M.P. Grimm
Organization for the Improvement of Inland Fisheries
Nieuwegein, The Netherlands
ABSTRACT
The composition and abundance of four northern pike (Esox lucius L.) populations were monitored in the period from 1974 to 1982.
The biomass of 0+ pike, pike less than 35 cm and pike less than 41 cm were negatively correlated with biomass of larger individuals following an exponential relationship.
It is argued that this density-dependent relation is the result of a regulation in which intraspecific predation may play a major role.
The standing stock of pike less than 54 cm related to the pike habitat available, was very similar both among sites within years and among years within sites.
This stock is tied to a maximum per unit of vegetated area. Within this maximum the biomass of pike less than 41 cm is determined by the biomass of larger individuals. Therefore stocked pike did not contribute extra biomass to the population.
RESUME
La composition et l'abondance de quatre populations de brochet ont été determinées pendant l'époque 1974–82. Les biomasses de classes: 0+ longeur moins de 35 cm; moins de 41 cm étaient correlées negativement suivant une fonction exponentielle, avec les biomass d'individus de tailles plus grandes.
Des arguments ont presentés que cette relation “densité-dependente” est influencée notamment par la prédation intraspécifique. Pourvu que les biomasses soient liées à l'habitat de brochet, les densitées de la population moins de 54 cm parâmes comparable entre les années dans une site où entre les sites.
Dans une unité de végétation ces densités sont liées à une valeur maximale. Aussi dans cette espace la biomasse de brochet moins de 41 cm est determinée par celle d'individues de plus grandes tailles. Ainsi les individues introduits ne rendent pas une augmentation de stock de brochet.
From 1953, the year the Organization for the Improvement of Inland Fisheries was founded, until 1966, the demand for artificially propagated northern pike fingerlings (4–6 cm) increased from 300 thousand to 1.2 million and stabilized thereafter at a level of 1–1.5 million. Stocking success was evaluated in drainable ponds (Grimm and Riemens, 1975; Grimm, 1981a) and from 1974 until 1979 in four “natural” waters. The recruitment of 0+ pike was found to be governed by the density of the population of older individuals and by the size of the habitat for pike (Grimm, 1981).
Based on the composition of four pike populations during the period 1974–82 the factors governing the abundance of pike of less than 41 cm forklength and especially of 0+ pike are further analysed. Also the conclusion that stocking of pike fingerlings would not lead to an increase in the population density (Grimm, 1981) was further elaborated.
The pike populations in four sites: the “Jan Verhoefgracht” (JV), the “Fortgracht” (FN), the “Kleine Wielen” (KW) and the “Parkeerterreinsloot” (PS), that were fenced off from surrounding waters either by natural or artificial barriers, have been studied. The geographical situation and morphological characteristics have been described by Grimm (1981). Additional information on vegetation, fish stocks and dimensions is presented in Table 1 and Fig. 1.
Sampling was by electrofishing, seining and trawling. The numbers in the populations were estimated using a mark-recapture technique (Petersen) corrected for selectivity of the sampling gear. The biomasses were calculated using yearly determined length-weight relationships. They were related to the area of pike habitat available. Therefore, the vegetated area was calculated. Detailed descriptions of the methods and techniques are presented in Grimm (1981).
All lengths quoted in this article are forklength unless otherwise indicated.
Pike populations were classified into the following length classes: 0+; 0+ -34 cm; 35 – 40 cm; 41 – 47 cm; 48 – 53 cm; 54+ cm (Grimm, 1981). The 0+ class (the delimitation of this class was described earlier (Grimm, 1981) was distinguished to quantify the numbers recruited to the population after one growing season, from naturally reproduced individuals as well as those individuals originally stocked as fingerlings.
The sub-groups 0+ - 30 cm and 30 – 35 cm were distinguished because the habitat preference of these length classes, as established from their distribution in the sampling period (October–March), was similar to that of 0+ pike. The lengths attained by 0+ pike in different years at the different sites fell within these ranges (Table 6).
Pike of less than 41 cm were found to be confined to vegetated areas. Pike equal to or greater than 41 cm had less defined habitat preferences, between 41 and 54 cm long, although most frequently caught within vegetated areas, were also found outside these. Pike of 54 cm and over appeared to inhabit vegetated as well as non-vegetated areas.
To differentiate between legal-sized (48 cm) and sublegal-sized pike the 41–54 cm group was subdivided into the 41–47 cm class and the 48–54 cm class.
The records of stocking with artificially propagated pike-fingerlings (4–6 cm) marked by a fin-pulling technique (Patrick and Haas, 1971) are given in Table 2.
