lates were interviewed. For each surveyed canoe the following data were registered:
frequency of fishing activity (daily, seasonal).
The total length of the fishes was measured to the nearest centimetre below. Weights of the catches were obtained by converting length into weight data (ln W = -11.96 + 3.17 ln L). Mesh sizes given refer to the size of the stretched mesh.
RESULTS AND CONCLUSIONS
General
In total 118 canoes were met, of which 62 (52.4%) were used by specialized Lates fishermen. Of these fishermen aiming for Lates, 61 were found to use gillnets and one used beach seine. Fishermen of 80 canoes were interviewed; 67 (84%) were found to use gillnets, 5 (7.5%) beach seines, and 7 (8.5%) longlines. Eighteen of the fishermen (canoes) interviewed were not especially aiming for Lates, but as will be described below, various gear for other target species nowadays mainly fetch Lates.
Fishermen started to fish on Lates as early as 1980, but only in 1984 the strongest increase in this fishery occurred (Figure 4). Figure 4 also shows the cumulative percentages (100% means 118 canoes) of the number of fishermen who fished on Lates in the respective years.
Most fishermen switched from other fisheries to the Lates fishery. Inside the Mwanza Gulf about 30% of the fishermen used to fish for tilapiines and haplochromines, while outside the Gulf respectively 21% and 13% of the fishermen formerly fished for Schilbe mystus, Bagrus docmac and Clarias mossambicus. Previous Dagaa (Rastrineobola argentea) fishermen form 5.5% of the actual Lates fishermen. During the years 1980 to 1984, 3.5% of the fishermen came from occupations outside the fishery to become Lates fishermen, whereas this percentage rose to 19% during the next three years (1984–86).
Gillnets
In Figure 5 the frequency distribution is given of the mesh sizes used by the gillnet fishermen. The specialized Lates fishermen use meshes of 6–10 inches and occasionally even 12–16 inches. The relatively small meshed gillnets (3–5.5 inches), which were formerly used for other fish species, are nowadays also mainly used for Lates. Inside the Mwanza Gulf these fishermen used to fish for tilapiines, while outside the Gulf with these nets mainly catfishes (Bagrus and Clarias) were targeted for.
A large variety of materials appeared to be used for making gillnets. Besides nets of original and most suitable nylon netting twine, nets were found to made of nylon thread recovered from waste material from the motor car tyre factory, from split nylon cords and even from fibres obtained by unravelling polyethylene fertilizer bags. According to the fishermen, nets made of tyre twine is best for catching Lates, while split nylon cords and polyethylene fibres are less efficient.
Net setting depends on the light circumstances at night. In clear nights with a bright moon, nets are set near the bottom, whereas during dark nights the nets are set higher in the water-column, sometimes even near the surface. In areas where a trawl fishery exists (Mwanza), nets are only set during the night, because of the risk that the netting material is damaged by trawling during daytime. On the other fishing grounds the nets are left in the water during the day, but then normally catch very little fish. On all grounds the nets are lifted at dawn.
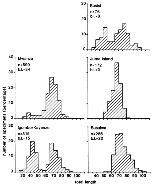
The composition of the catches from the visited fishing grounds (see Figure 1) are given in Figure 6. The length composition of the catch, landed by the specialized Lates fishermen, is very similar for the different landing sites. The length of the fishes ranges from 55 cm to 90 cm with a mean of about 65–75 cm. Small Lates (30–55 cm) were caught by fishermen with small mesh sized gillnets, mainly 4 inches. As stated earlier, these nets aim either for tilapiines (Mwanza, Busisi) or Bagrus and Clarias (Igombe and Kayenze). At the latter sites, 144 small Lates were measured from these small meshed gillnets, against only six Bagrus.
Mean fish landings per canoe are given in Table 1 for the various landing sites. At Busisi, in the most southern part of the Mwanza Gulf, the catches are lowest (40 kg/boatlanding), while those from Juma Island are highest (150 kg/boatlanding). Catches from the other landing sites are of a same order of magnitude, ranging from 67 to 87 kg/boatlanding.
Beach Seines
In the Mwanza Gulf beach seines were found with lengths ranging from 150 to 400 m, and heights of 2.5–4 m, with ropes of 200–400 m. The smallest beach seines are landed by 6–7 fishermen, the largest ones by 12–15 fishermen. On average, it takes one hour (smallest seine) to 3–4 hours to bring the net into position and pull it ashore again. All beach seines encountered here were small meshed, having wings of 1–1½ and codends of ¾–1 inch meshes. Formerly these beach seines were aimed at catching tilapiines and haplochromines.
Outside the Gulf fishermen use beach seines measuring 300–850 m, having ropes of 300–1 700 m. On the largest beach seine 30 fishermen collaborate and it takes them more than 10 hours to complete one haul. Like the seines used inside the Mwanza Gulf, all medium-size beach seines from outside the Gulf are small meshed with wings of 1–1½ inches and codends of 3/4–1 inch. A new development in the beach seine fishery for Lates is the use of larger meshed material: the largest beach seines have wings of 6 inches mesh size tapering to 4 inches, and a codend mesh size of 1 inch.
In Figure 7 the catch composition of the medium and large beach seines are given. The latter nets catch a remarkable number of large-sized Lates, measuring up to 145 cm. In Table 1 the mean weight of the catch per boatlanding is given for the various landing sites. Remarkably high catches are obtained with the large beach seine at Semba (850 m), which fetches about 900 kg in one haul. The weighted mean of the beach seine catches is 237 kg/boatlanding.
Longlines
In fishing with longlines, usually three to four persons collaborate using one canoe. Of the seven canoes encountered, four canoes fished with 1 200 hooks, two with 1 000 hooks, and one canoe with 400 hooks. Generally, haplochromines and dagaa are used as bait.
Although said to be aiming for lungfish (Protopterus aethiopicus), Clarias and Bagrus, Lates was found to constitute more than 50% of the catch. The species composition of a typical catch of 73 fishes was as follows: Protopterus 8%, Clarias 30%, Bagrus 1.5%, Tilapia 7% and Lates 53.5%.
As can be seen from Figure 8, the length distribution of Lates caught with hooks covers a wide range from 30 to 125 cm, which corresponds to about 32 kg/boatlanding, according to the length - weight key used.
DISCUSSION
Assuming that our sample of canoes was more or less representative for the whole Mwanza area canoe fishery, nowadays an estimated more than 50% of the canoes are being used for Lates fishery. Locally, however, there are significant differences in contribution of the various fisheries. Inside the Mwanza Gulf, for instance, almost all fishermen (78%) are especially aiming for Lates, whereas outside the Gulf an important Schilbe fishery still exists (at Busulwa 40% of the canoes) together with the fishery for Bagrus, Clarias, Labeo, and dagaa.
Almost 30% of the Mwanza area fishermen who currently are fishing for Lates, originate from the fishery on Oreochromis. This supposes a relief in fishing pressure on the latter stock and therefore we might expect a certain recovery of the overfished Oreochromis stock in the Mwanza area. The same has happened in Kenya, where similar trends in fishing patterns occurred (e.g., Okemwa, 1984).
The development of the Lates fishery has severely been hampered by lack of suitable netting materials and, as described, a variety of non-proper netting materials is used instead. This fact puts a burden on the establishment of an accurate index of fishing effort, because the home-made gillnets are of non-standardized materials and dimensions. Therefore, information on the number of nets per canoe might not simply be used as a fishing-effort index. Consequently, the figures in Table 1 must be considered as an indication only of the order of magnitude of the gillnet catches per canoe.
The size of the beach seines seems to have, as might be expected, a correlation with the catches obtained. Up to now we do not have enough data on the beach seine fishery in order to be able to establish the quantitative relation between size of beach seine and catch. Presently, for the Tanzanian fisheries statistics, only the number of beach seines is recorded. However, for obtaining representative and reliable data on catch and effort, it may be desirable to take into consideration also the size of the beach seines used.
ACKNOWLEDGEMENTS
We would like to thank Dr F.C. Roest for his useful comments on the manuscript. We are obliged to Mrs E.H.F.M. Straetmans, who helped in processing the data, screened the text and typed the manuscript. Mrs J.H.M. Dijkhuizen-van Elk is thanked for typing the final version. We are grateful to Mr M. Brittijn for drawing the figures. Furthermore, thanks are due to the Tanzanian Fisheries Division in Mwanza for provision of the required data on the local fisheries. Finally, we like to thank the Tanzanian fishermen, who kindly and patiently cooperated in answering questions and measuring catches.
REFERENCES
Arunga, J.O., 1981. A case study of the Lake Victoria Nile perch, Lates niloticus, fishery. In Proceedings of the Workshop of the Kenya Marine and Fisheries Research Institute on aquatic resources of Kenya. Mombasa, Kenya, July 1981. Nairobi, Kenya National Academy for the Advancement of Arts and Sciences, pp. 165–83
Committee for Inland Fisheries of Africa (CIFA), 1985. Report of the third session of the Sub-Committee for the development and management of the fisheries of Lake Victoria. Jinja, Uganda, 4–5 October 1984. FAO Fish.Rep. (335):145 p.
Goudswaard, P.C., 1987. A comparison of trawl surveys in 1969/70 and 1984/85 in the Tanzanian part of Lake Victoria. Rep. Haplochromis Ecol.Surv.Team (HEST), Mwanza/Leiden, (36)
Goudswaard, P.C. and W. Ligtvoet, 1987. Recent developments in the fishery for haplochromines (Pisces: Cichlidae) and Nile perch, Lates niloticus (Pisces: Centropomidae) in Lake Victoria. Rep. Haplochromis Ecol.Surv.Team (HEST), Mwanza/Leiden, (35)
Hughes, N.F., 1986. Changes in the feeding biology of the Nile perch, Lates niloticus (L) (Pisces: Centropomidae) in Lake Victoria, East Africa, since its introduction in 1960, and its impact on the native fish community of the Nyanza Gulf. J.Fish Biol., 19:541–8
Kudhongania, A.W. and A.J. Cordone, 1974. Batho-spatial distribution patterns and biomass estimates of the major demersal fishes in Lake Victoria. Afr.J.Trop.Hydrobiol.Fish., 3(1):15–31
Okemwa, E.N., 1981. Changes in fish species composition of Nyanza Gulf, Lake Victoria. In Proceedings of the Workshop of the Kenya Marine and Fisheries Research Institute on aquatic resources of Kenya. Mombasa, Kenya, July 1981. Nairobi, Kenya National Academy for the Advancement of Arts and Sciences, pp. 138–56
Okemwa, E.N., 1984. Potential fishery of Nile perch, Lates niloticus (Pisces: Centropomidae) in the Nyanza Gulf of Lake Victoria, East Africa. Hydrobiologia, 108:121–6
Ssentongo, G.W. and R.L. Welcomme, 1985. Past history and current trends in the fisheries of Lake Victoria. FAO Fish.Rep., (335):123–38
Table 1
Mean weight of the catch per boatlanding for beach seines and gillnets (weight mean is calculated on the basis of the number of boatlandings)
| Landing site | No. of boatlandings | Mean weight (kg) catch/boatlanding | |||
| beach seines | gillnets | beach seines | gillnets | ||
| Busisi | - | 8 | - | 40 | |
| Mwanza | - Gulf | 12 | 34 | 95 | 87 |
| - Juma | - | 3 | - | 151 | |
| Semba | 3 | - | 902 | - | |
| Igombe/Kayenze | 3 | 15 | 140 | 67 | |
| Busulwa | - | 22 | - | 76 | |
| Total No. boatlandings | 18 | 82 | |||
| Mean weight | 237 | 78 | |||

