Mr. F. LUMARE
L'aquaculture est mondialement en train se développer mais, quoique La production de la culture des crevettes soit comparativement basse, il existe une très forte tendance au développement de ce secteur.
Le tableau l donne la comparaison des productions de l'aquaculture dans le monde en 1975 (PILLAY, 1976) avec Les rendements des années 1979–80 et 1982–83 (PEDINI,1984).
Ces données montrent une croissance de 688,1 % des crustacés.
Actuellement, ce sont principalement les pénéides qui jouent un grand rôle dans la production de crustacès.
Le développement de L'élevage de la crevette est dû è la résolution de beaucoup de problèmes technologiques, qui peuvent être résumés sommairement comme suit:
Les post-larves peuvent être produites en grandes quantités et surtout avec profit.
La taille do marché peut être atteinte en 4 à 5 mois. Nulle autre espèce aquatique commerciale ne peut être comparée à celle-ci.
Les pénéides s'acclimatent aux environments les plus drivers, socio-économiques, techniques et aux conditions artificielles de de production. C'est ainsi qu'il est possible de développer la culture des crevettes dans des conditions intensives, semi-intensive et extensives aussi bien dans les pays industrialisés que dans les pays sous-développés.
La grande demande de crustacés sur tous les marchés du monde a comme conséquence la forte évaluation de ce produit.
L'élevage des crevettes est développé selon différents systèmes, selon les possibilités de l'environnement, les structures socio-économiques, la disponibilité des espèces de crevettes ainsi que leurs caractéristiques biologiques et enfin, selon le niveau technologique du pays.
Le tableau 2 montre les principaux systèmes d'élevage des crevettes dans le monde.
Un système d'élevage de crevettes efficace repose sur plusieurs étapes:
Mauturité sexuelle en captivité
Reproduction ou ponte
Elevages larvaire et post-larvaire
Prégrossissement
Grossissement jusqu'à la taille commerciale.
Ce système en cycle fermé est complètement contrôlé à chaque é. De cette façon le succès est assuré parce qu'il donne des résultats constants en ce qui concerne le nombre, la qualité et le coût larves produites.
Mais, dans ce cas, les prix de production sont généralement supérieurs à ceux 4éme (Voir tableau 2) basé sur la de post-larves sauvages (méthode d'élevage adoptée en Amérique Centrale).
Dans cette dernière méthode, le prix de la production des post-larves n'est pas cher, ce qui peut influencer positivement toute la chaîne de l'élevage. Mais d'autre part, dans ce système, on peut avoir un problème crucial qui est celui de la récolte des post-larves sauvages. C'est ce qui s'est passé en Equateur quand, en mars 1985, une baisse anormale de température des eaux côtières a interrompu les pontes de Penaeus Vannamei et de P. stylirostris,; ceci a réduit sévèrement l'approvisionnement en post-larves et en femelles matures. 11 en a résulté aussi que 40 à 70% des viviers de l'Equateur étaient à sec au début août 1985 à cause de la pénuire de semences. Dans l'élevage traditionnel de crevettes, tel qu'il existe au Japon (tableau 2), les femelles matures, avec des gonades bien développées (stade TV, Tableau 3), sont capturées entre avril et septembre dans les milieux de ponte, è une profondeur d'à peu près 10 m, Ensuite les femelles gravides avec les suermatophores sont transférées dans les bassins de ponte, où la libération des oeufs est stimulée par une augmentation de la température de l'eau (Induction thermique): des conditions naturelles (18–21° C) aux valeurs demandé (24–26° C).
En Italie, les recherches sur la reproduction et l'élevage des crevettes ont commencé en 1970, avec l'espèce méditerranéenne: Penaeus kerathurus. Mais cette espèce ne paraissait pas intéressante à élever et ceci, pour les raisons suivantes:
P.kerathurus n'atteint une bonne taille commerciale (30 g) qu'après une longue période (17 mois).
Elle est peu résistante aux basses température et meurt à 5 – 6° C.
En considérant ces inconvénients, on a introduit P. japonicus en Italie, en 1979, pour les raisons suivantes:
La taille commerciale est atteinte après 3 ou 4 mois.
Elle peut survivre à des températures très faibles de 1 à 2° C.
Elle est, généralement, plus résistante aux manipulations que P. kerathurus.
Elle est similaire par la couleur, la forme et le goût à P.Kerathurus ; ainsi, la nouvelle espèce ne posait aucun problème de commercialisation, ni de consommation.
L'introduction d'une crevette asiatique (Kuruma) P. japonicus qui n'est pas endémique dans le bassin méditerranéen nécessite l'établissement de technologies de reproduction.
Des expériences successives ont permis de mieux approcher la biologie de reproduction de P.Japonicus, le rôle de l'ablation unilatérale des pédoncules ocularies(Tab. 5,6,7,8,9,10,11 et 12), l'influence de la qualité de l'alimentation et l'importance des facteurs expérimentaux de l'environnement.
Actuellement, une technique a été mise point, qui permet non seulement d'induire la maturité sexuelle de P. japonicus, mais aussi de la controler et, de cette façon, de synchroniser la reproduction des géniteurs (Tableau 14). Ceci veut dire que la production peut se faire à grande échelle.
Voici un exemple qui donne une idée du potentiel d'un système contrôlé:
Un seul module (6 m de diamètre) de contrôle de la maturité contient une moyenne de 300 femelles: pour chaque de reproduction, à peu prés 40% de ces femelles sont gravides et prêtes à pondre, 85 % d'entre elles pondent une moyenne de 35000 oeufs par ponte, libérant 50000 oeufs pour cycle entier (3–4 mois), durant lequel chaque femelle pond 1, 4 fois. Sur toute la période de reproduction (1 cycle de ponte par mois), 15 millions d'oeufs sont produits par un seul module. donc, dans le même module, et pour chaque cycle de reproduction, on a, apeu près, 3, 8 millions d'oeufs.
Dans une écloserie où l'on au moins 12 bassins de ponte contrôlés (Tableau 15) cela permet de produire 45,5 millions d'oeufs par cycle et à peu près 182 millions d'oeufs pour toute la période de reproduction (4 cycles de ponte). Par augementation du nombre cycles reproductifs et utilisation des mêmes géniteurs, on peut doubler ces chiffres chaque saison.
En ce qui concerne la méthodologie de l'ensemble de la production des post-larves, elle a été conçue pour donner des caractéristiques constantes et un taux de survie suffiasamment élevé (à peu près 60 %), bien que dans les cas extrèmes les taux de survie soient compris entre 40 et 100 %. La taille finale d'une post-larve P 22 est en moyenne de 17 mm de longueur et de mg en poids. Actuellement, la densité finale des post-larves est de 12 P 22/1. Le tableau 16 montre les caractéristiques de la reproduction des pénéides dans les principales aires l'élevage de crevettes.
Un aspect important de la reproduction de P.Japonicus en Italie est la diminution du taux d'éclosion des oeufs en fonction de l'accroissement du nomore de générations (F) (Tableau 17).
En 1985, le taux d'éclosion était de 18 %, ce est beaucoup plus faible que celui obtenu dans les pontes naturelles (50 %). Selon les recherches en cors, ce phénomène est essentiellement dû à la réduction des variations génétique comparées à colles du stock initial. la population utilise en Italie, en 1985, a déjà atteint la génération F 7. La résolution de ce problème consiste en un renouvellement génétique permanent, soit introduisant de nouveaux géniteurs sauvages, soit en reconstituant le plus fréquemment possible le stock des géniteurs ou bien en premettant des croisements entre géniteurs d'âges différents.
Cependant, ce problème n'affecte pas, à grande échelle, la production des larves et des post-larves, à cause des l'abdondance des oeufs.
Signalons aussi que dans domaine des maladies des larves et des post-larves (Tableau 18,19,20,21,22,23, et 24), des recherches approfondies (10 années) faites par des institutions spécialisées dans la pathologie des crevettes, ont montré qu'il est possible d'éviter les maladies en définissant des mesures prophylactiques spécifiques basées sur l'utilisation d'antibiotiques et sur la chimiothérapie pour prévoir ou réduire l'action de plusieurs agents pathogènes communs. L'alimentation des larves et des post-larves est le problème le plus important dans une écloserie. le tableau 25 montre la séquence alimentaire généralement suivie pour l'élevage des pénéides dans le monde.
Le tableau 26 donne les séquences alimentaires dans l'élevage des larves et des post-larves avec le coût de la production dans système italien lequel utilise des aliments artificiels de P2–P3 à P 22.
Le tableau 15 montre la conception d'une écloserie pouvant produire 1, 4 millions de post-larves de P.japonicus, et la différence entre la conception d'un système où la maturité sexuelle est contrôlée (a) et celle où elle est seulement stimulée (B).
Ce point est très important car il influence le prix de production des P 22 (Tableau 27) et puis l'efficacité de l'élevage.
Le Tableau 28 montre les principales caractéristiques de l'élevage des larves et des post-larves et aussi le prégrossissement des pénéides dans le monde.
| 1975 | 79–80 | 82–83 | %d'augmentation dans 1'Est (2 années) | % d'augmentation par rapport à 1975 | |
| Poissons | 3,980,492 | 3,227,810 | 4,447,946 | 11.1 | 11.7 |
| Mollusques | 1,051,341 | 1,908,016 | 1,957,570 | 0.9 | 86.2 |
| Crustacés | 15,663 | 71,224 | 123,445 | 20.1 | 688.1 |
| Algues | 1,054,793 | 2,206,484 | 2,393,782 | 2.8 | 126.9 |
TABLEAU 1:Estimation de la production aquacole (t) dans le pour les années 1975 (PILLAY, 1976), 1979 – 8à et 82–83 (PEDINI, 1984).
| P. japonicus; Italie, France | Maturité sexuelle en capitivité | → | Reproduction | → | Elevage larvaire et post-larvaire | ![]() | Grossissement et Réapprovisionnement | ||
| P. japonicus; Brésil | Maturité sexuelle en semi-captivité | → | Reproduction | → | Elevage larvaire et post-larvaire | → | Prégrossissement | → | Grossissement |
| P. japonicus; Japon | Reproduction | → | Elevage larnaire | → | Prègrossissement | → | Grossissement | ||
| P. monodon; Sud est asiatique | |||||||||
| P. semisulcatus; Koweit | |||||||||
| P. vannamei; | |||||||||
| P. stylirostris; Amérique Centrale | prégrossissement | → | Grossissement | ||||||
| P. monodon; | |||||||||
| P. indicus; | |||||||||
| P. orientalis; Sud-Est Asiatique | Grossissement | ||||||||
| Metapenaeus lusis; | |||||||||
| M. monoceros; |
Tableau 2: Schéma des principales étapes de l'élevage des crevettes le monde.