As far as pike were concerned, the winter kill of 1978–79 affected mainly the larger individuals in the site JV and KW (see footnote Table 1). Mortality at the latter site was judged so severe that 27 pike of over 75 cm length (117 kg) were stocked to ensure the presence of a spawning stock.
To study the effect of alterations in the composition and the abundance of pike populations, part of the PS population was removed in 1977 and 1978 (Grimm, 1981). In 1979 these factors were influenced by stocking 25 pike of between 18 and 23 cm and 16 pike of over 60 cm (27 kg), which were marked by a fin clip and a subcutaneous injection with Alcian blue (Hart and Pitcher, 1969).
Assuming a linear relationship, Grimm (1981, 1981a) demonstrated a negative correlation between the biomasses of smaller (less than 41 cm) and larger pike. However, the data presented here, and especially those of the JV population, clearly suggest a curvilinear relationship (Figs. 5 and 6). The relationship between biomasses of pike smaller than 41 cm and those of larger individuals was tested by correlation analysis, using an exponential model, y = e-ax. The relationship between other subgroups was tested as y = e±ax.
In Table 3 we give the total surface vegetated area and the biomasses related to them. In the KW population the biomasses of pike of over 41 cm were related not only to the vegetated area but also to 2 ha of broken bottom (Grimm, 1981). The contribution of the pike originally stocked as fingerlings to the subgroups less than 41 cm are listed in Tables 4 and 5. The contribution of pike stocked between 18 and 23 cm length to the PS population proved to be nil (not listed in these tables), while 90 percent of the biomass of pike of over 54 cm consisted of stocked individuals of over 60 cm.
Probably due to the disappearance of a population of common carp, the surface vegetated area in site JV increased from ± 1 ha before 1979 to ± 1.5 ha thereafter (Tables 1 and 3). At the same time the biomass of pike of less than 54 cm increased from about 100 kg to about 160 kg. The relative biomass remained the same - about 110 kg/ha vegetated surface.
Fluctuations in total biomass caused by changes in the abundance of vegetation may influence the results of the correlation analysis. This is demonstrated by the relation of the absolute and relative biomasses in JV (Figs. 4 and 5). Therefore, only the results of correlation analysis of relative biomasses of the subgroups are listed (Table 6).
Grimm (1981) showed that the wide variations in the biomass of pike of less than 54 cm among the four sites were much reduced when the biomasses were related to the availability of pike habitat, the vegetated area. He also pointed out that the decrease in the numbers of 0+ pike coincided with the reduction of submersed/emersed vegetation. It was argued that the same cause could have played a role in the reduction of the numbers of small pike in Murphy Flowage (Beard, 1973; Snow, 1974) and in bodies of water that are subject to heavy eutrophication.
The relationship between the standing stock of pike and the vegetated area is accentuated by the effects (reported under section 3.1) at site JV.
After the winter kill of 1978/79 the density of the prey-fish population was reduced to an estimated 20 percent of its former level in the sites KW and JV. These differences were not reflected in the relative biomasses of pike. Also the difference in the composition and abundance of the fish stocks among the sites (Table 1) do not seem to be reflected in the density of the pike population. A possible explanation for this phenomenon is discussed later. It is apparent that the unit of vegetated area is only indicative of the three-dimensional space that is available. The volume of water in which plants or obstacles are present provides for: spawning substrate; food for all life stages of pike and cover both to stalk the prey from and to shelter from predators. In Dutch waters, perch are generally the most important predators on pike of less than 10 cm and larger pike are the major predators of pike of less than 41 cm. Within the space available to northern pike not all areas are accessible to pike of all sizes. The depth of the water column and the width of vegetation belts are, below a certain limit, physical barriers for pike of a given length. Dense stands of emergent vegetation might also prove impenetrable.
In drainable ponds containing prey fish and 0+ pike, a part of the pike population resident in unvegetated areas or used large pebbles for cover (pers.obs.). In the site JV in years with low densities of pike of more than 41 cm (1979, 1980, 1981), pike of less than 30 cm were found within emersed/submersed, submerged and, occasionally, floating vegetation.
In the period 1974–79, however, pike of less than 30 cm were caught only within emersed/submersed vegetation. This indicates that the availability of potentially accessible areas is also determined by the species itself but is also influenced by the distribution of the prey-fish of swallowable size. Grimm (1981) emphasized that the hunting behaviour and the habitus (colour and pigmentation pattern) of pike further illustrates the importance of available cover. However, the differences in distribution suggest that the function of shelter from intraspecific predation (Grimm, 1981) may be of equal importance.