Figure 1. Sketch map of the South-East part of Lake Victoria.
Fishing grounds of the various landing sites are
indicated by shading.
S: Semba I: Igombe K: Kayenze

Figure 2. Species composition as a percentage of the total catch in the Mwanza area over the period 1979–1985. Data from the Tanzanian Fisheries Division of the Ministry of Lands, Natural Resources and Tourism.

Figure 3. Composition of the net fleet in the Mwanza area
regarding the mesh sizes. Figures are given in
inches.
Data from the Tanzanian Fisheries Division of the
Ministry of Lands, Natural Resources and Tourism.

Figure 4. Number of fishermen, in percentage of specialized Lates fishermen, who started to fish for Lates in each year between 1980–1986 (bars) and cumulative percentages of the total numbers of fishermen who were aiming at Lates during these years (broken line).

Figure 5. Composition of the net fleet, with regard to the mesh sizes, of the fishermen in the Mwanza area who are targetting for Lates.

Figure 6. Length frequency distributions of the gill net
catches of Lates recorded at five landing sites
(see fig.1).
b.l. = number of boatlandings

Figure 7. Length frequency distributions of the beach seine
catches of Lates, recorded at four landing sites
(see fig.1).
Samples of Mwanza and Igombe & Kayenze concern medium
sized beach seines. Samples of Semba and Busulwa
are from larger beach seines (see text). From
the Busulwa catches only the larger specimens were
measured.
b.l. = number of boatlandings

