Par Dr. Damasia SDIAS
Au Portugal, l'exploitation des mollusques bivalves dans les gisements naturels côtiers, des estuaires, lagunes, etc… est une activité de grande importance économique et sociale.
La facilité relative de la pêche le long du littoral côtier et dans les accidents naturels géographiques, l'accroissement de la demande out conduit à une exploitation désordonnée et intensive des bancs et, en conséquence, à l'appauvrissement des ressources. Pour résourdre cette situation, une législation qui détermine le nombre des autorisations de pêche, la puissance des embarcations, les techniques de pêche, la période des interdictions de pêche etc… en vue de discipliner l'activité a été élaboré.
Les principaux centres producteurs de mollusques bivalves si situent à:
Zone litorale entre Porto e Aveiro - Spisula solida::
Zone Aveiro et estuaire du Vouga - Spisula solida, Ceras - Toderma edule et Mytilus
Lagune de Obidos - Venerupis pullastra, Cerastoderma edule et Spisula solidu;
Estuaire du Tejo et zone côtier adjacent - Ensis siliqua, Cerastoderma edule, Venerupis pullastra et Scrobicularia plana:
Ria Formosa - Ensis siliqua, Pharue legumen et Venerupis pullastra.
Paralèllement à l'exploitation des bancs naturels des mollusques bivalves se sent développés des cultures d huîtres, palourdes et moules.
1- HUÎTRES (CRASSOSTREA ANGULATA)
Nous trouvons déjà dans la seconde moitié du XIX siècle une législation pour favoriser l'augmentation des gisements naturels d'huîtres et discipliner leur exploitation, mais e'est seulement vers le milieu de notre siècle qu'une véritable ostréiculture est née.
Les processus de culture au Portugal sont les suivantes :
1.1. Le captage du naissain.
1.1.1. Collecteurs naturels
(sans l'intervention de l'homme, comme huîtres et ses coquilles, pierres,
etc…).
1.1.2. Collecteur artificiels
1.2. Détroquage - élevage.
Lorsque les jeune s huîtres ont la taille suffisante, on procède au détroquage. Pour
obtenir la taille marchande, les jeunes huîtres sont sur le fond des parcs,
soit dans des caisses ostréophiles surélevées, soit dan des sacs construits en grillage
plastique, carton porte-oeufs, etc,).
1.3. Opérations de salubrité.
1.3.1. Affinage.
Pour obtenir une qualité propre à la consommation, tenant compte de ses
caractères organoleptiques.
1.3.2. Épuration.
Pour rendre les huîtres aptes à la consommation humaine après les avoir éliminées
des contaminants microbiologiques.
1.4. L'expédition.
Elle comprend le nettoyage, la sélection et l'emballage des mollusques, l'étiquetage.
1.5. Exportation.
Les estuaires du Tejo et Sado ont toujours été les deux centres producteurs d'huîtres.
A titre d'information, les valeurs des exportations entre 1964 et 1972 sont les suivants:
| ANNÉES | TEJO Ton. | SADO Ton. |
| 1964 | 598 | 9,450,71 |
| 1965 | 543,9 | 5,937,95 |
| 1964 | 791,2 | 4,630,94 |
| 1967 | 488,0 | 6,026,51 |
| 1968 | 2,117,54 | 8,324,68 |
| 1969 | 2,093,50 | 5,678,51 |
| 1970 | - | 5,286,00 |
| 1971 | - | 6,015,70 |
| 1972 | - | 3,959,00 |
A cause de la mauvaise qualité de ses huîtres, on n'a jamais exporté toute la production du Tejo. Par contre, le Sado, zone moins polluée, presque exporte toute sa production.
1.6. Le Marché Interne.
Malgré sa valeur alimentaire, la consommation d'huîtres au Portugal est faiblwe.Nous pouvons voir comment elle a évolué après 1971.

Actuellement, les gisements nature d'huîtres out presque disparu du Tejo. Dans le Sado, son appauvrissement et sa réduction out conduit a la restriction du nombre d'établissement de culture, ainsi que des travailleurs.
L'I.N.I.P./Algarve a mis au point une petite écloserie de palourdes et d'huîtres et a fait des expériences d'adaptation et de croissance en différents de la Ria Formosa.
Une association de producteurs a fait aussi, avec succès, des expériences de croissance d'huîtres portugaises et d'huîtres plates.
2 - PALOURDES (RUDITAPES DECUSSATUS)
La culture de cette espèce se pratique presque exclusivement dans la Ria Formosa on elle est très importante dans le domaine économique et social à cause du grand nombre de personnes qui, directement ou indirectement, sont liées à cette activité.
Les bonnes conditions du milieu, l'expérience et le savoir acquis depuis longtemps par les concessionnaires, allies à une évolution florissante du marché international de cette espèce (surtout espagnol) out fait qu'actuellement existent presque 1,500 établissements de culture qui occupent une superficie de près de 1,000 hectares.
La production moyenne annuelle, qui a déjà atteint les 9,000 tonnes, n'est plus maintenant que de 3,500 tonnes à cause de certains problèmes de mortalité.
Les établissements de culture qui sent dénomme «Viveiros» sont établis en régime de concession dans les terrains appartenant au Domaine Publiqu Maritime et se situent dans les zones qui sont influencées par les marées, particulièrement dans les rives des chenaux intertidaux.