In all experimental waters the biomasses of the subgroups of pike less than 41 cm per unit vegetated area are negatively correlated with those of longer fish (Table 6; Figs. 2–8). These exponential relationships assumed to be density dependent (Ricker, 1975) and could be direct (intraspecific predation) as well as indirect (competition for food and/or cover).
Differences in prey-fish abundance are not reflected in the standing stock of pike of less than 54 cm. Furthermore, the bream and white bream populations of FN and KW covered as a rule the length range 0–30 cm, indicating a maximum recruitment of bream greater than 10 cm, and thus a relatively low predation level. Although the abundance of prey-fish could be supposed to influence the density of pike populations, this is apparently not so within natural waters.
It can be supposed that here pike is confronted with a shortage of food during prolonged periods. For individuals that inhabit vegetated areas, this may arise in July–August when most young-of-the-year cyprinids and percids can be found as planktivores/benthivores outside the vegetated areas. Another period of October–March when prey-fish become unavailable by concentrating in deeper unvegetated areas. As was determined from the catches during the sampling period pike of less than 54 cm stay within the vegetated areas even during prolonged periods of food shortage. It may be anticipated that starvation will lead to a higher level of activity (searching) and thus to a higher vulnerability to intraspecific behaviour. This, in turn, is more liable to occur at the lower value of the autopredatory threshold induced by starvation. The frequency of occurence of pike as a food item in pike was reported by Frost (1954 and Lawler (1965) as highest in December, and Willemsen (1967) supported this view. These similarities in (a) food shortages, and (b) inaccessibility of the areas where food is to be found, explain the uniformity of the biomasses of pike of less than 54 cm per hectare vegetated area.
Thus, the negative correlations in Table 6 and Figs. 2–8 are most probably caused by direct density-dependent intraspecific predation. Within the four populations negative as well as positive correlations have been found. The pattern of interdependence between the subgroup biomasses also differs to some extent. These phenomena are discussed by Grimm (1983).
The density of pike of less than 41 cm and especially that of 0+ pike is limited to a maximum determined by the density of larger individuals up to 54 cm. The exponential relationships presented in Figs. 2–8 show that with increasing density of larger individuals the decrease in density of smaller individuals becomes progressively slower, thus “protecting” continuity in the recruitment of 0+ pike. In this respect it is worth noting that the introduction of pike of over 54 cm in site PS, which increased the total biomass of pike above the supposed carrying capacity, did not lead to the total failure of the recruitment to the 0+ class (Table 3). Moreover the 0+ pike in 1979 recorded the smallest average length (12 cm) ever observed at this site (Table 4). Thus the relatively low biomass comprised the highest number recorded. This suggests that individuals of less than 15 cm can occupy an area within the vegetation which is inaccessible to larger pike, a supposition that agrees with results from experiments in drainable 0.2-ha ponds (Grimm, in prep.).
In view of the interdependences of the biomasses of length classes and the relationships between the surface vegetated area and the biomass of pike of less than 54 cm it is evident that stocking pike of less than 41 cm and especially of fingerlings will not lead to higher densities of pike below this size. This is illustrated in Figs. 2–8 (the data can be read from Tables 3, 4 and 5) and accentuated by the fact that the numbers stocked (Table 2) are neither reflected in their frequency of occurrence nor in the magnitude of the 0+ class.
The varying frequency of occurrence in the 0+ class (4–85 percent, Table 4) is explained by the fact that the individuals stocked were, at the date of stocking, either developmentally ahead or behind the naturally reproduced individuals. They could thus either have been intraspecific predators or themselves preyed upon within the same year-class.
The results of Forney (1968) and Franklin and Smith (1963) also demonstrate this effect as do the results of the consecutive stocking of two batches of fingerlings (4–6 cm) with a 20-day interval in 0.2 ha drainable ponds; the first and last stocked individuals comprised 96 percent and 4 percent of the biomass of the 0+ class, respectively (Grimm, in prep.).
The failure of yearling pike of between 18 and 23 cm stocked into site PS illustrates that the stocking of larger individuals is equally useless. The survival of about 45 percent of the autochthonous 0+ pike (12–22 cm in 1978) during the same growing season indicates the extreme vulnerability of the individuals introduced.
Grimm (1981a) proposed that the availability of cover could influence the number of pike of over 54 cm in unvegetated areas, and postulated therefore that the potential density of pike populations in natural waters were limited.