Figure 8. Length frequency distribution of the summed long
line catches of Lates recorded at Busisi (6 boats)
and Busulwa (1 boat).
b.l. = number of boatlandings
by
P.C. Goudswaard
Haplochromis Ecology Survey Team
Mwanza, Tanzania
INTRODUCTION
Lake Victoria, Africa's largest lake with a surface area of approximately 70 000 km2 is situated in one of the most densely populated areas of East Africa. The lake's fishery has for long been regarded as an important source of protein in an area where malnutrition and protein deficiency is common. A wide variety of local fish catching methods, based on locally available products and knowledge of fish behaviour are used in the shallow areas of the lake.
In the early 1970s engine powered bottom trawling started and presently a fleet of 15 ships maximally is operating in the southern Tanzanian waters. The successful introduction of the piscivorous Nile perch around 1960 is now affecting the original fish community of the lake. It is most likely that the current multispecies fisheries are to be replaced by one comprising a few species only (CIFA, 1985). As these developments have major implications for the fisheries of the lake, a trawl survey in different areas is currently undertaken, in order to collect information about the present status of the different fish stocks. This paper gives the results of the first part of this sampling programme, viz., the period October 1984 until October 1985. These results are compared with those of the first trawl survey done in Lake Victoria between January 1969 and May 1970 (Kudhongania and Cordone, 1974).
MATERIAL AND TECHNIQUES
From October 1984 until October 1985 a trawl survey was made during which six stations, over a range from shallow (2 m) to deep (57 m) water (Figure 1), were fished by R/V KIBOKO, a 105-hp stern trawler. All fishing was done with a bottom trawlnet with a headrope of 18 m and a codend mesh size of 1.9 cm (stretched mesh). Trawling speed was approximately 3 n.mi/hour. Trawlshots lasted half an hour. Due to logistic problems, the samples could not be taken at regular time intervals, but an attempt was made to fish each station at least once a month. In general, at least four trawlshots, each of half an hour, were made at one station. However, at the deep water station (57 m) only two trawlshots per sampling day could be made. The catch data were recorded immediately after emptying the codend of the trawl. These data comprised: (a) total weight per species (haplochromine species were lumped for this purpose), and (b) the standard length (SL) of each fish (with exclusion of the haplochromine and small Barbus sp.). Subsamples of haplochromine cichlids were collected and analysed. A report on these data will be published separately.
The Sampling Stations (Figure 1)
Station 1 - Buzumu area. A shallow water area 2–4 m deep in the southern part of the Mwanza Gulf, fringed by extensive papyrus swamps. Bottom with very soft mud and decaying plant materials. During the survey 66 trawlshots were made here.
Station 2 - Luanso Bay. A shallow water area 4–6 m deep which forms a southeastern bay of the Mwanza Gulf. Almost completely fringed by papyrus swamps. Bottom covered with very soft mud. This area has been fished intensively at irregular periods since 1980 by at least one commercial trawler. During the survey 122 trawlshots were made here.
Station 3 - Mwanza Gulf. A station at 12–14 m depth in the middle of the Mwanza Gulf between Hippo Island and Nyamatala island. The bottom consists of fine mud. The area is exposed to strong northern winds and fringed on the west and east side by rocky shores and small bays with some papyrus. This area has been fished intensively by several trawlers since 1973. During the survey 93 trawlshots were made here.
Station 4 - Entrance. The entrance of the Mwanza Gulf, an area 16–25 m deep. The major part is deeper than 20 m with a muddy bottom. This area is sometimes exposed to strong northern winds. The southwest and the southeast part are bordered by the rocky shores of the Mwanza Gulf. An intensively fished area since 1976 by four trawlers (175 hp) of a fishmeal plant. during the survey 44 trawlshots were made in this area.
Station 5 - Northeast Juma. An open area northeast of Juma Island where the water is 30–35 m deep with a muddy bottom. This area is hardly fished. The area is exposed to sometimes strong eastern and northern winds which can make fishing difficult. The nearby Juma Island has a rocky shore. During the survey 40 trawlshots were made in this area.
Station 6 - Cherenze. An open area in Lake Victoria approximately 20 n.mi north of Kome Island. The bottom is at 57 m depth and consists of very fine mud. An unfished area of the lake. High waves caused by strong winds makes fishing in this area sometimes difficult or impossible. During the survey 22 trawlshots were made in this area.
RESULTS AND DISCUSSION
Comparison of Ships and Gear
The results of R/V KIBOKO trawl survey are given in Tables 1 and 2. They can be compared with the data of R/V IBIS (Tables 3 and 4), which did a trawl survey for the whole lake in 1969/70 (Kudhongania and Cordone, 1974). Tables 1–4 concern data in relation to depth. In Table 5, trawl results of the two surveys in the same areas (1, 2, 3 - IXB); (4, 5 - IXA) and (6 XII) are compared (Roman capitals refer to the areas of Kudhongania and Cordone, 1974). to enable comparison all data of Tables 1, 3 and 5 are calculated to kilometres per hour. As the chance of catching a relative scarce species is smaller in catches of half an hour than in catches of an hour, the frequency of occurrence in R/V KIBOKO catches were calculated by combining two subsequent catches of half an hour. When comparing the present data with those of Kudhongania and Cordone, one should keep in mind that each depth range for R/V KIBOKO represents only one station, which was sampled throughout the year, whereas R/V IBIS trawls were distributed over the whole Tanzanian part of the lake, but each station was sampled only once. Comparison with catches done during exploratory surveys with R/V KIBOKO revealed that the catches at stations 1 to 5 are similar to those at similar depths in other areas (Goudswaard and Ligtvoet, 1987) and thus representative for a larger part of the lake. For the vast area of the lake with a depth of more than 50 m, only data of station 6 are available and it is not known whether this is representative for the whole area. In spite of different ships, viz., ships length 17 and 12 m, 180 and 105 hp, for R/V IBIS and R/V KIBOKO respectively, trawling speed was the same (3 n.mi/hour). However, the headropes of the trawlnets were 24 and 18 m respectively. This means that the efficiency of the ships might differ approximatley 30% in favour of R/V IBIS, which fished with codend meshes of 38, 51, 64 and 83 mm. While R/V KIBOKO fished with a 20 mm codend mesh only. This makes the efficiency of the latter ship higher for the smaller fish species (e.g., haplochromines). One may regard a possible difference of 30% in catch efficiency for the larger species a rather feeble basis for a sound comparison of the catch rates of the two surveys. However, the differences in catch rates are often much larger and with no other data available it seems the only way to investigate what happened with the trawlable fish stock over the last 15 years.
Comparison of Catch Rates and Frequency of Occurrence
Tilapiines
In Lake Victoria five tilapiine species are present. The indigenous Tilapia esculenta and T. variabilis and the introduced T. zillii, T. nilotica and T. leucosticta. There has been a dramatic decrease in the catch rate of these species. (For convenience the generic name Tilapia is used, despite the generic revision by Trewavas, 1984.)
T. esculenta. As is seen from Table 1, not a single fish was caught during the R/V KIBOKO survey. During 3½ years of research in and near the Mwanza Gulf, 1982–85, the author found this species only four times in pools, isolated by papyrus from the main lake. T. esculenta, formerly the main interest of the lake fishermen (Graham, 1929), is nowadays of no importance anymore for the fisheries of Lake Victoria. The almost complete extinction of T. esculenta in the main lake may have been caused by predation by the introduced T. nilotica, by hybridization with this species (Welcomme, pers. comm.) or by overfishing.
T. variabilis. Was already of minor importance in the R/V IBIS catches. The frequency of occurrence decreased.
T. nilotica. This speices is commercially the most interesting tilapiine species of the lake at present. When only water deeper than 4 m is taken into account, the catch rate of this species decreased since 1970.
T. zillii. A species which stays in very shallow water and cannot be caught effectively by trawling.
T. leucosticta. A rare species. During 3½ years of research this was found only twice in beach seine catches.
Catfishes
In Lake Victoria six species of catfish occur, four of which are important in trawl catches, Bagrus docmac, Clarias mossambicus, Schilbe mystus and Synodontis victoriae.
Bagrus docmac is strongly reduced especially in the shallow areas. Remarkably, at the deep water (50–60 m) where a special, commercial longline and gillnet fishery on this species is conducted, this fish virtually did not decrease.
