On s'intéresse depuis longtemps déjà aux conséquences de l'introduction d'espèces exotiques dans les cours d'eau et les lacs européens. En outre, alors que le repeuplement avec des espéces ou indigènes ou exotiques est une pratique courante, on ne sait presque rien des avantages et des inconvénients de cette pratique sur les plans biologique et économique. La Consultation internationale sur la répartition des ressources ichtyologiques (Vichy, France, 1980) et la Onzième session de la Commission européenne consultative pour les pêches dans les eaux intérieures (CECPI) (Stavanger, Norvège, mai 1980) ont toutes deux recommandé d'examiner la situation actuelle de l'aménagement des stocks de poisson dans les eaux intérieures en Europe. Conformément à ces recommandations, un Symposium sur l'amélioration des stocks dans le cadre de l'aménagement des pêcheries d'eau douce a été organisé à l'occasion de la Douzième session de la CECPI (Budapest, Hongrie, 1982). Le Symposium et la session elle-même ont estimé qu'il fallait examiner plus avant certaines questions importantes et ont créé le Groupe de travail sur l'amélioration des stocks qui a été chargé:
d'examiner et de recommander à la CECPI un code d'usage en vue de réglementer l'introduction d'espèces exotiques ainsi que des procédures pour son application;
d'examiner la situation actuelle et d'élaborer des directives pour le repeuplement avec différents groupes d'espèces dans le cadre des pratiques actuelles d'aménagement des pêches.
En outre, la Section des poissons exotiques de l'American Fisheries Society (AFS) et le Conseil international pour l'exploration de la mer (CIEM) se sont tous deux occupés de la question. Les travaux du CIEM, de loin les plus avancés, sont essentiellement menés par le Groupe de travail de cette organisation sur les introductions et le transfert d'organismes marins. Le CIEM a adopté un premier project du code d'usage en 1973; après six sessions, le Groupe de travail a maintenant acquis une expérience considérable et est à un stade très avancé dans la préparation de protocoles qui seront soumis au CIEM. La Section des poissons exotiques de l'AFS s'est occupée essentiellement de préparer des protocoles d'évaluation des introductions de poisson proposées.
Le Groupe de travail s'est réuni à Hambourg du 16 au 19 mai 1983, sous la présidence de M.K. Tiews (voir la liste des participants en annexe) pour s'acquitter des fonctions recommandées par la CECPI et pour proposer des moyens de coopération entre les trois organismes intéressés en vue d'harmoniser leurs façons d'aborder ce problème.
CIEM: Lors de sa réunion statutaire en 1973, le CIEM a adopté un Code d'usage pour réduire les risques d'effets négatifs résultant de l'introduction d'espèces marines exotiques. Lors de sa réunion statutaire de 1979, il a adopté un code révisé. Les interprétations du Code, ainsi que les définitions pertinentes, sont exposées en détail dans le rapport.
Le Groupe de travail du CIEM s'est réuni dans la semaine précédant la réunion du Groupe de travail de la CECPI sur l'amélioration des stocks. Lors de cette réunion, plusieurs propositions visant à affiner le dispositif d'application du Code ont été avancées. Le Groupe de travail a classé les introductions en trois catégories: (i) nouvelles espèces exploitées à des fins commerciales; (ii) nouvelles espèces exploitées à des fins scientifiques; et (iii) espèces commerciales courantes.
Cinq protocoles spécifiques ont été élaborés pour l'inspection: (i) des mollusques; (ii) des crustacés; (iii) des poissons de mer; (iv) des salmonidés; et (v) des écloseries de mollusques. Ils comportent des dispositions pratiques et traitent essentiellement de considérations pathologiques. Le Groupe de travail du CIEM a reconnu les lacunes de cette approche et a commencé à préparer des protocoles supplémentaires - dont l'un sur les procédures de quarantaine - couvrant d'autres facteurs de risque, ainsi que des directives pour l'application des protocoles. Généralement, ces derniers sont à considérer comme des listes de contrôle des procédures à suivre lors des introductions. Dans certains cas, ils représentent “l'idéal” plutôt que l'approche pratique. Le Groupe de travail du CIEM a l'intention d'y incorporer certains éléments du “Review and Decision Model” (Modèle d'examen et de décision) établi sous les auspices de la Section des poissons exotiques de l'AFS. Le modèle sera utilisé pour effectuer des analyses de faisabilité et d'évaluation.
AFS: La Section des poissons exotiques de l'American Fisheries Society (AFS) a été créée lors de la réunion annuelle de cette dernière en 1980. L'une de ses premières initiatives a été d'établir un Comité des protocoles. Un protocole pour l'évaluation des propositions d'introductions de poissons exotiques aux Etats-Unis a été élaboré et présenté au Symposium de la section qui s'est tenu lors de la réunion annuelle de l'AFS à Albuquerque, New Mexico, en 1981. Ce Protocole a été révisé (annexe 2) et présenté au Symposium de la CECPI sur l'amélioration des stocks à Budapest (Hongrie) en 1982. On a suggéré de l'appliquer des deux côtés de l'Atlantique. C'est avant tout un instrument d'évaluation et il est présenté comme un graphique ayant la forme d'un arbre de décisions. Il est proposé comme un mécanisme efficace pour l'étude d'informations de plus en plus complexes et incertaines permettant d'arriver à la décision d'approuver ou de refuser l'introduction de poissons exotiques. Comme pour la proposition du CIEM, le Protocole est considéré comme un moyen raisonné de diminuer les risques que présentent les introductions des poissons exotiques et n'est pas proposé comme une mesure de politique obligatoire.
Le Groupe de travail de la CECPI a étudié la documentation qui lui avait été soumise (voir annexe B. 1) et a formulé les conclusions et les recommandations suivantes:
La CECPI, le CIEM et la Section des poissons exotiques de l'AFS portant le même intérêt à l'application d'un Code d'usage et des protocoles connexes, le Groupe de travail a recommandé que les trois organisations harmonisent leurs codes et protocoles de façon à les rendre essentiellement similaires. A cette fin, les deux Groupes de travail de la CECPI et du CIEM devraient se maintenir en liaison étroite en échangeant des documents de travail, de la correspondance entre les Présidents et en organisant des réunions conjointes périodiques; de plus, ces deux groupes de travail devraient également se maintenir en contact avec la Section des poissons exotiques de l'AFS. En outre, étant donné l'intérêt que porte la communauté internationale aux dangers et aux avantages potentiels des introductions et des transferts, intérêt qui s'est manifesté au cours des sessions de la Commission des pêches intérieures pour l'Amérique latine (COPESCAL), du Comité des pêches continentales pour l'Afrique (CPCA) et de la Commission Indo-Pacifique des pêches (CIPP), le Groupe de travail a recommandé que le Code d'usage et les protocoles qu'il met au point soient appliqués dans le monde entier et mis à la disposition d'autres groups nationaux et régionaux intéressés.
Une fois qu'une espèce a traversé une frontière nationale, elle devrait être considérée comme effectivement introduite dans le pays, quelles que soient les précautions prises pour la maintenir isolée du milieu naturel.
L'application complète d'une politique internationale visant à réduire les risques d'effets négatifs des introductions exige une documentation à deux niveaux:
un Code d'usage: directive générale et déclaration de politique susceptible de compléter la législation locale et s'appuyant sur:
des protocoles: listes de contrôle pratiques pour l'application du Code d'usage. Il faudrait les revoir régulièrement pour les modifier en fonction des besoins nouveaux des pêches et tirer profit de l'expérience acquise au cours de leur mise en pratique.
Le Groupe de travail a reconnu que le Code d'usage et les protocoles n'avaient pas de statut légal mais qu'ils comportaient une forte obligation morale. Ils servent donc surtout de directives, bien qu'une fois acceptées en principe certaines dispositions - la Protocole sur la quarantaine par example - sont si fondamentales que leur stricte application devient obligatoire.
Le Groupe de travail a reconnu que l'application d'un Code d'usage pour réglementer l'introduction et le transfert d'espèces de poissons d'un pays à l'autre comportait de nombreuses difficultés pratiques. Il a également noté que certains pays estimaient leur législation intérieure suffisante pour couvrir leurs propres besoins. Il s'est néanmoins déclaré convaicu que si la Commission ne prenait pas position sur la question en publiant et en appliquant ce Code et ses protocoles, elle manquerait à l'un de ses devoirs. Il a donc recommandé que lors de sa prochaine session la Commission adopte le Code d'usage tel qu'il est présénté ici.
Il a en outre recommandé que la CECPI crée un Groupe de travail permanent, composé de représentants nationaux chargé d'appliquer le Code selon les procédures exposées ci-dessous et de préparer les protocoles jugés nécessaires à son application. Les membres du Groupe devraient travailler essentiellement par correspondance et se réunir pendant les sessions de la CECPI et à d'autres dates, si nécessaire. Le Groupe pourrait constituer des équipes ad hoc pour l'examen détaillé d'organismes spécifiques.
La première tâche du Groupe de travail serait de préparer les protocoles voulus en vue des introductions, en tenant compte des procédures déjà établies par le CIEM.