| non développé(u) ou stade I | ![]() |
| Développé (U) ou stade II | ![]() |
| Jaune(Y) ou stade III1 | ![]() |
| Mûr (R) ou stade IV | ![]() |
| Epulsé (S) ou stade V | ![]() |
Tableau 3: Différents stades du développement des ovaires des pénéides. En haut, la position des ovaires chez les pénéides

PANAEUS KERATURUS
| Femelle-Theiycum entre les bases de la 4ème et de la Sème paire des appendices thoraciques | Mâle - Petasma dans la lère paire des pléopodes |

PENAEUS JAPONICUS
| Femelle-Theylum avec spermatophore | Mále. Petasma. |
Tableau 4: Caractères sexuels externes des péneides

Tableau 5: Pédoncule oculaire des pénéides (Décapoda, Natantia) montrant: Pars ganglionaris organe 5 (PG OX), Pore sensoriel de l'organe X (PS), Glande du sinus (GS), Région organe X-Glande du sinus (TGOXGS) et région organe x-pore sensoriel (TPSGX). région axonale des cellules neurosécrétrices, LG, ME, MI etMt représentent respectivement : Lamina ganglionaris, Medulla externa, Medulla interna et Medulla terminalis qui sont toutes des parties du lobe optique. (CARLILE, 1953, rapporté dans ADIYODI K.G. et R.G. ADIYODI, 1970).