Clarias mossambicus. The catch rate of this species has decreased strongly in all areas. It is remarkable that in contrast to Bagrus, this species is nowadays also scarce in deep water. Clarias mossambicus spawns during the rainy season in streams (Greenwood, 1966). From incidental observations, it is known that local fishermen during this period close almost all tributaries of the lake with traps and make good catches of this species migrating from the lake.
Schilbe mystus. A small catfish on which a small-scale gillnet fishery exists. This species seems to show a small decrease in catch rate. However, it is unknown whether this species is effectively sampled by bottom trawl, as it seems partly pelagic (pers. obs.).
Synodontis victoriae. The catch rate of this fish decreased. Remarkably, more large size specimens are found in deep rather than shallow waters.
Synodontis afrofischeri and Xenoclarias spp. Unimportant fishes in both catches of R/V IBIS and R/V KIBOKO.
Lungfish
Protopterus aethiopicus. As the African lungfish must surface for breathing, it is plausible that this fish is mainly restricted to shallow waters. During the R/V KIBOKO survey this species was never found below 25 m depth, however, Kudhongania and Cordone (1974) report this species from depths over 50 m. In the shallow water there seems to be some decrease in the R/V KIBOKO catches as compared to those of R/V IBIS. However, this could be due to the differences in gear efficiency. The higher resistance against fishing pressure may be due to the fact that their spawning and nursery areas are in swamps, where fishing is difficult or impossible. During the R/V KIBOKO trawl survey no small (<40 cm length) lungfishes were caught (Figure 2).
Mormyrus kannume, Labeo victorianus, Barbus altianalis, Alestes jacksoni, A. nurse and Mastacembelus frenatus. All unimportant fishes which are caught occasionally by trawling.
Haplochromines
As is evident from Table 1, in the period 1984–85 haplochromines still form the major part in weight of the trawl catches in the shallow waters of the southern part of Lake Victoria. However, when comparing the trawl results, from R/V KIBOKO with those of R/V IBIS, 15 years earlier, it appears that the catches declined considerably. This decline increases with depth. Apparently the stock of haplochromines is presently much smaller than before. This observation is supported by the declining trend in the catch rates of R/V MDIRIA, a trawler which has been operating for more than 10 years in the Mwanza Gulf (Goudswaard and Ligtvoet, 1987). This ship (135 hp; 25 m headrope; 19 mm codend mesh; 3 n.mi trawling speed) made maximum catches in 1976 at stations 2 and 3 of more than 2 000 kg/hour. As is seen in Figure 3, the catches of R/V IBIS and R/V KIBOKO decline with increasing depth, the stock in water deeper than 20 m vitually disappeared. This is not a local phenomenon as can be derived from Figure 4, which gives the catch rates of haplochromines at different depths in the southwest corner of the lake during a trawl survey by R/V KIBOKO in June 1985.
Besides the decline in catch rate, the species composition of the trawl catches changed. During the beginning of the trawl activities in the Mwanza Gulf area (1972–73) several kilogrammes of larger haplochromines longer than 15 cm were selected out of each trawl catch (Kukowski, 1978). These fishes were mainly piscivorous haplochromines. Of the approximately 45 piscivorous haplochromines which were frequently found in catches in the Mwanza Gulf during 1977–78 (van Oijen, pers. comm.) now only approximately five species are still present at low frequency of occurrence. Not only the larger piscivorous species disappeared, also the somewhat smaller (approximately 10 cm SL) molluscivorous species are vanishing, e.g., Haplochromis “ursus” has not been found anymore since 1982, while the formerly common molluscivorous H. ptistes and H. teegelaari have become scarce. The adult size range of several species, even the smaller one (6–8 cm SL) decreased to 4–6 cm SL (Witte and Goudswaard, 1984; Witte, 1987). The decrease in size of all haplochromines in the trawl catches from one area can be seen in Figure 5. A similar phenomenon resulted from a trawl fishery for haplochromine cichlids in Lake Nyasa (Turner, 1977). The strong decrease and changes in stock composition of the haplochromines is most probably the result of two phenomena: overfishing and predation by Nile perch. The total haplochromine catches per year made by trawlers in the Mwanza area (Mwanza Gulf, western part of the Speke Gulf and the area near Juma Island), can be estimated as follows for the period 1981 through 1983.:
the four trawlers of the fishmeal factory caught approximately 3 500 t/year (Watson, 1983);
four wooden trawlers of cooperatives and private owners were operating approximately 200 days/year with each a daily catch of 800 kg, which results in a total catch of 640 t/year, and
a government trawler fishing approximately 250 days/year, with a mean catch of 4.5 t/day, which makes approximately 1 125 t/year.
Thus the total amount of haplochromines caught in the Mwanza area by trawling was approximately 5 200 t/year. No data are available of the amounts of haplochromines which were caught by gillnets and beach seines in the same area.
Lates niloticus
Nile perch was introduced in to Lake Victoria at the beginning of the 1960s in the northern part of the lake. From there it spread gradually southward. The fish increased slowly in the southern waters as is evident from the catch records of R/V MDIRIA during the period 1979–80 (Goudswaard, in preparation). Remarkable was that the number of small-size Nile perch (20 cm SL) was always very small. The fishes caught were almost always more than 40 cm SL (pers obs. and pers. comm. with local fishermen). During the survey in 1970 only two or three Nile perch were caught in the Tanzanian waters. In the beginning of the 1980s there was a sudden strong increase of Nile perch in the southern waters. Still the majority were large adult fishes, but in 1985 large numbers of juveniles smaller than 10 cm SL appeared in the catches of R/V KIBOKO. Now Nile perch has colonized the whole lake and the species has, or will become a major part of the fish stock all over the lake. The distribution of Nile perch with regard to depth can be seen from Table 1. Data obtained in June 1985 in the west lake zone confirm this distribution (Goudswaard and Ligtvoet, 1987). As is obvious from Table 1, the abundance of Nile perch increased with depth and the bulk of the stock is staying in deeper waters, which is hardly fished by local fishermen. The monthly catches of Nile perch show an irregular character (Goudswaard and Ligtvoet, 1987). Also the catches made at one station at the same day can vary strongly. For this reason it is thought that Nile perch is shoaling in Lake Victoria.
Nile perch is a predatory fish on all other fish species of the lake. All species are recorded as stomach content. At this moment haplochromines form without any doubt the main food source in the areas where there are still haplochromines available (pers. observ.). At the 35-m deep station (5) it was observed that Lates feeds on the shrimp Caridina nilotica. The former stock of haplochromines - mainly shrimp eating species - is strongly reduced in this area. Canibalistic behaviour in the southern part of the lake (Hughes, 1983) has thus far not been observed, but may be expected when the haplochromines become virtually absent. The accelerated growth of the population is of great concern for the future fisheries of the lake. Almost all fishing activities are now concentrating on the very profitable Nile perch fishery. However, the growth of the Nile perch stock is mainly based on the availability of haplochromines as a food source. The Nile perch inevitably causes the decline of the haplochromine stock (Goudswaard and Ligtvoet, 1987). Nile perch lacks the capacity of utilizing all food sources which are exploited by haplochromines (e.g., snails, detritus and phytoplankton; van Oijen, Witte and Witte-Maas, 1981) and will only replace haplochromines as a predator for zooplankton and shrimps (Ogutu-Ohwayo, 1985). This might mean that part of the primary production will not or unefficiently be converted into fish protein after the depletion of the haplochromines (Witte and Goudswaard, 1984). Finally this may result in a lower fish biomass production in Lake Victoria.
A fascinating question is how Lates niloticus could conquer the whole lake within 25 years. Being introduced in Ugandan waters in 1959, 1962 and 1963 (Arunga, 1981) in relative small numbers, it is remarkable that these fishes could reproduce. May be shoaling behaviour has played an important role by keeping the fishes together during the initial low densities. Another remarkable aspect is that the growth of the population has been so tremendous. It means that the juveniles of Lates must be very successful in survival.
REFERENCES
Arunga, J., 1981. A case study of the Lake Victoria Nile perch, Lates niloticus, fishery. In Proceedings of the Workshop of the Kenya Marine and Fishery Research Institute on aquatic resources of Kenya. Mombasa, Kenya, July 1981. Nairobi, Kenya National Academy for the Advancement of Arts and Sciences, pp. 165–83