La procédure proposée pour l'examen des demandes sera la suivante:
une proposition documentée d'introduction ou de transfert en Europe d'une nouvelle espèce de poissons provenant d'un pays extérieur à l'Europe, ou d'un autre pays européen devra être transmise, par l'intermédiaire des autorités compétentes, au correspondant national de la CECPI. Ceci suppose que cette introduction est conforme à la législation nationale et que le demandeur s'est déjà conformé aux premières dispositions du Protocole relatif à l'évaluation des introductions;
le Correspondant national fera parvenir au Secrétariat de la CECPI la demande accompagnée de la documentation sur la portée et le but de l'introduction, la source du stock de repeuplement, l'endroit où il doit être utilisé et de toutes les données disponibles sur la biologie et l'écologie de l'espèce;
le Secrétariat transmettra cette documentation au Président du Groupe de travail;
le Groupe de travail étudiera alors chaque demande, en la passant à une équipe spéciale si nécessaire, et recommandera de l'accepter ou de la rejeter, ou bien demandera d'autres informations conformément aux protocoles établis pour l'évaluation des introductions proposées;
le conseil du Groupe de travail sera transmis par l'intermédiaire de la Sous-Commission compétente à la session plénière de la CECPI pour approbation;
cette décision sera alors transmise par le Secrétariat au Correspondant national qui en informera l'auteur de la proposition;
exceptionnellement la Commission peut envisager de donner mandat au Président du Groupe de travail de communiquer directement la recommandation à l'auteur de la proposition par l'intermédiaire du Correspondant national.
Schéma de l'étude des demandes

Code d'usage proposé pour réduire le risque d'effets préjudiciables résultant de l'introduction ou du transfert d'organismes aquatiques dans les eaux intérieures:
(a) Procédure recommandée avant toute décision concernant de nouvelles introductions
(Cette procédure ne s'applique qu'aux introductions ou transferts qui s'inscrivent dans le cadre des pratiques commerciales courantes).
Les états membres envisageant une introduction seront invités à présenter à la CECPI dans les meilleurs délais un dossier sur l'espèce considérée, as région d'origine, le lieu d'introduction envisagé et les objectifs de l'opération, avec toutes les informations disponibles concernant l'habitat, les organismes associés, etc. La CECPI étudiera alors les répercussions possibles de l'introduction et donnera un avis sur le bien-fondé de l'opération.
Les autorités compétentes du pays importateur devront examiner chaque “candidature” pour voir si l'introduction se justifie, pour étudier les relations entre l'espèce concernée et les autres membres de l'écosystème, pour évaluer en détail ses caractéristiques biologiques et écologiques et le risque d'introduction de parasites et d'organismes pathogènes associés.
Les autorités compétentes devront évaluer avec soin les effects probables de l'introduction dans la nouvelle zone, notamment en se fondant sur l'étude des effets de toute introduction antérieure de la même espèce ou d'espèces voisines dans d'autres régions, et prédire l'aire finale de répartition de l'espèce, en supposant qu'elle pourrait former des populations reproductrices en milieu naturel.
Les procédures ci-dessus (i, ii, iii) devront être appliquées suivant le modèle d'examen et de décision tel qu'il est exposé dans la section suivante.
(b) Mesures recommandées pour l'introduction
Si l'on décide de procéder à l'introduction, les mesures suivantes sont recommandées:
un stock de géniteurs devra être constitué dans des conditions de quarantaine dûment convenues. Ce stock sera obtenu à partir d'oeufs importés de façon à réduire au maximum les risques de contamination par des organismes pathogènes, des parasites ou d'autres espèces de poisson. Si cela n'est pas possible, on s'efforcera d'obtenir des stocks garantis exempts d'agents pathogènes dûment spécifiés ou du moins on prendra des dispositions pour appliquer un traitement prophylactique à l'entrée du pays d'importation. Tous les effluents sortant des établissements utilisés pour les besoins de la quarantaine seront stérilisés selon les modalités approuvées;
si l'on n'observe aucun organisme pathogène contagieux ou parasite, la première génération de l'espèce introduite, à l'exclusion des individus importés, pourra être transférée dans les lieux d'élevage ou dans le milieu naturel, de préférence dans de petits cours d'eau ou lacs isolés et protégés.
(c) Mesures recommandées après l'introduction
Une étude continue de l'espèce introduite dans son nouvel environnement sera effectuée et des rapports de situation seront adressés à la CECPI.
Tout le possible sera fait pour contenir la nouvelle espèce dans les eaux où elle a été introduite.
(d) Les organismes de réglementation de tous les pays membres sont invités à recourir aux mesures les plus rigoureuses pour éviter les introductions ou transferts non autorises ou non approuvés
(e) Procédure recommandée pour les introductions ou transferts s'inscrivant dans le cadre des pratiques commerciales courantes
Les procédures établies par le “Project de Convention pour la prévention de la diffusion d'importantes maladies contagieuses des poissons” devront être suivies notamment:
inspection périodique (avec tests microscopiques et microbiologiques appropriés) par le pays importateur du matériel envoyé pour une première transplantation massive, en vue de vérifier qu'il est exempt d'organismes ou de parasites porteurs de maladies susceptibles d'être introduites. Si l'inspection fait apparaître un élément indésirable, l'importation doit être immédiatement interrompue. La CECPI devra être informée des conclusions de l'inspection et des mesures correctives adoptées;
inspection et contrôle de chaque envoi à la réception;
mise en quarantaine ou désinfection, le cas échéant;
constitution de stocks géniteurs garantis exempts de pathogènes spécifiés.
(f) Définitions relatives au Code d'usage proposé
Pour l'application de ce Code, les définitions suivantes devront être utilisées:
espèce introduite (= espèce non-indigène; comprend aussi bien les espèces nonindigènes que les espèces exotiques): toute espèce intentionnellement ou accidentellement transportée et relâchée par l'homme dans un milieu extérieur à son aire actuelle de répartition;
espèce transférée (= espèce transplantée): toute espèce intentionnellement ou accidentellement transportée et relâchée dans son aire actuelle de répartition;
espèce en quarantaine: toute espèce maintenue dans un système clos conçu pour prévenir toute possibilité de lâcher de l'espèce ou de l'un quelcon que de ses organismes associés ou de l'une quelconque de ses maladies dans l'environnement;
pays exportateur: pays expéditeur d'un stock spécifique d'une espèce (quelle que soit sa région d'origine);
pays d'origine: pays dont l'espèce est native;
pays importateur: pays receveur d'un stock spécifique d'une espèce aux fins d'introduction, de transfert (au sens du paragraphe (ii) ou de quarantaine;
stock de géniteurs: spécimens d'une espèce - sous forme d'oeufs, de juvéniles ou d'adultes - en mesure de produire une ou plusieurs générations en vue d'une introduction ou d'un transfert éventuel;
pratiques commerciales courantes: culture, élevage ou placement, réalisés ou en cours, d'une espèce introduite ou transférée dans le milieu à des fins économiques ou récréatives.
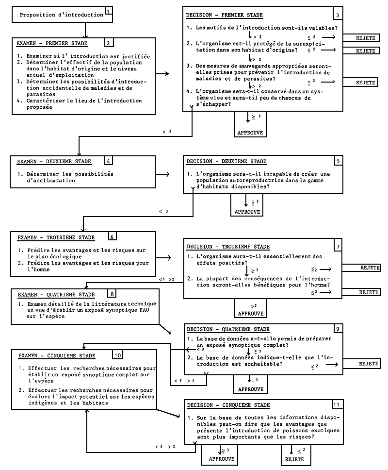
Ce modèle (figure 1) comporte cinq stades d'examen et de décision. Les éléments du modèle sont décrits ci-dessous; les décisions se fondent sur les réponses à un questionnaire (tableau 1).
(a) Proposition d'introduction d'organismes aquatiques
Une entité souhaitant procéder à une introduction préparera une proposition fournissant les renseignements suivants:
organisme dont on propose l'introduction (nom commun et scientifique);
aire de répartition d'origine, aire de répartition actuelle;
but de l'introduction;
lieu de l'introduction, type de système dans lequel seront introduits ces organismes et leur nombre;
précautions prises ou à prendre pour garantir que ces organismes ne sont pas porteurs de parasites et d'organismes pathogènes contagieux;
mesures prévues, si les organismes doivent être maintenus dans un système clos, pour éviter qu'ils s'échappent accidentellement dans les eaux libres;
état des connaissances sur le pouvoir d'acclimatation de l'organisme ((a) température requise: tropicale, tempérée, arctique; (b) habitat: cours d'eau, fleuves, lacs, étangs, etc.; (c) reproduction: décrire le lieu de ponte et la stratégie de reproduction des organismes). La proposition devra être accompagnée d'une bibliographie pertinente.
(b) Examen de la proposition - premier stade
But de l'introduction
L'entité a-t-elle des raisons valables d'introduire l'organisme aquatique?
N'existe-t-il aucune espèce locale susceptible de jouer le même rôle?
Effectif dans l'aire d'origine
La connaissance des effectifs de la population de l'organisme dans son aire
d'origine est un aspect important de l'évaluation. Est-il en danger, menacé ou
rare? Est-il exploité à l'état sauvage ou fait-il l'objet d'un élevage?