In view of this postulate and the relationships demonstrated here it is argued that habitat-engineering rather than stocking may be the answer to the problem of maximizing of pike populations. The creation or enlargement of areas covered with emersed types of vegetation, the remnants of which persist throughout the winter and the construction of obstacles in open/deeper waters may increase the number and biomass of pike.
The maximum sustainable yield (MSY), as may be apparent from the results reported here, can only be calculated if possible changes in the interactions between the biomasses of the various length classes arising from management measures can be predicted quantitatively as well as qualitatively.
The failure to increase the numbers of pike greater than 56 cm total length, a size limit based on a MSY calculation with mortality and growth assumed to be constant (Kempinger and Carline, 1978) illustrates this.
I wish to thank Dr. A. Raat for the stimulating discussion on the ecological interpretation of the data. K. Baarda programmed the desk calculator, calculated the estimated numbers and biomasses and drew the illustrations. I would also like to mention the help of A.J. Hamming and H.A.G.M. de Vree who planned and carried out the sampling programme and the documentation of the results.
Beard, T.D., 1973 Overwinter drawdown. Impact on the aquatic vegetation in Murphy Flowage, Wisconsin. Tech.Bull.Wisc.Dep.Nat.Resourc., (61): 14 p.
Forney, J.L., 1968 Production of young northern pike in a regulated march. N.Y.Fish Game, 15: 143–54
Franklin, D.R. and L.L. Smith, 1963 Early life history of the northern pike (Esox lucius L.) with special reference to the factors influencing the numerical strength of year classes. Trans.Am.Fish.Soc., 92: 91–110
Frost, W.E., 1954 The food of pike (Esox lucius L.) in Windermere. J. Anim.Ecol., 23: 339–60
Grimm, M.P., 1981 The composition of northern pike (Esox lucius L.) populations in four shallow waters in the Netherlands with special reference to factors influencing 0+ pike biomass. Fish.Manage., 12: 61–77
Grimm, M.P., 1981a Intraspecific predation as a principal factor controlling the biomass of northern pike (Esox lucius L.). Fish.Manage., 12:77–80
Grimm, M.P., 1983 Regulation of biomasses of small (41 cm) northern pike (Esox lucius L.), with special reference to the contribution of individuals stocked as fingerlings (4–6 cm). Fish.Manage., 14:3, 115–35
Grimm, M.P. and R.G. Riemens, 1975 The evaluation of artificially propagated pike fingerlings. Annu.Rep.Organ.Verbet.Binnenviss., (1974/75): 71–90 (in Dutch)
Hart, P.J.B. and I.J. Pitcher, 1969 Field trials of fish marking using a jet inoculator. J.Fish Biol., 1: 383–5
Kempinger, J.J. and R.F. Carline, 1978 Changes in population density growth and harvest of northern pike in Escabana Lake after implementation of a 22-inch size limit. Tech.Bull.Wisc.Dep.Nat.Resourc., (104):16 p.
Lawler, G.H., 1965 The food of pike (Esox lucius L.) in Hemming Lake, Manitoba. J.Fish.Res.Board Can., 22(6): 1357–77
Patrick, B. and R. Haas, 1971 Finpulling as a technique for marking muskellunge fingerlings. Prog.Fish.Cult., 33: 116–8
Ricker, W.E., 1975 Computation and interpretation of biological statistics of fish populations. Bull.Fish.Res.Board Can., (191): 382 p.
Snow, H.E., 1974 Effects of stocking northern pike in Murphy Flowage, Wisconsin. Tech.Bull.Dep. Nat.Resourc., (79): 20 p.