TAB. 6: Méthode d'épédonculation chez les pénéides.
a) Incision du bulbe de l'oeil et compression - b) ligature - c) Electrocution ou utilisation
de nitrate d'argent d) Incision - e) pincement; écrasement.
Tableau 7: Réponses à l'ablation unilatérale des pédoncules oculaires chez Penaeus kerathurus. Seules les femelles survivant à la période de latence sont considérées.
| Séquence de ponte | 1 | 2 | 3 | 4 | 5 | 6 | 7 | 8 | |
| Femelles qui pondent (1) | 24 | 16 | 10 | 7 | 3 | 1 | 1 | 1 | |
| Femelles qui pondent des oeufs fertiles | 18 | 14 | 8 | 5 | 2 | 1 | 1 | 1 | |
| Nombre d'oeufs fertiles pondus (2) | ![]() | 83850 | 72330 | 80390 | 84100 | 80500 | 61000 | 69500 | 74500 |
| e | 17640 | 10610 | 17930 | 18860 | - | - | - | - | |
| n | 10 | 12 | 8 | 4 | 1 | 1 | 1 | 1 | |
| Nombre d'oeufs éclos (3) | ![]() | 41060 | 45820 | 64440 | 69500 | 1000003 | 770003 | 48000 | 29000 |
| e | 8424 | 5680 | 17880 | 16200 | 43000 | - | - | - | |
| n | 10 | 12 | 8 | 4 | 2 | 1 | 1 | 1 |
(1) Les femells qui pondent des oeufs non fertiles sont incluses
(2) x, moyenne: e, erreur standard: n: nombre de femelles examinées
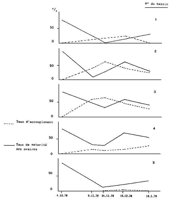
| № du bassin | % de femelles fécondees | % de femelles avec des gonades matures (stades II - IV) | Ablation unilatérale du pédoncule oculaire | Période (jours) jusqu'à la lère ponte | Nombre de jours de ponte en 19 jours |
| 1 | 77.3 | 22.7 | Non | - | 0 |
| 2 | 58.3 | 8.3 | Non | - | 0 |
| 3 | 91.3 | 17.4 | Oui | 5 | 4 |
| 4 | 78.3 | 26.1 | Oui | 5 | 5 |
| 5 | 69.3 | 8.7 | Oui | 6 | 5 |
Tableau 8: Réponses aux conditions expérimentales de P. japonicus au cours d'une courte période.
| N du bassin | Ablation unilatérale du pédoncule oculaire | Intensité de la lumière (Lux) | Nombre de jours de porite | Taux d'oeufs fertiles % (2) | Nombre Total d'oeufs | Nombre moyen d'oeufs pondus par jour | Index de pondus SI (3) | Période (jours) avant la ponte | Période (jours) avant le début des pontes régulières | |||
| Fertile (1) | Non fertile | Total | moyenne | gamme | ||||||||
| 1 | Non | 1,250 | 3 | 0 | 3 | 72.00 | 36.4–97.8 | 11,500 | 3,833 | 0.08 | 202 | 202 |
| 2 | Non | 2,200 | 15 | 6 | 21 | 77.39 | 50.0–100 | 61,000 | 2,904 | 0.50 | 39 | 143 |
| 3 | Oui | 1,500 | 61 | 53 | 114 | 42.45 | 5.0–100 | 231,500 | 2,030 | 2.83 | 5 | 31 |
| 4 | Oui | 2,000 | 61 | 29 | 90 | 59.28 | 5.0–100 | 224,000 | 2,488 | 2.57 | 5 | 5 |
| 5 | Oui | 3,500 | 69 | 52 | 121 | 61.14 | 10.0–100 | 466,000 | 3,883 | 4.40 | 6 | 6 |
Tableau 9: Les pontes de Penaeus japonicus tout au d'une période de conditionnement.
(2) Le taux d'fertiles (%) est considérée, uniquement dans les pontes fertiles
(3) SI. (SI S1. g1) + (SI S2. g2)+………+ (SlSn.gn):
gt - Période (jours) d'expérimentation; gm - Période d'expérimentation avec un nombre constant de femelles
| Date de l'examen | 26.2.80 | 28.3.80 | 18.5.80 | 25.6.80 | 12.8.80 | 7/8/9.10.80 | Taux moyen de fécondation % tout au long de la période de conditionnement |
| № du bassin | |||||||
| 1 | 77.3 | 40.9 | 35.0 | 80.0 | 66.7 | 37.5 | 56.2 |
| 2 | 58.3 | 50.0 | 47.4 | 78.9 | 94.7 | 94.7 | 70.8 |
| 3 | 91.3 | 19.0 | 4.8 | 15.0 | 30.0 | 30.8 | 31.8 |
| 4 | 78.3 | 42.8 | 21.0 | 47.4 | 70.6 | 54.5 | 52.4 |
| 5 | 69.6 | 14.3 | 18.7 | 62.5 | 83.3 | 77.8 | 54.4 |
| Taux moyen de fécondation à l'examen | 33.4 | 25.4 | 56.8 | 69.1 | 59.1 |
Table 10: Taux de fécondation % (femelle avec spermatophores) durant la période de conditionnement
| № du bassin | Ablation unilatérale des pédoncules oculairs | Nombre de mues | Période de l'intermue(1) | ||
| Femelles | Males | Femelles | Males | ||
| 1 | Non | 114 | 92 | 33.15 | 40.90 |
| 2 | Non | 116 | 68 | 47.54 | 34.77 |
| 3 | Oui | 133 | 103 | 38.78 | 38.07 |
| 4 | Oui | 117 | 75 | 47.81 | 32.92 |
| 5 | Oui | 97 | 89 | 46.09 | 46.52 |
Tableau 11: Périodes de l'intermue (1) chez Penaeus japonicus affectées par différentes conditions expérimentales aussi bien pour les mâles que pour les femelles.