Organismes et parasites pathogènes contagieux
L'évaluation comprendra un examen des mesures de sauvegarde prises pour éviter la
transmission d'organismes ou de parasites pathogènes contagieux au système dans lequel
on se propose d'introduire l'organisme;
Lieu d'introduction
Il importe de savoir dès le début si cet organisme sera introduit dans un systéme
clos ou en eaux libres. Sera-t-il introduit dans un système important de drainage,
ou aura-t-il la possibilité d'y accéder?
S'il doit être maintenu dans un système clos, l'entité devra identifier les mesures
qu'elle entend prendre pour éviter qu'il s'échappe accidentellement.
(c) Décision - premier stade
La proposition d'introduction sera rejetée:
si les raisons de l'introduction ne sont pas considérées valables;
si l'introduction est faite pour des raisons autres que la conservation, lorsque l'organisme est en danger, menacé ou rare dans son aire d'origine;
si l'entité n'a pas déterminé les mesures à prendre pour éviter l'introduction de parasites ou organismes pathogènes contagieux. Au contraire, la proposition sera approuvée à ce stade si elle satisfait aux critères ci-dessus et si l'introduction est limitée à un système clos. Si cette dernière condition n'est pas entièrement satisfaite, le processus d'évaluation passera au deuxième stade de l'examen.
(d) Examen - deuxième stade
Ce stade de l'examen et les suivants s'adressent aux experts choisis par le Groupe de travail. A ce stade, le pouvoir d'acclimatation de l'organisme est évalué (question 5 du questionnaire, tableau 1). Si les informations pertinentes sont insuffisantes - comme le montrent plus de 50 pour cent des réponses “Ne sait pas” sur le questionnaire - le Groupe de travail pourrait suggérer que l'entité effectue des recherches sur un nombre limité de spécimens, dans un milieu clos, aux fins d'obtenir les données requises. Le Groupe de travail peut suggérer que toutes les recherches soient menées dans l'aire d'origine de l'organisme.
(e) Décision - deuxième stade
La proposition d'introduction sera approuvée s'il y a de fortes chances que l'organisme n'engendre pas une population autoreproductrice (valeur moyenne ≥ 3 pour la question 5 du tableau 1). En revanche, une évaluation plus approfondie sera obligatoire pour les organismes susceptibles de produire des populations autoreproductrices ou si l'on n'a pas les informations nécessaires pour le prévoir avec assez de certitude.
(f) Examen - troisième stade
A ce stade, l'examen devra prédire l'impact que l'organisme pourrait avoir sur l'intégrité écologique du système dans lequel il doit être introduit. En outre, l'analyse des avantages et des risques comportera l'évaluation de tous les impacts qu'il pourrait avoir sur l'homme. A ce niveau, l'examen nécessite des connaissances détaillées des relations écologiques de l'organisme dans son habitat d'origine, ainsi qu'une somme importante d'informations sur la structure communautaire du système dans lequel on se propose de l'introduire.
(g) Décision - troisième stade
L'introduction sera refusée si d'après les informations disponibles (valeurs moyennes du questionnaire ≤ 2) l'organisme risque d'avoir d'importants effets négatifs sur le système dans lequel il sera introduit ou sur l'homme. La proposition sera au contraire approuvée si les informations conduisent à une conclusion opposée. Si ces informations ne sont pas estimées concluantes, l'évaluation se poursuivra jusqu'au quatriéme stade.
(h) Examen - quatrième stade
Ce stade nécessite la mise au point d'un examen détaillé de la littérature technique fondé sur le modèle d'exposé synoptique de la FAO (Nations Unies). Toutefois, il faudra y ajouter des chapitres supplémentaires concernant les effets de l'introduction (documentés ou potentiels). Une fois l'exposé synoptique préparé, cette information sera envoyée à nouveau aux experts afin qu'ils puissent formuler une recommandation.
(i) Décision - quatrième stade
Sur la base d'une analyse des données recueillies à l'issue d'un second envoie du questionnaire, le Groupe de travail approuvera ou refusera l'introduction rejetée. Un cinquième stade d'examen sera nécessaire si la base de données n'est pas considérée suffisante ou si l'on ne peut conclure clairement que l'introduction est souhaitable.
(j) Examen - cinquiéme stade
A ce stade, il faudra effectuer des recherches pour compléter l'exposé synoptique sur l'espèce ou pour évaluer l'impact potentiel de l'introduction sur la flore et la faune indigènes et les habitats. La recherche pourrait être conduite dans des conditions contrôlées près du lieu où l'introduction est envisagée ou bien le Groupe de travail pourrait suggérer que toutes les études soient faites dans l'aire de répartition originelle des organismes.
(k) Décision - cinquième stade
A ce stade, sur la base de toutes les informations réunies, le Groupe de travail devrait être en mesure de formuler des recommandations bien documentées sur l'introduction proposée. Toutefois, le Groupe de travail pourrait considérer nécessaire de recommander des recherches complémentaires si d'importantes questions restaient à résoudre. Dans ce cas, le cinquième et dernier stade d'évaluation deviendrait une boucle du modèle jusqu'à ce qu'une recommandation soit formulée.
(a) L'administration du Code d'usage et des protocoles annexes repose entièrement sur l'adhésion volontaire aux directives et de nombreux groupes d'utilisateuis ont, à l'égard des introductions, des opinions contraires à celles de la Commission; aussi est-il indispensable de former ces groupes pour les encourager à appliquer volontairement ce Code. Pour faciliter cette formation il a été recommandé de sensibiliser davantage ces groupes aux dangers que peuvent présenter les introductions non contrôlées. On pourrait par example réunir des études de cas où l'introduction a eu des effets négatifs et les publier dans la presse destinée aux pêcheurs à la ligne. Le Code d'usage lui-même pourrait être diffusé de la même manière.
On a en outre recommandé que le rapport de ce Groupe de travail soit transmis à l'Union internationale pour la conservation de la nature et de ses ressources et au Fonds mondial pour la nature aux fins d'information.
(b) Des spécimens, représentatifs de l'espèce introduite, devraient être déposés au moment de l'introduction auprès d'un institut scientifique reconnu. Ils devraient être prélevés au moment de l'introduction ou du lâcher, et préparés et préservés selon des méthodes normalisées (comme la méthode d'emparaffinage) aux fins d'études histologiques futures.
(c) Afin de faire mieux connaître la législation régissant l'introduction d'organismes aquatiques dans les eaux intérieures des pays membres de la CECPI, il a été recommandé que le Groupe de travail réunisse les lois pertinentes de chaque pays en vue de les publier comme document technique de la CECPI.
Tableau 1
Questionnaire en vue de l'évaluation des introductions d'organismes aquatiques
Chaque membre d'un groupe d'experts chargé de l'évaluation devra cercler le
chiffre qui correspond le mieux à son opinion
Si les données ne sont pas disponibles, ou trop incertaines,
ils cocheront la colonne “ne sait pas”
(Kohler et Stanley, sous presse)
| Réponse | |||||||
| non | improbable | possible | probable | oui | ne sait pas | ||
| 1. | L'introduction est-elle nécessaire et n'y a-t-il aucune espèce locale susceptible de jouer le même rôle? | 1 | 2 | 3 | 4 | 5 | X |
| 2. | Cet organisme est-il protégé de la surexploitation dans son aire d'origine? | 1 | 2 | 3 | 4 | 5 | X |
| 3. | Les mesures de sauvegarde sontelles suffisantes pour prévenir l'importation de maladies ou de parasites? | 1 | 2 | 3 | 4 | 5 | X |
| 4. | L'introduction sera-t-elle limitée à un système clos? | 1 | 2 | 3 | 4 | 5 | X |
| 5. | L'organisme sera-t-il incapable de créer une population autoreproductrice dans la gamme d'habitats disponibles? | 1 | 2 | 3 | 4 | 5 | X |
| 6. | Cet organisme n'aura-t-il que des effets positifs sur l'écologie? | 1 | 2 | 3 | 4 | 5 | X |
| 7. | L'introduction n'aura-t-elle que des conséquences bénéfiques pour l'homme? | 1 | 2 | 3 | 4 | 5 | X |
| 8. | Existe-t-il un exposé synoptique sur l'espèce et est-il complet? | 1 | 2 | 3 | 4 | 5 | X |
| 9. | La base de données montre-t-elle que l'introduction est souhaitable? | 1 | 2 | 3 | 4 | 5 | X |
| 10. | Les avantages seront-ils plus importants que les risques? | 1 | 2 | 3 | 4 | 5 | X |

Figure 1 Modèle d'examen et de décision pour l'évaluation des projets d'introduction d'organismes aquatiques. Les décisions se fondent sur les valeurs moyennes du questionnaire (voir tableau 1) (Kohler et Stanley, sous presse)
Report of the Working Group on Introduction and Transfers of Marine Organisms, ICES, C.M. 1982/F:37
Letters from Backiel (Poland), Henri (UK), Timmermans (Belgium), Dahl (Denmark), Stephanou (Cyprus) and Thuransky (Hungary) commenting on the Code of Practice as presented in EIFAC/XII/82/17
Proposed ICES Guidelines for Implementing of Code of Practice (ICES, C.M. 1982/F:33)
The ICES Working Group's document on protocoles for inspection of marine organisms prior to importation
Kohler's paper on Implementation of a Review and Decision Model for Evaluating Introductions in Europe and North America
Report of the Symposium on Stock Enhancement in the Management of Freshwater Fisheries, EIFAC/T.42
Conservation of the Genetic Resources of Fish: Problems and Recommendations, FIRI/ T. 217
Registre des transferts internationaux d'espèces de poissons des eaux continentales FIRI/T.213
A suggested Protocol for Evaluating Proposed Exotic Fish Introductions in the U.S.A. by Kohler and Stanley
Introduced Fish Terminology by Shafland and Lewis
Further comments on Code of Practice by EIFAC correspondents
Le Symposium sur l'amélioration des stocks dans le cadre de l'aménagement des pêcheries d'eau douce (Budapest, 31 mai – 2 juin 1982) a conclu qu'en dépit d'une longue expérience du repeuplement des eaux intérieures en Europe avec de nombreuses espèces, on connaît peu d'incidences écologiques et économiques de ces activités. Il apparaît toutefois que, malgré certains succès, les pratiques actuelles de repeuplement sont, en grande partie, mal orientées et improductives sur le plan économique et écologique.
