• INTRODUCTION TO THE WORKSHOP
MR. BFJI AQUACULTURE EXPERT MEDRAP II REGIONAL CENTRE.
• DIVERSIFICATION IN MEDITERRANEAN AQUACULTURE
MR. FERLIN - IFREMER. FRANCE
• REARING OF COMMON DENTEX
MR. J. DUJAKOVIC - INSTITUTE OF OCEANOGRAPHY AND FISHERIES - SPLIT. YOGOSLAVIA
• ARTIFICIAL PRODUCTION OF JUVENIL SOLE SOLEA SENEGALENSIS (KAUP, 1858)
MRS. R. BEDOUI - INSTITUTE OF OCEANOGRAPHY AND FISHERIES. TUNISIA.
• REARING OF MUGILIDAE
MR. M. ABOU SALAH AND PRESENTED BY MR. A. KHATER - INSTITUTE OF AQUACULTURE. EGYPT.
• SOME NOTES TO THE AQUACULTURE DEVELOPMENT OF THE YELOWTAIL (SERIOLA DUMERILLI)
BY MR. LAZZARI - ENEA, AGRO-INDUSTRIAL DEPARTMENT. ROMA. ITALIA.
• EXPERIMENTAL ON THE AQUACULTURE POTENTIALS OF SIGANIDAE IN CYPRUS
MR. G. GEORGIOU - D. STEPHANOU - MINISTERY OF AGRICULTURE AND NATURAL RESOURCES. CYPRUS.
• EXPERIMENTAL CULTURE OF PUNTAZZO PUNTAZZO IN CYPRUS
MR. G. GEORGIOU - D. STEPHANOU - MINISTERY OF AGRICULTURE AND NATURAL RESOURCES. CYPRUS.
• THE INTRODUCTION AND EXPERIMENTAL REARING OF THE JAPANESE RED SEA BREAM (PAGRUS MAJOR) IN CYPRUS
MR. G. GEORGIOU - D. STEPHANOU - MINISTERY OF AGRICULTURE AND NATURAL RESOURCES. CYPRUS.
• SALT WATER TILAPIA CULTURE IN MALTA
MR. C. AGIUS - NATIONAL AQUACULTURE CENTRE, MALTA
• REARING OF OSTREA EDULIS
BY MR. M. TALBAOUI - MAROST COMPAGNY. MOROCCO.
• CONCHYLICULTURE EN MER (MEDITERRANEE FRANCAISE)
MR. P.Y. HAMON - IFREMER. FRANCE.
• REARING OF PRESENT AND FUTURE TECHNICAL AQUACULTURE POSSIBILITIES
DR. J. MUIR-STIRLING UNIVERSITY. SCOTLAND.
• WORKSHOP ON : «DIVERSIFICATION OF AQUACULTURE PRODUCTION IN THE MEDITERRANEAN»
MR. SPAGNOLO - AQUACULTURE UNIT ENEA- ITALY.
• AVENIR DE L'AQUACULTURE ET COOPERATION DES PAYS MEDITERRANEENS
MR. VAN OBREGEN. FRANCE.
• THE SALMON LESSON
DR. JAMES BUCHANAN - SALMON GROWERS ASSOCIATION-SCOTLAND
By Othman BEJI
TUNISIA
The third session of MEDRAP II, organized in Malta, from 1 to 6 July 1991, deals with the diversification of aquaculture production in the Mediterranean.
This session, grouping scientists from various institutions belonging to member and associated countries and undertaking research on the theme of the workshop will allow :
| first | : | exchange of experiences, conclusions and solutions to the different problems met in the diversification of reared species; |
| second | : | update the information of the participants about the theme of the workshop at different levels of research; |
| third | : | also constitute a first step in the conception and the elaboration of the research network; |
| and finally | : | it will allow to design a common strategy for the MEDRAP countries based on clear orientations in the choice of species to encourage, technics to develop and market to conquer. |
Presently, the Mediterranean countries interested in aquaculture are producing sea bass and sea bream, mainly for the Italien market.
As long as the production of these species is below the demand, there is no risk of price fall and no problem of sale.
But in near future, all countries will be producing more and more important quantities of sea bass and sea bream, competition will be harsh and only aquaculture who produce the best quality for the lowest price will be able to overcome these difficulties .
The diversification of aquaculture production will be treated in this seminar from a purely scientific point of view. We will deal with diversification of species already produced or to be produced, as well as with rearing technics already used or to be used.
The main objectives of diversification of species are either to satisfy marketing and nutritional needs, or to preserve some species which are disappearing, or also to avoid health problems not yet solved such as diseases.
I am also going to define the main objectives of diversification of rearing technics. These objectives aim an producing a cheap animal protein or developing unexploited potentialities which can be human, material or even natural potentiality (as site, climate etc…). They can also concern adapting some rearing technics to the specific conditions of a country or a region, and finally creating a kind of technological independance, and ultimately an aquacultural exportable expertise.
a) Nutritional needs :
To satisfy the nutritional needs of regional population, we have to produce enough animal proteins of good quality and at a low price allowing in that way more food security for the largest part of local population.
This objective can be reached through:
- encouraging production by aquaculture of local species which can offer some sure advantages (availability of broodstock, of frys in natural environment, better resis tance to local conditions, and probably scientific knowledge about their biology);
- introducing new species adoptable to local conditions and offering advantages as regards fattening, cost, technical rearing facilities;
- research on cross-breeding between species in order to select the best hybrid species which provides most advantages (resistance, survival rate, conversion rate, and quick growth…)
The regional consumption is not distributed proportionally among the countries.
The average per caput consumption of fish and fishery productions in the regions is 11,8 kg within this average there considerable variation between different countries, ranging from 0,5 kg (Lebanon) to 36,6 Kg (Portugal). Consumption exceeds 10 Kg in 8 countries :
| - | Cyprus, Greece, Italy, Malta | (10 – 19 Kg); |
| - | France | (20 – 29 Kg); |
| - | Portugal and Spain | (30 Kg and above); |
| - | Tunisia, Algeria, Morocco, Libya, Egypt, Lebanon, Syria, Yugoslavia, Bulgaria, Albania, Turkey ( less than 10 Kg). | |
b) Market needs :
As intensive, industrial aquaculture requires important investment and functionning funds; most producers have based their aquaculture activities on rearing of species which have a high commercial value such as sea bass, sea bream and shrimps.
It is possible to conceive other types of projects, that is to say small and medium aquaculture farms producing species for specific markets in order to satisfy food habits for example localized in time or in space.
Estimates of Market Supplies of Selected Cultured Prime Species in some Mediterranean countries (t)
(1) Sea bass and sea bream
| Country | Domestic Market | Export Market | ||||
| 1987 | 1992 | Increase | 1987 | 1992 | Increase | |
| Cyprus | 5 | 200 | 195 | - | - | - |
| Egypt | 1630 | 2000 | 370 | 300 | 600 | 300 |
| France | - | 500 | 500 | 200 | 500 | 300 |
| Greece | 700 | 1500 | 800 | - | * | - |
| Italy | 2700 | 7000 | 4300 | - | - | - |
| Morocco | - | 1000 | 1000 | |||
| Portugal | 33 | 225 | 192 | 217 | 775 | 558 |
| Spain | 23 | 960 | 937 | 92 | 3840 | 3748 |
| Tunisia | 117 | 1303 | 1186 | 23 | 2597 | 2574 |
| Turkey | 700 | 800 | 100 | 1500 | 2200 | 700 |