Tableau 12: Penaeus kerathurus. Fluctuation du taux de maturité des ovaires dans le stock des producteurs.

Tableau 13: Penaeus kerathurus: Distribution mensuelle des pontes
fertiles exprimées par r/R x 100
r: Pontes fertiles R: Producteurs
C.m.Carcinus moenas; M.g. Mytilus galloprovincialis
V.g.Venus gallina

TAB. 14 Schéma d'une écloserie pouvant produire 1,4 million de post-larves de Penaeus japonicus grâce à un système de contrôle de la maturité sexuelle (A) et à un système ce stimulation (B)

Tableau 15: Plan d'une écloserie pour une production de 20 millions de post-larves P 22 de Penaeus japonicus.
| Espèces | Région | Traitement | Formes/Dimensions(m) | Volume (m3) | Taux (%) de femelles qui pondent/cycle | Nombre de pontes pour chaque femelle/mois | Nombre d'oeufs libéréa par femelle par ponte | Taux d'éclosion (%) | |
| P.japonicus | Brésil | Conditionnement de l'environnement. Aliments sélectionnés | Ciment | Circulaire (Æ 5) Tétrogonal (4×4×1) | 20–16 | 50–70 | 1 | 100.000 | 50 |
| P.japonicus | France | Conditionnement Photopériodisme | PVC - Fibres de verre | Cylind. conique (0.7 Æ) (1.82 Æ) | 0.5–2 | Données non comparables | 0.6 | 15.000 | 98 |
| P.japonicus | Italie | Conditionnement de l'environnement Ablation unilatérale du pédoncule oculaire | Ciment | Tetragonal (2×2×1) (2×2×1.8) | 4–7.5 | 99 | 0.4 | 21,500 | 50–15 |
| P.japonicus | Japon | Stimulation thermique | Ciment | Tétragonal Rectangulaire (10×10×2) (10×5×2) | 50–200 | 30–50 | 1 | 400,000 | 50 |
| P.nonodon | Sud-Est Asiatique | Stimul. thermique. Cond. de l'environnement. Ablation unilat. du pédoncule oculaire | Fibres de verre Ciment | Circulaire (0.7 Æ) | 0.2–0.4 | 100 | 1 | 1,000.000 100,000 | 60–30 |
| P.semisulcatus | Koweit | Stimulation thermique | Ciment | Tetragonal Rectangulaire (20×8.9×1.6) (30×10×1.8) | 15–530 | 43–90 | 1 | 186,486(a) | D.N.D. |
| P.aztecus P.duorarum P.setiferus P.vannamei | Amer.du Nord | Stimul.thermique. Ablation unilat. du péd. oculaire et non ablation | Ciment-Fibres de verre. Contreplaqué marin | Circulaire (1.8–2 Æ) Tetragonal (5×2×2) | 15–2 20 | 50 | 1 | 71,000 231,000 309,000 | 72.8 |
| P.vanamei P.stylirostris | Amérique centrale et du sud | Ablation unilatér. du pédoncule oculaire et non ablation | Métal Plastique | Circulaire (0.6–3.7 Æ) | 0.5–3.5 | 1 | D.N.D | 100,000 200,000 | 45–80 |
Tableau 16: Caractéristiques de la reproduction des pénéides dans les principales régions de culture de crevettes.
(a) Nombre moyen de Nauplii obtenus par ponte. D.N.D.Donnes non disponibles.
| Année | Génération | Nombre de paires de géniteurs de la génération précédente | Nombre de larves produites en écloseire | Taux moyen d'éclosion (%) |
| 1980 | F2 | 2 | 2,000 | 50 |
| 1981 | F3 | 50 | 80,000 | 40 |
| 1982 | F4 | 100 | 500,000 | 32 |
| 1983 | F5 | 300 | 750,000 | 33 |
| 1984 | F6 | 300 | 1,250,000 | 20 |
| 1985 | F7 | 300 | 1,400,000 | 18 |
Tableau 17 - Données concernant les géniteurs (Penaeus japonicus) de différentes générations, a LESINA.