Les communications ci-joints de Backiel (annexe C. 1) et de Grimm (annexe C. 2), ont été présentées et étudiées. Le Groupe de travail a estimé qu'il n'avait pas grand-chose à ajouter à leurs conclusions et à celles du Symposium pour le moment. Toutefois, il a estimé que les points ci-dessous étaient particulièrement importants:
définition: lâcher internationnel d'organismes aquatiques dans le but d'utiliser la productivité biologique naturelle de plans d'eau naturels ou artificiels (tels que les réservoirs) autres que les bassins de pisciculture ou autres unités d'élevage intensif;
l'objectif du repeuplement peut conditionner les procédures et les politiques selon lesquelles il est effectué et donc influencer aussi les directives nécessaires. On a identifié les objectifs suivants de repeuplement, mais chacun d'eux devrait faire l'objet d'une définition plus détaillée:
compenser: pour remplacer un stade du cycle biologique supprimé par l'intervention de l'homme (en l'absence de repeuplement le stock disparaîtrait)
entretenir: pour soutenir les stocks qui doivent faire face au pressions du milieu ou de la pêche qui les empêchent d'atteindre leur capacité de charge naturelle
améliorer: pour maintenir la production au-dessus du niveau qu'elle atteindrait naturellement en présence d'une forte exploitation
stocker et récolter: pour fournir des poissons de la taille autorisée pour la capture en vue d'une rapide exploitation par les pêcheurs à la ligne (contribution minimale du milieu)
stocker et récolter après croissance: pour fournir des poissons qui devront atteindre la taille autorisée pour la capture avant d'être exploités par les pêcheurs à la ligne (une certaine contribution du milieu)
repopulation: établissement d'un stock unitaire d'une communauté dans des eaux d'où il a été éliminé auparavant
accroître la diversité: pour augmenter la gamme d'espèces disponibles dans une pêcherie
occuper une niche: pour introduire des stocks qui utiliseront un espace ou une ressource considérée comme inexploitée
créer du poisson-fourrage: pour fournir une espèce-proie pour améliorer la production de la pêche à la ligne ou de la pêche commerciale
lutter contre les ravageurs: pour fournir des organismes en mesure de limiter la flore ou la faune considérées comme nuisibles à l'homme
améliorer le milieu: pour fournir des organismes susceptibles d'avoir des effets positifs sur l'écosystème
conserver: pour entretenir la diversité génétique (pour conserver les espèces ou les stocks menacés)
étant donné l'insuffisance générale d'informations sur le repeuplement en Europe, il est recommandé de créer un groupe de travail sur le repeuplement chargé:
de passer en revue les politiques et pratiques européennes de repeuplement des eaux intérieures
d'encourager la coopération dans la recherche et la surveillance des pratiques de repeuplement
d'établir des directives pour le repeuplement de certaines espèces de poisson
ce groupe de travail devrait comprendre des spécialistes des différents aspects du repeuplement et l'on a proposé de demander aux experts suivants d'en constituer le noyau:
M. Grimm (Pays-Bas)
A. Lelek (République fédérale d'Allemagne)
J.C. Phillipart (Belgique)
F. Kennedy (Irlande du Nord)
K. Mann (Royaume-Uni)
K. Salojarvi (Finlande)
M. Bninska (Pologne)
J. Holcik (Tchécoslovaquie)
C. Moriarty (Irlande)
A. Raat (Pays-Bas)
B. Holmberg (Suède)
non encore désigné (France)
Ces spécialistes devront rechercher la participation d'autres experts du repeuplement; il serait également souhaitable d'inviter des représentants des Etats-Unis et du Canada à faire partie du groupe.
1. Qu'est ce que le repeuplement?
Les directives proposées pour l'application du Code d'usage du CIEM concernant les introductions et les transferts d'espèces marines (CIEM, CM. 1982/F: 33, Comité de la mariculture) contiennent plusieurs définitions se rapportant aux directives envisagées pour le repeuplement. Les “espèces transférées” (= espèces transplantées) sont toutes les espèces intentionnellement ou accidentellement transportées et relâchées au sein de leur habitat actuel. Cette définition couvre le repeuplement, que l'on peut aussi définir comme le lâcher intentionnel de toute espèce établie dans les eaux de son habitat actuel.
Le but du repeuplement, au sens où on l'entend ici, est d'utiliser la productivité biologique naturelle de plans d'eau naturels ou artificiels (tels que les réservoirs) autres que les bassins de pisciculture ou autres unités d'élevage intensif.
2. Concept du stock
Peupler un lac avec des espèces de poissons provenant d'un autre lac et peupler le même lac avec des poissons originaires de ses propres eaux, peuvent avoir des incidences et des conséquences différentes. Il importe ici de ne pas perdre de vue la diversité intra-spécifique des espèces; toute définition qui souligne cette diversité peut être adoptée et le Symposium sur le concept du stock, 1981 (Can.J.Fish.Aquat.Sci., 38, № 12) peut être consulté à cet égard.
3. Globalité ou détail
L'opposition entre “confiance” et “précision” lors du traitement des statistiques est bien connue. Une opposition analogue est souvent observée dans les sciences appliquées où les praticiens souhaiteraient obtenir une série de recommandations qualitativement et quantitativement précises sur ce qu'ils doivent faire et sur les résultats qu'ils obtiendraient. Ceci est rarement possible et dans le cas du repeuplement, on peut même citer des textes assez anciens par exemple celui de Leger (1910) “Principes de la méthode rationnelle du peuplement des cours d'eau à salmonidés”, Trav.Lab.Pisciclt.Univ.de Grenoble, ou ceux de G.C. Embody (1928) “Stocking policy for streams, smaller lakes and ponds of Oswego watersheds”, N.Y.Cons.Dept.Supp. to 17th Ann.Rept. Ces auteurs ont formulé des recommandations tout à fait détaillées sur le lieu, l'espèce et le nombre de poissons à utiliser pour le repeuplement.
De nos jours, les gestionnaires ne semblent pas satisfaits de méthodes aussi “fines”. On pourrait concevoir l'énumération de tous les facteurs imaginables ou prouvés qui conditionnent le succès du peuplement; cela donnerait un modèle “véridique” mais il est irréalisable car il n'est pas possible d'obtenir des données sur de nombreux facteurs environnementaux et biocoeniques pour toutes les eaux. Il faut donc rechercher un compromis entre globalité et détail.
4. Autres notions et idées pertinentes
Quel que soit le motif du peuplement, on peut s'attendre à ce qu'au moins une partie des poissons utilisés pour cette opération survivent et croissent jusqu'à atteindre la taille autorisée pour la capture. Survie et croissance sont des éléments fondamentaux de la dynamique des populations et il semble utile d'en tenir compte ici. Une trajectoire temps-espace d'une cohorte de poissons introduits peut être vue comme suit:
En dehors de la survie et de la croissance, les aspects quantitatifs d'une trajectoire sont la fécondité, les périodes de développement (période larvaire, âge à la maturité, etc.), les déplacements, l'espace habité et la densité. Il est évidemment difficile d'estimer et de prévoir tous ces paramètres dans le cas d'une cohorte de poissons de peuplement, mais on peut calculer certains d'entre-eux pour des espèces assez connues. Ils sont utiles lorsqu'on envisage une opération de repeuplement.
Pour ce qui est des stocks multispécifiques, il est si difficile d'appliquer au modèle le concept classique de la dynamique des populations qu'il faut rechercher une autre base d'aménagement. C'est également le cas lorsque l'on se trouve en présence de nombreux petits stocks d'une espèce, par exemple la truite de mer dans de nombreux cours d'eau. On a “redécouvert” l'idée d'une forme de succession de communautés de poissons en réaction à des changements de milieu naturels ou induits, et on la considère comme utile pour l'aménagement (personnellement, j'estime que c'est une redécouverte de l'ancienne typologie des lacs bien connue en Europe centrale et en URSS-lacs à corégones, brèmes, brochets et tanches, sandres (Barthelmes, 1981, Hydrobiologische grundlagen der Binnenfischerei, Jena) ou une série plus compliquée, en Pologne ou en URSS, de lacs à corégones, brémes, brèmes et éperlans, brèmes et ablettes, sandres, perches et gardons, cyprins.