| Yugoslavia | - | - | - | 140 | 500 | 360 |
| Total | 5908 | 14488 | 8580 | 2472 | 12012 | 9540 |
* Will depend on relative price developments on domestic versus international markets.
(2) Mullets
| Country | Domestic Market | Export Market | ||||
| 1987 | 1992 | Increase | 1987 | 1992 | Increase | |
| Cyprus | - | - | - | - | - | - |
| Egypt | 3000 | 4000 | 1000 | - | - | - |
| France | 240 | 240 | - | - | - | - |
| Greece | 1400 | 1800 | 400 | - | - | - |
| Italy | 2000 | 9000 | 7800 | - | - | - |
| Portugal | 419 | 500 | 81 | - | - | - |
| Spain | - | - | - | - | - | - |
| Tunisia | 260 | 1100 | 840 | - | - | - |
| Turkey | 600 | 1100 | 400 | 2900 | 2600 | (-) 300 |
| Total | 7919 | 17640 | 9721 | 2900 | 2600 | (-) 300 |
(3) Eel
| Country | Domestic Market | Export Market | ||||
| 1987 | 1992 | Increase | 1987 | 1992 | Increase | |
| Cyprus | - | - | - | - | - | - |
| Egypt | 500 | 550 | 50 | 300 | 600 | 300 |
| France | 80 | 80 | - | 300 | 300 | 600 |
| Greece | 50 | 50 | - | 850 | 1450 | 1000 |
| Italy | 3000 | 4000 | 1000 | 000 | 2000 | 215 |
| Portugal | 147 | 200 | 53 | 85 | 300 | 100 |
| Spain | 5 | 100 | 95 | - | 100 | 193 |
| Tunisia | 6 | 43 | 37 | 64 | 257 | 17 |
| Turkey | - | - | - | 583 | 600 | - |
| Total | 3700 | 5023 | 1235 | 3182 | 5607 | 2425 |
Source : ADCP/REP/89/34
C) Conservation of species:
This is a common question which I am not going to detail.
d) Health problems :
Many biological and health problems in aquaculture are not yet solved. This has often obliged producers to specialize their production units in species more reliable, and which production technics are mastered.
Among the objectives of rearing technics of diversification, I will cite :
Producing a cheap animal protein which can be, achieved by putting emphasis on parts of aquaculture production of some species which are mastered at the local level even partially such as fattening.
The production can increase by improving the locally existing technics.
The transformation or commercialisation of species under different shapes (portion, filet, frozen, cooked…) could provide a higher value to a species which are not appreciated at their natural state or the opposite.
Valorize existing potentialities, it can be a human resource, such as a pool of scientists and experts in the matter, of persons who have a long experience inhandling fish etc…
The potentialities can be material such as fishing equipment, bamboo for cages or enclosure, water proof rocks for the building of tanks.
They can also be natural potentialities such as good sites appropriate for one or many kind of aquaculture production : lagoons for semi-intensive or even intensive rearing : deep sheltered marine regions for floating cages; in-land brackish lakes for eel and mullet fattening.
It can also be a favourable climate (mild winters and not very hot summers) which can allow delays in laying and which also provide a production of offseason fish. We can mention in this case the cooling waters, the used waters for the production of phytoo and zooplanction, warm water spring, sebkas, salines, estuaries etc…
These potentialities must be enhanced for the production of different species which can be adapted to each of them;
The adaptation of existing rearing technics to the regional conditions can contributes also to the valorisation of natural potentials;
Finally the creation of a technological independance and ultimately of an exportable expertise. This objective can be reached by one or many countries of the region which are doing research on species.
By Philippe FERLIN
France
L'aquaculture en Méditerranée ne concerne qu'un nombre d'espèces marines et d'eau douce assez restreint, de l'ordre d'une douzaine ayant atteint une production significative sur le plan économique. D'autre part les techniques mises en oeuvre pour chaque espèce sont elles aussi encore trés peu diversifiées. De nombreux projets et de nombreuses idées existent cependant pour augmenter le nombre d'espèces élevables et de technologies utilisables.
Le but de cette session est de réfléchir sur l'intérêt de celle diversification souvent prênée par les scientifiques et technologues de l'aquaculture, mais dont les avantages un inconvénients pour le producteur ou le consommateur ne sont pas si évidents.
Cette introduction vise donc à présenter la situation actuelle de la production, puis à identifier les causes essentielles qui poussent à la diversification afin de pouvoir analyser pour chaque voie proposés, les conséquences que cette diversification peut avoir an niveau de la production, de la commercialisation et de la consommation.
A- PRODUCTION AQUACOLE DE LA MEDITERRANEE
La production aquacole Méditerranéenne représente environ 700 000T en 1988, mais ce chiffre est surévalué, par la prise en compte de l'ensemble de la production française et espagnole, dont une grande part provient de zones éloignées de la Méditerranée ou de l'Atlantique; ainsi 90% de la production de moules en Espagne et environ 85% de celle des mollusques en France provient de l'Atlantique, ce qui ramène à moins de 400 000T la production régionale, dont moins de 100 000T pour les pays non-membres de la CEE.
1- QUELQUES DONNEES
On trouvera on annexe l un historique rapide de développment, de l'aquaculture en Méditerranée et une présentation de la situation actuelle de cette activité.
Le tableau l donne un aperçu de cette production pour l'année 1988 à partir de données de la FAO. Pour ce que est du loup et de la dorade, on trouvera des chiffres détaillés dans les tableaux 2 et 3. Ces chiffres sont cependant à prendre le façon indicative car les statistiques aquacoles de Méditerranée sont encore relativ ement imprécises, comme le montre le tableau 4 sur la production italienne ou la comparaison des chiffres en provenance de la FAO et ceux de l'OCDE pour l'année 1986 (tableaux 5 et 6).
2- PRINCIPALES CARACTERISTIQUES
Au vu de ces informations on peut voir que la Méditerranée est une région où l'aquaculture est déjà relativement diversifiée dans sa forme traditionnelle ou plus récente, surtout si on compare cette situation avec celle du Nord de l'Europe par exemple.
Au niveau de la production, on trouve 11 types d'espèces principales en élevage :
- 6 types de poissons :
3 en eau marine (Mulets, Loup, Dorades)
Ceci représente en fait, environ une douzaine d'espéces différentes, avec en particulier 5 espèces de mulets.
- 4 types d'espèces de mollusques : Huitres plates et japonaises, moules, palourdes. En fait, on peut estimer que le nombre d'espèces est de 6, si l'on tient compte des 2 espèces de palourdes et de la moules atlantique en Espagne et France.
- 1 espèce de crustacé. la crevette japonaise.