TAB. 18: Stades Nauplii de Penaeus japonicus

TAB. 19: PROTOZOE I

TAB. 20: PROTOZOE II

TAB. 21: PROTOZOE III

TAB. 22

TAB. 23: MYSIS IV

TAB. 24 - POST-LARVE I

Tableau 25: Les différentes séquences d'alimentation dans l'élevage larvaire et post-larvaire des pénéides

| 1,000,000 de P22: | |
| phyto | 800,000 lit |
| Cystes d'Artemia | 13 kg (226,000 lit/kg) |
| Régime artificiel | 60 kg (20,000 lit/kg) |
| - Incidence du coût de l'alimentation pour chaque post-larve P22 = 4,9 lit | |
| - Incidence du coût de gestion et autres pour chaque post-larve:P22 = 19–28.9 lit | |
| - Analyse des coûts en se référant à une écloserie qui a une capacité de 20 millions P22 | |
Tableau 26: Les séquences de l'alimentation et le coût de production dans une culture intensive de post-larves de penaeus japonicus.
| Système A | Systèm B | |||
| Conditionnement et Maturation sexuelle | - | Numbre de bassins utilisés | 1 | 10 |
| - | Volume du bassin (m3) | 17 | 12 | |
| - | Nombre de changements de l'eau de mer | 2 | 2 | |
| - | Volume total de l'eau de mer utilisée | 34 | 240 | |
| - | Incidence du coût du chauffage et de la recirculation de l'eau de mer sur la production de chaque P22 (L.It) | 10,38 | 74,68 | |
| Incubation, Elevage larvaire et post-larvaire | - | Volume total des bassins (m3) | 33 | 70 |
| - | Nombre de changements de l'eau de mer | 1 | 1 | |
| - | Incidence du coût du chauffage et de la recirculation de l'eau de mer sur la production de chaque P22 (L.It) | 3,99 | 8,46 | |
| Services généraux de l'eau et de l'aération | 0,54 | 3,78 | ||
| Alimentation | - | Phytoplanction | 0,84 | 0,84 |
| - | Nauplii d'Artemia | 2,94 | 2,94 | |
| - | Artémia congelés | 11,75 | ||
| - | Alimentation artificielle | 1,20 | ||
| - | Incidence du coût de l'alimentation sur chaque P22 (L. It) | 4,98 | 15,53 | |
| Coût de la main d'oeuvre | 8,87 | 8,87 | ||
| Incidence du coût global de chaque P22 | 28,96 | 111,32 | ||
Tableau 27: Comparaison de l'incidence du coût de production des post-larves de
penaeus japonicus.
Système A: Contrôle de la maturation sexuelle et de la ponte
Système B: stimulation seulement.
Le coût de chauffage du système A est relatif à une température moyenne de
10° C, dans les conditions de maturité sexuelle et pendant la période de
production.
Le coût du chauffage pour un système se trouvant sur les côtes italiennes
du Nord de l'Adriatique est cher; il peut être réduit de moitié sur les
côtes du Sud de l'Italie.
| ELEVAGE LARVAIRE ET POST-LARVAIRE | PRE-GROSSISSEMENT | ||||||||||||||||||
| Espèces | Région | Bassin | Densité (Esp/m2) | Stade final | Taux(%) de survie final | Poids fin (mg) | Pério d'élev. jours | Matériau des bassins | Surf (ha) | Densité (Esp/m2) | Stade init. | Poids initial (mg) | Stade fin | Poids final (mg) | Taux de survie (%) | Pério. de prégros. jours) | |||
| Matériau | Volume (m3) | Init. | Fin. | Init. | Fin. | ||||||||||||||
| P. japonicus | Brésil | Ciment | 16–20 | P8–10 | 70 | 15 | 18–20 | Terre | 3.0 | 40–50 | 36 | P40–58 | 1–2 | 56 42 | 30–50 | ||||
| P. japonicus | France | PVC.Fib de verre | 0.5–2 8 | 200,000 250,000 | 20,000 50,000 | P1–2 P5–10 P20 | 60–40 47 | 10–15 | 10–35 | ||||||||||
| P. japonicus | Italie | Ciment | 4–7.5 | 20,000 | 12,000 | P22–25 | 60 | 24 | 30 | ||||||||||
| P. japonicus | Japon | Ciment | 50–200 | 10,000 20,000 | 5,000 10,000 | P20 | 20–63 | 10–20 | 30 | Sable | 0.4 | 90–175 350–600 | 80 400 | P35–65 | 1–2 | 17 54 | 15–45 | ||
| P. monodon | Sud-Est Asiatique | Ciment | 4–25 32 | 50,000 | 2,000 3,000 | P5 P12 P20 | 30–40 10–30 | D.N.D | 15–30 | Ciment Argile Sable Fibre de Verre Contre-Plaqué | 0.015 0.2 0.01 0.02 | 2,000 5,000 | 1,800 | P45 | 0.2–1.5 | 6 36 | 30–35 | ||
| P. sesisulcatus | Kowait | Ciment | 15 530 | 30,000 | 7,500 57,500 | P20 P40 | 2.3 21.2 | 29.1 | 30–50 | marin | |||||||||