Au cours du dernier Symposium de la CECPI sur l'amélioration des stocks dans le cadre de l'aménagement des pêcheries d'eau douce, plusieurs autres théories ont été présentées qui méritent de retenir l'attention de ceux qui formulent des directives sur le repeuplement. La théorie des niches et ses dérivés - chevauchement des niches, niche réalisée, changement de niche, etc. -, la dominance et la subordiantion dans les communautés de poisson (voir Svardson, 1976, Rep-Inst. Freshwater Res., Drottningholm 55: 144–71) sont des exemples de ce type d'idées conçues entre autres pour expliquer les faits réels ou apparents a posteriori.
5. Faut-il repeupler?
Deux questions importantes se posent: (a) le repeuplement avec l'espèce × peut-il améliorer la pêche dans les eaux W? et, (b) quel effet aura cette opération sur d'autres poissons ou sur le milieu? La première question est d'ordre qualitatif et trouve facilement une réponse dans des circonstances normales.
Si l'on considère une espèce donnée dont on connaît bien le cycle biologique et les besoins écologiques, on peut envisager deux extrêmes:
le milieu en question se prête manifestement à ce repeuplement et, la pêche est intensive; le repeuplement avec du poisson prêt à la capture peut donc se justifier;
le milieu ne s'y prête manifestement pas (c'est le cas par exemple d'un lac aux eaux chaudes et eutrophisées); pour les alevins de truites de mer; dans ce cas le repeuplement serait une perte de temps.
Lors d'une opération de repeuplement rationnel les possibilités de survie des poissons introduits atteignent près de 100 pour cent dans le premier cas et sont nulles dans le second. Il existe probablement une variété infinie de situations intermédiaires entre ces deux extrêmes mais on pourrait peut-être réduire cette variété en considérant:
| Stades biologiques | par rapport aux | habitats disponibles, à certains facteurs abiotiques |
| possibilité de concurrence et d'actions de prédateurs. |
Le repeuplement s'impose évidemment lorsque les alevinières sont détruites ou inaccessibles (comme pour le saumon de la Baltique); en tenant compte des aspects économiques, il est alors justifié de relâcher des poissons élevés en écloserie.
S'agissant des possibilités de survie, il faudrait supposer que le poisson de repeuplement est sujet aux mêmes processus de mortalité que les populations naturelles de la même taille. Evidemment, là où des facteurs liés à la densité influent sur la mortailité, il faut aussi tenir compte de la densité pré-existante de l'espèce de repeuplement.
6. Comment déterminer l'effectif du stock de repeuplement
L'une des méthodes permettant d'évaluer l'importance du stock de repeuplement est empirique: une estimation approximative du poids des captures annuelles, divisée par le taux annuel d'exploitation donne une estimation de la biomasse moyenne du stock capturable; on peut évaluer approximativement la biomasse recrutée annuellement pour ce stock d'aprés les publications techniques sur les espèces les plus communes - en pourcentage du stock capturable; le peuplement, envisagé ou en cours, est alors comparé à la biomasse recrutée.
Par exemple, si le taux de pêche est 0,3 et le recrutement annuel 0,08 pour cent du stock capturable (chiffres tirés de Backiel, 1971, dans J.Fish Biol., 3:369–405, sur le poisson piscivore dans la Vistule), le recrutement est alors de 27 pour cent des prises en poids. Tout programme de repeuplement de 2 à 5 pour cent des captures par exemple serait pour le moins difficile à évaluer quant à ses effets, car les fluctuations naturelles atténueront les effets du repeuplement. Il semble que l'on puisse trouver dans la littérature technique des données dont on peut tirer une gamme des deux paramètres.
La seconde approche, proposée par Welcomme (1976), est fondée sur l'estimation du rendement potentiel d'une eau donnée en utilisant l'indice morpho-édaphique. Le nombre de poissons de repeuplement peut alors être estimé d'après la formule suivante:

| dans laquelle | S | = | le nombre de poissons de peuplement |
| P | = | le rendement potentiel annuel naturel du plan d'eau calculé d'après l'indice morpho-édaphique ou par d'autres moyens | |
| q | = | la proportion du rendement que l'on peut tirer de l'espèce en question dans les stocks multispécifiques | |
| W | = | le poids moyen à la capture | |
| tc | = | âge à la capture | |
| to | = | âge au moment du repeuplement | |
| Z | = | taux de mortalité total |
Cette approche, récemment utilisée pour des réservoirs au Sri-Lanka, a donné d'assez bons résultats.
7. Estimation des effets du repeuplement
Il existe plusieurs groupes de méthodes, d'importance fondamentale pour le succès ou l'échec du repeuplement:
- taux de repeuplement par rapport aux captures en tenant dûment compte du délai entre le repeuplement et la capture, comme on l'a vu pour les anguilles au cours du Symposium de la CECPI à Budapest;
- marquage (de nombreuses études ont été effectuées);
- identification du stock comme celle utilisée en recherche génétique (l'analyse des protéines par électrophorèse a révélé les effets du repeuplement - voir Altukhov, 1981, et Ryman et Stahl, 1981, dans le volume du Symposium sur le concept du repeuplement, cité ci-dessus);
- analyse des opinions, par exemple, des pêcheurs sportifs.
Les problèmes techniques de l'interface entre les techniques aquacoles et les procédures de peuplement ont été analysés dans le passé ainsi qu'au cours du Symposium de la CECPI à Budapest. Dans quelle mesure ces questions doivent-elles être étudiées par le Groupe de travail? Les débats pourraient porter également sur la manipulation du poisson ainsi que sur les problèmes que posent les maladies des poissons.
M. Grimm, Pays-Bas
1. Introduction
Le repeuplement - qui consiste à introduire dans les eaux de l'aire de répartition géographique d'une espèce, des poissons de cette espèce, à un certain stade de leur vie-est une pratique courante. Toutefois, les résultats de cette opération semblent varier en fonction de l'espèce, des stades biologiques, de l'emplacement et des objectifs d'aménagement.
L'indroduction d'anguilles et de civelles, le peuplement de tacons et le lâcher d'alevins de truite (peuplements effectués pour compenser les effets du blocage des voies de migration vers les lieux de ponte ou de croissance et/ou de la détérioration de la nature du fond des lieux de ponte) donnent en général de bons résultats.
En revanche, le peuplement d'alevins d'espèces prédatrices (brochet du nord, sandre, truite) visant à accroître la densité des populations, est, semble-t-il, un échec total-comme dans le cas du brochet du nord - ou suscite des doutes sérieux quant aux bons résultats signalés. Souvent, les méthodes utilisées pour quantifier les effets du peuplement ne s'intéressent qu'aux poissons de peuplement. Les sujets marqués sont utilisés pour le peuplement et la fréquence de la recapture de ces sujets est considérée comme une contribution à l'augmentation de la population. L'autre possibilité selon laquelle des sujets naturellement recrutés sont remplacés par les sujets de peuplement n'est généralement pas prise en considération. Ceci tient au fait que les gestionnaires et les scientifiques sont persuadés qu'un input donné doit plus ou moins correspondre à une production souhaitée, ou bien au fait qu'ils n'ont guère de possibilités d'évaluer les effets du pleuplement sur une base plus solide.
Cette foi ou cette confiance dans les résultats bénéfiques du peuplement pourrait expliquer l'absence d'études fondamentales d'évaluation sur les introductions de nombreuses espèces. C'est ainsi, par exemple, que les résultats des transferts et des transplantations de gardons, de brèmes, de brochets du nord adultes et de sandres aux Pays-Bas et en Belgique semblent n'avoir été signalés ou étudiés qu' incidemment. Les communications faites lors du symposium de la CECPI sur l'amélioration des stocks portent essentiellement sur les résultats plus ou moins bons obtenus dans le repeuplement ou sur des études de cas dans lesquelles les effets observés pourraient, selon l'auteur, être attibués essentiellement au peuplement d'une espèce. Elles ne signalent pratiquement aucun résultat positif des peuplements. Il faut souligner que les cas d'amélioration des stocks par le repeuplement sont très rares. La raison semble en être que si l'on dispose de nombreuses informations sur la préférence en matière d'habitat, sur les répartitions dans le temps et dans l'espace, sur les préférences alimentaires et les prédateurs, on ne connaît pas les facteurs qui déterminent le recrutement aux tailles adultes ou capturables.
L'amplitude des fluctuations “naturelles” de l'effectif de la plupart des espèces est donc inconnue, et partant, on ne peut mesurer les effets du repeuplement (spécialement des plus jeunes).
Les directives sur le repeuplement portent (i) sur les effets immédiats ou futurs que l'on doit attendre du repeuplement effectué avec un nombre donné de poissons, à un stade biologique donné, ou dans une certaine gamme de tailles, (ii) sur la densité de population de l'espèce de repeuplement et (iii) sur l'effectif et la structure de la population d'autres espèces. Etant donné les méthodes d'évaluation des stocks le plus souvent utilisées, il sera difficile de prévoir ces effets en étudiant la littérature technique. Aussi est-il à craindre que, pour le moment, les directives sur le peuplement ne puissent être établies que dans des termes très généraux. En ce qui concerne les effets bénéfiques sur la densité de la population de l'espèce, on pourra souligner les succès obtenus avec le repeuplement de stades biologiques de certaines espèces et le scepticisme sur l'utilisation du repeuplement d'autres espèces et laisser le bénéfice du doute pour ce qui est d'autres espèces. Les informations que l'on possède sur l'influence du repeuplement sur d'autres espèces sont rares et de caractère spéculatif. C'est pourquoi il me semble souhaitable d'envisager l'établissement de ces directives comme un processus itératif à long terme.