Les espèces en course de développement sont assez nombreuses ( esturgeon, poissons-chats, poissons plats, sparidés, etc.), mais ne représentent encore que des productions marginales, de l'ordre de quelques centaines de tonnes au total.
En ce qui concerne les technologies, celles-ci sont au nombre de 6 :
- valliculture
- bassin semi-intensifs en terre en eau douce ou matine
- bassin intensifs, généralement en béton
- cages flottantes en zone protégée
- tables conchylicoles
- élevages sur lignes flottantes en zones protégées.
Enfin en ce qui concerne les marchés, on peut dire que celui des régions riveraines est relativement peu diversifié tant au niveau des espèces que de celui des types de présentation : le Méditerranéen s'interesse à des espèces locales servies fraiches ! Il existe cependant une certaine variabilité régionale ou nationale, tant au niveau de l'espèce que de la taille comme te montrent certains exemples donnés plus loin. Les marchés sont également différenciés en terme de marché local, sur lequel des produits, tel que le mulet, peuvent être appréciés (Egypte, Tunisie, par exemple) et de marché à l'exportation en particulier vers les pays de la CEE, dont la demande est globalement trés forte ( tableau 7) et qui sont presque tous importateurs nets comme le montrent les tableaux 8 et 9.
B - LA DIVERSIFICATION EN MEDITERRANEE
1- CHAMP DE DEFINITION
La diversification en terme d'élevage ou de culture ne ports pas seulement sur les espèces (ou sur les variétés), mais également sur les techniques mises en oeuvre et sur les types de produits mis sur le marché.
A ce titre, on peur dire que la diversification est peut-être relativement peu pratiquée en aquaculture, mais c'est en revanche une voie présente dans l'agriculture et dans l'élevage, et, en particulier, dans la zone méditerranéenne depuis les temps les plus anciens, puisqu'elle représente une des bases de l'agriculture par assolements déjà pronée dans les écrits des «agronomes» atins ou ceux du Moyen-Age (Olivier de Serres)!
2- OBJET
La diversification n'est pas un objectif en soi, mais c'est me des stratégies de production qui permet de diminuer les contraintes qui pèsent sur la production, aussi bien sur le plan biologique technique, socio-économique et commercial.
- Contraintes biologiques :
La diversification peut répondre à 2 types de contraintes :
- contraintes sanitaires :
Le risque sanitaire est plus important en monoculture qu'en polyculture, et nous avons des exemples récents particulièrement dramatiques conséquence économiques dans l'aquaculture européenne. On peut citer 3 cas en France :
- Disparition de l'huitre portugaise entre 1965 et 1973 (fig. 10), dont la production est passée de plus de 100 000 T en 1965 à O en 1978, soit uneperte de 240 000 T de 1965 à 1971, année où la production de l'huitre japonaise a commencé à déboucher. Le coût direct en terme de perte de revenu peut se chiffrer à environ 5,5 milliards de francs actuels, soit prés de l milliard de dollars, sans compter le côut de remplacement rapide d'une espèce par une autre qui se chiffrait à l'époque à plusieurs dizaines de millions de francs.
- Diminution de la production de l'huitre plate entre 1975 et 1985, faisant suite à deux épizooties, dont les cons*eacute;quences ont été une chute de produ ction de l'ordre de 90%, de 15 000T par an à 1 500T actuellement. La perte économique pour les années 1974–82 a été évaluée à environ 2,1 milliard de francs actuels (370 millions de dollars).
- Apparition de la SHV sur la truite en 1967–68 (fig. 11), dont l'impact s'est chiffré par perte de 3 000T par an de production ( sur 12 000T) en 1969 et 1970, soit une perte de revenu de l'ordre 200 à 300 millions de francs actuels de 1968 à 1971.
Ces trois faits ont touché des monoproducteurs exclusifs, dont la seule issue pour les conchyliculteurs a été de transformer en catastrophe leur stratégie de production, avec tons les impacts que ceci représente sur le plan financier et commercial, et pour les trutticulteurs de diminuer leurs plans de développement.
- contraintes nutritives :
Cette autre contrainte est liée en aquaculture semi-intensive ou en aquaculture intégrée, á la mauvaise utilisation par une seule espèce de l'apport nutritif du milieu d'élevage; la diversification développée dans les élevages intégrés italiens ou celle de l'aquaculture chinoise est une réponse à cette contrainte.
Contraintes techniques
Les principales contraintes techniques concernent la disponibilité en sites présentant des eaux de bonne qualité et de température adéquate, et relativement bien protégés.
Les technologies classiques ne permettent pas toujours de résoudre les problèmes liés à des zones ne présentant pas toutes ces conditions et seul l'appel à des technologies nouvelles peut donner des solutions.
Contraintes socio-économiques
Il est possible d'identifier deux types de contraintes socio-économiques courantes autour de la Méditerranée :
- la première est liée aux concurrences, voire aux conflits dans l'utilisation des sites par plusieurs activités : tourisme, pêche, urbanisation et industrialisation, etc… La mise au point de technologies nouvelles (off-shore, submersion) ou l'utilisation d espèces plus résistantes peut répondre à ces contraintes.
- la seconde est en revanche liée à la demande des responsables politiques, de voir l'aquaculture jouer un rôle de développement dans des zones côtières ou rurales marginales (marais, estuaires, barrages, lagunes) en assurant une valorisation des surfaces et de la main d'oeuvre disponibles, tout en diminuant les consommation intermédiaires, Cette demande trouve difficilement une réponse dans les techniques et les espèces classiques développées en élevage intensif, ce qui implique de mettre au point des techniques et d'étudier des espèces adaptées à la mise en valeur de ces zones.
Contraintes commerciales
La production d'une seule, voire de deux espèces laisse le producteur à la merci d'un effondrement temporaire ou permanent du marché, pour des causes diverses : surproduction (huitres en France : fig. 12; saumon en Norvège: fig.13); problèmes sanitaires (influence du choléra sur le marché de la moule en Italie qui a abouti à une presque disparition de cette production sur l'ensemble du territoire). La diversification des espèces, mais aussi des techniques (exemple de la pisciculture intégrée italienne) et des types de produits (exemple de la trutticulture européenne : fig.14) permet de mieux supporter ces aléas, et d'en étaler les conséquences dans le temps, en compensant certaines mises sur marché par d'autres et en ne les libérant que plus tard. Un excellent exemple est celui de la pisciculture de Ittica Valdagri (fig.15), dans le sud de l'Italie, qui , malgré le poids de sa production d'anguilles qu début des années 80, a pu reconvertir son activité sans mal vers d'autres espèces, grâce à la diversité de ses installations et à celle de sa production; parrallèlement, la plupart des monoéleveurs d'anguilles faisaient faillite ou subissaient d'énormes pertes.