Les phases de la culture comprennent:
la préparation du sol pour l'établissement de la culture avec l'addition de sable de sable de grains plus grands;
le captage du naissain capture dans la nature, ce qui constitue on facteur limitatif a déve loppement de cette activité:
le repeuplement de l'établissement (80 à 100 individus /m2) ou l'on procèdera à leur croissance et engraissement pendant 18 à 24 mois;
la récolte;
l'expédition.
3 - MOULES (MYTILUS EDULIS)
La culture de cette espèce est relativement récente au Portugal où nous avons quelques gisements naturels de moules sur les côtes et dan l'estuaire du Vouga. Elle se pratique en installations flottantes, radeaux, dans une lagune, la Lagoa de Albufeira.
Les installations flottantes se composent de gros flotteurs que supportent poutres de bois auxquelles sont suspendues les cordes d'élevage et de captage.
Le processus de culture se divise en quatre étapes:
obtention de naissains - Consiste fondamentalement récolte du naissain qui peut être effectué sur les gisements naturels, sur les naissains de mer fixés sur les roches ou, plus rarement, sur les cordes de captage;
mise en place du naissain en cordes - Après l'acquisition do naissain, il est placé autour d'une corde au moyen d'un filet dont la maille dépend de la taille des mollusques;
dédoublement - Lorsque, par suite de leur croissance, les mollusques sont trop tassés (cinq ou six mois après), les cordes sont rèlevées et, avec leurs moules, on forme de nouvelles cordes qui vont continuer leur développement jusqu'à la taille de commercialisation;
récolte - Lorsque les moules atteignent la taille désirée (6 à 8cm,), elles sont récolteées, choisies, lavées et mises à la vente.
Par Mr. Mohamed Néjib MEDHIOUB
1- INTRODUCTION
La conchyliculture est une activité relativement ancienne en Tunisie Les premières tentatives out concerné l'élevage de la moule Mytilus galloprovincialis dans le lac de Bizerte, puis l'Office National des Pêches a développé cette activité depuis sa création en 1958 et l'a étendue à l'élevage de l'huîte Crassostrea angulata, puis Crassostrea gigas (Azouz,1966). Cependant, l'élevage de la moule et de l'huître reste encore peu développé en Tunisie malgré l'ancienneté de cette activité.
L'exploitation d'autres espèces (palourde:Tapes decussatus et praire: v Venus verrucosa, etc …) n'est qu'une activité de collecte pour le moment. Des projets d'élevage de la palourde autochtone Tapes decussatus ne sont pas encore entré en phase de production. Par ailleurs, d'autres actions on été réa-lisées, notamment sur:
l'élevage de naissain d'écloserie, de palourde asiatique Ruditapes philippinarum, d'huître plate Ostrea edulis et d'huître creuse Crassostrea gigas au lac de Bizerte (Gimazane - Medhioub,1979);
la transplantation d'espèces de moule, d'huître et palourde dans la lagune de Monastir (Medhjoub,1990);
le captage d'huître creuse Crassostrea gigas dans la lagune d'lchkeul (Medhioub - Zaouali,1988);
enfin, des essais sur la reproduction artificielle de la palourde européenne Tapes decussatus (Medhioub M.N.et Medhioub A.Travaux en cours).
2- LA MYTILICULTURE
2.1. Introduction
L'introduction de la moule en Tunisie date de 1964 dans le lac de Bizerte par l'élevage de quelques kilos. Puis, devant les rèsultats encourageants, un essai plus important a été tenté à partir de quatre tonnes de naissains provenant de France et de cinq tonnes d'Italic. Cet élevage a permis la commercialisation d'environ 15 tonnes en 1965. Cette production à progressée rapidement pour atteindre 150 tonne en 1990. Toutefois, la capacité réelle de production dépasse les 150 tonnes mais pour des raisons de commercialisation, notre production est limitée. Les moules sont élevées en suspension dans des filets, selon la méthode classique.
2.2. Captage de la moule Mytilus galloprovincialis dans le lac de Bizerte
Les collecteurs sont composes de vieux cordage et de coquilles d'huîtres vides. Ils sont posès en décembre – janvier. La ponte a lieu en de février (Gimazane, 1981). Les première fixations commencent à apparaître généralement au début mois de mars. Le nombre de collecteurs posés d'une année à l'autre.
2.3. Grossissement de la moule dans le lac de Bizerte
Le grossissement se fait sur les supports d'origine, alleégés géneéralement et exploités directement au bout de 18 mois environ, ou bien à partir du naissain récolté et mis en filet d'élevage. Les moules de 6–7 cm de longueur antéro - postérieure sont obtenues en une année et demi. En moyenne, un collecteur permet d'obtenir 50 kg de moule de taille marchande. Les filets d'élevage ont un rendement de 8 à 10kg par mètre de longueur, soit 18 à 20kg pour un filet de 2 mètres (Gimazane,1977).
2.4. Grossissement de la moule dans le lac de Monastir
Dans la lagune de Monastir, les premiers essais d'élevage de la moule Mytilus galloprovincialis datent de 1978 (Medhioub & Gimazane - Travaux non pupliés-Medhioub, 1990).