On pourrait suivre la voie suivante:
inventaire: (a) des espèces de peuplement ou transférées au sein des pays membres; (b) des effectifs utilisés chaque année pour le peuplement au cours des dix dernières années; (c) des directives concernant le repeuplement (nombre et poids par hectare); et (d) des résultats signalés;
examen des données fournies par la littérature technique;
établissement de directives provisoires, détermination des lacunes de l'information, formulation de recommandations pour les méthodes d'évaluation des stocks;
mise à jour permanente des directives.
L'inventaire (au paragraphe (i) ci-dessus) donnera une idée de plusieurs aspects des pratiques de repeuplement:
- espèces les plus importantes du point de vue économique;
- directives sur le nombre de poissons de peuplement;
- augmentations ou diminutions des effectifs de peuplement qui pourraient refléter la confiance ou le scepticisme des gestionnaires envers le produit.
Un examen de la littérature concernant le repeuplement (paragraphe (ii)) qui peut en grande partie s'appuyer sur les documents du Symposium de Budapest, peut révéler l'inutilité d'établir des directives pour un certain nombre d'espèces ou de stades biologiques. Par exemple, une étude préliminaire sur les repeuplements à l'aide d'alevins de sandre en automne montre que ce produit ne servira qu'à introduire l'espèce dans un plan d'eau, mais non à améliorer les stocks. En outre, on peut douter, dans certains cas, de l'efficacité du repeuplement effectué avec des alevins de truite, ne serait-ce qu'en raison de leur comportement territorial.
Par ailleurs, un examen de la littérature technique fournit des informations supplémentaires sur la pratique du repeuplement, et des informations générales sur les motifs et les objectifs de cette pratique.
En ce qui concerne l'établissement de directives provisoires (paragraphe (iii), cidessus), il semble utile de formuler des directives globales fondées sur l'expérience d'experts, l'étude de la littérature technique et les inventaires des pratiques de repeuplement sur une période de deux à trois ans. Il faut encourager les pays membres à évaluer les repeuplements à l'avenir sur de longues périodes, en surveillant à la fois les captures et la dynamique des populations de poissons. Il est souhaitable de procéder à des estimations de la population, soit en étudiant les statistiques de captùres, soit en marquant et en capturant à nouveau les poissons sur des périodes de cinq ans, par exemple, avant et après le repeuplement. Il faudrait promouvoir les programmes et les moyens permettant d'obtenir couramment ces données. Ces dernières ainsi réunies, permettraient d'affiner et de mettre à jour les directives provisoires relatives au repeuplement (paragraphe (iv) ci-dessus).
2. Classification des pratiques de repeuplement
Il pourrait s'avérer utile, comme on le montrera dans une certaine mesure ci-après, de classer les peuplements en fonction des effets qu'ils ont sur la communauté ichthyologique et sur l'effectif des espèces de repeuplement. On peut aussi les classer d'après les objectifs d'aménagement. Dans la présente communication, toutefois, nous considérons la population de poissons comme la base naturelle de classification. On peut donc distinguer deux types principaux de peuplements:
le peuplement visant à établir une espèce, par repeuplement continu ou non, dans des eaux situées à l'intérieur de son aire de répartition géographique mais dans un endroit où elle n'était jamais apparue jusqu'ici. Ainsi, aux Pays-Bas, les sandres pourraient être maintenant considérées comme une espèce autochtone; pourtant il existe un certain nombre de plans d'eau d'où cette espèce est absente et où on pourrait l'introduire. De même, le repeuplement de carpes pourrait être considéré dans un certain nombre de cours d'eau comme une introduction. Au sein de ce groupe, on peut distinguer les objectifs d'aménagement à long terme (un an et plus) et les objectifs à court terme. Ces derniers - par exemple la pêche à la truite introduite et capturée - pourraient même être réalisés par l'introduction de poissons dans des plans d'eau ne satisfaisant pas aux conditions de leur habitat;
le peuplement visant à soutenir ou à favoriser une espèce qui reste naturellement présente dans un cours d'eau pendant dix ans et plus:
pour compenser une réduction d'effectif (par exemple pour préserver une espèce);
pour maintenir un nombre maximum;
pour relever le nombre maximum.
C'est en repeuplant avec des poissons aux premiers stades biologiques que l'on poursuit la majorité des objectifs d'aménagement orientés vers des effets à long terme [paragraphe (ii) (a) et (b)]. En ce qui concerne le dernier objectif c-dessus [(ii) (c)], on procède souvent à un repeuplement ou à un transfert de sujets relativement gros. Cette méthode donne des effets à court terme. Il semble souhaitable que notre Groupe de travail laisse de côté les objectifs de conservation de l'espèce parce que seuls les stocks exploitables intéressent les pêches.
3. Cadre des directives provisoires
Aux fins d'établissement de directives provisoires, les deux catégories (i) et (ii) requièrent une approche différente. Dans le cas de la première, ces directives devraient couvrir entre-autres:
- les conditions de l'habitat;
- les possibilités de reproduction naturelle;
- les conditions minimales abiotiques nécessaires à l'établissement de l'espèce;
- le chevauchement éventuel des niches avec les espèces autochtones.
Comme on ne connaît pas les facteurs régissant l'effectif et la structure de la population des espèces autochtones et des espèces introduites, il est difficile de prévoir les conséquences des introductions du type (i) ce qu'illustrent les preuves plus ou moins contradictoires des conséquences de l'introduction de sandres, présentées lors du Symposium sur l'amélioration des stocks.
Etant donné nos connaissances actuelles, le meilleur moyen est de traiter leur introduction comme celle des espèces exotiques. Une bonne méthode pour établir les directives consiste à suivre le “Modèle d'examen et de décision” de Kohler et Stanley (Symposium de l'amélioration des stocks). Toutefois, il semble tout à fait souhaitable de ne pas dépasser le deuxième stade de décision: “pas de reproduction”, en utilisant des poissons qui ne peuvent pas se reproduire en raison de facteurs biotiques ou abiotiques ou de l'introduction de sujets d'un seul sexe ou d'individus stériles. Dans le cas des peuplements du type (ii), il apparaît que les conditions nécessaires à la reproduction naturelle, les conditions d'habitat etc., sont satisfaites, bien qu'éventuellement à un degré moindre en raison de modifications dues à l'homme. On pourrait, dans certains cas, prédire les conséquences de la restauration des populations en diminution sur la communauté de poissons en se fondant sur les statistiques de captures du “bon vieux temps”.
Les directives relatives au repeuplement des classes (ii) (a) et (ii) (b) porteront sur la détérioration du milieu, particulièrement des lieux de ponte et de croissance. Il devrait être stipulé que le repeuplement effectué avec des sujets aux premiers stades de leur cycle biologique est rationnel;
si l'habitat satisfait aux conditions dont l'espèce à partir de ce stade;
si la conservation de la variabilité génétique du stock est garantie (FAO, Document technique des pêches, 217);
si l'on a évité l'introduction de maladies;
si la vulnérabilité du poisson de repeuplement envers les prédateurs est inférieure ou égale à celle des stocks indigènes;
si la mortalité résultant de la manipulation au moment du repeuplement est négligeable.
Dans le cas où les directives sont données dans le but de préserver une espèce, on pourrait se préoccuper des effets de l'amélioration de l'habitat (élargissement des endroits abrités dans les cours d'eau au lieu du repeuplement avec des truites) et des changements de la qualité de l'eau.
4. Plan d'action proposé
Dans l'introduction, nous avons distingué quatre groupes d'activités qui sont indispensables à l'établissement de directives pour le repeuplement. En ce qui concerne ces groupes, il est proposé de planifier les activités suivantes:
inventaire des pratiques de repeuplement; il peut être effectué en 1983/84. Coordination par le Secrétariat de la CECPI où le Groupe de travail (questionnaires aux correspondants de la CECPI, et à des personnes ou instituts);
examen de la littérature traitant des pratiques de repeuplement, de leurs résultats et de leurs effets. Il est suggéré que la CECPI/FAO fournisse les références bibliographiques pertinentes grâce aux systèmes d'information ASFA et BIOSIS. Il serait souhaitable que l'étude de la littérature concernant certaines espèces d'Europe orientale soit confiée à des auteurs de cette région, dont M. Backiel peut sans doute suggérer les noms (Dr Berka?). Les informations pertinentes sur l'Europe occidentale, le Canada et l'Amérique du Nord pourraient être réunies par des auteurs de cette région, en coopération étroite évidemment avec ceux d'Europe orientale. Les études devraient être terminées avant 1985. M.P. Grimm pourrait se charger de la mise en forme des manuscrits. L'Organisation pour l'amélioration des pêches intérieures (Pays-Bas) est prête à entreprendre des études sur les cyprinidés, les percidés et les ésocidés des eaux stagnantes. Les auteurs qui se chargeront des cyprinidés d'eaux courantes, des salmonidés et des corégonidés, restent à désigner;
formulation de directives provisoires, lacunes de l'information, méthodes d'évaluation des stocks. En conséquence des paragraphes (i) et (ii), les directives provisoires peuvent être établies par le Groupe de travail. Ce dernier, et le Secrétariat de la CECPI, peuvent pousser les pays membres à établir des programmes et à prévoir des moyens pour l'évaluation des résultats et des effets du repeuplement;
Le Secrétariat de la CECPI peut coordonner la mise à jour des directives.
