MODÉLISATION: PROBLÉMATIQUE D'AMÉNAGEMENT ET DE GESTION DES LAGUNES ON AQUACULTURE
BY M. BELKHIR, TUNISIE
DYNAMIQUE DE MARÉE LE GOLFE NORMAND-BRETON
BY A. ORBI & J. C. SALOMON
MODÉLISATION HYDRODYNAMIQUE ET BIOLOGIQUE DES LAGUNES: APPLICATION AU LAC DE TUNIS
BY M.MOUSSA
ECOLOGICAL PLANNING : POSSIBLE METHOD FOR THE CHOICE OF AQUACULTURAL SITES
BY E.DUTRIEUX & O.GUÉLORGET, FRANCE
TROPHIC CAPACITY OF THE BAY OF MARENNES-OLÉRON
BY C.BACHER, FRANCE
MODÉLISATION DE LA PRODUCTION DE L'HUÎTRE CRASSOSTREA GIGAS DU BASSIN DE
MARENNES-OLÉRON.
BY O.RAILLARD & MENESGUEN, FRANCE
ETUDE DE L'IMPACT DU STOCK D'HUÎTRES ET DES MOLLUSQUES COMPÉTEURS SUR LES
PERFORMANCES DE CROISSANCE DE CRASSOSTREA GIGAS, À L'AIDE D'UN MODÈLE DE CROISSANCE
BY C.BACHER, FRANCE
LAW AND ECONOMIC MODELS FOR AQUACULTURE (DRAFT)
BY J.C.MARTINEZ COLL, SPAIN
CASE STUDY PROJECT ON DEVELOPMENT OF MODEL FOR AN AQUACULTURE/LAKE OR LAGOONSYSTEM
BY M.BELKHIR & S.E JORGENSEN
AMÉNAGEMENT LAGUNAIRE : CAS DU LAC MELLAH
BY Z.ABDEL NASSER, ALGÉRIE
LAGOON MANAGEMENT IN TURKEY
BY K.DILEK, TURKEY
LAGOON MANAGEMENT IN EGYPT : CASE STUDY OF BARDAWEEL LAGOON
BY MR.M.M.EL BAWAB, EGYPT
CRITÈRES POUR LA DÉTERMINATION DES POTENTIALITÉS DES CÔTES MAROCAINES DANS
LE DOMAINE DE L'AQUACULTURE MARINE
BY MR.A.BERRAHO, MOROCCO
LAGOON MANAGEMENT IN ALBANIA
BY MR.A.PALLUQI, ALBANIA
LA LAGUNE DE NADOR : ÉCOSYSTÈME ET AMÉNAGEMENT
BY MR.A.ABOUHALA, MOROCCO
Par Mr. Mohieddine BELKHIR
INTRODUCTION
Les lagunes sont des systèmes côtiers généralement assez riches; elles se caractérisent par un rendement biologique relativement plus fort en comparaison avec les systèmes marins océaniques. De part cette richesse et leur situation à portée de l'homme, ces lagunes ont souvent été l'objet d'aménagement et d'exploitation qui répondent à un souci permanent de développement du secteur socio-économique sans, pour autant, prendre en compte l'écologie du système; ainsi, toute activité irréfléchic et empirique est de nature à altérer l'équilibre de la balance de cet écosystème, donc, à affecter les lois naturelles régissant son comportement et son fonctionnement.
Définition d'un système lagunaire
Une lagune est un système aquatique vivant, donc organisé, dynamique et évolutif; ce système est composé de trois matrices essentielles : l'eau, la biocénose et le sédiment; les différents processus de ce système, qu'il s'agisse de processus biotiques ou abiotiques, sont cycliques et en constante évolution, passant d'un état à un autre dans l'espace et au cours du temps.
Tout système lagunaire qui subit, de l'extérieur, des actions stressantes, réagit par la réorganisation des composantes biotiques et abiotiques qui le caractérisent et tend à réetablir son équilibre bio-écologique initial. Cela suppose que tout changement imposé à un système donné peut ne pas avoir d'effet négatif sur ses caractéristiques écologiques, ce qui reste probablement vrai pour un certain seuil d'action; toutefois, dans le cas de stress permanent, l'état énergétique initial peut perdre son faciès et les symptômes qui caractérisent les processus de dégradation de ce système seront nettement dévoilés et irréductibles.
Définition de l'aquaculture
L'aquaculture constitue une des interventions de l'homme qui peut agir favorablement ou défavorablement sur la balance biologique de la lagune; en effet, par prise de conscience de l'appauvrissement des mers en ressources halieutiques, les autorités se sont lancées dans des projets de grande envergure.
Les coûts et le temps, souvent long, d'évaluations que ces projets nécessitent pour leur réalisation font que ces projets sont décidés et réalisés en un temps record; ce qui indique que le choix du site et l'étude d'impact ne sont souvent pas consistants; ils le sont encore moins dans un pays où la compétence d'un personnel assez qualifié en la matière fait défaut et l'aménagement est considéré comme mal conçu, ce qui engendre, à moyen ou à long terme, des perturbations du milieu récepteur du projet aquacole. Ces perturbations conduisent automatiquement à de s crises écologiques qui inversent le raisonnement et les problèmes qui se posent à l'amont sont plus difficile, voir impossible à résoudre que lorsqu'ils étaient posés à l'aval, c'est-à-dire dans la période précédant la prise de décision d'installation du projet en question. Les résultats induits sont, bien sûr, nuisibles; ils affectent non seulement le faciès bio-écologique du système récepteur mais également le faciès social et économique puisque ce projet, après un tel coup dur, s'alourdit financièrement et se voit obligé de rester soit en l'état de stagnation soit annoncer la fermeture à jamais.
Interdépendance : lagune - aquaculture
L'exemple que nous avons présenté dans son schéma le plus simple évoque l'extrême interdépendance socio-économique du projet avec celle écologique de la lagune, voir même jusqu' à retenir que ces deux interdépendances soient pratiquement imbriquées. Ne pas tenir comte d'un système c'est mettre l'autre en danger; ce qui est malheureusement le cas de l'aquaculture qui, souvent dans le monde du «business», fait appel à des techniques quoi qui simple à priori mais coûteuses en capitaux et en connaissance (know-how) et les solutions apportées ne sont plus généralement analysées et évaluées avec soin avant de se prononcer en leur faveur.
L'étude de cette interdépendance, ou en terme simple de l'impact mutuel entre la lagune et l'aquaculture, peut être une procédure souple; son efficacité dé dépend de son acceptation de la précision des études scientifiques et de la volonté des capacités des pays, surtout en développement, a les préparer, à savoir : l'étude de faisabilité et l'évaluation financière.
Il est donc possible de conclure en disant qu'une gestion des lagunes en matière d'aquaculture devrait intégrer dans ses perspectives les dimensions techniques, sociales, culturelles et économiques qu'implique la prise en considération de l'écosystème lagunaire. Toutefois, il ne s'agit nullement de les traiter chacunes indépendamment, mais d'établir une approche conciliante qui permet de synchroniser la gestion des lagunes et celle de l'aquaculture.
Concept : aménagement - aquaculture
L'exploitation des lagunes aux fins d'aquaculture, qu' elle soit artisanale, extensive ou intensive, répond jusqu'ici à des coutumes qui sont généralement propres à chacun des pays du bassin de la Méditerranée. Toutefois, dans les cinq années précédentes, une inquiétude commence à être suscitée par l'augmentation du nombre des projets aquacoles de grande envergure et qui opèrent directement ou indirectement dans les lagunes. Cette prise de conscience progressive, quant à l'impact de cette activité aquacole sur l'écosystème des lagunes, a amené les aquaculteurs et les décideurs à réviser leur position en matière de développement de l'aquaculture et à se rendre compte de la nécessité de réglementer la gestion d'un système lagunaire afin que son équililbre bio-écologique soit préservé.
En effet tout système aquacole qu'il soit intensif ou extensif, se compose esentiellment de troiséléments:
les ressources (bio-cénose);
la technique ou la technologie, considéréc comme outil d'aménagement;
l'environnement récepteur (ses composantes essentielles étant l'eau et le sédiment).
De ce fait, le système est donc un ensemble de composantes ayant pour fonction de satisfaire une demande énergétique consommable et les trois éléments précités, qui sont les ressources, la technique et l'environnement, sont interdépendants et corrélatifs.
En effet, la technique utilisée dans un système d'aquaculture donnée, agit directement ou indirectement par le biais de l'environnement sur ce dernier et sur les ressources dont la qualité et la quantité conditionnement cette technologie d'une façon mutuelle.
Tout comportement inapproprié dans l'un de ces trois éléments, entraîne automatiquement un disfonctionnement successif et/ou simultané, dans les autres.
Aussi, faut-il s'assurer de la bonne technique la plus satisfaisante, eu égard au processus hydrodynamique, biologique et écologique du milieu avant son introduction dans le système.
Complexité du système lagunaire
Les processus intervenant dans un système aquaculture-lagune sont d'une complexité extrême, même S'il s'agit de les traiter individuellement. Toute synthèse est donc quasi impossible pour permettre une étude raffinée et prévoir une évolution du système sur le plan écohydrobiologique au moment de l'introduction de la technique. Afin de lever cette ambiguïté et de sortir de cette position conflictuelle, il y a lieu de faire recours, tout en le simplifiant à un travail d'étude pluridisciplinaire. Le but est d'établir, moyennant des données collectées à la base (descripteurs), un modèle qui permet met de décrire ou de prévoir l'évolution du système par la simulation de ce dernier et de tester sa réaction avant et après l'introduction d'un aménagement.
Par ailleurs, depuis 1970–1980, de nombreux dirigeants ont cru que la «révolution bleue» qu'est l'aquaculture serait la solution au déficit croissant en matière protéinique marine, ce qui reste d'ailleurs évident. Seulement, l'on a constaté qu'au cours des années 1980–1990, certaines tendances se sont faites jour qui devaient avoir une influence profonde et lointaine sur le système aquacole de grande envergure en général, et sur l'aquaculture en particulier, à savoir :
coût réel des énergies (tout azimut) qui augmente;
impact grandissant de l'activité humaine et/ou aquacole sur le milieu d'élevage;
dégradation du biotope qui est parfois le corollaire du grand projet lui-même.
Aussi faudrait-il d'ores et déjà s'orienter vers la mise au point de techniques plus appropriées et moins nuisibles à l'écosystème lagunaire et qui puissent assurer une augmentation continue de la productivité des lagunes moyennant des opérations financières raisonnable et moins lourdes.
Modélisation, généralités et différents types de modèles
Ce qui commence à attirer l'attention des scientifiques et à moindre degré, sinon à un degré nul, celle du public et des médias, c'est le progrès scientifique et technique récent enregistré au niveau de la conception, l'élaboration d'une méthodologie qui permet de comprendre la structuration du système et d'analyser les mécanismes de ses différentes composantes ainsi que leurs interactions. Bien sûr, il est clair que la réalisation d'une image complète, claire et parfaite de tous les mécanismes régissant le fonctionnement du système est impossible vu la complexité du système lui-mêe.
La méthodologie préconise la visualisation du système qui constitue la première étape dans le développement du modèle. Cette étape analytique permettrait d'aboutir à un modèle qu'on appelle conceptuel qui montre généralement trois matrices ou composantes essentielles, l'eau la biocénose et le sédiment. Ces trois matrices sont sous la dépendance directe ou indirecte des variables stimulatrices qu'on appelle en terme courant les forcing functions. Dans chaque matrice, il y a lieu de signaler la multiplicité des variables ou descripteurs qui interviennent dans l'évolution du système et décrivent le fonctionnement de ce dernier et sa structure.
Le nombre de ces variable augmente d'une façon géométrique les processus physico-chimico-bio-physio-écologiques, d'où la nécessité d'imposer au système une nouvelle réduction dans son fonctionnement global pour aboutir à un nombre de variable plausible, mais au rôle primordial sur le plan comportement et réaction du système. On les suppose comme étant homogènes dans leur distribution au sein du système. Ces variables sont réparties par groupe de deux : les abiotiques (sels nutritifs, salinité, température, etc…) et les biotiques (flore et faune).
l'interdépendance entre ces diverses variable et descripteurs détermine la notion de processus qui caractérise le système. Ces processus sont eux aussi sous l'influence des variable extérieures au système (insolation, apports de nutriments) qu' on appelle forcing function.
Une fois que le modèle conceptuel est décrit et mis en place, il y a lieu de collecter toutes les informations qualitatives et quantitatives qui aideront à l'élaboration d'un modèle mathématique par la formulation mathématique, donc expression en terme mathématique de tous les phénes décrits et analysés dans les processus présentés.
L'étape qui suit cette phase de collecte de données anciennes et nouvelles (trouvées dans la bibliographie ou obtenues suite à des campagnes et études de prospection et de recherche) : e'est le traitement informatique de toutes les équations établies.
Toutes les considérations mathématiques et les traitements par ordinateur n'ont pas une efficience absolue. Cette dernière dépend de la banque de données; et elle augmente et s'améliore au fur et à mesure qu' on a un nombre plus important de données qui décrivent les processus de fonctionnement du système. De ce fait, il est impératif de mettre en oeuvre des procédures d'évaluation et de tester la sensibilité du modèle à obtenir, c'est-à-dire de procéder à sa calibration et à sa validation avant de passer à une éventuelle application du modèle supposé définitif et efficient.
Champs d'application et notion d'évolution
Une lagune constitue, de nos jours, un écosystème convoité par l'homme dans dans toutes ses activités (agricoles, touristiques, industrielles et urbaines), qui peut s'adapter à l'action de l'homme mais à un certain seuil défini par la capacité de charge de cette lagune.
Par ailleurs, un modèle écologique appliqué à une lagune donnée offre une opportunité de sélectionner la meilleure méthodologie de sauvegarder cette capacité de charge et de contrôler composantes qui interfèrent dans le système lagunaire. Toutefois, tout modèle définitivement établi et aussi perfectionné soit-il, ne peut pas être considéré comme modèle type applicable à toutes les lagunes en matière d'aménagement aquacole, à des fins aquacoles.
En effet, la complexité du système et, de là, la modélisation doit être considérée comme une approche et non comme un outil de travail essentiel dans la prise de décision. D'autre part, il importe de signaler que la qualité une modélisation appliquée à un système précis et bien étudié dépend étroitement de la qualité de collecte et de tri des données ainsi que de la validité et la calibration du modèle lin-mème. Par ailleurs, ce modèle peut contenir deux à plusieurs sous-modèles qui s'intéressent à deux ou plusieurs composantes du système qu'on désire amènager et dont les interférences sont à étudier dans ou plusieurs composantes général d'aménagement pour répondre à un problème précis. Par exemple, in modèle hydrodynamique qui est applicable seulement à des systèmes réduits aide dans la prise de décision avant d'entammer la construction d'ouvrage au sein d'une lagune. Ce cas précis, qui constitue une simulation du système lui-même, peut être considéré comme une exception plutôt, qu'une règle applicable à tous les systèmes côtiers et, en particulier, aux systèmes biologiques.
Conclusion
S'agissant de leur extrême complexité et de la multiplicité des variables ainsi que de leurs interdépendances elles-mê, es diverses et multiples. Ces systèmes biologiques font que notre connaissance soit limitée par le manque des données descriptives et analytiques de ces systèmes. Cela confirme, une fais de plus, la difficulté d'avoir un modèle type d'aménagement applicable à toutes les lagunes aux fins d'aquaculture.
De cette communication il ressort que l'aquaculture qui, considérée comme un technologie permettant l'élevage d'organismes vivants aux fins alimentaires, doit englober un certain nombre de progrès scientifiques qui permettent le contrôle, aussi bien la biologie des espèces en culture que la structure écologique du système récepteur. Cela laisse entendre qu'en cas de stress continu et de modification de la qualité des eaux engendré par un aménagement inadéquat, la biocénose lagunaire soit lourdement affecté. Ils'en suit une dispension des espèces les plus fragiles et celles qui résistent constituent le résultat d'une sélectivité naturelle. Si les stress continue dans le temps et l'espace, le système montre une évolution progressive de toutes ses composantes et passe d'un état énergétique stable àun autre énergétique différent du premier mais qui reste en instabilité permanente. Au cours des évolutions du système, les espèces nouvelles ou résistantes aux conditions sévères montrent un génotype particulier caractéristique d'espèces généralement indésirables aussi bien pour l'homme que pour l'aquaculture.
Enfin, en matière de modélisation, si la science et la technique permettent d'aider à mieux comprendre l'écosystème et à essayer de mieux l'utiliser aux fins d'aquaculture, les scientifiques et, plus particulièrement les décideurs, sont très prudents quant à l'application de la modélisation. En effet, s'agissant des procédés souvent longer, coûteux et compliqués de la modélisation des systèmes irréductibles, les décideurs sont conduits généralement á opter pour un aménagement rapide, facile et moins coûteux, ce qui augmente les risques dont les conséquences seront loin d'être connues.
Par Mr. Abdellatif ORBI
& Mr. Jean-Claude SALOMON
RÉSUMÉ
Un modèle mathématique bidimensionnel a été utilisé pour déterminer les courants de marée dans le golfe normand-breton. L'accent est porté sur les composants résiduelles eulériennes et lagrangiennes et la génération de mouvements à long terme par interaction de la marée et des fonds. On suggère de présenter les courants de Lagrange dans un système de coordonnées barycentriques.
Les résultats, confirmés par des mesures in situ (courantographes et flotteurs Argos) on permis d'améliorer la connaissance de la courantométrie de cette région.
ABSTRACT
Tidal dynamics in the vicinity of the Channel islands
A two-dimensional mathematical model has been used to investigate tidal currents in the vicinity of the Channel islands “golfe normand-breton”.
Attention is focused on lagrangian and eulerian residual components and long-term movement generation through tidal and bottom interactions. The presentation of lagrangian velocity fields in barycentric co-ordinates is suggested. Results confirmed by in situ measurements (current meters and drifters improved the knowledge and understanding of current measurements in the region.
INTRODUCTION
Le golfe normand-breton, comme la plupart des régions littorales, est le siège d'activités naturelles ou anthropiques diverses et variées, qu'il nous appartient de tenter de préserver.
Respecter les aptitudes naturelles du milieu marin, tout en assurant une meilleure exploitation de ses ressources, requiert une bonne connaissance des processus physiques ou biologiques qui s'y déroulent. C'est dans cette optique qu'une étude pluridisciplinaire, dite «intégrée», a été réalisé (Le Hir et al., 1986), dont on présente ici les principaux résultats de la composante physique. Un rapport plus complet a fait l'objet du mémoire de Doctorat de l'un des auteurs (Orbi, 1986). La dynamique du secteur étant essentiellement gouvernée par les marées, l'étude est basée sur l'utilisation d'un modèle mathématique. Les autres techniques auxquelles on a eu recours : mesures par courantographes, flotteurs dérivants et photos satellitatires, out surtout servi à contrôler les résultats du modèle.
CADRE PHYSIQUE
Le golfe normand-breton, que l'on conviendra de limiter à l'Ouest au méridien de Bréhat, et au Nord
aux environs du cap de La Hague, a une superficie de l'ordre de 14.000 km2.
Son littoral, long d'environ 450 km, présente des aspects très variés. On y rencontre successivement
des côtes à falaises, des estrans découverts à perte de vue, des polders, des cordons dunaires et des
havres. La carte bathymétrique (fig. 1) révèle l'allure extrêmement tourmentée des fonds: îles, récifs
et hauts fonds parsèment le golfe: Guernesey, Jersey, Sercq, Aurigny et les Casquets ainsi que les
Minquiers, Chausey, les Écréhous, les Roches Douvres… Houles et courants sont profondément marqués
par ces irrégularités bathymétriques.
LES COURANTS INSTANTANÉS DE MARÉE
Les courants de marée sont assez bien connus, grâce à une série de travaux menés du côté britannique comme du côté français. Des modèles physiques ont été réalisés anisi que de nombreuses campagnes de mesure, notamment par le Service Hydrographique et Océanographiqu de la Marine ou le Laboratoire National d'Hydraulique. Plusieurs modèles mathématiques de la Manche donnent également d'utiles renseignements sur la courantologie du golfe normand-breton, mais leur maille de discrétisation est souvent trop grande pour permettre de calculer les termes résiduels. Les discordances notées entre les modèles de Lomer (1978), Pingree et Maddok (1978) ou Fornerino (1982) en témoignent.
Pour les besoins de cette étude, on a done construit un nouveau modèle mathématique résolvant les équations de Saint-Venant avec une maille plus fine.