En raison de la faible profondeur et de la nature du site (milieu abrité), les structures utilisées sont des radeaux flottantes de 18 m2 de surface et d'une capacité moyenne de 72 cordes. La technique utilisée est l'élevage en suspension qui est identique è cette pratiquée dans la lagune de Bizerte. Le filet de moules utilisé à une longueur moyenne de 1,6 m et contient 2kg de petites moules (taille moyennes 26,6 mm - 41,2 mm).
Le grossissement entre les mois d'avril – août 1986 montre une croissance mensuelle moyenne de 4mm/mois. En effet, la taille est passé de 41 à 56 mm. Dès qu'arrivent le s mois chauds, la brusque élévation de température s'accompagne de fortes mortalités. Celle-ci passent de 5% en juillet à 100% en août. De part l'influence de la chaleur s'ajoute une forte prédation par les poissons malacophages (Daurade). Des moules parquées en octobre 1986 avec une taille moyenne de 26,6 mm ont atteind en juin 1987 55,5 mm soit une croissance d'environ 3 mm/mois … L'écart constaté avec les résultats de la première expérience montre qu'il y a un léger ralentissement hivernal. Bien que la croissance linéaire pendant la saison propice soit plus faible qu'à Bizerte (soit environ 5,6 mm/mois - Gimazane, 1977 la moule présente néanmoins à Monastir un meilleur indice de condition (moule charnue).
3- L'OSTRèICULTURE
3.1. Lac de Bizerte
Jusqu'en 1972, seule l'huître portugaise Crassostrea angulata était élevée suivant la
méthode dite en suspension à partir de naissain importé
La disparition de cette espèce en Europe, suite à un épidémie et l'impossibilité d'avoir
un captage naturel dans le lac de Bizerte, son t les deux facteurs qui ont obligé l'Office
National des Pêches a tenter l'acclimatation de l'huître creuse japonaise Crassostrea gigas à partir du naissain importé directement du Japon, puis de France (bassin d'Arcachon).
Les naissains importés à l'âge de 18 mois sont collés un à un sur des barres d'éleva ge en eucalyptus. Cette technique, bien qu'ancienne, donne de bons résultats. Les huîtres restent 6 à 8 mois sur les barres et sont ensuite récoltées. La vente annuelle n'a pas dépassé les 20,000 douzaines.
3.2. Lac de Monastir - Baie de Monsatir
Les essais d'élevage de l'huître creuse datent de 1986 (Medhioub, 1990). Pour suivre la croissance de cette espèce, du naissain a été capté dans le lac Ichkeul sur de collecteurs formés de chapelets de coquilles de bivalves. Le naissain récolté sur collecteur a été reparti en deux lots: le premier a été élevé en suspension sur radeau pendant 3 mois, puis détroqué et mis dans des corbeilles de roseaux et dans des poches ostréicoles. Le second a été élevé en suspension sans détroquage à partir de naissain en tête d'épingle. Les lots on été places dans deux sites (lagune et baie de Monastir).
3.2.1. Baie de Monastir
Après 13 mois d'élevage en suspension sur huîtres passent de 4g (32mm) à 8g (42mm de longueur antéro-postérieure avec une survie de 93% et un taux de chambrage de 10%. Les huîtres obtenue sont maigres avec une coquille allongée et fragile.
3.2.2. La lagune
Après 13 mois d'élevage, l huître atteint un poids de 56 g et une longueur de 75mm.
On note une mortalité variable entre 17,7 % au mois de novembre 1986, 0,7% en
décembre, 8,6 % en février 1987, 15,5 % en juin. La coquille a une forme arrondie et
est assez solide, elle a un bon indice de condition au mois de juin.
La mortalité, bien que naturelle dans un élevage d'huître, semble aussi liee au phénomene
de chambrage.
Le second lot (naissain en tête d'epingle sans détroquage) donne de bonnes performances.
Après cinq mois d'élevage (poids initial 0,68 g et longueur antéro-postérieure 18,3
mm), le poids atteint 25 g et la longueur 68mm, soit une croissance moyenne de 6
g/mois et de 10mm/mois avec une coqille bien allongée, On constate l'existance d'un
chambrage aigu's s'élevant a 100 % a la fin du grossissement. Ce phenomene s'amplifie
au cours de l'élevage pour atteindre 31,3 % au mois de mai et 100 % au mois de juin.
3.3. Captage de l'huître creus e Crassostrea gigas
Les premiers éssais sur l'élevage de l'huître creuse datent depuis le début du siècle. Danton et Heldt sélectionnent la côte Nord (Ghar-El-Melh) et lac de Bizerte pour élever cette espèce. Azzouz (1963) confirme l'étude et propose, sur les conseils du Pr. Lubert, un plan d'installation de pare qui est toujours en service.
Au lac de Bizerte, et depuis l'introduction de cette espèce, un seul captage naturel a été observe (Gimazane, 1975). Plusieurs collecteurs chaulés ont été poses en 1977–1978 en divers points du lac. Quelques captages en faible quantité sont observés (Gimazane, 1979). Au lac Ichkeul, suite à la localisation d'un gisement naturel d'huitre creuses Crassostrea gigas à la frange littorale sud est, un essai de captage a été réalisé (Medhioub, Zaouali, 1988). Les huîtres s'y reproduites et un captage de naissain a été réalisés en août 1986 avec un nombre moyen de 3,15+1,3 individus par collecteur.