Hambourg, République fédérale d'Allemagne
16–19 mai 1983
| MEMBRES: | Prof. T. Backiel |
| Inland Fisheries Institute | |
| Zabienec | |
| PL 05–500 Piaseczno | |
| Pologne | |
| Dr M.P. Grimm | |
| Organization for the Improvement of Inland Fisheries | |
| Buxtehudelaan 1, Postbox 433 | |
| NL 3430 Nieuwegein | |
| Pays-Bas | |
| Dr M. von Lukowicz | |
| Bayerische Landesanstalt fur Fischerei | |
| Weilheimer Strasse 8a | |
| 8130 Starnberg (Obb.) | |
| République fédérale d'Allemagne | |
| Prof. Dr O. Enderlein | |
| Institute of Freshwater Research | |
| Soetvattenslaboratoriet | |
| S 170 11 Drottningholm | |
| Suède | |
| Prof. Dr K. Tiews (Président) | |
Institut fur Kusten-und Binnenfischerei der Bundesforschungsanstalt fur Fischerei | |
| Palmaille 9 | |
| D 2000 Hamburg 50 | |
| République fédérale d'Allemagne | |
| Dr R.L. Welcomme | |
Division des ressources halieutiques et de l'environnement | |
Organisation des Nations Unies pour l'alimentation et l'agriculture | |
| Via delle Terme di Caracalla | |
| 00100 Rome | |
| Italie | |
| Dr P. Tuunainen | |
| Finnish Game and Fisheries Research Institute | |
| Korkeavuorenkata 21 | |
| P.O. Box 193 | |
| 00131 Helsinki 13 | |
| Finlande | |
| OBSERVATEURS: | Dr C.C. Kohler |
| Southern Illinois University | |
| Carbondale, Illinois 62901 | |
| Etats-Unis | |
| Dr A. Lelek | |
| Forschungsinstitut Senckenberg | |
| Senckenberganlage 25 | |
| 6000 Frankfurt 1 | |
| République fédérale d'Allemagne | |
| Dr H. Rosenthal | |
| Biologische Anstalt Helgoland | |
| Notkestrasse 31 | |
| 2000 Hamburg 50 | |
| République fédérale d'Allemagne | |
| Dr C.J. Sindermann | |
| Sandy Hook Laboratory | |
| NEFC, NMFS | |
| Highlands, New Jersey 07732 | |
| Etats-Unis | |
| Dr J.M. Stewart | |
| Fisheries Research Branch | |
| Scotia Fundy Region | |
| Gouvernement du Canada | |
| INVITES: | Dr H. Kelinsteuber |
| Landwirtschaftskammer Weser-Ems | |
| Postfach 6 69 | |
| 2900 Oldenburg | |
| République fédérale d'Allemagne | |
| Dr Mau | |
| Ministerium für Landesentwicklung | |
| Umwelt, Landwirtschaft und Forsten | |
| Referat IIA 3 | |
| Holderlinstrasse 1–3 | |
| 6200 Wiesbaden | |
| République fédérale d'Allemagne |
EIFAC TECHNICAL PAPERS ISSUED DOCUMENTS TECHNIQUES DE LA CECPI PUBLIES
| EIFAC/T1 | Water quality criteria for European freshwater fish. Report on finely divided solids and inland fisheries (1964) Critères de qualité des eaux pour les poissons d'eau douce européens. Rapport sur les solides finement divisés et les pêches intérieures (1964) |
| EIFAC/T2 | Fish diseases. Technical Notes submitted to EIFAC Third Session by Messrs. J. Heyl, H.Mann, C.J. Rasmussen and A. van der Struik (1965) Maladies des poissons. Notes présentées à la troisième session de la CECPI par J. Heyl, H. Mann, C.J. Rasmussen et A. van der Struik (1965) |
| EIFAC/T3 | Feeding in trout and salmon culture. Papers submitted to a Symposium, EIFAC Fourth Session (1967) Alimentation dans l'élevage de la truite et du saumon. Communications présentées à un symposium, quatrième session de la CECPI (1967) |
| EIFAC/T4 | Water quality criteria for European freshwater fish. Report on extreme pH values and inland fisheries (1968) Critères de qualité des eaux pour les poissons d'eau douce européens. Rapport sur les valeurs extrêmes du pH et les pêches intérieures (1968) |
| EIFAC/T5 | Organization of inland fisheries administration in Europe, by Jean-Louis Gaudet (1968) Organisation de l'administration des pêches intérieures en Europe, par Jean-Louis Gaudet (1968) |
| EIFAC/T5(Rev.1) | Organization of inland fisheries administration in Europe. Revised edition (1974) Organisation de l'administration des pêches en Europe (édition révisée) (1974) |
| EIFAC/T6 | Water quality criteria for European freshwater fish. Report on water temperature and inland fisheries based mainly on Slavonic literature (1968) Critères de qualité des eaux pour les poissons d'eau douce européens. Rapport sur la température de l'eau et les pêches intérieures basé essentiellement sur la documentation slave (1968) |
| EIFAC/T7 | Economic evaluation of inland sport fishing, by Ingemar Norling (1968) Evaluation économique de la pêche sportive dans les eaux continentales, par Ingemar Norling (1968) |
| EIFAC/T8 | Water quality criteria for European freshwater fish. List of literature on the effect of water temperature on fish (1969) Critères de qualité des eaux pour les poissons d'eau douce européens. Références bibliographiques sur les effets de la température de l'eau sur le poisson (1969) |
| EIFAC/T9 | New developments in carp and trout nutrition. Papers submitted to a Symposium, EIFAC Fifth Session (1969) Récents développements dans la nutrition de la carpe et de la truite. Communications présentées à un symposium, cinquième session de la CECPI (1969) |
| EIFAC/T10 | Comparative study of laws and regulations governing the international traffic in live fish and fish eggs, by F.B. Zenny, FAO Legislation Branch (1969) Etude comparée des mesures législatives et administratives régissant les échanges internationaux de poissons vivants et d'oeufs de poisson, par F.B. Zenny, Service de législation de la FAO (1969) |
| EIFAC/T11 | Water quality criteria for European freshwater fish. Report on ammonia and inland fisheries (1970) Critères de qualité des eaux pour les poissons d'eau douce européens. Rapport sur l'ammoniac et les pêches intérieures (1971) |
| EIFAC/T12 | Salmon and trout feeds and feeding (1971) |
| CECPI/T12 | Aliments du saumon et de la truite et leur distribution (1973) |
| EIFAC/T13 | Some considerations on the theory of age determination of fish from their scales-Finding proofs of reliability, by R. Sych (1971) |
| EIFAC/T14 | EIFAC consultation on eel fishing gear and techniques (1971) Consultation de la CECPI sur les engins et techniques de pêches à l'anguille (1971) |
| EIFAC/T15 | Water quality criteria for European freshwater fish. Report on monohydric phenols and inland fisheries (1972) |
| CECPI/T15 | Critères de qualité des eaux pour les poissons d'eau douce européens: rapport sur les phénols monohydratés et les pêches intérieures (1973) |
| EIFAC/T16 | Symposium on the nature and extent of water pollution problems affecting inland fisheries in Europe. Synthesis of national reports (1972) Symposium sur la nature et l'étendue des problèmes de pollution des eaux affectant les pêches continentales en Europe. Synthèse des rapports nationaux (1972) |
| EIFAC/T17 | Symposium on the major communicable fish diseases in Europe and their control. Report (1972) |
| CECPI/T17 | Rapport du symposium sur les principales maladies transmissibles des poissons en Europe et la lutte contre celles-ci (1973) |
| EIFAC/T17 Suppl. 1 | The major communicable fish diseases of Europe and North America. A review of national and international measures for their control, by P.E. Thompson, W.A. Dill and G. Moore (1973) |
| CECPI/T17 Suppl. 1 | Les principales maladies transmissibles des poissons en Europe et en Amérique du Nord: examen de mesures nationales et internationales sur la lutte contre ces maladies, par P.E. Thompson, W.A. Dill et G. Moore (1973) |
| EIFAC/T17 Suppl. 2 | Symposium on the major communicable fish diseases in Europe and their control. Panel reviews and relevant papers (1973) |
| CECPI/T17 Suppl. 2 | Symposium sur les principales maladies transmissibles des poissons en Europe et la lutte contre celles-ci: exposés des groupes et communications apparentées (1973) |
| EIFAC/T18 | The role of administrative action as a tool in water pollution control, by G.K. Moore (1973) |
| CECPI/T18 | Le rôle instrumental de l'administration dans la lutte contre la pollution des eaux, par G.K. Moore (1973) |
| EIFAC/T19 | Water quality criteria for European freshwater fish. Report on dissolved oxygen and inland fisheries (1973) |
| CECPI/T19 | Critères de qualité des eaux pour les poissons d'eau douce européens. Rapport sur l'oxygène dissous et les pêches intérieures (1973) |
| EIFAC/T20 | Water quality criteria for European freshwater fish. Report on chlorine and freshwater fish (1973) |
| CECPI/T20 | Critères de qualité des eaux pour les poissons d'eau douce européens. Rapport sur le chlore et les poissons d'eau douce (1973) |