| p | : | densité de l'eau; |
| V | : | vitesse moyenne sur la verticale; |
| Ω | : | vecteur angulaire de rotation terrestre; |
| ζ | : | cote de la surface libre; |
| H | : | cote du fond; |
| k | : | coefficient de frottement; |
| ε | : | coefficient de dispersion de la quantité de mouvement. |
La procédure numérique, abondamment décrite ailleurs (Salomon, Le Hir, 1981) est dérivée des méthodes ADI. Le pas d'espece a été fixé à un mille nautique, et le pas de temps à une minute. On dispose ainsi de matrices d'environ 4.500 points (exactement 82 × 59) qui fournissent un ensemble d'informations d'une grande richesse sur les courants et les niveaux.
La discrétisastion spatiale limite la réponse du modèle à des structures de l'ordre de 8 km. Il en est tenu compte en introduisant un coefficient de pseudo-viscosité de 10 m2/s. Les conditions aux limites sont obtenues par prédiction harmonique des niveaux basée sur l'atlas des composantes en Manche (Chabert d'Hyères, Le Provost, 1978).
Les simulatiosn one été réalisées pour une marée moyenne (16juillet 1983) et une marée de vive eau moyenne (11 juin 1983).
La comparaison des hauteurs calculées et mesurées à Saint-Malo en vive eau révèle une erreur relative à 4% (fig. 2a). Cet écart correspond à une avance de phase du modèle de 5 minutes environ durant le flot. Son origine semble être à rechercher dans une légère imprécision des conditions aux limites ou dans un défaut de schématisation de la bathymétrie.
La comparaison des courants calculés et mesurés est présentée (fig. 2b et 2c) en deux points espacés (points A et B la fig. 1). Les mesures one été effectuées à 3 m de la surface. Le courant en ces deux points est restitué avec un précision de 12%o. ce qui semble satisfaisant.
![]() | ![]() | ||||
| Figure 1 | - | Carte bathymétrique du golfe normand-breton Bathymetric map | Figure 2 | - | Comparaison des hauteurs et des courants Comparison of tidal heights and velocities |
La figure 3 montre un exemple des résultats obtenus que l'on peut comparer aux mesures effectuées par le Laboratorie National d'Hydraulique (1961). On observe un très bon accord: tourbillon à l'ouest de la baie de Saint-Brieuc, second tourbillon autour des Minquiers, convergences de courant en aval des îles, courants violents dans le Grand Russel et le Raz Blanchard.
En général les courants sont caractérisés par une dissymétrie entre le flot et le jusant, le flot étant à la fois plus bref et plus intense.
![]() | ![]() |
Figure 3 - Comparaison d'un champ de courants calculés par le modèle et de mesures en nature
Comparison of measured and calculated velocity fields
En certains endroits, comme à proximité de la côte bretonne, les courants sont quasiment alternatifs; en d'autres, ils présentent trois maxima (environs de Chausey. Guernesey et du cap de La Hague: fig 4).
Figure 4 - Roses du courant (coef. 93) Current hodographs (average spring tide) | ![]() |
A l'exception de l'extrémité la plus septentrionale du golfe, la rotation des courants est cyclonique. Une étude de processus a été effectuée pour élucider l'origine de cette rotation (Orbi, 1986) : la Manche a été schématisée par une succession de deux canaux rectangulaires de largeur différente; la partie la plus large représente la moitié ouest de la Manche jusqu'au Cotentin, et la partie étroite la moitié est, fermée à son extrémité. Pour restreindre le rôle des dénivellations imposées aux limites ouvertes, la longueur du tronçon le plus large a été angmentée d'une distance égale à une demi-longueur d'onde (environ 600 km).
Plusieurs simulations numériques de propagation d'ondes dans ce système ont été effectuées en variant la topographie et la force de Coriolis. Les résultats obtenus au niveau du raccordement des deux canaux (zone représentant le GNB) ont montré que, contrairement aux résultats obtenus dans le cas d'un canal unique fermé à son extrémité (Taylor, 1920), l'ellipticité du courant était due au rétrécissement du canal entre Manche Ouest et Manche Est, et non pas à la force de Coriolis.
La figure 5 rassemble quelques cartes de courant régulièrement échelonnées au cours d'un cycle de marée. On y remarquera de forts gradients instantanés près des caps, des îles ou des hauts fonds, ce qui influera considérablement sur la trajectoire des particules d'eau. Les valeurs extrêms de ces courants de marée sont résumées sur la figure 6.