3.4. Essais d'élevage de l'huître place Ostrea edulis
Les expériences réalisées dans les lacs de Bizerte et Monastir sur cette espèce porte sur quatre points essentiels (Gimazane - Medhioub,1979) (Hammami - Medhioub, 1986–1987):
étude de la croissance à partir de naissains artificiels de petite taille (2–3mm) provenant d'une écloserie;
étude de la croissance à partir de naissains plus gros (type 18–20 mois) en provenance du bassin d'Areachon;
étude de la croissance d'une variété d, huître plate originaire de la Yougoslavie au lac de Bizerte et de Monastir.
Cette première série d'essais nous a permis de constater que le prégrossissement de naissain artificiel de petite taille est possible dans le lac de Bizerte perdant la période allant de novembre à juin inclus et permet donc d'envisager la commercialisation de naissains d'huîtres plates. La non résistance de ce type de naissain pendant les mois les plus chauds ne permet pas sa commercialisation à une taille marchande . L'élevage de l'huître locale montre par contre une résistance aux plus forte variations thermiques.
L'élevage de l'huître plate originaire de la Yougoslavie montre, en plus de sa faible résistance estivale dans les deux lagunes, un chambrage aigu au niveau de la coquille dans le lac de Monastir.
4- LA VÉNÉRICULTURE
Le parquage de la palourde Tapes decussatus, en vue de la grossir, est une technique pratiquée par les conchyliculteurs tunisiens. En effet, les pêcheurs è pied ramassent toujours des quantités non commercialisables (taille antéro - postéricure inférieure à 30mm). Après le tri, les jeunes palourdes sont «jetées» dans le milieu naturel au niveau de s concessions conchylicoles (pare de stabulation). Le rendement de cette technique n'est pas connu pour les raisons suivantes;
la quantité parqueé n, est pas, en général, achetée aux collecteurs;
aucun système de protection contre le prédateurs n'est utilisé dans les pares de grossissement;
ces derniers sont en général abandonnès en été.
Le rendement de cette technique, même s'il est faible, représente sente un gain supplémentaire pour l'exploitant (Medhioub, 1988).
l'élevage de la palourde en Tunisie è partir de naissains d'écloserie n'a pas fait l'objet de plusieurs études. La première expérience de prégrossissement de la palourde japonaise a été menée par Gimazane et Medhioub (1979). Ces auteurs montrent que l'élevage en suspension dans la lagune de Bizerte est possible. En effet, pendant 7 mois d'élevage (avril – octobre, la longueur moyenne des individus est passée de 2,5–3mm à12,3 mm avec une faible mortalité (1%).
l'élevage de naissains de palourde Tapes decussatus reproduite dans le Centre National d'Aqualculture de Monastir et prégrossie dans le même site par Medhioub (sous presse) montre qu'en surélévation, dans les eaux d'évacuation de bassins d'élevage de poissons, la longueur moyenne des individus passe de 3mm à 12,5mm pendant la période allant du 19/08/1990 au 9/08/1991 avec une mortalité de 12%.
5- CONCLUSION
La température estivale des eaux de la lagune de Monastir est nettement supérieure au seuil létal maximal pour cette espèce, circonstance rarement enregistrée danc le lac de Bizerte qui se situe a une latitude nettement plus septentrionale . On sait, en effet, que la limite Sud de la pénétration de Mytilus galloprovincialis sur les cotes tunisiennes se situe au niveau du golfe de Tunis Cependant, en dehors de l'été, les résultats relativement encourageants, notamment au de niveau du coefficient de condition, permettent de penser qu'il n'est pas impossible de procéder a des stockages temporaires.
Le site de la lagune de Monastir, en raison de la faible profondeur moyenne de ses eaux très influencées par les alésa thermiques, et de situation dans une zone de climat méditerranéen ou l'influence du sirocco est forte, parait peu propice à un élevage d'espèce conchylicoles comme la moule commune, et de l'huître japonaise et de l'huître plate, mieux adaptées a une région nettement tempérée, En conséquence, un élevage pérenne de ces espèces ne saurait y être envisagé de façon rentable.
Cependant, les conditions climatiques plus nettement favorables de la saison pluvieuse pourrait permettre d'y installer un centre de stockage et d'affinage pendant les mois propices, dans la région du Sahel, à condition que les problèmes sanitaires soient résolus.
La lac lchkeul présente les caractères d'une lagune méditerranéenne ou les variations de température, et surtout de salinité, ont de s amplitudes saisonnières considérables. Les basses salinités hivernales constituent essentiellement le facteur limitant du développement des huîtres; toutefois , d'une année à l'autre, ces salinités hivernales peuvent varier. Dans ces conditions aléatoires, le gisement naturel de Crassostrea gigas ne peut se maintenir de façon permanente car il suffit d'un printemps (1987) avec très basses salinités (2–3%) pour provoquer l'éradication de la population.
Les élevages aux trois stations (Bizerte - Ichkeul - Monastir ) d'huîtres creuses montrent que le rendement de la culture est exceptionnel dans le lac de Bizerte ou 100 % de la population a atteint la taille marchande au bout de 8mois d'élevage. Le site de Monastir, quant à lui, est moins favorable et celui de l'lchkeul est à éliminer du fait des conditions climatiques et salines très aléatoires.