En conclusion donc, la divesification est une voie intéressante (mais non la seule) pour diminuer toutes les contraintes pesant sur la production aquacole ; elle n'est cependant valable que si on analyse sérieursement les conditions techniques, biologiques, économiques et commerciales de sa mise en oeuvre.
3- PROBLEMES POSES
Problèmes techniques
La diversification n'est pas une affaire simple sur le plan technique : l'exemple de la mise en valeur de la zone des marais Atlantiques en Europe, ou celui du développement des structures off-shore prouvent que l mise au point d'une technique nouvelle d'élevage peut demander plusieurs années, voire dizaines d'années. L'évolution initiale doit porter non seulement sur les problèmes techniques à résoudre, mais aussi sur coûts et des risques comparés des systèmes proposés avec ceux des technologies plus classiques.
Problèmes biologiques
Il n'est pas nécessaire de revenir sur ce point bien connu : la connaissance approfondie de toutes les bases biologiques nécessaires pour introduire une nouvelle espèce on élevage demande de 10 à 20 and d'efforts de recherche et d'expérimentations. Il est également utile de préciser que l'adaptation de techniques d'élevage développées pour une espèce voisine est souvent source de déboires pour une raison de méconnaissance de différences physiologiques fondamentales entre elles.
Problèmes économiques
La diversification des techniques ou des types de produits ( par exemple : des produits de plus grands taille) induit des risques économiques et des surcoûts dont l'incidence est important. Si l'on prend pour objectif un accroissement des tailles, l'augmentation de la durée de l'élevages représente une augmentation des besoins en financements, des risques technologiques (accidents) et pathologiques et des coûts de productions (coefficient) de conversion, par exemple): ces risques sont de plus forts pour des durées d'élevages de plus en plus longues.
Problèmes commerciaux
Ces problèmes sont primordiaux : l'échec de nombreuse opération de diversification a souvent été à de mauvaises prises en compte des problèmes de marché et de commercialisation. Les principales difficultés proviennent :
- d'une surestimation du marché lu du prix de vente, ce qui est souvent concommitant,
- d'une sous-estimation des apports concurrents (pêche, importation) ou des marges sur ces apports qui permettent de baisser les prix
- d'une méconnaissance des circuits commerciaux (cas du loup et de la dorade sur le marché italien)
- d'une sous-estimation des problèmes de mise sur marché de produits nouveaux ( cas de l'esturgeon, ou de la dorade japonaise)
En conclusion, on peut donc dire que la diversification n'est pas seulement une «affaire» de biologistes on de techniciens, mais aussi et surtout de spécialistes du marché et d'économistes : comme pour toutes activité de production, le marché est le facteur le plus important pour un développement.
Ces technologies sont cependant en train de se diversifier, par l'apparition de projet off-shore de divers types aussi bien pour les poissons que pour les mollusques.
En matière de commercialisation, en revanche, il existe trés peu de diversification, le marché méditerranéen étant resté traditionnellement attaché aux produits frais. Quelques tentatives sont cependant faites principalement sur des espéces d'eau douce, moins traditionnelles en Méditerranée (salmonidés et cyprinidés, esturgeons).
La divesification au niveau de la commercialisation, se heurte son seulement à cet attrait vers le frais, mais aussi à des traditions en matière de présentation (par exemple, la dorade est partout appréciée mais, en-dessous d'un kilo/pièce, elle n'a pas marché en Espagne) ou d'habitudes culinaires( le mulet trés apprécié dans le Sud de la Méditerranée et en Italie, n'a pas de marché en Espagne ou en France ; le loup considéré comme le premier poisson en Méditerranée de l'Ouest, est relativement déprécié à l'Est).
C- CONCLUSION
En conclusion, le marché Méditerranéen caractérisé par une demande non satisfaite par l'offre régionale et donc par des niveaux de prix encore trés élevés, n'est pas si facile à aborder si l'on s'éloigne des types traditionnels de commercialisation, que ce soit en termes d'espèces ou de produits. Une réflexion sur la stratégie à mettre en oeuvre est indispensable et ce séminaire devrait donc permettre de dégager quelques pistes pour entamer cette action.
PRODUCTION FROM AQUACULTURE BY COUNTRY IN 1988 (MT)
Tableau 1
| CYPRINIDS | SALMONIDS | OTHER FRESH WATER FISHES | SEABASS | SEABREAM | MULETS | OYSTERS | MUSSELS | OTHER MARINE FISHES | |
| ALBANIA | 368 | 245 | 11 | - | - | 3 | - | 3 107 | - |
| ALGERIA | 6 | - | 2 | - | - | 1 | 3 | 2 | |
| BULGARIA | 10 486 | 1554 | - | - | - | - | - | 100 | - |
| CYPRUS | - | 53 | 1 | 3 | 2 | - | - | - | |
| EGYPT | - | - | - | - | - | - | - | - | 57 100 |
| FRANCE | 7 735 | 31 385 | 1 225 | 145 | 170 | 130 000 | 51 000 | 484 | |
| GREECE | 300 | 2 261 | 46 | 90 | 140 | - | 1 100 | - | |
| ITALY | 500 | 30 000 | 6 500 | 300 | 300 | 3 500 | - | 48 900 | - |
| LEBANON | - | 100 | - | - | - | - | - | - | - |
| LIBYA | - | - | - | - | - | - | - | - | - |
| MALTA | - | - | - | - | - | - | - | - | - |
| MOROCCO | 4 | 14 | - | - | - | - | 140 | - | - |
| PORTUGAL | - | 1 750 | 501 | 52 | 69 | 422 | 900 | - | 8 201 |
| SPAIN | - | 16 036 | 507 | 2 718 | 153 | 75 | 3 269 | 243 010 | 3 986 |
| SYRIA | 1 289 | 84 | 357 | - | - | - | - | - | - |
| TUNISIA | - | - | - | 316 | 194 | 97 | 73 | 313 | - |
| TURKEY | 2 100 | 1 105 | 6 | 5 | 65 | - | - | - | 25 |
| YOUGOSL. | 13 094 | 300 | 19 | 200 | 60 | - | 48 | 1 370 | - |
| MEDITER | 34 882 | 84 834 | 9 243 | 3 827 | 1 154 | 4 099 | 134 431 | 348 993 | 69 798 |
Including clams (Portugal : 7 000T : Spain : 3 540T ; France :450T
source FAO Fisheries circular
№ 815 - Rev. 2
PRODUCTION DE L'AQUACULTURE MEDITERRANEENNE
DE LOUPS ET DORADEDS EN 1985 – 88
Tableau 2
| 1985a | 1986a | 1987a | 1988a | 1989b | 1990b | 1995b | |
| CEE | |||||||
| Portugal | 87 | 119 | 119 | 119 | 24 | 400 | 700 |
| Espagne | 110 | 168 | 147 | 182 | 450 | 1 760 | 4 500 |
| France | 85 | 100 | 150 | 315 | 259 | 375 | 1 400 |
| Italie | 500 | 500 | 500 | 600 | 1 950 | 2 200 | 9 900 |
| Grèce | -- | 90 | 105 | 230 | 500 | 2 200 | 9 900 |
| 782 | 977 | 1 021 | 1 416 | 3 183 | 6 735 | 19 070 | |
| AUTRES | |||||||
| Tunisie | 20 | 50 | 65 | 510 | 350 | ||
| Maroc | -- | -- | 20 | 60 | 80 | 80 | -- |
| Yougoslavic | 25 | 110 | 205 | 260 | 400 | 500 | 5 000 |
| Cypre | 1 | 1 | 0 | 3 | -- | -- | -- |
| -- | 34 | 65 | 65 | -- | -- | -- | |
| -- | 30 | 45 | 60 | -- | -- | -- | |
| 46 | 225 | 400 | 958 | -- | -- | -- |