| EIFAC/T21 | Water quality criteria for European freshwater fish. Report on zinc and freshwater fish (1973) |
| CECPI/T21 | Critères de qualité des eaux pour les poissons d'eau douce européens. Rapport sur le zinc et les poissons d'eau douce (1973) |
| EIFAC/T22 | Ecological diagnosis in salmonid streams - Method and Example, by R. Cuinat et al. (1973) |
| CECPI/T22 | Diagnose écologique en cours d'eau à salmonidés. Méthode et exemple, par R. Cuinat et al. (1975) |
| EIFAC/T23 | Report on the Symposium on methodology for the survey, monitoring and appraisal of fishery resources in lakes and large rivers (1974) Rapport du Symposium sur les méthodes de prospection, de surveillance et d'évaluation des ressources ichtyologiques dans les lacs et grands cours d'eau (1974) |
| EIFAC/T23 Suppl. 1 | Symposium on the methodology for the survey, monitoring and appraisal of fishery resources in lakes and large rivers - Panel reviews and relevant papers. Vol. I and II (1975) |
| CECPI/T23 Suppl.1 | Symposium sur les méthodes de prospection, de surveillance et d'évaluation des ressources ichtyologiques dans les lacs et grands cours d'eau - Exposés des groupes et communications apparentées, Vol. I et II (1975) |
| EIFAC/T24 | Report on fish toxicity testing procedures (1975) Rapport sur les tests de toxicité sur les poissons (1976) |
| EIFAC/T24 (Rev. 1) | Revised report on fish toxicity testing procedures (1982) |
| CECPI/T24 (Rev. 1) | Rapport révisé sur les tests de toxicité sur les poissons (1983) |
| EIFAC/T25 | Workshop on controlled reproduction of cultivated fishes - Report and relevant papers (1975) Réunion sur la production contrôlée des poissons d'élevage. Rapport et communications apparentées (1975) |
| EIFAC/T26 | Economic evaluation of sport and commercial fisheries. Report and technical papers (1977) Deuxième consultation européenne sur l'évaluation économique de la pêche sportive et commerciale. Rapport et communications apparentées (1977) |
| EIFAC/T27 | Water quality criteria for European freshwater fish. Report on copper and freshwater fish (1976) Critères de qualité des eaux pour les poissons d'eau douce européens. Rapport sur le cuivre et les poissons d'eau douce (1976) |
| EIFAC/T28 | Joint ICES/EIFAC Symposium on eel research and management (Anguilla spp.). Report (1976) Symposium conjoint CIEM/CECPI sur la recherche et l'exploitation des anguilles (Anguilla spp.). Rapport (1976) |
| EIFAC/T29 | Water quality criteria for European freshwater fish. Report on the effect of zinc and copper pollution on the salmonid fisheries in a river and lake system in central Norway (1977) Critères de qualité des eaux pour les poissons d'eau douce européens. Rapport sur l'effet de la pollution par le zinc et le cuivre sur les pêcheries de salmonidés dans un système fluvio-lacustre du centre de la Norvège (1977) |
| EIFAC/T30 | Water quality criteria for European freshwater fish. Report on cadmium and freshwater fish (1977) Critères de qualité des eaux pour les poissons d'eau douce européens. Rapport sur le cadmium et les poissons d'eau douce (1977) |
| EIFAC/T31 | Report of the Symposium on Finfish Nutrition and Feed Technology (1978) |
| CECPI/T31 | Rapport du symposium sur la nutrition des poissons et la technologie de leurs aliments artificiels (1978) |
| EIFAC/T32 | The value and limitations of various approaches to the monitoring of water quality for freshwater fish (1978) |
| CECPI/T32 | La valeur et les limites des diverses méthodes de surveillance biologique de la qualité des eaux pour les poissons d'eau douce (1978) |
| EIFAC/T33 | Guidelines for sampling fish in freshwater (1980) |
| EIFAC/T34 | EIFAC fishing gear intercalibration experiments (1979) |
| CECPI/T34 | Essais CECPI d'interétalonnage des engins de pêche (1979) |
| EIFAC/T35 | Report of the EIFAC workshop on mass rearing of fry and fingerlings of freshwater fishes (1979) |
| CECPI/T35 | Rapport du stage CECPI sur la production massive du frai et des alevins en eau douce (1979) |
| EIFAC/T35 Suppl. 1 | EIFAC Workshop on mass rearing of fry and fingerlings of freshwater fishes Papers (1979) |
| EIFAC/T36 | Report of the EIFAC/IUNS and ICES working group on standardization of methodology in fish nutrition research (1980) |
| CECPI/T36 | Rapport du groupe de travail de la CECPI, de l'UISN et du CIEM sur la normalisation de la méthodologie dans la recherche sur la nutrition des poissons (1980) |
| EIFAC/T37 | Report on combined effects on freshwater fish and other aquatic life of mixtures of toxicants in water (1980) |
| CECPI/T37 | Rapport sur les effets produits par la combinaison de toxiques dans l'eau sur les poissons d'eau douce et sur d'autres formes de vie aquatique (1981) |
| EIFAC/T38 | Report of the technical consultation on the allocation of fishery resources (1981) |
| CECPI/T38 | Rapport de la consultation technique sur la répartition des ressources ichtyologiques (1981) |
| EIFAC/T39 | Utilization of heated effluents and recirculation systems for intensive aquaculture (1981) |
| CECPI/T39 | Rapport du Symposium sur les récents développements de l'utilisation des eaux réchauffées et des eaux recyclées en aquaculture intensive (1981) |
| EIFAC/T40 | Problems of fish culture economics with special reference to carp culture in eastern Europe, by M. Leopold (1981) |
| EIFAC/T41 | Report of the EIFAC Workshop on fish-farm effluents, by John S. Alabaster (1982) |
| EIFAC/T42 | Report of the Symposium on stock enhancement in the management of freshwater fisheries (1982) |
| CECPI/T42 | Rapport du Symposium sur l'amélioration des stocks dans le cadre de l'aménagement des pêcheries d'eau douce (1983) |
| EIFAC/CECPI/T42 (Suppl.) | Documents presented at the Symposium on stock enhancement in the management of freshwater fisheries, Volume 1: Stocking, Volume 2: Introductions and Transplantations (1984) |
| Documents presentés au Symposium sur l'amélioration des stocks dans de cadre de l'aménagement des pêcheries d'eau douce, Volume 1: Repeuplement, Volume 2: Introductions et transplantations (1984) | |
| EIFAC/T43 | Water quality criteria for European freshwater fish. Report on chromium and freshwater fish (1983) |
| CECPI/T43 | Critères de qualité des eaux pour les poissons d'eau douce européens. Rapport sur le chrome et les poissons d'eau douce (1983) |
| EIFAC/T44 | Report of the EIFAC working party on stock enhancement (1984) |
| CECPI/T44 | Rapport du groupe de travail de la CECPI sur l'amélioration des stocks (1984) |
EUROPEAN INLAND FISHERIES ADVISORY COMMISSION (EIFAC)
EIFAC documents are issued in three series:
EIFAC Reports
Report of each Session in English and French
EIFAC Technical Papers
Selected scientific and technical papers, including some of those contributed as working documents to Sessions of the Commission or its Sub-Commissions. Published in English and French, or one of these languages.
EIFAC Occasional Papers
Papers of general interest to the Commission. Published in the language submitted, either in English or French; sometimes in both languages.
Copies of these documents, when still available, can be obtained from:
Secretariat
European Inland Fisheries Advisory Commission
Fisheries Department
FAO
Via delle Terme di Caracalla
00100 Rome, Italy
COMMISSION EUROPÉENNE CONSULTATIVE POUR LES PÊCHES DANS LES EAUX INTÉRIEURES (CECPI)
Les documents de la CECPI sont publiés dans trois séries:
Rapports de la CECPI
Rapport de chaque session, publié en français et en anglais.
Documents techniques de la CECPI
Documents scientifiques et techniques sélectionnés comprenant certains documents de travail présentés aux sessions de la Commission ou de ses sous-Commissions. Publiés en français et en anglais, ou dans l'une de ces deux langues.
Documents occasionnels de la CECPI
Documents d'intérêt général pour la Commission. Publiés dans la langue d'origine, soit en français, soit en anglais, parfois dans ces deux langues.
Des exemplaires de ces documents peuvent être obtenus, lorsqu'ils sont encore disponibles, en s'adressant au:
Secrétariat
Commission européenne consultative pour les pêches dans les eaux intérieures
FAO
Via delle Terme di Caracalla
00100 Rome, Italie