Willemsen, J., 1967 Food and growth of pike. Visserij-Nieuws, 3: 72–5 (in Dutch)
Table 1 The dominant vegetation and fish species
| Site | |||||||
| Vegetation. | FN | JV(1) | KW(1) | PS | |||
| dominant species | Glyceria-, Phragmites-, Salix-, Typha sp. | Glyceria-, Nuphar-, Nymphoides-, Phragmites-, Salix-, Sparganium-, Typha sp. | Phragmites-, Salix-, Typha sp. | Elodes sp. | |||
| Wildth (m) of emersed/submersed vegetation in general | 0,3 – 0,8 | 1–2 | 1–6 | ±2 | |||
| ingrowing in general | 4 – 15 | 4–10 | 4–10 | ||||
| floating in general | 20–40 | ||||||
| average width total vegetated area | ±2 | ±4 | ±3 | ±2 | |||
| changes/cause | marked decrease of Salix sp. due to clearance operations september 1977 | marked increase of Nymphoides sp.possibly due to disappearance of carp winter 1978/1979 | slight decrease due to succession to terrestial stages | permanent reduction to minimum level by mechanical means. | |||
| Fish: (kg ≥ 10 cm/ha) | |||||||
| Bream (Abramis brama (L.)) | { | { | { | ||||
| White bream (Blicca bjoerkna (L.)) | 200–250 | --(2) | 100–150 | --(2) | |||
| Common carp (Cyprinis carpio) | ±150 | ±150 | 100–150 | 0 | |||
| Roach (Rutilus rutilus (L.)) | --(2) | { | ±600 | ±25 | ±170 | ||
| Rudd (Scardinius erythrophtalmus (L.)) | 1–2 | -- | -- | ||||
| Tench (Tinca tinca (L.)) | -- | ±170 | -- | -- | |||
| Eel (Anquilla anquilla (L.)) | 25(--)(3) | -- | --(5–10)(3) | -- | |||
| Perch (Perca fluviatilis (L.)) | -- | ?(4) | ? | -- | |||
| Pike-perch (Stizostedion lucioperca (L.)) | ±40 | 0 | 5 | 0 | |||
| Pike (Esox lucius L.) | 7–12- | 50–75 | ±10 | 50(5) – 110 | |||
1. heavily affected by winterkill in 1978–1979
5. due to experimental culling (Grimm 1981a)
Table 2 Stocking records of pike fingerlings (numbers)
| Date of stocking | Site | |||
| FN | JV | KW | PS | |
| 2/3-5-1974 | 1050 | 1350 | ||
| 3/7-5-1975 | 350 | none | ||
| 11-5-1975 | 4,416 | 803 | ||
| 3-5-1976 | 405 | 999 | ||
| 12-5-1976 | 2,761 | 372 | ||
| 17-5-1977 | none | none | 1,369 | 372 |
| 17-5-1978 | none | none | 1,369 | |
| 30-5-1978 | 372 | |||
| 30-5-1979 | none | 900 | 1,400 | 327 |
Table 3 The estimated biomasses (B) per ha aquatic vegetation, the minimum value, ≥ cumulative catch, (L) and the maximum value (H) of the accuracy interval. The surface vegetated area
| Site | Year | o+ p(ike) | o+ <p<30 | 30 ≤ p<35 | 35 ≤ p<41 | 41 ≤ p<48 | 48 ≤ p<54 | p ≥ 54 | ||||||||||||||
| ha.vegetated | L | B | H | L | B | H | L | B | H | L | B | H | L | B | H | L | B | H | L | B | H | |
| FN | ||||||||||||||||||||||