| P. aztecus P. duorarus P. setiferus P. vannamei | Amerique du Nord | Ciment Fibre de verre. Contre plaque marin | 1–2–20 | 100,000 500,000 | 21,000 86,000 | P1–2 | 38–50 | D.N.D | 13 | ||||||||||
| P. vannamei P. stylirostris | Amérique Centrale et A du Sud | Fibre de verre | 1.5–10–20 | 40,000 100,000 | 20,000 50,000 | P14 P5–6 | 20–40 50 | D.N.D | 10–24 | Argile sable | 0.5–4 | 50 200 | 25–100 | P1–10 P14 | 0.008–0.60 | P45–60 | 3.5–1 | 25–60 | 20–65 |
TAB. 28: Principales caractéristiques de l'élevage larvaire post-larvaire et du pré-grossissement des pénéides. D.n.D: Données non disponibles.
Mr. G. LE MOULAC, Mr. C. DE LA POMELIE
1. INTRODUCTION
La maîtrise de la reproduction de certaines espèces de pénéides est l'aboutissement d'un important effort de recherche s'étalant sur dix ans.
Plusieurs travaux ont été conduits sur le contrôle de la maturation (CAUBERE, LAUBIER-BONNICHON). A la station de PALAVAS, l'équipe MEREA et au Centre Océanologique IFREMER du Pacifique, l'équipe AQUACOP maîtrisent l'élevage larvaire de plusieurs espèces de Pénéides, notamment:
- En eaux tempérées: P. japonicus
- En eaux chaudes (Zones intertropicales ou subtropicales): P.Monodon, P. stylirostris, P. vannamei, ces deux dernières pouvant intéresser les zones plus chaudes de la ceinture méditerranéenne.
Pour toutes ces espèces, la phase écloserie recouvre trois étapes principales: stabulation - maturation; ponte-élevage larvaire; pré-grossissement éventuellement.
L'exemple de P. japonicus est développé ici.
2. LA STABULATION
La production d'un nombre important de post-larves pendant la saison de production est directement liée à l'état du stock de géniteurs à ce moment précis.
Un protocole a été mis en place pour éviter les mortalités massives liées à un agent pathogène, Fusarium solani et dans ces conditions, la survie est excellent durant les neuf mois de maintien et les pontes ont lieu toute l'année (Fig. 1 et 2).
3. LA MATURATION
A 18° C, les maturations ont lieu toute l'année avec une photopériode naturelle sans épédonculation (Figure 2).
Le taux de maturation ayant donné des pontes contrôlées est de 50 %.
4. LA PONTE
La ponte est provoquée par un choc thermique. De 18° C, les animaux, aux stades de maturation 4.5 – 5, sont passés à 25° C.
La ponte a lieu environ 3 jours après. Le nombre d'oeufs récoltés par femelle est de 200 000.
On récupère ensuite 70 % de nauplii.
5. L'ELEVAGE LARVAIRE
L'élevage larvaire se fait dans des conditions très contrôlées. La maîtrise de la séquence alimentaire, de la qualité de l'alimentation et la prévention de la pathologie, permet des survies de 70 %, à des charges finales élevées (110 à 150 par litre). (Figure 3).
La vitesse de développement des larves est fonction de la température.
La séquence alimentaire est visualisée (Figure 4).
Les principaux agents pathogènes en élevage larvaire sont un champignon imparfait (Loginidium calinectes) et des bactéries. Le premier est contrôlé par un fongicide (la Trifluraline) utilisé en préventif, ce qui a pour effet d'inhiber la sporulation de ce champignon. Ce produit est utilisé en continu, des oeufs à Pl. Les seconds sont contrôlés par un antibactérien (la Furazolidone) qui est utilisé de Z1 & MI.
6. PREGROSSISSEMENT
L'élevage se poursuit encore 20 jours, en eau claire, avec un fort renouvellement d'eau.
La survie moyenne durant cet élevage est de 70 %.
La séquence alimentaire (Figure 6) est établie pour une fourchette de température de 23 à 25°c.
La croissance est exponentielle (Figure 5).
Les post-larves sont vendues entre P 23 et P 25, entre 12 et 15 mg.
Il n'y a pas de problèmes pathologiques très importants. Cette partie de i'élevage n'occasionne aucun traitement.
7. ANALYSE TECHNICO-ECONOMIQUE
La maîtrise de les paramètres, la répétitivité des résultats, ont permis d'analyser les coûts de production à chaque étape de l'élevage, en écloserie (Tableau 1).