Figure 5 - Courants de marée (coef. 93)
Tidal Velocities (average spring tide)
![]() | ![]() |
Figure 6 - Lignes iso-valeurs du courant maximu coef. 93 (cm/s) Isotacks for maximum velocities (in cm/s; average spring tide) | Figure 7 - Vitesses résiduelles eulériennes calculées et mesurées (niveau moyen horizontal au long des limites), marée de coefficient 93 Computed and measured residual eulerian velocities (horizontal mean level along boundaries; spring tide) |
MOUVEMENTS RÉSIDUELS DE MARÉE
Les mouvements résiduels, c'est-à-dire ceux qui sont obtenus en éliminant les composantes à haute fréquence des courants par une opération de moyenne temporelle sur un intervalle de temps long, peuvent avoir plusieurs origines: les effets météorologiques (vent et pression atmosphérique), les gradients de densité (thermiques et halins) et la marée. La particularité du GNB tenant à l'existence de marées d'amplitude exceptionnelle, seule cette dernière composante sera examinée ici.
A moins d'envisager des périodes très longues (Saros : 18 ans), la marée n'est pas un phénomène périodique. La variation de son amplitude au rythme des combinaisons luni-solaires provoque des composantes de longue durée (semi-mensuelle, mensuelle…) qui se traduisent sur une période plus courte par des termes résiduels. Mais surtout, des systèmes dynamiquement non linéaires, comme le sont les mouvements barotropes en profondeur faible, engendrent des composantes de longue période à partir d'une sollicitation extérieure, même si celle-ci est rigoureusement périodique.
Trois termes des équations de Saint-Venant participent à ce mécanisme:
le terme d'accélération spatiale V. VV;
le terme de frottement 
le terme d'advection (H + ζ) V.
Dans le golfe normand-breton, les vitesses sont fortes, ainsi que leur gradients, les profondeurs sont faibles mains leurs gradients sont forts, ce qui signifie que ces mécanismes induiront des composantes résiduelles importantes. On a done porté une attention particulière à la génération de courants résiduels par une marée périodique semi-diurne.
Courants résiduels eulériens
La première démarche consiste à calculer les courants résiduels eulériens, c'est-à-dire à effectuer la moyenne des vitesses au point fixe. La figure 7 présente ces résultats pour une marée de vive eau moyenne.
En l'absence d'information précise sur la position du niveau moyen au long des limites ouvertes du modèle, on a considéré dans cette simulation qu'il était horizontal. Dans la réalité, il existe done probablement une composante moyenne qui s'ajoute à celle que l'on calcule ici. Cette composante peut modifier le champ de vitesse obtenu dans le quart nord-ouest du golfe, mais pas de manière notable dans la partie centrale ou près des côtes. Dans ces régions, on vérifiera que l'essentiel des mouvements résiduels sont créés par interaction des courants instantanés avec le fond.
Quelques mesures de courant de longue durée (3 mois), effectuées en 1982/1983 permettent de comparer ces résultats de calculs à la réalité (Fig. 7) Les courantographes étaient situés à 3 m de la surface ou à 1,50 m du fond. Les mesures semblent parfois contradictoires entre elles, mais en règle générale celles révèlent les mêmes tendances que le modèle, en direction et en intensité.
Vorticité résiduelle
Une manière commode d'analyser les mécanismes qui créent les gradients de vitesse et les tourbillons révélés par la figure 7 est of d'introduire la notion de rotationnel. Soit ω la composante verticale du rotationnel du champ de courants:

A partir des équations de Saint-Venant on peut établir l'équation générale de la vorticité:

La vorticité peut être crééc par variation de l'épaisseur de la colonne d'eau au cours de son déplacement (terme 1), par le retationnel du vent (terme 2), par le gradient de frottement (terme 4), et par le gradient de viscosité turbulente (terme 6): Ce dernier est mal connu mais probablement faible. Les termes 1 et 4, par contre, peuvent avoir une importance comparable par des profondeurs de plusieurs dizaines de mètres. Près des côtes et, d'une manière générale, par faible profondeur, le terme 4, qui recouvre à la fois les gradients de profondeur et les gradients de vitesse, devient nettement prépondérant. C'est ce qui explique que les structures tourbillonnaires les plus apparentes se situent près des côtes, des caps et des hauts fonds (Fig. 8).