Bergstrand, E. and A.J. Cordone, 1971. Exploratory bottom trawling in Lake Victoria. Afr.J.Trop.Hydrobiol.Fish, 1(1):13–23
Committee for Inland Fisheries of Africa (CIFA), 1985. Report of the third session of the Sub-Committee for the development and management of the fisheries of Lake Victoria. Jinja, Uganda, 4–5 October 1984. FAO Fish.Rep., (335):145 p.
Graham, M., 1929. A report on the fishing survey of Lake Victoria 1927–28. London, Waterlaw and Sons Ltd., 255 p.
Greenwood, P.H., 1966. The fishes of Uganda. Kampala, The Uganda Society, 127 p.
Hughes, N.F., 1983. A study of the Nile perch, an introduced predator, in the Kavirondo Gulf of Lake Victoria. Report of the Oxford University Nile perch project 1983. Oxford, Oxford University
Kudhongania, A. and A.J. Cordone, 1974. Past trends, present stocks and possible future state of the fisheries of the Tanzanian part of Lake Victoria. Afr.J.Trop.Hydrobiol.Fish., 3(2):167–81
Kukowski, G., 1978. Trawling results in the Tanzanian waters of Lake Victoria by the Freshwater Fisheries Institute Nyegezi, 1973–77. Nyegezi, Freswater Fisheries Institute
Ogutu-Ohwayo, R., 1985. The effects of predation by Nile perch, Lates niloticus (Linne), introduced into Lake Kyoga (Uganda) in relation to the fisheries of Lake Kyoga and Lake Victoria. FAO Fish.Rep., (335):18–41
Oijen, M.J.P. van, F. Witte and E.L.M. Witte-Maas, 1981. An introduction to ecological and taxonomic investigations on the haplochromine cichlids from the Mwanza Gulf of Lake Victoria. Neth.J.Zool., 31(1):149–74
Turner, J.L., 1977. Changes in the size structure of cichlid populations of Lake Malawi resulting from bottom trawling. J.Fish.Res. Board Can., 34(2):232–8
Watson, C.E.P., 1983. The Lake Victoria fisheries in East Africa. Coordination of fishery research and development services in Kenya, Uganda and Tanzania. Bruxelles, EEC project 5604.36.94.14
Witte, F., 1987. From form to fishery. Thesis. University of Leiden
Witte, F. and P.C. Goudswaard, 1984. Aspects of the haplochromine fishery in southern Lake Victoria. FAO Fish.Rep., (335):81–8
Table 1
Mean catch rates (kg/hour) by depth interval in the Mwanza area of Lake Victoria by R/V KIBOKO, 1984–85
| Station | 1 | 2 | 3 | 4 | 5 | 6 |
| Depth interval (m) | 2–4 | 4–6 | 12–14 | 16–25 | 35 | 57 |
| No. trawls | 66 | 122 | 93 | 40 | 40 | 22 |
| Haplochromis spp. | 200 | 431 | 280 | 153 | 3 | 38 |
| Tilapia esculenta | - | - | - | - | - | - |
| Tilapia variabilis | + | + | + | + | - | - |
| Tilapia nilotica | 24 | 3 | + | - | - | - |
| Tilapia zillii | - | - | - | - | - | - |
| Tilapia leucosticta | - | - | - | - | - | - |
| Bagrus docmac | + | + | 4 | 8 | 28 | 29 |
| Clarias mossambicus | + | 2 | 2 | 5 | 6 | 4 |
| Schilbe mystus | + | + | + | 2 | + | + |
| Xenoclarias spp. | - | - | - | - | + | + |
| Protopterus aethiopicus | 18 | 29 | 21 | 5 | - | - |
| Lates niloticus | 18 | 47 | 74 | 102 | 125 | 20 |
| Synodontis victoriae | + | + | + | + | 4 | 12 |
| Synodontis afrofischeri | + | + | + | + | + | + |
| Barbus altianalis | - | + | - | + | - | - |
| Labeo victorianus | + | + | + | - | - | - |
| Mormyrus kannume | - | - | + | - | + | - |
| Alestes spp. | - | - | - | - | - | - |
| Mastacembelus frenatus | + | + | + | + | - | - |
| Total | 260 | 512 | 381 | 275 | 166 | 103 |
+ = catch rates < 1 kg/hour
- = absence
Table 2
Species percentage frequency of occurrence by depth interval during bottom trawling in the Mwanza area of Lake Victoria by R/V KIBOKO, 1984–85
| Station | 1 | 2 | 3 | 4 | 5 | 6 |
| Depth interval (m) | 2–4 | 4–6 | 12–14 | 16–25 | 35 | 57 |
| No. trawls | 66 | 122 | 93 | 40 | 40 | 22 |
| Haplochromis spp. | 100 | 100 | 100 | 100 | 45 | 100 |
| Tilapia esculenta | - | - | - | - | - | - |
| Tilapia variabilis | 57 | 51 | 7 | 4 | - | - |
| Tilapia nilotica | 100 | 78 | 18 | - | - | - |
| Tilapia zillii | - | - | - | - | - | - |
| Tilapia leucosticta | - | - | - | - | - | - |
| Bagrus docmac | 45 | 67 | 100 | 100 | 95 | 91 |
| Clarias mossambicus | 66 | 46 | 49 | 63 | 75 | 55 |
| Schilbe mystus | 64 | 43 | 78 | 88 | 50 | 27 |
| Xenoclarias spp. | - | - | - | - | 5 | 36 |
| Protopterus aethiopicus | 84 | 87 | 80 | 33 | - | - |
| Lates niloticus | 88 | 98 | 100 | 100 | 95 | 73 |
| Synodontis victoriae | 66 | 23 | 72 | 79 | 80 | 100 |
| Synodontis afrofischeri | 66 | 21 | 67 | 42 | 40 | 18 |
| Barbus altianalis | - | - | - | - | - | - |
| Labeo victorianus | 18 | 17 | 9 | - | - | - |
| Mormyrus kannume | - | - | - | - | 15 | - |
| Alestes spp. | - | - | - | - | - | - |
| Mastacembelus frenatus | 21 | 7 | 25 | 8 | - | - |
Table 3
Mean catch rates (kg/hour) by depth for the whole Tanzanian section of Lake Victoria by R/V IBIS, 1970 (after Kudhongania and Cordone, 1974)
| Depth interval (m) | 4–9 | 10–19 | 20–29 | 30–39 | 40–49 | 50–59 | 60–69 | 70–79 |
| No. trawls | 59 | 95 | 52 | 32 | 31 | 20 | 14 | 5 |
| Haplochromis spp. | 628.0 | 884.6 | 551.5 | 534.4 | 397.5 | 525.6 | 242.4 | 38.9 |
| Tilapia esculenta | 89.0 | 46.4 | 9.9 | 0.7 | - | - | - | - |
| Tilapia variabilis | 1.1 | 0.3 | 0.0 | 0.0 | - | - | - | - |
| Tilapia nilotica | 12.2 | 1.5 | - | - | - | - | - | - |
| Tilapia zillii | 0.4 | 0.0 | - | - | - | - | - | - |
| Tilapia leucosticta | 0.0 | - | - | - | - | - | - | - |
| Bagrus docmac | 23.2 | 44.2 | 52.9 | 40.1 | 30.6 | 33.4 | 35.7 | 0.0 |
| Clarias mossambicus | 34.9 | 43.2 | 39.9 | 21.7 | 14.9 | 12.9 | 13.0 | 5.4 |
| Schilbe mystus | 1.6 | 3.3 | 2.8 | 0.7 | 0.3 | 0.1 | 0.0 | - |
| Xenoclarias spp. | 0.0 | 0.0 | 0.2 | 0.2 | 0.3 | 0.5 | 0.2 | 0.0 |
| Protopterus aethiopicus | 41.3 | 19.3 | 8.6 | 5.7 | 1.7 | 0.7 | - | - |
| Lates niloticus | - | 0.1 | 0.0 | - | - | - | - | - |
| Synodontis victoriae | 0.6 | 2.5 | 5.7 | 8.2 | 12.0 | 26.1 | 40.4 | 10.7 |
| Synodontis afrofischeri | 0.0 | 0.1 | 0.0 | 0.0 | 0.0 | 0.0 | 0.0 | - |
| Barbus altianalis | 0.1 | 0.2 | 0.3 | 0.4 | 0.2 | - | - | - |
| Labeo victorianus | 0.2 | 0.6 | 0.0 | - | - | - | - | - |
| Mormyrus kannume | 0.7 | 0.4 | 0.2 | 0.4 | - | 0.1 | 0.0 | - |
| Alestes spp. | 0.0 | - | - | - | - | - | - | - |
| Mastacembelus frenatus | 0.0 | 0.0 | 0.0 | - | - | - | - | - |
| Total | 833.3 | 1046.7 | 672.0 | 612.5 | 457.5 | 599.4 | 331.7 | 55.0 |
Table 4
Species percentage frequency of occurrence by depth interval during bottom trawling in the Tanzanian waters of Lake Victoria by R/V IBIS, 1970 (after Kudhongania, 1974)
| Depth interval (m) | 4–9 | 10–19 | 20–29 | 30–39 | 40–49 | 50–59 | 60–69 | 70–79 |
| Haplochromis spp. | 100.0 | 100.0 | 100.0 | 100.0 | 100.0 | 100.0 | 100.0 | 100.0 |
| Tilapia esculenta | 100.0 | 92.9 | 73.1 | 28.1 | 3.1 | - | - | - |
| Tilapia variabilis | 70.9 | 34.7 | 3.0 | 1.5 | - | - | - | - |
| Tilapia nilotica | 56.4 | 32.7 | - | - | - | - | - | - |
| Tilapia zillii | 9.1 | 2.0 | - | - | - | - | - | - |
| Tilapia leucosticta | 7.3 | - | - | - | - | - | - | - |
| Bagrus docmac | 98.2 | 96.9 | 97.0 | 100.0 | 90.6 | 85.0 | 85.7 | 3.0 |
| Clarias mossambicus | 100.0 | 100.0 | 91.0 | 100.0 | 90.6 | 100.0 | 92.9 | 100.0 |
| Schilbe mystus | 65.5 | 65.3 | 79.1 | 71.9 | 53.1 | 40.0 | 35.7 | - |
| Xenoclarias spp. | 1.8 | 7.1 | 26.9 | 43.8 | 62.5 | 70.0 | 92.9 | 60.0 |
| Protopterus aethiopicus | 100.0 | 83.7 | 64.2 | 43.8 | 15.6 | 5.0 | - | - |
| Lates niloticus | - | 1.0 | 1.5 | - | - | - | - | - |
| Synodontis victoriae | 58.2 | 76.5 | 91.0 | 90.6 | 96.9 | 95.0 | 100.0 | 100.0 |
| Synodontis afrofischeri | 27.3 | 19.4 | 34.3 | 18.8 | 21.9 | 30.0 | 7.1 | - |
| Barbus altianalis | 5.5 | 9.2 | 10.4 | 9.4 | 6.3 | - | - | - |
| Labeo victorianus | 38.2 | 25.5 | 16.4 | - | - | - | - | - |
| Mormyrus kannume | 25.5 | 20.4 | 10.4 | 9.4 | - | 10.0 | 14.3 | - |
| Alestes spp. | 1.8 | - | - | - | - | - | - | - |
| Mastacembelus frenatus | 9.1 | 5.1 | 3.0 | - | - | - | - | - |
Table 5
Comparison of mean catch rates (kg/hour) per area in 1969/70 and 1984/85
| Station | IXB | 1 | 2 | 3 | IXA | 4 | 5 | XII | 6 |
| No. trawls | 29 | 66 | 122 | 93 | 84 | 40 | 40 | 39 | 22 |
| Haplochromis spp. | 548.1 | 200 | 431 | 280 | 560.3 | 153 | 3 | 360.4 | 38 |
| Tilapia esculenta | 114.4 | - | - | - | 24.4 | - | - | - | - |
| Tilapia variabilis | 1.5 | + | + | + | 0.1 | + | - | - | - |
| Tilapia nilotica | 24.3 | 24 | 3 | + | 0.2 | - | - | - | - |
| Tilapia zillii | 0.0 | - | - | - | 0.0 | - | - | - | - |
| Tilapia leucosticta | 0.0 | - | - | - | - | - | - | - | - |
| Bagrus docmac | 13.1 | + | + | 4 | 50.3 | 8 | 28 | 30.0 | 29 |
| Clarias mossambicus | 40.6 | + | 2 | 2 | 28.0 | 5 | 6 | 12.0 | 4 |
| Schilbe mystus | 1.1 | + | + | + | 5.5 | 2 | + | 0.1 | + |
| Xenoclarias spp. | 0.0 | - | - | - | 0.1 | - | + | 0.3 | + |
| Protopterus aethiopicus | 25.2 | 18 | 29 | 21 | 24.4 | 5 | - | 0.3 | - |
| Lates niloticus | - | 18 | 47 | 74 | - | 102 | 125 | - | 20 |
| Synodontis victoriae | 0.3 | + | + | + | 9.4 | + | 4 | 29.2 | 12 |
| Synodontis afrofischeri | 0.1 | + | + | + | 0.0 | + | + | 0.0 | + |
| Barbus altianalis | 0.0 | - | + | - | 0.1 | - | - | - | - |
| Labeo victorianus | 0.1 | + | + | + | 0.7 | - | - | - | - |
| Mormyrus kannume | 0.3 | - | - | + | 0.3 | - | + | 0.1 | - |
| Alestes spp. | 0.0 | - | - | - | 0.0 | - | - | - | - |
| Mastacembelus frenatus | - | + | + | + | 0.0 | + | - | - | - |
| Total | 769.1 | 260 | 512 | 381 | 703.8 | 275 | 166 | 432.4 | 103 |