| 0.345 | 1974 | 8.1 | 9.0 | 11.2 | - | - | - | 7.0 | 7.0 | 7.0 | 5.5 | 5.5 | 5.5 | 41.4 | 41.4 | 41.4 | 67.2 | 67.2 | 67.2 | 68.1 | 68.1 | 68.1 |
| 0.330 | 75 | 6.2 | 7.3 | 8.9 | - | - | - | 4.5 | 4.5 | 4.5 | 9.4 | 9.4 | 9.4 | 50.9 | 51.5 | 54.2 | 63.9 | 63.9 | 65.2 | 88.6 | 96.6 | 114.3 |
| 0.310 | 76 | 5.7 | 5.8 | 6.2 | - | - | - | 2.9 | 2.9 | 2.9 | 6.2 | 7.4 | 12.6 | 41.7 | 42.9 | 46.7 | 60.7 | 61.0 | 70.3 | 103.8 | 115.2 | 137.9 |
| 0.281 | 77 | 11.1 | 13.9 | 16.7 | - | - | - | 1.8 | 1.8 | 1.8 | 8.5 | 8.5 | 8.5 | 22.6 | 26.7 | 35.8 | 48.1 | 50.5 | 58.2 | 48.2 | 54.1 | 80.4 |
| 0.297 | 78 | 28.9 | 33.0 | 37.1 | - | - | - | 6.5 | 7.1 | 9.0 | 14.1 | 14.1 | 14.1 | 16.9 | 17.8 | 20.0 | 26.9 | 29.0 | 37.7 | 71.1 | 81.5 | 110.8 |
| 0.319 | 79 | 14.4 | 16.9 | 19.4 | 1.5 | 3.1 | 7.0 | 15.1 | 15.1 | 15.1 | 19.0 | 22.6 | 29.8 | 22.3 | 22.3 | 22.3 | 42.3 | 42.3 | 42.3 | 68.9 | 68.9 | 68.9 |
| JV | ||||||||||||||||||||||
| 0.962 | 1974 | 10.6 | 13.2 | 15.8 | - | - | - | - | - | - | 6.5 | 9.7 | 14.7 | 25.2 | 27.4 | 35.0 | 40.3 | 58.9 | 81.3 | - | ||
| 0.959 | 75 | 6.5 | 9.0 | 11.6 | - | - | - | - | - | - | 8.5 | 12.6 | 19.1 | 28.4 | 30.3 | 33.6 | 46.4 | 56.5 | 68.5 | - | ||
| 0.979 | 76 | 16.9 | 19.0 | 21.1 | - | - | - | - | - | - | 14.9 | 15.4 | 17.4 | 20.6 | 21.6 | 23.8 | 31.5 | 33.9 | 39.1 | 142.0 | 255.4 | 385.1 |
| 0.989 | 77 | 4.1 | 5.3 | 7.1 | - | - | - | - | - | - | 10.1 | 12.1 | 16.4 | 30.0 | 35.0 | 45.5 | 46.6 | 65.6 | 94.1 | 157.2 | 199.7 | 262.0 |
| 1.034 | 78 | 14.8 | 18.0 | 21.2 | - | - | - | - | - | - | 7.7 | 9.6 | 12.6 | 13.7 | 15.6 | 19.3 | 43.9 | 46.0 | 55.4 | 92.4 | 212.3 | 332.2 |
| 1.067 | 79 | 48.0 | 52.5 | 57.0 | 2.1 | 2.2 | 3.6 | 9.4 | 10.6 | 12.4 | 11.5 | 14.3 | 19.5 | 8.5 | 11.7 | 15.1 | 15.0 | 16.9 | 31.9 | 51.6 | 71.4 | 119.0 |
| 1.558 | 80 | 1.1 | 1.5 | 1.9 | 30.0 | 32.4 | 34.8 | 21.5 | 26.3 | 31.1 | 17.9 | 20.2 | 24.2 | 13.2 | 13.2 | 16.3 | 9.9 | 12.5 | 19.1 | 45.4 | 72.7 | 121.2 |
| 1.459 | 81 | 0.8 | 1.2 | 1.8 | 6.1 | 9.3 | 12.5 | 18.0 | 20.9 | 23.8 | 23.9 | 33.4 | 42.9 | 18.2 | 36.7 | 56.6 | 5.7 | 10.2 | 16.6 | - | ||
| KW | ||||||||||||||||||||||
| 1.330 | 1975 | 16.3 | 18.7 | 21.1 | 4.4 | 5.0 | 6.1 | 17.7 | 18.3 | 19.6 | 37.3 | 38.1 | 41.0 | 32.4 | 35.8 | 39.2 | 24.2 | 34.4 | 44.4 | 35.5 | 52.6 | 69.7 |
| 1.330 | 76 | 21.5 | 24.0 | 26.5 | - | - | - | 17.9 | 22.4 | 26.9 | 33.5 | 34.6 | 37.7 | 33.0 | 37.0 | 41.0 | 27.0 | 34.5 | 42.0 | 36.9 | 41.3 | 47.9 |
| 1.350 | 77 | 3.3 | 4.4 | 5.5 | 5.5 | 6.1 | 6.9 | 18.4 | 23.0 | 27.6 | 24.5 | 38.0 | 51.5 | 21.4 | 28.2 | 35.0 | 20.8 | 38.5 | 56.2 | 20.7 | 27.8 | 37.4 |