Figure 8- Vorticité résiduelle (10-5 rd/s). Marée coef. 93
Residual vorticity (10-5 rd/s; spring tide).
Un cap se manifeste par deux tourbillons (Robinson, 1983; Pingree, Maddock, 1985b), ce que l'on observe de part et d'autre de La Hague, de Fréhel, de Saint Malo et, assez généralement, le long des côtes.
Une île ou un haut fond situés dans un courant alternatif prevent être considérés comme étant formés de deux caps accolés dos à dos. Ils se traduisent done par une structure à quatre tourbillons (ex Les Minquiers, Chausey et Aurigny).
Si le courant de marée est giratoire, par exemple de sens cyclonique, ce qui est le cas général ici, la vorticité de même sens créée sur le pourtour de l'île se trouve advectée vers lîle dans les instants qui suivent sa génération, tandis que la vorticité de sens contraire se trouve écartée de l'île. II en résulte, author de êles, une prédominance de la vorticité résiduelle de même signe que la rotation des courants de marée (Pingree, Maddock, 1985 a). D'où la prédominace de vorticité positive observée autour de Jersey, et surtout de Guernesey).
Résiduelles de Lagrange
A partir des champs de courants eulériens, il est aisé de simuler la trajectoire de particules fictives durant un ou plusieurs cycles de marée.
On obtient ainsi deux information:
Pexecursion de marée qui représente L'amplitude du mouvement de va-et-vient;
Le courant résiduel lagrangien, matérialisé par l'écart entre deux positions d'une même particule, séparées par un intervalle de temps égal à une période de marée.
Un exemple de ces trajectories où s'observent excursions et résiduelles de Lagrange est donné figure 9 pour un départ des flotteurs 3 h avant et après la pleine mer de Saint-Malo. Mais, tandis que le champ eulérien est indépendant du temps (Pour une marée périodique), le champ lagrangien est une fonction de l'instant de départ.
Ceci est un paradoxe: on pourrait s'attendre à ce que, pour un système de courants périodiques, l'opération «moyenne sur le temps» conduise à une résultat indépendant des bornes de l'intégration, c'est-à-dire de l'instant de départ. Ce n'est pas le cas des courants lagrangiens. Une illustration en est donnée figure 10, où l'on a relié les points de départ d'un ensemble de particules fictives à leurs points d'arrivée pour des instants de départ espacés d'heure en heure. La dispersion de résiduelles est considérable. Un travail analogue, effectué dans la zone toute proche de la baie de Seine (Salomon, 1986) n'avait pas conduit à des écarts aussi importants. On obtient ici une démonstration très claire des effects résiduels induits par une marée de grande amplitude.
Considérons un mouvement oscillatoire de période T. La vitesse résiduelle de Language (VLR) d'une particule α se définit comme suit:

où VL est la vitesse instantanée de α.
On démontre (Cheng et al., 1986) que celle-ci est la somme de trois termes:
VLR = VER + VSD + VLD
VER: vitesse résiduelle eulérienne;
VLR: dérive de Stokes;
VLR: dérive de Lagrange
Seule VLD est function de l'instant de départ et correspond à la dispersion de vecteurs résiduels représentés sur la figure 10.
Le fait que cette dernière composante soit du même ordre de grandeur et parfois supérieure à la somme des deux premières montre que l'on ne peut assimiler la vitesse résiduelle de Lagrange à un développement du premier ordre en sommant la résiduelle d'Euler et la dérive de Stokes. Un calcul lagrangien est indispensable.
![]() | ![]() |
Figure 9 - Trajectories de particules fictives au cours d'un cycle de marée - Départ à PM-3 et PM+3 Maréecoef: 93 Fictitious particle trajectories during a (tidal cycle release 3 h before and after high tide; spring tide) | Figure 10 - Trajectoires résiduelles lagrangiennes pour des départs espacés d'heure en heure Lagrangian residual displacements (releases at one-hour intervals) |
Coordonnées barycentriques
Il est possible de lever une partie du paradoxe évoqué plus haut en présentant ces mêmes résultats d'une manière différente, dans un système des coordonnées barycentriques.
Puisque chaque trajectoire, qui correspond à un lieu de départ et un instant de lâcher particulier, «intègre» les courants eulériens dans la zone de l'excursion de marée, on conviendra d'affecter le vecteur courant résiduel lagrangien au centre de gravité (barycentre) de l'excursion de marée, (Fig. 11).
D'autres particules issues du même point, mais à un autre instant, «explorent» d'autres régions (pt: A, t2); le vecteur courant résiduel est done placé loin du premier. Inversement, une particule lâchée au point B (Ioin de A.), mais à un moment tel que sa trajectoire soit proche de la première, donne lieu un vecteur résiduel situé du premier:
De cette manière, les faisceaux de vecteurs sont dissociés et on constate (Fig. 12) que les vecteurs situés prés les une des autres à l'issue de cette opération, bien que provenant de points de lâcher parfois éloignés, sont très une légère étape d'interpolation, on revient à un champ de vitesses régulièrement défini (Fig. 13).
![]() | ![]() |
Figure 11 - Système de coordonnées barycentriques Barycentrie system | Figure 12 - Résiduelles langrangiennes en coordonnées barycentriques Lagrangian residuals in barycentric coordinates |
![]() | ![]() |
Figure 13 - Circulation résiduelle langrangienne (coef.93) Langragian residual vélocité fiel (average spring tide) | Figure 14 - Trajectoire de bouées dérivantes Drifter trajectories |
Ce procédé est parfois mis en défaut à proximité des caps et des îles. Il arrive alors que le centre de gravité se situe à l'extérieur de la trajectoire, et parfoise sur la terre. Dans ce cas, les trajectoires ont été éliminées du champs de courants. C'est la raison de l'espace laissé libre autour de Jersey et Guernesey).
En dehors de cet inconvénient mineur, auquel il semble possible de remédier, la méthode permet d'obtenir un document unique tout en préservant l'essentiel de l'information contenue dans la figure 11. Elle semble préférable à une opération de moyenne des vecteurs d'un même faisceau (Feng, 1987) qui aurait altéré l'information disponible en éliminant les valeurs les plus faibles et les plus fortes du champ initial.
La figure 13 révèle avant tout une circulation cyclonique créée par la composante de Stokes autour de chaque île et haut fond (atteignant 20 à 30 cm/s pour une marée de vive eau), et un flux d'eau très important dirigé vers le nord-est dans Raz Blanchard.
Ces résultats, également signalés par Pingree et Maddock (1985 b) ont été confirmés par des trajectoires de flotteurs dragués à la profondeur de 5 m, localisés par le système Argos. On trouvera, figure 14, un exemple probant de trajectoires durant plusieurs semaines qui permettent de vérifier à la fois la circulation Nord en bordure ouest du golfe, le mouvement Ouest au sud de Guernesey, puis Sud à l'ouest de Jersey, la rotation cyclonique sur le banc des Minquiers, et la faiblesse des mouvements résiduels au nord des îles Chausey. Cette expérience démontre que l'essentiel du courant résiduel est bien créé par la marée, qui est le seul phénomène reproduit par le modèle.
La comparaison des figures 7 et 13 révèle de grandes différences of montre l'intérêt de distinguer
champs résiduels d'Euler et de Lagrange. Pour calculer de manière correcte ces deux composantes,
il faut posséder une très bonne description de la trajectoire des particules fictives. Il faut donc écarter
les modèles intégrés sur le temps ou dont le pas d'intégration serait trop grand. Il faut aussi adopter
une discrétisation spatiale fine.
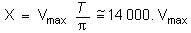
Considérons une particule animée d'un mouvement sinusoïdal:

La dimension de sa trajectoire X est:

Pour que cette trajectoire soit définie par un minimum de 5 à 7 points de calcul, il faut donc que la maille de calcul respecte l'inégalité suivante:
Δx <2000 V max
Le front de Jersey
De mesures hydrologiques et des trajectoires de bouées dérivantes (Pingree et al., 1974 et 1985) ont révélé la présence d'un front thermique orienté Sud-Ouest/Nord-Est entre les îles de Jersey et de Guernesey. Des observations courantométriques effectuées dans le cadre de cette étude (Orbi, 1986) ont églaement confirmé ce phénomène que l'on peut encore observer sur des photos satellites en été ou en hiver.
La présence de ce front dans un région peu stratifiée, balayée par des courants de marée violents, peut intriguer. L'explication semble être à rechercher dans la juxtaposition entre Jersey et Guernesey des deux tourbillons cycloniques mentionnés plus haut.
En été, par exemple, le tourbillon de Jersey amène des eaux chauffées au cours de leur séjour à proximité du Cotentin, le tourbillon de Guernesey amenant des eaux plus froides parce que moins littorales. Au contact des deux masses d'eau se produit un cisaillement de courant accompagné d'une composante verticale négative, et done d'une convergence des vitesses horizontales qui entretion la discontinuité hydrologique.
Une analyse théorique de ce processus, basée sur l'hypothèse de l'équilibre entre gradient horizontal de pression et forces de cisaillement vertical, est présentée par Bowman et Iverson (1978) ou Bowdon (1983: fig. 15). La mesure des courants superficiels indique qu'une vitesse de convergence perpendiculaire au front de 14 cm/s (Orbi, 1986). La même valeur peut être obtenue par calcul cité plus haut, pour un coefficient de viscosité verticale (Nz) de 2. 10-3 MKS, ce qui paraît réaliste. Il s'agit done d'une front dont la dynamique est différente de celle des fronts habituels des mers à marée qui séparent une zone stratifiée d'une zone homogène. Ici le front sépare deux masses d'eau à peu près homogènes. L'apport permanent d'eau chaude en été (et froide en hiver) par la circulation cyclonique autour de Jersey en assure la pérennité.