Figure 1 Sketch map of the southeast part of Lake Victoria.
Survey station of R/V KIBOKO are indicated with *

Figure 2 Length frequency distribution of lungfishes in the trawl catches of R/V KIBOKO in the period 1984/85 No. 599

Figure 3 Mean catch rates of haplochromines, by R/V IBIS in 1969/70 (shaded) and R/V KIBOKO in 1984/85 (hatched). IBIS catches represent means over the whole Tanzanian area. KIBOKO catches represent means throughout a year of stations 1 to 6

Figure 4 Mean catch rates of haplochromines by R/V KIBOKO in the southwest corner of Lake Victoria during a survey in 1985

Figure 5 Length-frequency distribution of haplochromines in the Mwanza Gulf (area between Hippo Island and Nyamatala Island) in June 1978 and June 1985. (From Witte, 1987)
by
P.C. Goudswaard and W. Ligtvoet
Haplochromis Ecology Survey Team
Mwanza, Tanzania
SUMMARY
The introduced Lates niloticus has established itself in the major part of Lake Victoria and by now supports the most important fishery. With the exponential increase of Lates, the haplochromine stock, formerly encompassing more than 80% of the total fish stock, has correspondingly decreased or even been depleted. Comparing developments in areas with and without a haplochromine fishery reveals that the impact of Lates on the haplochromine stock is orders of magnitude larger than that of fishing. In most regions the majority of the fishermen have turned to fish on Lates, sometimes hampered by the lack of suitable material.
Although Lates is generally believed to be a shallow-water species, the highest catch rates of Lates in southern Lake Victoria are obtained from deeper waters (16–35 m). Our data suggest that the feasibility of fishing for Lates in deeper water should be further investigated. Especially because the artisanal fishery mainly takes place in waters up to 20 m deep.
The situation in Lake Victoria is still unstable and prospects are uncertain in view of developments in Lake Kyoga, where catches of the introduced Lates recently severely dropped. It is advised to practise caution with high and long-term investments in the Lates fishery.
INTRODUCTION
The great lakes of East Africa, Lake Victoria, Lake Nyasa and Lake Tanganyika, contain the three richest lacustrine fish faunas of the world. There are no lakes which even begin to rival the diversity of these fish faunas. They are the sites of fisheries, producing many thousands of tons of fish per year in a region where fish protein is a much needed commodity.
The availability of a wide spectrum of fish species, each using a different niche in the ecosystem, provides the opportunity for diverse fish production and hence efficient use of the various resources of the lake. In Lake Victoria, of old a multispecies fishery existed on some 17 fish species (CIFA, 1985). Due to the types of gear used, mesh size and special preferences of people utilizing the fish resources, fishing has always been highly selective. Although some target species were reduced to low population levels (Marten, 1979), none of the accessible stocks has totally collapsed during the past century of increasing exploitation.
The introduction of the predatory Nile perch in Lake Victoria at the beginning of the 1960s, however, has had a great impact on the existing fish fauna, especially on the numerous haplochromine species. In Lake Victoria the haplochromine cichlids, encompassing more than 250 species (van Oijen, Witte and Witte-Maas, 1981) exploit almost all the lakes resources and play an important role in the foodweb of the complex ecosystem. With the exponential increase of the Nile perch, the haplochromine stock up to then comprising about 82% of the total fish stock (Kudhongania and Cordone, 1974) strongly decreased (Arunga, 1981; Okemwa, 1981, 1984) and this may well have serious consequences for the ecosystem and consequently for the fish production and fisheries.
This report contains data on the current changes and present status of the stocks of haplochromines and Nile perch in southern Lake Victoria and is written to provide data for the discussion about the consequences for the fisheries of the lake.
ORIGIN OF THE DATA
Unless stated otherwise, the data were obtained from fishery surveys with HEST by the trawler R/V KIBOKO (105 hp) and have not been published before. All hauls were made using an otter trawl with a 18.5-m headrope and 19 mm mesh codend. The hauls were usually of 30 min. duration. Trawling speed was 3 knots.
RESULTS AND CONCLUSIONS
The available data concerning the Nile perch abundance (Figure 1) show that this introduced species has established itself in several parts of the lake. In some areas the Nile perch even has become the major fish stock, e.g., in the Nyanza Gulf (northeastern Kenyan part of the lake). In these areas where the Nile perch is abundant, the haplochromine stock has declined or almost disappeared (Nyanza Gulf).
Fish-landing data from the Regional Fisheries authorities in Tanzania show the onset of a Nile perch fishery in the eastern, southern and western part of the Tanzanian side of the lake, from 1982 onwards (Figure 2). In the western area, corresponding with the increased Nile perch catches, a tendency of decreasing haplochromine catches can be noted.
Comparing the catches of Nile perch in Mwanza Gulf (Tanzania) before 1970 (R/V IBIS), in the period 1972–77 (R/V MDIRIA), and in 1985 (R/V KIBOKO) illustates the strong increase of the Nile perch in the 1980s (Table 1).
Since 1974 the haplochromine stock in the Mwanza area has been exploited by a trawl fishery which was mainly aimed at fish meal production. For the period 1973–82, Figure 3 illustrates the mean haplochromine catches per hour by R/V MDIRIA in the Mwanza Gulf over a depth range of 2–12 m. The data show a strong decline in the catch rate of haplochromines: from 1 200–2 200 kg/hour in the mid-1970s down to 600–700 kg/hour in 1982. Over the whole the decrease is about 120 kg/hour/year.
Trawl catches of R/V KIBOKO in the Mwanza Gulf in 1984–86 show the same trend: within one year the catches over a corresponding depth range dropped from about 400 kg/hour to 200 kg/hour (Figure 4a). The haplochromine stock in deeper waters (16–57 m) appeared to be quite low and under-went no major changes during the year (Figure 4a). During the same period no clear trend in the Nile perch catches could be stated (Figure 4b). However, although the Nile perch catches show conspicuous fluctuations in both shallow and deep waters, there are indications that the catches during the dry season (June–October) are relatively small in shallow water.
The haplochromines and Nile perch in the Mwanza area are differently distributed with regards to depth (Figures 5 and 6 a, b); whereas the largest catches of haplochromines are obtained from shallow waters, the largest catches of Nile perch are from deep waters. The same trend has been found in the Emin Pasha Gulf in the southwest corner of the lake (Figure 7 a, b).
DISCUSSION
The synopsis of the available data show that the introduced Lates has become an important part of the fish stock in many parts of the lake. In the Nyanza Gulf (Kenya), Lates first boomed and raised from 1979 to 1982 from virtually zero up to more than 20 000 t/year (Okemwa, 1984). At present, this species is by far the most important fish species, encompassing nearly 100% of the fish biomass (Hughes, 1986).
Simultaneously with the increase of Lates in the Nyanza Gulf, the haplochromine stock declined and eventually virtually disappeared (Arunga, 1981; Okemwa, 1981; 1984). In the Nyanza Gulf, of old no trawl fishery and only an artisanal fishery existed on the haplochromines, which during the past century of increasing exploitation never collapsed. Therefore, the severe decline of the haplochromines most likely has to be attributed to the intrusion of Lates which mainly fed on these haplochromine cichlids (Gee, 1964).
In southern Lake Victoria the strong increase of Lates began a few years later. The fish landing data (Figure 2) show the onset of the Lates fishery in the Tanzanian waters from 1982 onwards, indicating that only since that time Lates is abundant in this area. Catches of the R/V KIBOKO in 1985 (Table 1) illustrate the increase in abundance of Lates in the Mwanza Gulf. Compared with the mean catch rate of 169 kg/hour (85 hp; 13.7 m headrope; 38 mm mesh codend) in the Nyanza Gulf in 1981 (Okemwa, 1984), the catches in the Mwanza Gulf are still low and may be expected to grow.
Like in the Nyanza Gulf, in the Mwanza Gulf too the haplochromines decreased (Figures 2 and 3). In the period 1973–82, Lates was still virtually absent and therefore the decline of the haplochromines (Figure 2) must be attributed to the fishing pressure on the stock. As already stated, in the Mwanza area the haplochromines have been exploited through a small-scale trawl fishery since 1974. The trawling almost exclusively occurred in the more shallow waters of the Mwanza Gulf, in the depth range from about 4–18 m. The appearance of Lates in the Mwanza Gulf does not seem to have hastened the decline of the haplochromines to an extent comparable with the developments in the Nyanza Gulf; three years after the invasion of Lates, the haplochromines in waters up to 14 m still comprise a considerable part of the catch. However, based on the R/V KIBOKO catches, in 1984–86 the haplochromine catches decreased with about 200 kg/hour (Figure 4a), while in the period before this decrease was on average 120 kg/hour/year (data R/V MDIRIA, Figure 2). Since the fishing activity on haplochromines remained constant, there most likely is an effect of Lates.