Fig. 1 Shellfish Production in France (Source : IFREMER)

Fig. 2 : Trout Production in France (Source : La Pisciculture Française).

Fig. 3 : Relationship between production and prices of oysters in France (Source : IFREMER)

Fig. 4 : Droite de régression prix / quantité pour le saumon de Norvège importé en France
DIVERSIFICATION A PARTIR D'UN PRODUIT TRUITE ARC-EN-CIEL

Fig. 5 : Diversification a partir d'un produit truite ARC-EN-CIEL

Fig. 6: ITTICA VALDAGRI
- Produzione dell'acquacoltura italiana secondo diverse fonti (migliaia di quintali)
MARCHES ACTUELS DU LOUP ET DE LA DORADE DANS LES PAYS DE LA C.E.E.
Tableau 3
| FRANCE | PORTUGAL | ITALIE | ESPAGNE | GRECE | ALLEMAGNE | |
| Loups/ seabass | 2 500 | -- | 5 000 | > 1 000 | -- | 100 |
| Dorade royale/Seabream | 500 | -- | 3 000 | 1 000 | -- | -- |
| Sparidés/Sparids | 1 084 | 1 184 | 2 653 | 3 309 | 3 317 | 157 |
Sources Estimations “Etude GEM - 02/91”
| Specie allevata | Tecnologia I,E,SE | Fonte di informazione ed ultimo anno di osservasione riportato | |||||
| FAO (1986) | CEE (1986) | OCDE (1986) | ISMEA (1987) | MAF (1987) | ICRAP (1986) | ||
| trota | totale | 265,00 | 225,00 | 250,00 | 250,00 | 250,00 | -- |
| pesce gatto | totale | 15,00 | 15,00 | 15,00 | 15,00 | 15,00 | -- |
| carpa | totale | 40,00 | 5,00 | 8,00 | 5,00 | 5,00 | -- |
| altri pesci acqua dolce | totale | 50,00 | -- | -- | -- | -- | -- |
| anguilla | I | -- | -- | -- | 25,00 | 30,00 | 22,00 |
| E | -- | -- | -- | 20,00 | 20,00 | -- | |
| E + SE | -- | -- | -- | -- | -- | 15,00 | |
| totale | 37,00 | 60,00 | 25,00 | 45,00 | 50,00 | 47,00 | |
| cefali | totale | 52,00 | 80,00 | spigola | 35,00 | pesce biano | 25,00 |
| orata | I | -- | orata | + | 1,50 | (spigola, | 1,50 |
| E | -- | + | orata | 2,50 | cefali ed altri) | -- | |
| E + SE | -- | spigola | + | -- | E = 40 | 3,00 | |
| totale | 2,50 | totale=15 | 4,00 | I = 3 | 4,50 | ||
| Spigola | I | -- | totale=120 | 3,50 | totale=43 | 3,50 | |
| E | -- | 2,50 | -- | ||||
| E + SE | -- | -- | 2,00 | ||||
| totale | 2,50 | 6,00 | 5,50 | ||||
| Totale specie ittiche eurialine (cefali, spigola, orata, anguille) | 94,00 | 155,00 | 145,00 | 90,00 | 93,00 | 82,00 | |
| gamberi | totale | -- | 0,05 | -- | -- | -- | -- |
| mitili | totale | 650,000 | 640,00 | 670,00 | 1053,00 | 854,00 | -- |
| ostriche | totale | 50,00 | 10,00 | -- | -- | 50,00 | -- |
| TOTALE GENERALE | 1164,00 | 1050,00 | 1088,00 | 1413,00 | 1267,00 | -- | |
Legenda: I = Intensivo
E = Estensivo
SE = Semiestensivo
-- = dato non riportato.
Fonti Riferimento:
FAO : Aquaculture production (1984–1986). Statistical Tables FIDI/C815, p.81, FAO, Roma. 1989.
CEE : Riportato in ISMEA, Roma, 1988, pp.117–118, citato di seguito.
OCDE : Aquaculture, l'émergence d'une industrie nouvelle. OCDE. Paris, 1989, p.126.
ISMEA : Aquacoltura, le structure productive, lo stato della produzione e del mercato e le
prospettive. ISMEA, Roma, 1988.
ICRAP : In : Ingle, E., Saroglia M. Marino G. e landoli C. Allevamento larvale di pesci marini :
realta e problematiche per lo sviluppo del settore. In atti del Convegno Giornate Italiane di
Acquacoltura Marina, Trieste, 6–8 maggio 1988. Pubbl. n ; II Pesce, № 4 (1988), pp .31–34.
MAF : In : Della Seta G., Some aspects of Italian Aquacultural production and problems connected
with mussel and trout farming. Presentato a : OCDE extended meeting on aquaculture, Parigi, 15–17
giugno 1988. Pubbl, in : Aquaculture : examens des données d'expériences recentes. OCDE(1989),
PP. 279–290.
JURICA JUG-DUJAKOVIC,
Yugoslavia
INTRODUCTION
Common dentex, Dentex dentex become very interesting for commercial breeding because of fast growth and high market value. The fish are distributed through the Mediterranean, and in the Atlantic from Biscay to Cap Blanc and Madeira, exceptionally to the British Isles (Bauchot and Hureau, 1986). The statement of fast growth was based on the experience of growing this species in public aquarium in our Institute. Bini (1968) reported intensive growth for common dentex fry in captivity. Fry in aquaria were found to reach 300g in 14 months. The growing was based on collections fry in their natural habitat in August and September (mean W=5.6g). Common dentex spawn in Adriatic from March to the middle of June (Bini, 1968). The preliminary data on sexual maturation in captivity and embryonic development was presented by Glamuzina et al. (1989).
BROODSTOCK MAINTENANCE AND SPAWING IN CAPTIVITY
Only a few specimens were possible to obtain from gill net catches in the middle Adriatic coastal area. So the broodstock as established from commercial landings. After transportation fishes were treated with preventive doses of streptomycin sulfate (50 mgl-1). Fishes were kept in 4 m3 tanks with a flow-through water supply and replacement time of approximately 6 h. Stocking density was 3 kg/m3. Fish were fed on fresh natural food (pieces of sardines, horse mackerel or mussels) and once per week with live fish (Atherina mochon), supplemented with trout pellet occasionally. Salinity and temperature during the preconditioning and spawing period were ambient.
At the beginning of May 1986 most of parental fishes matured spontaneously giving a small quantity of ripe eggs and milt by gentle abdominal pressure. Fish were classified by sex, either by obtaining the sex product or by biopsy. Fishes were injected with different doses of chorionic gonadotropin (HCG). Females were injected with 1 000 I.U. and males with 500 I.U. per kilo, and placed in spawing tanks with continuous flow of sea water. The tank was also equipped with a collector for fertilized eggs Fishes responded positively to hormone treatment. The first oocyte maturation occurred 117h after hormonal induction.
Spontaneously fertilized eggs were collected for 12 subsequent days (Fig.1). On the first day of spontaneous spawning41 000 fertilized eggs were collected, giving a fertilization percentage of 84%. The largest numbers of eggs besides those laid on the first day were released on the third (20 000; fertilization 40%), seventh (30 000 predominantly over ripe and unfertilized eggs) and eight day (42 000 eggs, fertilization 40%). On the last three days only overripe eggs were released. Males produced milt for two months (until the 30 June when this part of experiment was terminated).
Second year of broodstock maintenance the same quantities of ripe oocyte were obtained from spontaneously matured female fishes at the begining of May. Ovulation were induced by HCG, but does were strongly reduced in relation to the first year of rearing. Only 250 I.U. were given per kg of body weight, and males were not injected. At the temperature of 16°C fishes responded after 144 hours giving 36000 fertilized eggs. Eggs were collected for 8 days and percentage of fertilization were calculated. Each spawner gave an average of about 73 000 fertilized eggs. Fecundity of 58 000 eggs per 1 kg of wet weight was recorded. Fig. 1 shows release of eggs in relation to time in hormonally treated common dentex in the first and second year of broodstock rearing.
EMBRYOGENESIS AND LARVAL REARING
The common dentex eggs are typical sparid fish eggs: spherical in shape, transparent with unsegmented and homogenous yolk and an unpigmented oil globule. At 38% salinity, eggs float at the surface. Diameter of ripe eggs ranged from 943–964μm with mean 958μm.
Eggs were incubated in a black conical polyethylene tank of 1,6m, with constant exchange of 20–30% sea water daily through a 450μm net. To control bacterial contamination, streptomycin sulfate (30 mg/l) was added.
The first cleavage occurred by about 1h 45 min after fertilization at 17°C. Survival of eggs during the incubation was about 62%. A period of increased mortality was observed at the gastrula stage when, during the invagination of blastomers 25% eggs died. Immediately after fertilization 4–5% of eggs died, and 8% at the morula stage.
The length of common dentex at hatching was 2.17+0.2μm. The newly hatched larvae float upside down. By day 4 most of the larvae decend to the bottom. The yolk sac was used up by day 7. At the complete of yolk sac resorption the survival of larvae was 72%.
The mouth was formed by the sixth day, the diameter ranging from 246-31μm. Larvae were mobile at that time, and able to swim on the surface. Functional mouth opening, according to some authors is 40% of the maximum mouth opening. Even though, consistent with this, functional mouth opening in common dentex was 98–12μm and sufficient for ingesting smaller rotifers, on day 7–8 more than 30% of larvae had empty guts. On days 8–9, 36% of larvae died and majority showed gut degradation, probably due to starvation. Maximum mouth opening and total length of larvae did not increase significantly by day 8. On day 12 only a few larvae survived and so the observation were discontinued.
Newly hatched larvae were raised under conditions (17°C and 38% salinity) and decreased or increased salinities and elevated temperatures. No significant mortality was observed within 24 hours after hatching when the larvae were exposed to different salinities and temperatures. However, the best survival was recorded at 38% (ambient) and 30% salinity and ambient temperature of 19°C. temperature resulted in increased under hyperhaline (50%) and hypohaline (20%) conditions. Within the range of optimum salinity, however, any temperature elevation above the ambient temperature resulted in increased mortality. At reduce salinity (20%) elevated temparature elevated survival. We observed no positive effect of hypoosmotic salinity, which is supposed to reduce the activity and metabolic requirements of teleostean larvae. In general, larval stages of common dentex appear to display less pronounced euryhalinity as compared to the undoubted preference of gilt head sea bream and sea bass larvae for a hypoosmotic medium.
After this pilot project the main problem was poor survival of small and sensitive larvae during the critical period of initial feeding. It is known that mouth opening limits the size of the prey, and that exclusive rotifer feeding leads very quickly to increased mortality, so we established a new feeding patern (Fig.2).
Fifty newly hatched larvae per liter were placed in 2,5m larval tank at ambient temperature and salinity. The natural light was strongly reduced. 12 hours after mouth opening light intensity was increased and first food was added. Small selected rotifers were added to the larval tanks to a density of 6–8 individuals/ml for the first four days. Unselected enriched rotifers were given from day 5–25, two times per day. Enrichment consisted of keeping rotifers for 3 to 4 hours (500–600 ind/ml) in dense culture of green algae (chlorella) added fish meal, brewer yeast and cold liver oil. These components were mixed in destilled water broken to small particles (<10μm) in homogenizer. A gram of brewer yeast,2.5 g of fish meal and 2ml oil were added per litre of the culture. With the introduction of newly hatched Artemia nauplii at the day 16, rotifers were still given but at reduced density. On day 32 two days old enriched Artemia naupplii fed on Chlorella was added. The enrichment procedure was the same as for the rotifers. On the same time small quantity of artificial food was added (Trow-sea bass, sea bream starter). The quantity of artificial food was gradually increased whereas Artemia feed was gradually reduced.
Survival of common dentex from hatching to metamorphosis, 48–56 after hatching was 11%. About 35% of larvae died in critical period of initial fedding (from seventh to ninth days), and 26% died from 40–46 days, at the beginning of metamorphosis (Fig 3).
Growth of the common dentex from day 6 (beginning of active feeding) showed stagnation in the period of adaptation on active feeding and during the period of metamorphosis. After 62 days fishes reach mean total length of 13.05mm and were adapted to the artificial food.
CONCLUSIONS
Low doses of HCG (250 I.U./kg) was sufficient to induce maturation of common dentex eggs in stage of vitellogenesis. The maturation was not synchronized. Common dentex female produced eggs in several spawning over 8–14 days.
Small and sensitive larvae needed special feeding patern:
- small selected rotifers (through a 12μm net) in the first 4 days
- enriched rotifers in the next 10–14 days
- newly hatched Artemia from day 16 or 20
- small quantity of dry artificial food from day 16
- 2-days old enriched Artemia from day 30 or 35
- gradually increase of dry artificial food till day 60 when fishes will bee adapted to the artificial food
REFERENCES
Bauchot , M,-L, and Hureau, J.-C., 1986. Sparidae. In : P.J.P. Witechead, M.L. Bauchot, J.-C. Hureau, J. Nielsen and E. Tortonese (Editors), Fishes of the North-Eastern Atlantic and the Mediterranean, II.UNESCO, Paris, pp.883–907.
Bini, G., 1968. Atlante dei Pesci delle Coste Italiane. VOL. 4, Sparidae. Mondo Sommerso, Milan, pp. 93–152.
Glamuzina, B., J. Jug-Dujakovic, and I.Katavic, 1989. Preliminary studies on reproduction and larval rearing of common dentex , Dentex dentex (linnaeus, 1758) b Aquaculture 77:75–8
Fig. 1. Release of eggs in relation to time in hormonally treated common dentex. A:1 000 I.U. per kilo of body weight; B: 250 I.U. per kilo of body weight.