Figure 15 - Schéma théorique de circulation dans une coupe perpendiculaire au front (d'après Bowman, Iverson, 1978) Diagram for cross-frontal velocities (from Bowman, Iverson, 1978)
CONCLUSION
Le golfe normand-breton constitue un site idéal pour l'analyse des courants résiduels induits par la
marée semi-diurne.
En utilisant un modèle mathématique bidimensionnel, de maille relativement fine, nous avons pu
dresser une carte des courants résiduels eulériens et vérifier sur ce site les récents développements
analytiques en matière de génération de courants par les singularités bathymétriques. Des structures
déjà partiellement connues ont été précisées et des résultats originaux ont été présentés. Des structures
par l'utilisation du concept de vorticité, assez peu dans les études littorales.
Dans une deuxième étape, nous nous sommes intéressés au déplacement des masses d'eau et avons
souligné comme un paradoxe le rôle primordial de l'instant de départ des particules liquides. On a
introduit un système de coordonnées barycentriques visant à supprimer cette singularité, et pu décrire
les phénomènes résiduels dans le golfe.
Une discontinuité hydrologique, particulièrement nette entre Jersey et Guernesey, a été interprétée
comme une conséquence de ces structures lagrangiennes.
Les différences entre les schémas de circulation d'Euler et de Lagrange sont très apparentes dans cet exemple, mais les processus mis en cause sont généraux. Il convient donc de les prendre en compte systématiquement dans les études littorales, ce que l'on peut faire en utilisant des modèles mathématiques de courants instantanés à maille fine.
BIBLIOGRAPHIE
CHABERT D'HIÈRES G., LE PROVOST C. - 1978. Atlas des composantes harmoniques de la marée dans la Manche, Annal. Hydrogr. - 6, 3, 5–36
BOWDEN K.F. - 1983. Physical oceanography of coastal waters Ellis Herwood, Ser. Mar. Sei: 302 p.
BOWMAN M.J., IVERSON R.L. - 1978. Estuarine and plume fronts, in: Oceanic fronts in coastal processes Ed. by M.J. Bowman and W.E. Esaias, Springer-Verlag - Berlin, 87–104
CHENG R.T., FENG S., XI P. - 1986. On Lagrangian residual ellipse, in: Lecture notes on coastal and estuarine studies Ed. by J. van de Krecke. Springer-Verlag - Berlin: pp. 102–113
FENG S. - 1987. a three-dimensional weakly non linear model of tide-induced Lagrangian residual current and mass-transport, with an application to the Bohai Sea, in: Three-dimensional models of marine and estuarine dynamies Ed. J.C.J. Nihoul & B.M. Jamart - Elsevier Oceanography Series - Amsterdam, 471–488
FORNERINO M. - 1982. Modélisation des courants de marée dans la Manche, Thèse Doct. Ingénieur - Université Sci. Méd. - Grenoble
Laboratoire National d'Hydraulique - 1961. Modèle réduit des îles Chausey: les conditions naturelles du golfe de Saint-Malo - Rapport №3: Les courants des marées Rapport E.D.F. - 169 Août 1961
LE HIR P., BASSOULLET P., ÉRARD É., BLANCHARD M. HAMON D, & JEGOU A. M. - 1986. Étude régionale intégrée du golfe normand-breton, Rapp. Sci. IFREMER - Brest I: 265 p.
LOMER F. - 1978. La dérive en mers à marée, Thèse Doct. Ingénieur - Univ. P. et M. Curie - Paris VI
ORBI A. - 1986. Circulation de marée dans le golfe normand-breton, Thèse doct. - Univ. Brest
PINGREE R.D. & MADDOCK L. - 1978. The M4 tide in the English Channel derived from a non-linear numerical model of the M2 tide, Deep-Sea Res - 25, 53–63
PINGREE R.D. & MADDOCK L. - 1985 a. Rotary currents and residual circulation around banks and islands, Deep-Sea Res. - 32-8., 929–947
PINGREE R.D. & MADDOCK L. - 1985 b. Stokes, Euler and Lagrange aspects of residual tidal transports in the English Channel and the Southern bight of the North Sea, J. Mar. Biol. Assoc.-UK - 65 969–982
PINGREE R.D., FOSTER G.R. & MORISSON G.K. - 1974. Turbulent convergent tidal fronts, J. Mar. Biol. Assoc. - UK - 54., 469–479
PINGREE R.D., MARDEL G.T. & MADDOCK L. - 1985. Tidal mixing in the Channel isles region derived from the results of remote sensing and measurements at sea Estuarine Coast, Shelf Sci. - 20, 1–18
ROBINSON S. - 1983. Tidally induced residual flows, in: Physical oceanography of coastal ans shelf seas Hohns Ed. - Elsevier Oceanogrpahy series
SALOMON J.-C. - 1986. Courantologie calculée en baie de Seine IFREMER - Actes colloq. - 4, 35–42
SALOMON J.-C. & LE HIR P. - 1981. Étude de l'estuaire de la Seine - Modélisation numérique des phénomènes physiques. Rapp. Lab. Océanogr. Phys, - Université Bretagne Occidentale - Brest
TAYLOR G.I. - 1920. Tidal oscillations in golfs and rectangular basins, Proc. London Math. Soc. - 20 -2, 148–182
Par Mr. MOUSSA
RÉSUMÉ
Une revue des différents modèles hydrodynamiques des lagunes est présentée: modèles à 1,2 ou 3 dimension, ainsi que les équations de base. Deux exemples très typiques sont traités: la modélisation de l'aménagement du lac nord de Tunis (1988) et du lac sud de Tunis (1991), pour lesqels nous avons utilisé des modèles intégrés sur la verticale (modèle à 2 dimensions).
Nous présentons aussi le modèle de qualité (température, salinité, macrophytes, phytoplanction, azote, phosphore, DBO, oxygène dissous) du lac nord de Tunis. Calé à partir des mesures réalisées en 1984 et validé à partir des premières observations effectuées dans le lac nord de Tunis (1988– 1989) après aménagement, ce modèle a été ensuite utilisé pour simuler l'évolution de la qualité des eaux du lac durant les cinq années futures.
I- INTRODUCTION
Suite au développement de la puissance de calcul des ordinateurs, la modélisation mathématique numérique est devenue un outil très souple à la disposition des ingénieurs. Une fois «calés» sur des données de terrain, les modèles permettent de comprendre le fonctionnement d'un écosystème aquatique et d'établir une stratégie d'aménagement et en prévoir l'effet sur l'environnement et les activités d'aquaculture. C'est done une approche quantitative et prévisionnelle des écosystèmes aquatiques en vue de leur gestion rationnelle, du contrôle de l'évolution hydrodynamique, biologique et écologique.
Les modèles écologiques se composent d'un modèle hydrodynamique et d'un modèle de qualité. Les modèles hydrodynamiques consistent à simuler les échanges avec le milieu extérieur ainsi que les écoulements internes en fonction des différents forçaes: marée, vent, évaporation, pluviométrie, échanges avec la nappe,…
Les modèle de qualité des eaux simulent l'évolution spation-temporelle de la température, la salinité, les macrophytes, le phytoplancton, les différentes formes de l'azote et du phosphore, la demande biochimique en oxygène et l'oxygène dissous dans la colonne d'eau.
II- LA MODÉLISATION HYDRODYNAMIQUE
2.1. les équations de base
Le modélisation des phénomènes de transport convectif diffusif dispersif dans les systèmes aquatiques s'appuie sur les équations locales instantanées de bilan de masse et de quantité de mouvement (équations de Navier-Stokes), que l'on aura préalablement simplifiées par une intégration temporelle sur une échelle de temps caractéristique de la turbulence locale (pour aboutir aux équations de Reynolds). Ce système d'équations s'écrit, pour un fluide incompressible:


où: Ū sont les composantes de la vitesse moyenne Xi sont les axes, t est le temps, p est la passe volumitrique de l'eau, v est la viscosité cinématique du liquide, P est la pression, g est l'accélération de la pésanteur, ui' uj' est le tenseur des contraintes turbulentes et Fi sont les composantes des forces externes.
Ces équations sont complétées par des hypothèses de fermetures concernant l'expression du tenseur de Reynolds (des flux turbulents).
2.2. Les modèles pratiques
La résolution numérique des équations (locales) du mouvement moyen introduites au paragraphe précédent pour une grande étendue d'eau, et de grandes échelles de temps est, sinon impossible, du moins économiquement irréaliste, compte tenu de la capacité des calculateurs et des temps de calcul qu'elle nécessite. Il est en effet difficile de résoudre l'ensemble de ces équations par rapport aux trois variables d'espace et à la variable temps. L'opération classique de simplification consiste à privilégier une ou deux coordonnées d'espace, sur lesquelles les répartitions des différentes gandeurs ne s'écartent pas trop de la moyenne spatiale en s'intéressant à des moyennes sur une section droite ou sur une direction, et ainsi, on peut abaisser le nombre de variables indépendantes du problème. Ce faisant, on conçoit de perdre une partie de l'information que représentent les répartitions spatiales des grandeurs sur le domaine d'intégration.
On peut alors adopter comme support du domaine d'intégration:
l'axe vertical: ce sont des modèles utilisant les équations à deux dimensions du plan horizontal, qui s'appliquent généralement aux cas des estuaires peu profonds. On perd bien entendu l'information sur la verticale;
l'axe horizontal: c'est généralement l'axe perpendiculaire à la direction du courant moyen. Ces équations sont surtout utilisées pour les écoulement stratifiés;
le plan vertical: il est choisi perpendiculaire à la direction du courant moyen: le domaine est une section droite, les équations s'appliquent alors au cas des rivières et à certains lacs pour lesquels une dimension horizontale est grande devant l'autre.
Pour les systèmes aquatiques stratifiés, caractérisés par la présence des gradiets de densité, des modèles intégraux multicouches sont aussi largement utilisés.
Ces équations moyennées dans l'espace doivent être complétées par:
des hypothèses de fermetures concernant les flux dispersifs, le frottement au fond, le frottement dû au vent,…;
des conditions initiales;
des conditions aux limites (marée, débit imposé aux frontières, évaporation, frontières imperméables,…).
Une méthode numérique permet ensuite de résoudre ces résoudre ces équations (différencs finies ou éléments finis) dans un domaine discrétisé.
Parmi les résultats de ces types de modèles hydrodynamiques on peut citer: les écoulement internes (pour localiser les zones de stagnation d'eau éventuelles) et les échanges avec le milieu extérieur (pour estimer le temps de séjour moyen des eaux dans la lagune).
Une fois «calés» sur des données de terrain, ces modèles constituent un outil de gestion de l'hydrodynamique de la lagune concernée.
2.3 Exemples de modèles d'aménagement du lac de Tunis
2.3.1. Présentation du lac de Tunis
Le lac de Tunis est une lagune peu profonde, située à l'Est de la ville de Tunis, et qui était auparavant une partie de la Baie de Tunis. L'apport continu de matières solides par les cours d'eau à formé cette lagune. A la fin du 19ème siècle, un canal de navigation est creusé pour relier le port de la Goulette au port de Tunis. Les déblais du canal constituent une digue qui partage la lagune au Lac Nord et Lac Sud (Fig. 1).
Ce lac avait constitué depuis des siècles l'exutoire natural des eaux usées et pluviales de la région de Tunis. Il a subi ainsi un rythme intense et croissant d'eutrophisation qui se traduit régulièrement par des situations très critiques pour la ville de Tunis et ses environs et pour les activités piscicoles. En période estivale, en particulier, l'occurrence de situations anaérobies se traduit par fortes mortalités de poissons, et le dégagement d'odeurs très pénibles aux alentours au lac.
Les phénomènes d'eutrophisation à haut rythme sont caractéristiques des lagunes méditerranéennes: le faible taux de renouvellement de l'eau. la faible profondeur, le fort ensoleillement constituent des facteurs d'amplification de la production primaire, dès que les nutrients de base (Azote, Phosphore) sont disponibles.
Le lac nord (29 Km2) et le lac sud (10 Km2), d'une profondeur moyenne de 1 m et 0,8 m successivement, ont un fond tapissé par un mètre environ de sédiments noirs et anaérobies riches en organismes, en azote et en phosphore.
Le lac nord de Tunis a fait l'objet, durant les années 1986–1988, d'importants travaux d'aménagements en vue de la restauration de la qualité de ses eaux et la création d'une nouvelle ville de 300.000 habitants sur ses berges. Ces travaux ont consisté principalement en la réduction de la surface du lac (à 22 Km2), la construction d'uen digue au milieu du lac, l'approfondissement de quelques zones, l'installation de clapets permettant un écoulement à l'intérieur du lac à sens unique,… (Fig. 2). Une action similaire d'assainissement du lac sud de Tunis est en cours d'étude.
2.3.2. Modèle utilisé
Puisque ces deux lagunes sont peu profondes (environ 1 m) par rapport aux dimensions horizontales (de 3 km à 10 km), nous avons opté pour un modèle intégré sur la verticale. Nous avons done moyenné les équations de système (1) sur la hauteur d'eau. Ce système d'équations devient done, en négligeant l'accélération de Coriolis et en supposant une répartition hydrostatique de la pression (Équations dites de Saint-Venant):

où Zs: cote de l'interface, p: masse volumique de l'eau, h: hauteur d'eau, U et V: composantes horizontales de la vitesse moyenne sur la hauteur, τj (de composantes τj x et τj y): frottement interfacial, τp (de composantes τp et τp y): frottement pariétal, mo: flux massique à l'interface (évaporation, pluviométrie), g: accélération de la pesanteur, t: le temps et X et Y sont les axes du plan horizontal.
Le frottement pariétal est donné par la formule de Chezy:

V i : Composantes de la vitesse débitante
Ch: Coefficient de Chezy dépendant de l'état du fond, il sera déterminé par calage
du modèle.
Le vent génère un frottement interfacial τi définit par:

τi x = τi cos θ et τi y = τi sin θ
| où | W | : Vitesse du vent |
| θ | : Direction du vent par rapport à X | |
| Ci | : Coefficient de frottement interfacial | |
| pg | : Masse volumique de l'air |
Le coefficient de frottement interfacial est exprimeé par la formule:
1000 Ci = a * 0.36 (W3 / g v g)0.2
a : Coefficient à déterminer par le calage du modéle.
Ainsi, le système (2) est fermé et les inconnues sont les valeurs moyennes de U, V et h.
La méthode numérique utilisée pour la résolution du système (2) est celle des éléments finis. Il s'agit de lui substituer un système matriciel instationnaire non linéaire discrétisé. La résolution de ce système matriciel est basée sur l'algorithme d'Euler implicite, couplé à la méthode de Newton-Raphson. Pour cela, le domaine d'étude doit être discrétisé en éléments triangulaires à trois noeuds.
Le modèle admet types de conditions aux limites:
frontière imperméable ou flux nul: la vitesse perpendiculaire à la frontière est nulle;
débit imposé Q(t): débit pompé ou injecté;
vitesse imposée V(t): les vitesses au niveau des communications sont connues;
hauteur imposée H(t): marée mesurée.
2.3.3. Modélisation de l'hydrodynamique du lac Nord
Les premières études de l'hydrodynamique du lac nord de Tunis ont débuté en 1982, avec des modèles aux différences finies. Après les aménagements réalisés, nous avons utilisé un modèle aux éléments finis.
Le domaine d'étude est discrétisé en 532 éléments à l'aide de 331 noeuds (Fig. 3). Les noeuds sont espacés de 200 m environ dans la partie Nord et 300 m dans la partie Sud. Les différentes passes sont représentées par des mailles individuelles correspondant à leurs section réelles.
Le calibrage des termes de frottement dus aux effets du vent et du fond du lac s'est basé sur une campagne de mesure hydrodynamique in situ. Les résultats de calage ont donné un coefficient de Chezy du Lac de l'ordre de 45 m1/2/s et un coefficient de frottement interfacial a=0.30.
Les circulations dans le lac, les échanges avec la mer sont contrôlés par le vent et la variation du niveau de la marée au golfe. La représentation du champ de vitesse caractérise essentiellement l'homogénisation des écoulements qui est relativement important vu les nuisances engendrées par les zones de stagnation. Les simulations réalisées par ce modèle visent à prévoir ce double objectif : les échanges extérieurs et les circulations internes, sous différentes conditions météorologiques et de fonctionnement.
Pour les cas simulés, le temps de séjour moyen des eaux dans le lac varie de 19 à 25 jours. Sous une marée de printemps et en fonction des conditions météorologiques, les écluses d'entrée et de sortie de Khereddine permettent respectivement l'échange d'un débit journalier de 1.6 à 1.8 et de 0.6 à 1.4 million de m3.
Le champ de vitesse dans le lac est homogène et les simulations montrent que pour améliorer le renouvellement des eaux dans la partie sud, la plus eutrophe, on a intérêt à condamner les anciennes passes de l'Ouest Chekli et Tunis Marine (Fig. 4 et 5).
Temps de séjour moyen en fonction du vent
| VENT | TEMPS DE SÉJOUR | |
| N-Ouest | 7m/s | 25 jours |
| Ouest | 8m/s | 19 jours |
| Est | 6m/s | 23,4 jours |
| Calme | 20 jours | |
Ce modèle constitue actuellement un outil de gestion et de contrôle de l'hydrodynamique de la lagune.
2.3.4. Modélisation de I'hydrodynamique du lac Sud
Une décision d'aménagement du lac de Tunis a été prise par les autorités tunisiennes.
Nous avons donc commencé par la simulation de la situation actuelle du lac en vue de comprendre le fonctionnement hydrodynamique de cette lagune et du calibrage du modèle.
Deux campagnes de mesures réalisées in situ (novembre 1989 et juillet 1990) nous ont permis de calibrer notre modèle.
Les simulations de l'hydrodynamique du lac sud dans les conditions actuelles montrent que les flux d'échange entre le lac et le milieu extérieur contribuent faiblement à la création des courants de circulations dans le lac. Seules les zones proches des pêcheries participent aux échanges. Dans les zones les plus éloignées, la circulation est presque inexistante même localement, ainsi les eaux, en plusieurs endroits, sont rarement renouvelées (Fig. 6).
L'objectif principal de l'assainissement du lac sud consiste à réduire sensiblement la situation d'eutrophisation des eaux que l'on constate actuellement. Les orientations de base pour l'aménagement sont :
Partant de ces orientations, plusieurs scénarios d'aménagements ont été testés par le modèle.
La variante choisie consiste à réduire la superficie du lac à 680 ha, approfondir le fond du lac à 2 m et aménager 2 canaux de liaison avec le milieu extérieur de section mouillée 50 × 3 m2 (Fig. 7).
Cette variante donne en effet un temps de séjour moyen des eaux dans le lac, dans les conditions de marée et de vent les plus défavorables, de 9,4 jours, et une circulation à l'intérieur du lac tout à fait homogène (Fig. 8 et 9). Elle est aussi la plus économique puisqu'elle est caractérisée par un équilibre remblais-déblais.