In the Mwanza area Lates is found in waters of 2–57 m deep (Figure 6b). The highest catch rates of Lates are obtained from waters of 16–35 m deep. This is remarkable, since according to other authors Lates in Lake Victoria is restricted to more shallow waters up to 15 m (Arunga, 1981). In the lakes from which the introduced Lates originated, it also occupies generally the shallow waters. However, in Lake Albert, Hunter (1970) found Lates in large numbers where deep water (up to 50 m) encrenches near the shore.
Lates and haplochromines are reversely distributed with regards to depth (Figures 6a, b and 7a, b). In the deeper waters the haplochromines are virtually absent (also Figure 4a). Trawling surveys with R/V IBIS (Table 1) at the end of the 1960s revealed that in five depth zones between 10 and 59 m, the catch rates of haplochromines were about equally high, averaging 500 kg/hour (Kudhongania and Cordone, 1974). Since fishing in the deeper waters hardly occurred, this indicates that the disappearance of the haplochromines in the deeper part of the lake is a direct consequence of the increase of Lates.
Recent surveys in the Emin Pasha Gulf (southwest part of the Tanzanian section of Lake Victoria) confirm the correlation between the changes in abundance of Lates and haplochromines. In contrast to the situation in the Mwanza Gulf, Emin Pasha Gulf has neither an extensive artisanal fishery, nor a trawl fishery on haplochromines, which gives the opportunity to investigate the impact of Lates on the haplochromine stock without interference of a fishery. It appears that also in this area in one year the haplochromine stock strongly declined (80%) with the increase of Lates (Table 2).
Considering the development described above it must be concluded that Lates has had a profound impact on the haplochromine stock and that the effect of Lates on the latter stock is orders of magnitude larger than the effect of fishing.
Besides the haplochromine cichlids, Lates also seem to affect, either directly (predation) or indirectly (competition), all other fish species, with the exception of Oreochromis niloticus and Rastrineobola argentea (Arunga, 1981; Okemwa, 1984).
Whereas at the onset the haplochromines are the most important food item of Lates in Lake Victoria (Gee, 1964), after the collapse of the haplochromines the small benthic shrimp Caridina nilotica becomes important as food source (Ogari, 1985; Hughes, 1986; pers. obs.). Stomachs of Lates specimens up to 70 cm (total length) contained more than 50% Caridina (Hughes, 1986). Therefore, for understanding future developments in the Lates stock, information about the Caridina stock and the interspecific relation between the two stocks is of great importance. It is thought that Lake Victoria contains an enormous quantity of Caridina (Ssentongo and Welcomme, 1985), but basic knowledge about the stock (standing stock, production) is lacking. The CIFA Sub-Committee meeting in October 1984 in Jinja (Uganda) gave studies on Caridina the priority after research on Lates and the investigation of the deep, open water of the lake. At the moment, HEST research on Caridina is set up and experiments with several sampling techniques are carried out to develop a satisfying standard sampling technique.
The changes in the fish community brought about by Lates resulted in changes in the existing fishery. Recently all commercial fishing by trawlers on haplochromines has been suspended as were all activities around local sun-drying and the processing of haplochromines to fodder. Consequently, the haplochromines have lost their importance as a fish (i.e., protein) resource for the human population. Fishermen nowadays concentrate more and more on Lates and actually this fishery is at present the most important one.
Before Lates was abundant, in the Mwanza Gulf gillnets were used with mesh sizes ranging from 1 to 6 inches for fishing on, for example, haplochromines, Schilbe mystus, Labeo victorianus, Barbus altianalis, Mormyrus kannume and tilapiines. Within a few years fishermen had to adapt themselves to a new, big and strong fish species and evolved new fishing strategies. The majority of the fishermen who turned to fish on Lates use gillnets with mesh sizes in the range of 7–10 (6–16) inches (Ligtvoet, Chande, Mosille, 1987).
At the moment the lack of proper fishing gear for Lates is a serious problem for this developing fishery and it is seen that a wide variety of material is used for the making of gillnets, such as wire normally used in tyres, twines splitted from nylon ropes and even filaments out of polyethylene fertilizer bags. The other common fishing techniques, less selective than gillnets, beach seines and longlines, did not undergo major changes (though there are indications that larger beach seines are presently used), but now catch mainly (beach seines) or for an important part (longlines) Lates (Ligtvoet, Chande, Mosille, 1987).
The prospects of the Lake Victoria Lates fishery are still uncertain. In Lake Kyoga, where Lates was introduced in 1955 (Gee, 1964), similar changes in the fish community have occurred and the previously multi-species fishery in that lake turned to a fishery based on the same three species that were left over in the Nyanza Gulf (Ogutu-Ohwayo, 1985). After a strong domination of Lates in the lake, at present the catches of Lates have dropped considerably and encompass not more than 20% of the total catch, while Oreochromis now comprises almost 80% of the total catch (Kudhongania, pers. comm.). Although one has to be careful to base ones expectations of future developments in one lake on the events in another lake, the developments in Lake Kyoga might indicate that the present high catches of Lates in Lake Victoria may not last. Therefore, since the situation is still highly unstable and prospects are uncertain, caution should be practised with high and long-term investments in the Lates fishery.
REFERENCES
Arunga, J.O., 1981. A case study of the Lake Victoria Nile perch, Lates niloticus, fishery. In Proceedings of the Workshop of the Kenya Marine and Fisheries Research Institute on aquatic resources of Kenya. Mombasa, Kenya, July 1981. Nairobi, Kenya National Academy for the Advancement of Arts and Sciences, pp. 165–83
Committee for Inland Fisheries of Africa (CIFA), 1985. Report of the third session of the Sub-Committee for the development and management of the fisheries of Lake Victoria, Jinja, Uganda, 4–5 October 1984. FAO Fish.Rep., (335):145 p.
Gee, J.M., 1964. Nile perch investigation. Organ., (1964):13–7
Hughes, N.F., 1986. Changes in the feeding biology of the Nile perch, Lates niloticus (L) (Pisces: Centropomidae), in Lake Victoria, East Africa, since its introduction in 1960, and its impact on the native fish community of the Nyanza Gulf. J.Fish Biol., 19:541–8
Kudhongania, A.W. and A.J. Cordone, 1974. Batho-spatial distribution patterns and biomass estimates of the major demersal fishes in Lake Victoria. Afr.J.Trop.Hydrobiol.Fish., 3(1):15–31
Ligtvoet, W., A.I. Chande and O.I.I.W. Mosille, 1987. Preliminary description of the artisanal Nile perch (Lates niloticus) fishery in southern Lake Victoria. Leiden, HEST-TAFIRI report
Marten, G.G., 1979. Impact of fishing on the inshore fishery of Lake Victoria (East Africa). J.Fish.Res.Board Can., 36:891–900
Ogari, J., 1985. Distribution, food and feeding habits of Lates niloticus in the Nyanza Gulf of Lake Victoria (Kenya). FAO Fish.Rep., (335):68–80
Ogutu-Ohwayo, R., 1985. The effects of predation by Nile perch introduced in Lake Kyoga in relation to the fisheries of Lake Kyoga and Lake Victoria. FAO Fish.Rep., (335):18–41
Oijen, M.J.P. van, F. Witte and E.L.M. Witte-Maas, 1981. An introduction to ecological and taxonomic investigations on the haplochromine cichlids from the Mwanza Gulf of Lake Victoria. Neth.J.Zool., 31:149–74
Okemwa, E.N., 1981. Changes in fish species composition of Nyanza Gulf of Lake Victoria. In Proceedings of the Workshop of the Kenya Marine and Fisheries Research Institute on aquatic resources of Kenya. Mombasa, Kenya, July 1981. Nairobi, Kenya National Academy for the Advancement of Arts and Sciences, pp. 138–56
Okemwa, E.N., 1984. Potential fishery of Nile perch, Lates niloticus (L) (Pisces: Centropomidae), in Nyanza Gulf of Lake Victoria, East Africa. Hydrobiologia, 108:121–6
Ssentongo, G.W. and R.L. Welcomme, 1985. Past history and current trends in the fisheries of Lake Victoria. FAO Fish.Rep., (335):123–38
Table 1
Nile perch catches in the Mwanza Gulf before 1970 in the period 1972–77 and 1985
| Vessel | hp | Headrope net (m) | Codend mesh size (mm) | Period | kg/h | |
| mean | max. | |||||
| R/V IBIS | 180 | 24 | 60 | before 1970 | <1 | |
| R/V MDIRIA | 120 | 25 | 89, 19 | 1972–77 | 2 | 5 |
| R/V KIBOKO | 105 | 18.5 | 19 | 1985 | 50 | 120 |
Source: 1970 - Kudhongania and Cordone (1974)
1972–77 - Freshwater Fisheries Training Institute, Nyegezi
Table 2
Haplochromine and Lates catches in the Emin Pasha Gulf (depth 4–12 m)
in June 1985 and August 1986 by R/V KIBOKO
(Catches in 1985/86 made at the same localities are given between
the broken lines)
| Station | June 1985 | August 1986 | ||
| Haplochromines kg/h | Nile perch kg/h | Haplochromines kg/h | Nile perch kg/h | |
| 27 | 680 | 56 | 0 | 56 |
| 28 | 560 | 254 | ||
| 29 | 80 | 0 | 2 | 106 |
| 30 | 160 | 20 | ||
| 31 | 140 | 20 | ||
| 32 | 480 | 104 | 50 | 100 |
| 100 | 118 | |||
| 50 | 330 | |||
| 33 | 400 | 28 | 400 | 39 |
| 34 | 400 | 6 | 50 | 20 |
| 35 | 0 | 2 | 4 | 5 |
| 10 | 156 | |||
| 20 | 100 | |||
| 20 | 144 | |||
| Mean ± st. dev. | 322 ± 235 | 54 ± 82 | 64 ± 115 | 107 ± 89 |