| 1.131 | 78 | 14.3 | 17.3 | 20.3 | 1.9 | 2.4 | 3.5 | 7.6 | 10.7 | 14.0 | 24.3 | 31.9 | 39.5 | 22.6 | 30.9 | 39.2 | 21.4 | 38.4 | 55.6 | - | ||
| 1.226 | 79 | 43.7 | 50.7 | 57.7 | - | - | - | 9.3 | 14.3 | 19.4 | 29.4 | 40.9 | 52.4 | 5.1 | 7.5 | 10.8 | 4.4 | 6.9 | 11.9 | 34.9 | 60.4 | 100.4 |
| 1.231 | 81 | 4.8 | 8.5 | 12.2 | 4.2 | 5.8 | 8.2 | 15.9 | 19.3 | 24.1 | 39.8 | 53.5 | 67.2 | 32.7 | 41.8 | 49.3 | 36.7 | 48.9 | 61.1 | 35.3 | 73.7 | 112.1 |
| PS | ||||||||||||||||||||||
| 0.185 | 1975 | 43.0 | 50.2 | 57.5 | - | - | - | 5.0 | 7.6 | 18.2 | 8.1 | 8.1 | 8.1 | 32.4 | 32.4 | 32.4 | 21.1 | 23.8 | 38.8 | 27.5 | 27.5 | 27.5 |
| 0.185 | 76 | 11.6 | 12.4 | 13.6 | 35.2 | 35.6 | 37.7 | 25.2 | 25.9 | 28.2 | 5.9 | 5.9 | 5.9 | 16.2 | 16.2 | 16.2 | 11.3 | 15.1 | 36.5 | 44.3 | 44.3 | 44.3 |
| 0.185 | 77 | 8.1 | 9.2 | 11.7 | 11.1 | 13.5 | 18.5 | 19.1 | 23.2 | 33.1 | 15.6 | 16.7 | 22.1 | 6.1 | 7.0 | 12.1 | 5.9 | 5.9 | 5.9 | 26.5 | 26.5 | 26.5 |
| 0.185 | 78 | 13.0 | 16.2 | 19.4 | 4.8 | 7.0 | 14.2 | 15.6 | 19.4 | 28.8 | 20.5 | 30.8 | 52.5 | 2.7 | 2.7 | 2.7 | 4.9 | 4.9 | 4.9 | 7.0 | 7.0 | 7.0 |
| 0.185 | 79 | 10.8 | 13.0 | 15.1 | 13.1 | 16.7 | 21.6 | 4.3 | 4.3 | 4.3 | 7.0 | 7.0 | 7.0 | 7.0 | 7.0 | 7.0 | 10.8 | 10.8 | 10.8 | 102.6 | 122.0 | 183.8 |
Table 4 The length-range (L in cm), the estimated numbers (N) and biomasses (kg) of ○+ pike. Between brackets the frequency of occurrence (%) of the ○+ pike, originally stocked as fingerlings
| Year | FN | JV | KW | PS | ||||||||
| L | N | Kg | L | N | Kg | L | N | Kg | L | N | Kg | |
| 1974 | 0–30 | 35[59] | 3.1[50] | 0–35 | 88[80] | 12.7[72] | + | + | ||||
| 1975 | 0–30 | 36[70] | 2.4[85] | 0–35 | 62[x] | 8.6[x](1) | 0–26 | 389[16] | 24.8[17] | 0–30 | 169[59] | 9.3[63] |
| 1976 | 0–27 | 23[87] | 1.8[82] | 0–35 | 118[84] | 18.6[81] | 0–29 | 452[46] | 31.9[46] | 0–22 | 64[38] | 2.3[41] |
| 1977 | 0–27 | 75[x] | 3.9[x] | 0–35 | 54[x] | 5.2[x] | 0–25 | 122[28] | 5.9[28] | 0–22 | 48[71] | 1.7[73] |
| 1978 | 0–30 | 117[x] | 9.8[x] | 0–35 | 122[x] | 18.6[x] | 0–27 | 366[24] | 22.6[31] | 0–26 | 89[77] | 3.0[74] |
| 1979 | 0–30 | 114[x] | 5.4[x] | 0–28 | 1182[6] | 56.0[4] | 0–30 | 749[45] | 62.2[66] | 0–15 | 203[26] | 2.4[29] |
| 1980 | +(2) | 0–21 | 68[x] | 2.4[x] | + | + | ||||||
| 1981 | + | 0–21 | 46[x] | 1.8[x] | 0–25 | 194[x] | 10.5[x] | + | ||||
Table 5 The estimated biomasses of pike <35 cm and pike <41 cm in the site KW and other experimental waters, respectively. Between brackets the contribution in percentage of individuals originally stocked as fingerlings.