Figure 1 - Situation du lac de Tunis

Figure 2 - Le lac de Tunis après aménagements

Figure 3 - Maillage du lac de Tunis

Figure 4 - Champ de vitesse au cours du remplissage (vent Ouest)

Figure 5 - Champ de vitesse au cours de la vidange (vent Ouest)

Figure 6 - Situation actuelle - Vitesses moyenne sur 7 heures. Echelle des vitesses : 0.25 m/s
Marée haute - vent du secteur Est de 5 m/s

Figure 7 - Maillage du Lac Sud - Largeur des canaux. 50m. (447 élèment/277 nœuds)

Figure 8 - Champ des vitesses moyennes - Section des canaux 50 × 3 m2.
(Marée haute - Conditions moyennes)

Figure 9 - Champ des vitesses moyennes - Section des canaux 50 × 3 m2.
(Marée basse - Conditions moyennes)
III - MODÉLE HYDRO-BIOLOGIQUE DU LAC NORD DE TUNIS
3.1. Introduction
Les modèles hydro-biologiques se composent d'un modèle physique et d'un modèle du qualité (ou biologique).
Le modèle physique simule l'évolution de l'hydrodynamique (vitesses de l'eau, hauteur d'eau), la température et la salinité en fonction des forçages extériurs (marée, vent, température de l'air, nébulosité…). II s'agit de modèle intégré dans le temps et dans l'espace (1 on 2 dimensions).
Le modèle de qualité des eaux simule l'évolution du phytoplancton, des macrophytes, des différentes formes de l'azote et du phosphore (solubles dans l'eau, organiques dans le détritus, cellulaires et libérés à partir des sédiments), de la demande biochimique en oxygène et de l'oxygène dissous dans la colonne d'eau. Notons que l'oxygène constitue le critère principal de l'état écologique de la lagune.
3.2. Modèle physique
Le modéle physique prédétermine le champ de vitesse, de température et de salinité.
Des essais préalables en utilisant un modèle 2D de ces variables intégrées sur la profondeur ([5] et [6]) ont mis en évidence le caractère unidirectionnel des écoulements dans le lac après implantation de la digue et gestions des échanges à la passe de Khereddine.
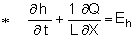
On a done adopté pour la modélisation des variables physiques un modéle ID basé sur les équations suivantes, où est adoptée l'hypothèse de l'onde diffusante pour le modéle hydrodynamique et où l'on a négligé les phénomènes dispersifs longitudinaux (instationnarités lentes):
![]() | (1) |
![]() | (2) |
![]() | (3) |
![]() | (4) |
Dans ce système d'équations, A désigne la section d'écoulement, définie par la berge, le fond et la digue, h : hauteur d'eau, L: la largeur de la section d'écoulement, Q: débit d'eau, Eh: changes d'eau avec le milieu extérieur, g : accélération de la pesanteur, Zf : cote du fond, τi : forttement interfacial, τp; frottement au fond, S : salinité, Es : taux d'échange de sel avec l'extérieur, Φ : flux d'énergie à l'interface eau-air, ET : taux d'échange thermique avec le milieu extérieur, ρ : la masse volumique de l'eau, Cp : chaleur spécifique de l'eau à pression constante, t : le temps et X est l'axe principal de l'écoulement.
Trois types de conditions aux limites ont été prises en compte : frontière imperméable (flux nul), frontière libre (les échanges sont fonction du niveau de la marée) et frontière à débit imposé (centrale électrique).
3.3 Modèle écologique
Avant les récents aménagements, les crises trophiques du lac de Tunis résultaient du rythme élevé d'eutrophisation mettant plus particulièrement en jeu les activités des macrophytes (Ulves) et du phytoplancton, ces deux populations algales pouvant entrer en compétition pour la lumière.
La modélisation adoptée propose une représentation de l'évolution de ces biomasses en relation avec le cycle de l'azote et du phosphore présents sous trois formes : organique particulaire, organique détritique et minéral dissous (NH4-N, NO3-N, NO2-N, PO4-P).
Sur le schéma de la figure 2 les variables mises en jeu sont définies ainsi que les couplages pris en compte dans leur modélisation. Les formes minérales de l'azote et du phosphore sont les nutrients assimilés par le phytoplancton et les macrophytes et se transforment par conséquent en formes organiques particulaires.
La mortalité des macrophytes et du phytoplancton régénère de l'azote et du phosphore organique des détritus. Ces formes de nutrients sont décomposées en partie par les bactéries sous formes minérales. L'autre partie se dépose au fond du lac, il y a libération des nutrients sous forme minérale.
La libération de l'azone est attribuée pour l'essentiel à la décomposition de la matière organique dans les sédiments.
Le taux de libération de l'azote minéral à partir des sédiments a été modélisé comme fonction de l'azote organique des sédiments, de la température et de la concentration d'oxygène près du fond. Ce modèle tient aussi compte de la compétition pour la lumière entre phytoplancton et ulves. Pendant les périodes d'éclosion du phytoplanction, l'eau devient très trouble, le coefficient d'extinction augmente, ce qui a pour effet de diminuer la pénétradtion de la lumière au fond du lac et d'empêcher toute croissance des ulves. Le modèle hydro-écologique inclut donc les variables d'état suivantes :
| PHYT | Biomasse du phytoplancton | (mg/m3 poids sec) |
| WU | Biomasse d'Ulva | (g/m3 poids humide) |
| NS | Azote minéral dissous | (mg/m3) |
| NC | Azote du phytoplancton | (mg/m3) |
| NO | Azote des détritus | (mg/m3) |
| NSED | Azote du sédiment | (mg/m3) |
| PS | Phosphore minéral dissons | (mg/mg3) |
| PC | Phosphore des détritus | (mg/mg3) |
| PE | Phosphore échangeable du sédiment | (mg/mg3) |
| PI | Phosphore de l'eau interstitielle des sédiments | (mg/mg3) |
| C | Oxygène dissous | (mg/l) |
| D | Demande biochimique en oxygène | (mg/l) |
L'évolution spatio-temporelle de ces variables est décrite par l'équation suivante :
![]() | (5) |
où Cα est la concentration du constituant α, Sα: taux de production ou de disparition du constituant α lié aux interactions écologiques, Dfond: la diffusion de Cα à partir du fond et Eα est le taux d'échange avec l'extérieur.
Dans le terme Sα nous tenons compte des processus biologiques fondamentaux, à savoir:
Les lois des cinétiques utilisées sont celles de Lehmann [1] complétées par des mesures in situ. Le cycle des nutrients (azote et phosphore) adopté dans ce modèle, et représente sur la figure 2, est semblable à celui utilisé par Jorgensen [2].
3.4. Calage et validation du modèle
Pour la résolution numérique du système d'équations aux dérivées partielles du modèle physique, nous avons adopté un schéma aux différences finies décentrées, explicite.
Les pas de temps modèle hydrodynamique est de 10 minutes. Le rayonnement solair est calculé toutes les 3 heures. La résolution des équations de la température et de la salinité a été effectuée avec un pas de temps de 12 heures.
La résolution du système d'équations du modèle de qualité a été réalisée à l'aide l'une méthode aux différences finies centrées avec un schéma implicite itératif, et un pas de temps de 12 heures.
Effectuées au cours de l'anné 1984, des mesures mensuelles du phosphore total, de l'azote total, de l'azote total, de la biomasse du phytoplancton, de la l'oxygène dissous en 5 points du Lac de Tunis ont été utilisées pour le calage du modèle. Le lac a été supposé homogène et une moyenne des mesures effectuées aux 5 points a été prise en compte. Les paramètres de calage sont principalement le taux maximal de croissance du phytoplancton, les coefficients d'auto-ombrange des macrophytes et les taux de respiration des phytoplanctons et les macrophytes.
Quelques résultats du calage sont représentés sur les figures 3 et 4, qui montrent que le modèle rend bien compte de l'évolution annuelle de la biomasse du phytoplancton et de la température.
Un contrôle systématique de la qualité des eaux a été effectué toutes les deux semaines durant l'année 1988, après les aménagements, dans cinq stations du lac (au milieu de chaque zone - Fig. 1). Ces données ont été utilisées pour la validation du modèle dans les cinq zones du lac. Une partie des résultats de la validation est présentée en figures 5 et 6 (la température), 7 et 8 (la salinité), 9 et 10 (le phytoplancton) dans les zones 1 et 4.
Nous remarquons que la qualité des eaux s'est considérablement améiliorée dans tout le lac, ce qui est dû à l'augmentation des échanges avec la mer et au dragage des sédiments du fonds (des zones 1, 2 et 3). Ainsi, ce modèle peut être utilisé pour prévoir l'évolution des différentes variables dans les cinq zones du lac de Tunis au cours des prochaines années.
3.5. Simulations
Étant donné l'importance de l'oxygène pour l'éatat écologique du lac, nous avons testé par le modèle l'importance de chacun des processus responsables de la consummation d'oxygène dissous dans le lac de Tunis. Ceci nous a permis de conclure que la consommation d'oxygène par les macrophytes (Ulva) peut conduire à une anoxie et que la croissance de ces biomasses est principalement liée à la concentration de l'azote dans le milieu.
Des simulations de l'évolution de la qualité des eaux du lac durant les cinq années futures, correspondant à la période 1991–1995, ont été réalisées. Les principaux résultalts (biomasse d'Ulva, azote et oyxgène dissous) dans les zones 2 et 4 sont représentés en figures 11 et 12, successivement.
Dans la zone 2, les résultats des simulations montrent que les concentrations maximales de l'azote varient de 800 mg/m3 en 1991 á 650 mg/m3 en 1995, que les concentrations des biomasses d'Ulva diminuent dans le temps d'une façon similaire à celle de l'azote et que les concentrations d'oxygène dissous sont très proches de la saturation. La qualité de l'eau dans la zone 2 tend ainsi vers celle de la baie de Tunis).
Dans la zone 4, par contre, les concentrations des biomasses d'Ulva sont beaucoup plus importantes que celles de la zone 3 et génèrent des concentrations en oxygène dissous très faibles durant la période estivale (possibilité de crise).
Le modèle a été ensuite utilisé pour simuler l'état du lac si une récolte systématique des ulves est effectuée chaque fois que la concentration dépasse 400 g/m3, pendant la période 1991–1995. Les résultats montent une large diminution des concentrations en azonte dans la zone 4. Dans cette zone, les concentrations en oxygène dissous ne présentent plus des fluctuations importantes et sont proches de la saturation (Fig. 13).
3.6. Conclusions
Le modèle numérique a permis une meilleure compréhension du fonctionnement du lac de Tunis. L'interprétation des résultats des simulations et des phénomènes observés montre que la qualité des eaux du lac est largement contrôlée par la biomasse d'ulva et que la température de l'eau a une influence primordiale sur la croissance de ces macrophytes.
Des simulations de l'évolution de la qualité des eaux du lac pour la période 1991–1995 ont été réalisées. Les résultats montrent que les variables caractéristiques de la qualité des eaux de la partie nord du lac (partie draguée) sont très proches de celles de la baie de Tunis. Par contre, dans la partie sud du lac (partie non draguée), la possibilité de crise existe surtout en été. Pour éviter ce risque, dépasse 400 g/m3.
Ce modèle reste cependant à compléter par l'introduction de nouvelles espèces algales dont le développement est attendu après les approfondissements réalisés.
Le modèle présenté ici sous une version unifilaire, à la fois peu exigeante du point de vue des moyens de calcul et convenable à l'étude du lac de Tunis, peut être aussi amélioré par l'établissement d'une version bi-dimensionnelle multicouche qui servira pour le traitement des zones côtières non homogènes.
BIBLIOGRAPIIIE
LEHMANN J.T. et al - 1975. The assumptions and rationales of a computer model of phytoplankton population dynamics, Limnol-Oceanogr.-20. pp. 343–364
JORGENSEN S.E. et al. - 1986. Validation of a prognosis based upon an eutrophication model, Ecol. Modelling - 32 : pp. 165–182
MOUSSA M. - 1986. Turbulence et circulation générées par le vent dans les systèmes aquatiques peu profonds, Application au Lac de Tunis. Thése de doct. de l'I.N.P. Toulouse
LINE A. - 1987. Notice d'utilisation du programme MEFAME, Rapport interne I.M.F. de Toulouse -№ EME/249
BEN CHARRADA R. - 1988. L'hydrodynamique du lac de Tunis après son aménagement, Mémoire D.E.A. - Faculté des Sciences de Tunis
BEN CHARRADA R., LINE A., MASBERNAT L. & MOUSSA M. - 1989. Impact des aménagements sur l'hydrodynamique du lac de Tunis - Modèle aux éléments finis, 2ème Coll. Maghr.-«Modèles Numériques de l'Ingénicur» - Rabat - Maroc - Novembre 1989
BEN SLIMANE A., MASBERNAT L. & MOUSSA M. - 1989. Modéle écologique du lac de Tunis 2ème Coll. Maghr. - «Modèles Numériques de l'Ingénieur» - Rabat - Maroc - Novembre 1989
BEN SLIMANE A. - 1990. Contribution à la modélisation hydro-écologique du lac de Tunis, Thèse Doct. Spécialité - Faculté des Sciences de Tunis
BEN SLIMANE A, MASBERNAT L. & MOUSSA M.- 1990. Modèle hydro-écologique du lac de Tunis, La Houille Blanche - № 3/4: pp. 287–292
SERAH:ENIT - 1991, Aménagement du lac sud de Tunis, Étude hydraulique - Pour le Ministère de l'Équipement - Tunisie
MOUSSA M. & BEN SLIMANE A.- 1991. Simulation numérique de l'écologie du lac de Tunis, 3ème Coll. Maghr. - «Modèles Numériques de l'Ingénieur» - Tunis
Annexe
Cinétiques adoptées
1. 
2. 
3. 
4. 
5. 
6. 
7. 
8. 
9. 
10. 
11. 
12. 
13. 
Cœfficient des Cinatiques
• Taux de croissance au phyto
AP = AP max. Flum. FT. FNP
• Taux de disparition au phyto
DP = MP SA
| MP = K4 T + D1 | pour < d1 et d> d2 |
![]() | pour d1, d, d2 |
• Taux de croissance de l'ulva
AU = AU max. GI. GT. GW
• Taux de mortalité de l'ulva
MU = MU max. FT1
• Taux de décompression de l»azote et du phosphore organique en minérale
KDN = KDP20 FT2
KDP = KDP20 FT2
• Taux dassimilation du du phsphore par le phytoplancton
VP = VP max. FP1 FP2
• Taux de libération de l'azote à partir des sédiments
QNDF = KNR. NSED FT3 FC
• Flux du phosphore mineral dissous de l'eau intersintielle
QPDF = KP (Pi. Ps) FT3 FC
Facteurs limitants