Fig. 2. Feeding shedule of common dentex

BEDOUI RAFIKA
TUNISIA
1. PRESENTATION OF SOLEA SENEGALENSIS:
Solea senegalensis Kaup, 1858.
Solea senegalensis Dumeril, 1859.
Solea melanochira Moreau, 1874.
Solea senegalensis: Flat-fish, belongs to the order of pleuronectiforms, to the under order of Pleuronectoid and the family of Soleid ae. It has often confused with solea vulgaris in the Atlantic and with 2 taxons vulgaris and aegyptiaca in Mediterranean. (Coucha 1978) fig 1 and 2. This species was identified in the Atlantic by the studies of Chabanaud (1927 A et B) and later by Ekman (1953) and Dollfus (1955). Albuberque (1956), Bauchot and al (1957), Nielson (1963), Lagardère (1979), Lagardère and al (1979), Rodriguez and Rodriguez (1980) and Gaucha et Ktari (1981) signaled it in Mediterranean (fig 2 and 3).
Beyond the morphologic distinction of this 3 taxons of sole, more advance studies permitted to separate them cytogenetically and biochimically (Gaucha 1982, Pasteur and al 1985 and Kotulas and al 1988).
We may notice that while research in systematic biological cycles and diets was more interested in the solehdae species, aquaculture was concerned only Solea vulgaris.
2. ANTERIOR STUDIES CONCERNED REARING OF SOLEA VULGARIS:
In Tunisia only Solea senegalensis is noticed by rearing of Solehdae. Anerior studies concerned rearing of Solea vulgaris (Solea solea) suggests 2 conclusion:
- The rearing of Solea vulgaris takes place successfully during the first month (Fabre-Domergue et Bietrix 1905, Girin 1974 in France, Shelbourne 1968 and Bromley 1977 in England, Fleutcher and Tromlusdorff 1974 in Germany, Prasola 1974 in Italia, Ramos 1974 in Spain and Rhouma and EI Ouaer 1982 in Tunisia).
- Rearing blocking happens with weaning, the inevitable stage of adapting larvae, previously reared with live preys, to inert feed (Brasola 1974, Bromley 1977, Metailler and Girin 1976 and Girin 1978).
To overcome this obstacle, different studies concerning young fish sole feed were realized (Mornière 1983, Cadena-Roa 1983, Person-Le Ruyet and al 1983 and Martinez 1984).
In connection with this, 3 questions crop up:
Meanwhile, does the rearing of Solea senegalensis take place
successfully during the first month?
Does-it present the same blocking as Dover sole?
What are the actions proposed?
3. REARING OF SOLEA SENEGALENSIS
For this purpose, a stock of begetters was created in the rearing park of the INSTOP since 1989.
Begetters origin
They are capturated in the fixed fishery of Oued Tinja which links Bizerte lake to Ichkeul lake in the North of Tunisia (fig 5).
They are transported and placed in a race-way with a sand bottom, where spawning is realized. The begetters have a weight average of 272g and size average of 30cm. They are fed with mussel, fish and adult artemia. The water temperature and salinity during 1989 – 1990 are represented on fig.6.
Spawning
Hormonal injections (H.G.C.) testing at the rate of 1000 U.I/kg were negative even with inflated females. San Feliu and al (1976) tested different injections(500, 1000 and 1500 U.I/kg) to Solea vulgaris, the answer was positive but ovules presented abnormal constitution. Lahaye (1972) established that the spawning period of sole is long and the maturity degree of the ovocyts is not the same in the same ovaire. The same phenomena is observed with Solea senegalensis; the spawing begin in April and continued to June with natura light and photoperiod.
The spawning is nocturn and the eggs collected have an average diameter 1,12 to 1,20 mm and arc caracteristed by numerous lipidic small drops.
Egg incubation
The first spawnings gave the best rates of hatching 80%. The last spawnings are quantitatively mediocres, the rate of hatching is lower than 50%.
Fertilized eggs are placed in a 30 litres bassin in stagnant water with moderate aeration. The hatching time for Solea vulgaris seems tributary of temperature, 10–11 days for 13– 14°C (Fabre-Domergue et Bjetrix 1905) 3 days for 10°C (Bromley 1977) and 2–3 days for 17°C(Rhouma and El Ouaer 1982).
For Solea senegalensis the time of incubation at 17°C is 48 hours.
Eggs hatching
The follow-up of eggs permitted to identify different stages from hatching to the larvae, before and after metamorphosis. These stages are similar to Lagardère's (1979).
At hatching, larvae is caracterised by bilateral symmetry, a head bended towards the yolk sac and existance oily drops. The mouth begins to open on the third day.
Larval rearing
After hatching, larvae are transfered in conical cyclinder 250 liters and submitted to a moderate ventilation and a photoperiod of 12 hours. Solea senegalensis larvae accept the Artemia nauplii since opening its mouth like Solea solea (Shelbourne 1975, Bromley 1977 and Fushs 1982). This operation permits to stop feeding larvae by rotifer (necessitate parallel sea weed and cultivation in strict conditions); it indeed reduces rearing cost. This rearing period is realized with success and mortality is only 10%. Malformations are rares, some larvae presented bulbledisease and only one case of skeleton; malformation is observed.
At metamorphosis 15 – 20 days the larvae loses its symmetry, its left eye migrates to the right side and it becomes flat and loses its pelagic behaviour and becomes benthic. Then larvae are transfered to other basins(150×50×30 cm) at the rate of 4000 larvae it seems that larvae do not show a preference for sand bottom basin, which are difficult to manipulate and to clean, to nude bottom.
Weaning
Starting the 20 the day, frozen artemia is distributed with live artemia diet, which will gradually be replaced by adult frozen artemia alone.
At this rearing stage, mortality rises up. Although for one larvae lot that was not weaned, the same rate mortality was observed.
It proves that the first month of rearing does not raise any particular problems that mortality coincides with the wearing period, but is it the principal cause?
4. PROPOSED ACTIONS:
Even though the first month of rearing of Solea senegalensis is achieve successfully, we think that is a need for a technical optimization, especially regarding production costs and tropic parameters, in order to master massive artificial production of young fish and to organize repopulation operations in natural and adapted environments.
Among these factors, prey density and feating duration are tested on larvae nourrished with artemia.
Produce larvae at a large scale, to succeed in weaning in order to realize semi-intensive rearing of this species. That necessitates interventions at the technical, trophic and biophysiologic levels.