Il serait possible d'envisager l'utilisation du site de l'Ichkeul comme lieu de captage et de prégrossissement. En l'absence de populations naturelles, il serait donc intéressant de poser en juin des collecteurs quand le conditions hydrologiques du lac d'Ichkeul sont favorables à la fixation et au prégrossissement du naissain en provenance du lac d e Bizerte. Ceci, toutefois, ne pouvant se faire qu'après s'être assure que le stock naturel trouve dans l'Ichkeul a été alimenté en pontes au cours des années 1985 et 1986.
Ces huîtres, prégrossies, seraient des les mois de février–mars, début de l'époque critique dans le lac dSchIeul, reparquées sur leurs collecteurs dans le parc conchTlicole de Menzel Jemil où les conditions hydrologiques estivales sont nettement moins drastiques
6- RECOMMANDATIONS
Les missions effectuées par Anonyme (1982) et Hamon (1987), dans le cadre de développement de la conchyliculture en Tunisie, insistent toujours sur le problème de la commercialisation qui constitute un des points faibles de cette activité. Il est a noter que les ventes de moules et huîtres s'étalent pendant toute l'année (3–5 tonnes par mois) avec une très forte demande en été (20–30 tonnes). Elle pourrait être plus élevée, mais le réseau de distribution, actuellement en place, n'est pas adapte a une vente plus importante (centralise seulement au Nord).
L'amélioration du circuit commercial nécessite une réorganisation complète (transport, stockage épuration, points de vente, publicité, etc…).
Une étude de marche et de circuits de distribution est nécessaire pour fixer la production de lagune de Bizerte qui est bien supérieure à la production actuelle.
Développer l'élevage de l'huître plate Ostrea edulis en Tunisie , espèce à grande valeur commerciale dans le bassin méditerranéen, et ceci par;
- la prospection de site d'huîtres plates (au Nord et au Sud);
- Essai de captage de cette espèce;
- reproduire artificiellement l'huître plate autochtone qui montre une résistance aux forte températures.
Développer la recherche à une échelle méditerranéenne pour maîtriser l'élevage de la palourde Tapes decussatus..
RÉFÉRENCES BIBLIOGRAPHIQUES.
AZOUZ A. (1966) Étude des peuplements et des possibilities d'ostreéiculture du lac de Ann .Inst, Océan. Salammbô, 15 : 65p.
ANONYME (1982)-Étude du potentiel aquacole et proposition pour une politique de développement
de l'aquaculture en Tunisie.
Rapport d'une mission multidisciplinaire TCP/ADCP en Tunisie - Mars–Juin,1982
DANTAN J.L HELDT II (1932) L'ostréiculture en Tunisie Résultats acquis dans le lac de Porto Farina Bull Inst. Ocean Salammbô, 30:30p.
FRISONI G.E GUELORGET O PERTHUISOT J.P 1986 Évaluation des potentialités aquacoles du lac de Bizerte, Rapport FAO/MEDRAP - Septembre 1986
GIMAZANE J.P 1977 La conchyliculture dans le lac de Bizerte
Bull. Office Nationale des Pêches Tunisie 1(1):51–70
GIMAZANE J.P MEDHIOUB N.1979 - Croissance du naissain de la clovisse japonaise Tapes semidecussatus dans le lac de Bizerte Premiers résultats Bull. Office Nationale des Pêches Tunisie 3(2): 99–106
GIMAZANE J.P MEDHIOUB N. 1979 - Croissance de l'huître creuse Crassostrea gigas dans
le lac de Bizerte à partir de naissain artificiels de petite taille
Bull. office National des Pêches - Tunisie - 3 (2): 95–97
GIMAZANE J.P.- MEDHIOUB N., 1979 - Croissance de l'huître plate Ostrea edulis dans le lac de Bizerte Premiers résultats Bull .Office Nationale des Pêches Tunisie 3(2): 91–94
GIMAZANE J.P 1981 La reproduction de la moule Mytilus galloprovincialis Lamarck
(Mollusque Lamellibranche ) dans le lac de Bizerte
Tunisie 5(2) : 115–128
HAMMAMI M,. 1986 PROJET d'élevage de l'huître place à Monastir et Bizerte
Mémoire de fin d'étude-Inst Nat Agr. Tun.
HAMON P.Y.,1987 Conchyliculture dans les lagunes de Bizerte, Ichkeul, Monastir
Rapport FAO/MEDRAP - Mars 1987
MEDHIOUB M.N. - ZAOULI J., 1988 Captage de l'huître creuse Crassostrea gigas dans le lac lchkeul Bull .ILnst,, Nat,. Scient . Tech. Océanogr Pêche Salammbô 15:47–60
MEDHIOUB M.N.,1988 - La palourde Tapes decussatus en Tunisie
Rapport du Centre National d'Aquaculture Monastir - Tunisie-Février 1988
MEDHIOUB M.N.,1990 La conchyliculture dans le lac de Monastir Élevage de la moule commune, de l'huître creuse , de la palourde méditerranéenne Rapport et documents INSTOP : SALAMMBO, 2 – 1990.