| Site | Year | |||||||
| 1974 | 1975 | 1976 | 1977 | 1978 | 1979 | 1980 | 1981 | |
| FN | 7.4 | 7.0 | 5.0 | 6.8 | 16.1 | 18.4 | - | - |
| [21] | [62] | [53] | [43] | [3] | [2] | |||
| JV | 22.0 | 20.7 | 33.7 | 17.2 | 28.5 | 85.0 | 125.3 | 94.6 |
| [41] | [20] | [45] | [44] | [6] | [3] | [4] | [5] | |
| KW | - | 56.7 | 61.7 | 43.5 | 40.3 | 65.0 | - | 33.6 |
| [7] | [30] | [26] | [22] | [67] | [3] | |||
| PS | - | 12.2 | 14.8 | 11.6 | 13.6 | 7.6 | - | - |
| [48] | [54] | [43] | [53] | [51] | ||||
Table 6 The correlation of the relative biomasses (kg/ha vegetated area) of adjacent subgroups (in cm):
(a) the FN population (df = 4)
(b) the JV population (df = 6)
(c) the KW population (df = 4)1
(d) the PS population (df = 3)
| a) | o+<p <54 | p >o+ | 30 ≤ p <54 | p ≥ 30 | 35 ≤ p <54 | p ≥ 35 | 41 ≤ p <48 | 41 ≤ p <54 | p ≥ 41 | p ≥ 48 |
o+p(ike) | -0,8719xx(2) | -0,8438xx | ||||||||
p <30 | -0,8605xx | -0,8386xx | ||||||||
p <35 | -0,8386xx | -0,7994x | ||||||||
p <41 | 48<p <54 | -0,8343xx | -0,8738xx | -0,7919x | ||||||
35 ≤ p <48 | ||||||||||
41 ≤ p <48 | 0,9558++ | 0,8411+ | ||||||||
| b) | o++ <p <41 | o+ <p <48 | o+<p <54 | 35 ≤ p <54 | 41 ≤ p <54 | 48 ≤ p <54 | ||||
o+p(ike) | -0,7484xx | -0,8932xxxx | -0,8537xxxx | |||||||
p <35 | -0,9486xxxx | |||||||||
p <41 | -0,9621xxxx | |||||||||
p <48 | -0,8916xxxx | |||||||||
| c) | o+ <p <35 | 30 ≤ p <54 | 35 ≤ p <54 | 48 ≤ p <54 | ||||||
o+ p(ike) | -0,7693x | |||||||||
p <30 | -0,7827x | |||||||||
p <35 | -0,7763+ | |||||||||
30 ≤ p <48 | 0,9273+++ | |||||||||
35 ≤ p <48 | 0,9426+++ | |||||||||
41 ≤ p <48 | 0,9320+++ | |||||||||
| d) | p(ike) ≥ 35 | p ≥ 41 | p ≥ 48 | 48 ≤ p < 54 | ||||||
30 ≤ p <35 | -0,8557x | |||||||||
30 ≤ p<41 | -0,9380xxx | |||||||||
30 ≤ p<48 | -0,9419++ | |||||||||
35 ≤ p<41 | -0,8263x | |||||||||
41 ≤ p<48 | 0,9398++ |
1. relative biomasses expressed as kg/ha vegetated area + 2 ha broken bottom
2.+/x = two-/one tailed test 0.05 >p>0.02
++/xx = two-/one tailed test 0.02 >p>0.01
+++/xxx = two-/one tailed test 0.01 >p>0.005
++++/xxxx = two-/one tailed test p<0.005

Fig. 1 Schematical plans of the four sites

Fig. 2 The relationship between the relative biomasses (kg/ha vegatation) of o+ pike and the relative biomasses of o+ < pike < 54 cm in the FN population (years indicated)

Fig. 3 The relationship between the relative biomasses (kg/ha vegetation) of the pike < 41 cm and the relative biomasses of 41 cm ≤ pike < 54 cm in the FN population (years indicated)

Fig. 4 The relationship between the absolute biomasses (kg) of pike < 41 cm and the absolute biomasses of 41 cm ≤ pike < 54 cm in the JV population (years indicated)

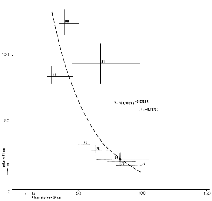
Fig. 5 The relationship between the relative biomasses (kg/ha vegetation) of pike < 41 cm and the relative biomasses of 41 cm ≤ pike < 54 cm in the JV population (years indicated)

Fig. 6 The relationship between the relative biomasses (kg/ha vegetation) of o+ pike and the relative biomasses of o+ < pike < 54 cm in the JV population (years indicated)

Fig. 7 The relationship between the relative biomasses (kg/ha vegetation) of o+ pike and the relative biomasses of o+ < pike < 35 cm (+), and of the relative biomasses of pike 35 cm and the relative biomasses of 35 cm ≤ pike < 54 cm (o) in the KW population. The biomasses of pike ≥ 41 cm were related also to 2 ha of broken bottom, see text (years indicated)

Fig. 8 The relationship between the relative biomasses (kg/ha vegetation) of 30 cm ≤ pike < 41 cm and the relative biomasses of pike ≥ 41 cm in the PS population (years indicated)