Technically: Define rearing conditions; bottoms nature, photoperiod, temperature, salinity.
On trophically stand: Define the quality and quantity of larvae needs before, at moment and after metamorphosis.
On the bio physiologic level : Link mortality moments to a critical moments of the organogeneses especially to the anatomic and physiologic modifications of the digestive tract.
For these different propositions research is in progress. We dispose of results related prey densities and starvation time tested with larvae fed with artemia.
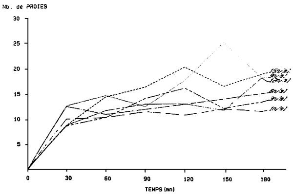
- In the first case, we have followed the number of preys evolution in the ali mentary tract of different lots of larvae that re at different prey densities with larvae 11 and 14 days old, the densities superior (upper) to 9 nauplii/ml proved non efficient (fig 7 and 8).
- In the second case, prey number evolution in larvae alimentary tract aged 17 days old and submitted to different starvation times showed that the lar vae of Solea sengalensis are resistant, they support starvation of 96 hours but appear weakened (fig 9).
BIBLIOGRAPHIE
ALBUQUERQUE, R.M. 1956 - Poissons du Portugal et des îles adjacentes. Port Actabiol., ser.B, 5: 1167p.
BAUCHOT, ML. BAUCHOT, R.et LUBERT, p.1957 - Etude de la faune ichthyologique du bassin d'Arcachon (Gironde) Bull.Mus.His.Nat. Paris (2), 29,(5)p: 385–406.
BRASOLA, V, 1974 - Riproduzione artificiale della sogliola (Solea solea) effectuata con successo presso la laguna di Orbetello. RIV.It.Pis-cic. Ittiop9(4): 99 – 101.
BROMLEY, p.J. 1977 - Method of wearing juvenile hatchery reared sole (Solea solea (L) from live food prepared diets.Aquaculture.12: 337 – 347.
CACERES - MARTINEZ, C. 1984 - Etude sur les besoins nutritionnels de la sole (Solea vulgaris) et du turbot (Psetta maxima). Thèse 3ème cycle Un. de Bretagne Occidentale, 132p.
CADENA - ROA, M. 1983 - Etude expérimentale de al sole (Solea vulgaris Q) en élevage intensif. Thèse 3 éme cycle Un. de Bretange Occidentale, 124p.
CHABANAUD P 1927 A - Les soles de l'Atlantique Oriental Nord et des mers adjacents. Bull. Inst Océanogr., Monaco, 488: 67p.
CHABANAUD, P. 1927B - Observation morphologiques et ramarques sur la systématique des Poissons Hétérosomes Solehformes. Bull. Inst. Océanogr. Monaco - 500: 1 – 15.
DOLLFUS, PM.R. 1955 - Première contribution à l'établissement d'un fichier ichthyologique du Maroc Atlantique de Tanger à l'Oued Dra.Trav.Inst .Scient.Cherif., Zool (6): 277p.
EKMAN, S. 1953 - Zoogeography of the sea. London, 1953.
FABRE, DOMERGUE, P. et BJETRIX, E., 1905 - Développement de la sole (Solea vulgaris). Paris: Vuibert et Nony; 286,8pl
FLUCHTER, J. et TROMMSDORFF, H. 1974 - Nutritive stimulation of spawning in common sole (Solea solea L.) Ber. Dt sch. Wiss. Komm Neeresforch. 23 (4): 352–359.
FUCHS, J. 1982 - Production de juvéniles de sole (Solea solea) en condition intensive. Technique de sevrage entre 13 mois; Aquaculture 26 (3–4): 339 – 358.
GIRIN, M., 1974 - Régime alimentaire et pourcentage de survie chez la larve de sole (Solea solea L.). Colloque sur l'aquaculture. Act de colloques, CNEXO Ed., 1: 175–185.
GIRIN, M., 1979 - Méthodes de productions des juvéniles chez 3 poissons marins: le bar (Dicentrarchus labrax), la sole (Solea solea) et le turbot (Scophtalmus maximums). Thèse de doctorat d'Etat, Université Pierre et Marie Curie, Paris, 200p.
GOUCHA, M., 1978 - Contribution à l'étude des Pleuronectiformes (Heterosomata) du golfe de Tunis. D.E.A. Biol. Marine Univ. de Tunis.
GOUCHA, M 1982 - Etude morphologique, biologique cytogénétique et biochimique de 3 espèces de soles du genre Solea, Quensel 1806 des côtes tunisiennes - Thèse Doct. 3ème cycle de Biol. Marine, un Tunis: 192.
GOUCHA, M et KTARI, MH., 1981 - Présence de Solea senegalensis Kaup, 1858 sur les côtes du Nord de la Tunisie. Rapp. Comm. Int. Mer. Médit., 27,5 : 131 – 133.
KOTULAS, G., PASTER, N., BERREBI, P., ECONOMIDIS, P., et QUIGNARD, J.P., 1988 - V-II-40 - Distribution biogéographique et statut systématique des taxons du groupe Solea Vulgaris/aegyptiaca/senegalensis Rapp.Comm.int.Ner-Medit., 31,2.
LAGARDER, F., 1979 - Ichtyoplancton de Solea senegalensis kaup, 1858 (Soehdés, Pleuronectiformes). Description des oeufs. Problèmes posés par l'identification des larves. Ann. Soc.Soci.Nat. Charente-Maritime 6 (6): 583–596.
LAGARDERE, F., 1979 - DECAMPS, P. et QULRO, J.C., 1979 - Découverte le long des côtes de la Charente maritime d'une population de Solea senegalensis Kaup, 1858 (Soleidés Pleuronectiformes) Ann. Soc. Sc. Nat. Charente Maritime 6 (6): 553 – 572.
LAHAYE, J., 1972 - Cycles sexuels de quelques poissons plats des côtes bretonnes, Rev, Trav Inst. Pêches Marit. 36 (2) : 191 – 207.
LOZANO REY, L., 1960 - Les poissons d'Espagne. Mem. R. Acad. Cienc. Madr., 14 : 1 – 613.
METAILLER, R et GIRIN, M., 1076 - Croissance de jeunes soles (Solea solea) nées en laboratoire et conditionées à l'aliment composé. ICES. 2nd Meeting of the working Group on Mariculture Hamburg 4–6 may 1976. Roméo, 20 pp.
MORINIERE P., 1983 - Etude de la croissance de la sole (Solea vulgaris Q) en élevage intensif. Thèse 3ème cycle. Uni. de Bretagne Occidentale, 80 pp.
NIELSEN, J., 1963 - Soleidae (Pisces, Hetersomata). Atlant. Rep, 7,7–35.
PASTEUR, N., AUTEM PICHOT, P. et GOUCHA, M., 1985 - Structure génétique de la sole (Solea-Vulgaris)-Quensal, 1806, Teleosteens Soleïdés). Rev. Trav. Inst.Pêches marit. 47 (1 et 2) :37–54.
RAMOS, J., 1977 - Primeras experiencias de cria del lenguado (Solea solea L) In. Inf. Tec. Invest. Pesq., 48 : 1–16.
RHOUMA, A et EL OUAER, A., 1982 - Obtention de juvéniles de sole (Solea vulgaris Quensel, 1806) à l'écloserie de l'Institut National Scientifique et Technique d'Océanographie et de Pêche (Ghar-El-Melh-Tunisie) Bull. Inst. Scient. Tech. Océanogr, Pêche Salammbô, 9–521.
RODRIGUEZ, A. et RODRIGUEZ., R. B. 1980-Primeria cita en el Mediterraneo de Solea senegalensis kaup 1858 (Hétérosomata, Soleïdae) Inv. presq 44 (2) : 291–295
SANFELIU, J. M., MUNOZ, F.A., RAMOS, J., 1976 - Techniques de stimulation de la ponte et d'élevage de larves de crustacés et de poissons (P.K. Pal. sole, daurade). FAO, C.G.P.M. Etudes et revues 1055 Espagne. PM, à 34.
SHELBOURNE, J.E., 1968 - The culture of marine fish larvae, with special reference to the plaice (Pleuronectes platessa L.) and the sole (Solea solea L.) Ph. D. Thesis, University of London, 143.
TORCHIO, M., 1973 - «Soleïdae» in C.L.O.F.N.A.H. Hureau et Monod Ed. Paris, I:628–634.