Par Mr. Mohamed Néjib MEDHIOUB
et Mme Amel MEDHIOUB
1- INTRODUCTION
L'espèce autochtone Tapes decussatus dite européenne a fait l'objet de quelques travaux sur sa production artificielle par Walne (1976, le Borgne (1977et 1980). Elle a été rapidement abondonnée au dépend de l'espèce japonaise Ruditapes philippinarum qui présente une bonne croissance dans les sites étudiés.
En Tunisie, on dispos des travaux de Lubet et Medhioub (1983) qui ont porte essentiellement sur le cycle sexuel dans le milieu naturel (lac de Bizerte): cependant, aucun travail n'a été réalisé sur la production artificielle de la palourde autochtone , Dans le cadre de ce travail, nous proposons de reproduire cette palourde en écloserie.
Notre étude préliminaire porte sur la ponte naturelle et non sur le conditionnement . Elle traite la ponte, l'élevage larvaire, la métamorphose, le prégrossissement et grossissement et, enfin l'alimentation.
2- MATERIEL ET METHODES
2.1. Matériel
L'étude a porte sur des palourdes en pleine maturation génitale récoltées du milieu naturel (golfe de Gabès) et reparquées dans le lac de Monastir.
Cet essai s'es t déroulé dans le Centre National d'Aquaculture de Monastir et la Station d'Aquaculture du Sud Tunisien entre le mois de juin 1990 et mai 1992. Nous avons travaillé dans les conditions de température naturelle du milieu (Fig.1)
2.2 Méthode
La technique adoptée est celle employée dans les écloseries de bivalves.
La ponte
Les géniteurs (30–37mm de longueur 5 à 10 g de poids) sont récoltés la veille. Ils séjournent pendant une nuit dans un bac de 40 l en circuit d'eau continu et filtrée sur 5 mm.Cette
opération permet la «stabulation» des animaux (dégorgeoir). Ces palourdes sont soumises
a des chocs thermiques (élévation de la température jusqu'à 29 C et sa descente à 18–16 C
pendant plusieurs fois).
La fécondation
Dès le début de l'émission, les mâles et femelles sont séparés dans des béchers de
21. Une fois la ponte terminée, les spermatozoïdes et les ovocytes sont recueillis séparément
sur un tamis de 30 ou 40 mm. La fécondation est procédée en ajoutant quelques millilitres
de spermatozoïdes au récipient contenant les ovocyte.
Élevage larvaire
Après observation sous la loupe, les ovocytes fécondés sont transférés dans des bacs cylindroconiques
de 1m3 où l'eau filtrée sur 5 mm et la température est comprise entre 24 et 27° C.
La densité est de 3 larves/ml. Après 18–24 heures, les larves apparaissent. On commence donc
la distribution du phytoplancton (30 à 50 cellules/ml). Le renouvellement de l'eau se fait tous
les deux jours. Les coquilles vides sont éliminées et les larves vivante sont soigneusement
recueillies sur des tamis et passées au jet d'eau cassé pour les contrôler sous la loupe.
Prégrossissement 1
La métamorphose et le prégrossissement 1 sont effectués dans des tubes tamis de 6 l et
ayant un maillage de 100–200–310–410 mm. Il sont placés sous serre où la température
de l'eau atteigne 30° C. l'eau circule en continu de haut en bas et est mélangée avec des
algues microscopiques.
Prégrossissement 2
Les naissains sont mis dans deux cages de même dimension (60 times; 35 cm). Celles-ci sont
mises en surélévation dans le canal d'évacuation des bassins de grossissement de poissons.
Elles sont fréquement nettoyées.
Grossissement
Le 21 août 1991, ces naissains (2500 pièces) sont transférés dans la station d'aquaculture
du Sud tunisien. Le parc a été construit sur l'estran à côté de la station de pompage. Le lot
est semé à raison de 80 pièces/m2 sous filet (Nortene 8 times; 8 mm) protecteur sur l'estran.
Deux bandes sont réalisées couvrant une surface totale de 31 m2. La longueur antéro-postérieure
et le poids individuel ont été suivi.
Alimentation
Les cultures sont réalisées dans une salle thermostatée à 20–22 ° C sous éclairage continu
(1.000, 6.000, 10.000 lux), dans une eau filtrée sur 5 mm, stérilisée par l'acide chlorhydrique
et dont la salinité est de 40–42 %. L'air utilisé pour le bullage est enrichie en CO2 (1 à 2 %). Le milieu employé est celui de Conway. Les espèces utilisées sont monospécifiques
et au nombre de cinq (quatre flagellées Monochrysisluheri; Isochrysis galbana, Chlorella
sp., Tetraselmis suecica; et une diatomée phaeodactylum tricomutum).
3- RÉSULTATS ET INTERPRÉTATION
La maturation et l'émission des gamêtes sont différents chez les deux sexes. La maturation de la gonade mâle semble être plus facile dans la nature et est avancée par rapport à la gonade de la femelle. Suivant l'état de la maturation et après chocs thermiques, les animaux mâles et femelles peuvent émettre des gamêtes. La ponte est longue et les chocs peuvant durer entre 20 et 200 minutes. Les mâles émettrent en général les premiers.