- KE = KP. PHYT+Ke
- Iz = Is. exp (-kE . H)
- FT = exp (-2,3 (T-Top) 1/5)
- FNjP = min (FN, FP)
- QNmin = NC/PHYT
- QP = PC/PHYT
- QNmin = NCmin/PHYT
- QPmin= PCmin/PHYT
- FN = (QN-QNmin) / (QNmax-QNmin)
- FP - (QP - QPmin) / (QPmax-QPmin)
- GI = IW/IOW exp (I-IW / IOW)
- IW = A exp (-2,3 (T-TOW)/1/5)
- IW = IS exp (-B. WU)

- FN2 = NS/(NS+KN)

- FP2 = PS/ (PS+KP)
- FT = (T/TOW)1/2
- FT2 = (1,04)(T-20)
- FT3 = (1,09)(T-20)
- FC = KO/(KO+C)
- K2 = 0,0002. U2=0,005
Fonctions de forçage
| QKH | Débit journalier entrant et sortant par Kheireddine (m2/j) |
| QP | Débit journalier entrant et sortant par Pêcherie (m2/j) |
| QCH | Débit journalier sortant par Checkly (m3/j) |
| QTM | Débit journalier sortant par Tunis Marine (m3/j) |
| QONAS | Débit refoulé par l'ONAS (m3/j) |
| QSTEG | Débit journalier pompé par la STEG (m3/j) |
| Q | Débit journalier (m3/j) |
| T | Température de l'eau (°C) |
| S | Salinité de l'eau (g) |
| NSKH, NSSTN NSP | |
| Azote dissous entrant par Kheireddine, STEG et la Pêcherie (mg/m3) | |
| NCKH, NCSTN NCP | |
| Azote prticulaire entrant par Kheireddine, STEG et la Pêcherie (mg/m3) | |
| PSKH, PSSIN PSP | |
| Phosphore dissous entrant par Kheireddine, STEG et la Pêcherie | |
| PCKH, PCSTN, PCP | |
| Phosphore prticulaire entrant par Kheireddine, STEG et la Pêcherie (mg/m3) | |
| NOKH, NOSTN, NOP | |
| Azote organique des détritus entrant par Kheireddine, STEG et la Pêcherie | |
| PHYTKH, PHMTK, PMTP | |
| Phytoplancton entrant par Kheireddine, STEG et la Pêcherie (mg/m3) | |
| CKH, CP, CST | |
| Oxygène entrant par Kheireddine, STEG et la Pêcherie (mg/1) | |
| DKH, DP, DST | |
| D.B.O. des eaux entrant par Kheireddine. STEG et la Pêcher | |

Figure 1 - Le lac de Tunis après améenagements

Figure 2 - Schéma du cycle des nutrients (Azote et Phosphore)

Figure 3 - Calage du phytoplancton

Figure 4 - Calage de la température

Figure 5 - Validation de la température (zone 1)

Figure 6 - Validation de la température (zone 4)

Figure 7 - Validation de la salinité (zone 1)

Figure 8 - Validation de la salinité (zone 5)

Figure 9 - Validation du phytoplancton (zone 1)

Figure 10 - Validation du phytoplancton (zone 4)

Figure 11 - Results de silulation (Zone 2)

Figure 12 - Results de silulation (Zone 4)

Figure 13 - Results de silulation (Zone 4)
(Réduction de la Biomasse des ulves)