| LEGEND: IN THE TRAWLCATCHES THE WEIGHT OF HAPLOCHROMINES (RIGHT) DOMINATES THAT OF NILE PERCH (LEFT). |
| NOTE: NO QUANTITATIVE DIFFERENCES OF THE CATCHCOMPOSITIONS CAN BE DERIVED FROM THE FIGURES AND QUALITATIVE COMPARISONS ARE ALLOWED ONLY WITHIN BOXES DATA ARE ONLY AVAILABLE FOR THE BLACKENLD AREAS |
Figure 1 Status of the relative abundance of haplochromines and Nile perch in Lake Victoria in 1985. Data: Napoleon Gulf, from the Uganda Freshwater Fisheries Research Organization; Wynam Gulf, from Okemwa (1984) and the Kenya Marine and Fisheries Research Institute; all other from Haplochromis Ecology Survey Team

Figure 2 Fish landings of haplochromines and Nile perch in the eastern, southern and western areas of the Tanzanian part of Lake Victoria. Data from the Regional Fisheries Authorities

Figure 3 Mean haplochromine catches per hour by R/V MDIRIA in the Mwanza Gulf in the period 1973–82. Data: Freshwater Fisheries Training Institute Nyegezi

Figure 4 Mean haplochromine and Nile perch catches per hour by R/V KIBOKO in shallow (2–14 m) and deep (16–57 m) water during the period October 1984 and December 1986

Figure 5 Sketch map of the southeast part of Lake Victoria.
Survey stations of R/V KIBOKO are indicated with *
![]() | ![]() | ||
| Figure 6 | Mean haplochromine and Nile perch catches per hour by R/V KIBOKO at various depths in the Mwanza area | Figure 7 | Mean haplochromine and Nile perch catches per hour by R/V KIBOKO at various depths in the southwest corner of Lake Victoria in June 1985 |