La définition dos coûts de production permet de disposer d'un outil de programmation efficace pour des gains de productivité. On s'aperçoit que certains n'ont pas l'importance qu'on leur accordait (fonctionnement et non pas investissement).
| Géniteurs % | Nauplii % | P 3 % | P 23 % | |
| Animaux | 11 | 75 | 36 | 25,3 |
| Chauffage | 27,5 | 10 | 6,5 | 16,8 |
| Pompage | 2,7 | 0,5 | - | 1,8 |
| Air | 0.3 | - | - | 0,9 |
| Aliments | 5,1 | - | 41 | 50,3 |
| Main d'oeuvre | 53,2 | 15,5 | 16,4 | 5 |
| P.H.F.H.T. | 120,9 | 1,62/1000 N | 6/1000 p 3 | 34/1000 p 23 |
Tableau 1
8. TRANSFERT
La fiabilité de cette technique, ainsi que l'analyse technico-économique, démontre que la production de post-larves de crevettes est rentable. Le transfert de cette technique a été fait au GAEC “Les poissons du Soleil” de MM. BALMA et CAUBERE a BALARUC-LES BAINS. Cette écloserie qui durant 2 ans a fait des productions pilotes (2 000 000 de post-larves) réalise à l'heure actuelle une installation d'une capacité de 10 000 000 de post-larves prégrossies. Une autre écloserie. la SCA Mari-Aude (Mr. LE BITOUX) devrait être fonctionnelle dès ce printemps. Enfin, dans la Station de PALAVAS, un stage de formation de techniciens d'écloserie crevette a permis de répondre à la demande do transfert de 5 autres écloseries mollusques ou poissons.
Si la production de post-larves se développe, c'est, bien sûr, grâce aux résultats très encourageants obtenus en grossissement an Méditerranée et surtout sur la façade. Atlantique.
Hors de l'héxagone. FRANCE-AQUACULTURE, filiale (FREMER a largement contribué au développement de la crevette dans la zone intertropicale, avec trois espèces principales:P. monodon, P. stylirostris, P. vannamei. Ces deux dernières espèces et particulièrement P. stylirostris pourraient convenir aux zones les plus chaudes de la Méditerranée.
9. DEVELOPPEMENT DES ECLOSERIES EN FRANCE
La production de crevettes doit pouvoir être un complèment de production dans des écloseries déjà existantes.
Il existe en France deux productions en écloserie qui font l'objet de commerce: les alevins de poissons (Loup et Daurade) et les naissains de mollusques (Palourde et Huître).
La saison de production de post-larves de crevettes succède à la saison de production d'alevins de poissons. La production de crevettes doit pouvoir se faire dans les mēmes installations. La seule installation à ajouter est une salle de production d'algues unicellulaires.
Dans une écloserie produisant des naissains de mollusques, les algues ne sont pas un problème puisque cette production est la base de l'alimentation des larves.
Dans ces deux cas, les installations spécifiques à la production de crevettes restent limités.
Une autre possibilité est création d'une écloserie monospécifique de crevettes intégré a une ferme de grossissement.
Le prix de revient de la post-larve de crevette devrait pouvoir approcher le coût de production, car, dans les écloseries do poissons et de mollusques, les amortissements et les frais sont déjà pris en compte dans le prix de revient des alevins et des naissains.
Dans le cas de l'écloserie intégrée à la ferme de grossissement, le prix d'achat des post-larves n'est pas le prix de vente pratiqué sur le marché de la post-larve (0,15 Frs); le coût la post-larve sera le prix de revient hors main-d'oeuvre, car cette main d'oeuvre se répartit sur l'ensemble des productions (post-larves et grossissement).
Coût de production: 0,03 Frs/P 25
Prix de revient écloserie monospécifique: 0,10 a 0,14 Frs/P 25
Figure 1: Taux de survie des reproducteurs

Figure 2: Ponte des Reproducteurs

Figure 3: Taux de survie des larves en élevage

Figure 4: Alimentation des larves en élevage

Figure 5: Alimentation des post-larves (pour 100 000 PL)

Figure 6: Courbe de croissance des Post-larves