L'élevage larvaire a duré 8 jours (température 24–27 ° C; S=40 - %; ph=8,3). Vingt-quatre heures après. Les larves sont au stade D. Les autres stades larvaires ont commencé à apparaître à partir de j4 (véligère à umbo), j6 (véligère avec ébauche du pied) et j8 (pédivéligère). Le début de la métamorphose est apparue au j9. Elle a duré trois. A ce stade, la longueur antéro-postérieure est de l'ordre de 170 mm.
Après 20 jours d'élevage, les naissains se mettrent en grappe sur le fond et les parois du tamis. Leur longueur est entre 200–300 mm.
Après 9 semaines d'élevage (172), deux lots sont séparés. La tête du lot présente une longueur entre 1.200 et 1.500 mm, quelques pieces ont atteint 3 mm. A la sortie, pour le deuxième prégrossissement, tous les animaux de la tête du lot ont crevé.
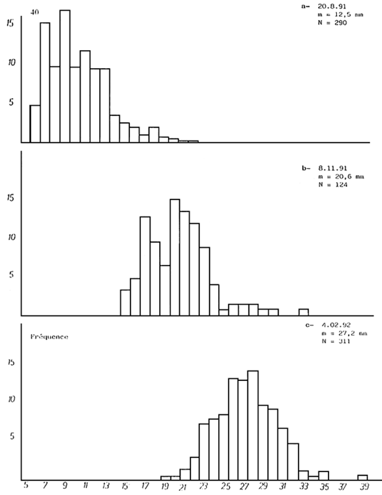
Notre élevage s'est poursuivi sur la quene du lot sous serre jusqu' à j 119. A la du 05/11/90, les jeunes naissains (0, 9–3 mm) sont transférés pour le deuxième prégrossissement). A la fin de ce stade d'élevage (20/08/91), la longueur moyenne des individus est passé de 0,9–3 mm ) à 12,7 mm avec 20 % du cheptel d'une taille inférieure à 7 mm 67 % a une taille comprise entre 7–13 mm . Par contre, 13 % seulement ont une longueur de 13 à 22 mm (fig. 2.a-4 .a).
Des échantillonnages intermédiaires prélevés le 22/03/91 (j261) et le 22/05/91 (j321) donnent respectivement les longueurs moyennes 7 et 9 mm. La mortalité enregistrée entre le 22/03/91 et 20/08/91 est 12 %. Elle est probablement due à deux facteurs :
les naissons élevés n' ont pas été triés à la sortie de la nurserie. Généralement, dans ce type d'élevage, des opérations de tri sont réalisées juste à la fin de la phase nurserie et les individus à croissance faible sont éliminés de l'élevage, ce qui donnerait des bons taux de survie en phase de prégrossissement;
la durée du prégrossissement a été prolongée de 3 mois à cause de la recherche d'un site de grossissement.
Après un élevage sur l'éstran pendant 5,5 mois, la longueur moyenne est passée de 12,5 à 27 mm, soit une croissance mensuelle de 2,7 mm. La répartition des longueurs individuelles se compose de 22,5 % de naissons d'une taille supérieure à 30 mm et 77,5, soit la majorité entre 21 et 29 mm (Fig, 2.c).
Un échantillonnage intermédiaire prélevé après 2,5 mois de grossissement donne une longueur moyenne de 20,6 mm. La répartition des individuelles se compose de 35 % de naissains d'une taille inférieure à 20 mm et 65 %, soit la majorité, entre 20 et 33 mm (fig. 2.b-4.b ).
Pendant la période hivernale, la croissance de la palourde ne s'est pas ralentie, en effet, la longueur a passée de 20,6 mm à 27 mm pendant les mois (8 novembre – 4 février).
Après 16 mois d'élevage à partir de l'oeuf, 1,6 % seulement du cheptel a atteint la taille marchande (longueur antéro-postérieure à 30 mm et un poids individuel moyen de 5,2 g), le reste de la population est arrivé au stade demi-élevé (Fig. 3).
4- CONCLUSION
La palourde Tapes decussatus est une espèce capricieuse. En effet, la stimulation par chocs thermiques n' est pas toujours suffisante pour provoquer l'émission des gamêtes.
L'utilisation d'antibiotiques (Thyophenicol - Furazilidone) nous a paru nécessairs à titre préventif (haute température et site à vibrions).
La croissance de cette espèce est satisfaisante. En effet, après 19 mois d'élevage à partir de l'oeuf, 22,5 % des individus ont passé à une longueur supérieure à 30 mm.
Vu le manque de données, de structures fiables et de maîtrise de cette espèce, il nous a paru évident de confirmer ces résultats avant de parler de taux de survie.
BIBLIOGRAPHIE
• Le BORGNEY. (1977) - L'écloserie - nurserie de la Satmar et les possibilités actuelles de production
de naissain de mollusques bivalves.
Third meeting of the I.C.E.S. working group on Mariculture - Brest - France - May
10–13 Actes de colloques du C.N.E.X.O.,4 : 353–360
• Le BORGNE Y. (1980) - Étude des techniques de laboratoire permettaut la production de
masse de naissains de palourdes et de praires.
Compte-rendu de fin d'étude d'une recherche financée par la délégation générale à la
recherche scientifique et technique.
• MEDHUIOUB M.N. (1983) - Recherche sur la biologie de la palouride Ruditapes philippinarum
(Adam et Reeve)
DEA, Université de Caen, 48 pp., 7 pl.