Fig. 1 : Fréquences vertebrates chez Solea vulgaris vulgaris
(Goucha 1978)

Fig. 2 : Variation du R.G.H. et du R.H.S.
chez les femelles de Solea vulgaris vulgaris
(Goucha 1978)

Fig. 3 : Pourcentage du nombre d'individus en fonction du nombre de vertèbres chez les trois espèces de soles



Fig. 4 : Variation du rapport gonado-somatique chez (1) S. Vulgaris
(2) S. aegyptiaca et (3) S. senegalensis.
(GOUCHA 1982)

Fig. 5 : Oued Tinja : Lieu de capture des géniteurs de Solea senegalensis

Fig. 6 : Variation de la température –––––– et de la salinité dans ------- le bassin de ponte Période de ponte durant l'année 1990. ––––––

Fig. 7 : Variation du nombre de proies (artemia) dans le tube digestif des larves de sole agées de 11 jours durant les 30 minutes suivant le distribution de la nourriture en fonction de la densité des proies.

Fig. 8 : Variation du nombre de proies (artemia) dans la tube digestif des larves de sole agées de 14 jours durant les 180 minutes suivant la distribution de la nourriture en fonction de la densité des proies

Fig. 9 : Influence de la durée de jeune sur la quantité de proies ingérés (Artemia) chez la larve de sole agée de 17 jours