• WALNE P.R.(1976) - Experiments on the culture in the sea of the butterfish venerupis decussata L'Aquaculture 8 : 371–381)

Evolution de la moyenne hébdomadaire de températures de l'eau enregistrées entre 8H et 9H du matin à l'ecloserie (août 1987 – juillet 1991).

Figure 2 - Histogrammes longueur (antéropostérieure - Fréquence) de lu palourde d'écloserie Tapes decussatus élevée sur lagune à Bou Grara (Station A.S.T.)

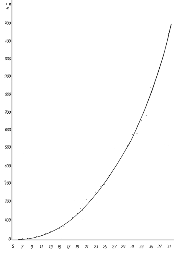
Relation taille - poids de la palourde d'élevage Tapes decussatus
Figure 4 - Prégrossissement et grossissement de la palourde tapes decussatus
Palourde reproduite et prégrossie en surélévation dans la lagune de Monastir - Août 1991
Longueur antéro-postérieure moyenne 12,5 mm.
Palourde grossie sur estran dans la lagune de Bon-Grara (aquaculture du sud tunisien à côté de la station de pompage) - Novembre 1991).
Longueur antéro-postérieure moyenne : 20,6 mm période de grossissement du 20/08/91 au 08/11/91.

Figure p 38
By Mr. A. BERRAHO
I- SITUATION DE LA CONCHILICULTURE
EXPLOITATION NATURELLE
Une importante activité d'exploitation des stocks naturels de coquillages se déroule tant sur les côtes méditerranéennes qu' atlantiques. Les techniques utilisées sont : soit le ramassage manuel, soit le dragage. Les espèces cibles sont très variées, la diversité étant beaucoup plus grande en Méditerranée.
En Méditerranée, on trouve : les moules (les deux espèces : Mytilus galloprovincialis et Perna picta), la palourde, le vernis, les coques, les grosses coques, la praire, les haricots de mer, les couteaux, etc… Le coquillage le plus fréquent étant un veneridae (Venus gallima)
En Atlantique, on trouve essentiellement les deux espèces de moules et la palourde (Ruditapes decussatus)
CONCHYLICULTURE
2.1. Centre de Oualidia en Atlantique
Les activités d'ostréiculture au Maroc remontent aux armées 1950 et concernent une espèce d'huître Crassostrea gigas, l'huître japonaise. Cette ostréiculture est pratiquée dans une petite lagune atlantique située à 200 km environ au Sud de Casablanca.
Le naissain était d'abord importé du Japon, puis de France; depuis 1991, il est produit par l'écloserie de la Société MAROST à Nador. Actuellement, il n' y a plus d'importation de naissain d'huître.
La production de Oualidia se situe entre 150 et 200 tonnes par an et suffit à la demande intérieure qui reste très faible, compte tenu des habitudes alimentaires des marocains.
2.2. Centre de Nador en Méditerranée
Depuis 1985, le complexe intégré de la MAROST à Nador entreprend des activités de conchyliculture (huître plate et polourde) dans la lagune de Nador. Les espèces élevées sont l'huître plate : Ostrea edulis et la palourde : Ruditapes decussatus Les naissain de ces deux espèces est produit dans l'écloserie à coquillage du complexe de MAROST. Les techniques utilisées sont la culture sur sol, filet pour la palourde, et les table4s de suspension pour l'huître plate.
La production de coquillages en 1991 a été de 120 tonnes environ, toutes espèces confondues. Cette production ne représente pas le potentiel de production de la Société, mais dépend essentiellement d'une part des possibilités d'écoulement sur l'étranger, notamment sur le marché européen ; d'autre part, de l'orientation assignée au plan de développement de la Société à l'élevage des poissons.
II- FACTEURS ENTRAVANT LE DÉVELLOPPEMENT DE LA CONCHYLICULTURE AU MAROC
NOMBRE LIMITÉ DE SITES MARITIMES PROTÉGÉS
En dépit de la longueur du littoral national, le nombre de sites protégés est relativement limité. Seules les lagunes maritimes (l en Méditerranée, 3 eu Atlantique) et certaines estuaires sont propices à des activités conchylicoles en milieu protégé.
certes ! la lagune de Nador, avec ses 11.500 ba offre de grandes possibilités; cependant, il faut tenir compte de la compétition pour l'espacc avec les élevages de poissons en cages suspendues, lesquels ont la priorité compte tenu de leur rentabilité économique et du marché.
Dans ce cadre, le développement de la culture offshore, en utilisant des techniques appropriées tel que celle des filières, pourrait résoudre le problème de la limite des sites.
APPARATION FRÉQUENTE DES EAUX COLORÉES DANS CERTAINES ZONES DE LA CÔTRE MEDITERRANÉENNE
L'apparition fréquente des eaux colorées, en l'occurrence les dinoflagellées au large de certaines zones du littoral méditerranéen, principalement dans activités conchylicoles et provoquer l'arrêt de la production durant une période l'année.
A cet effet, une surveillance permanente des eaux colorées s'avère nécessaire, d'ou le programme de mise en place par l'I.S.P.M. au cours de la période 1992–1995 d'un réseau national d'observation en permanence du milieu (R.N.O.), à partir de stations locales d'observation réparties sur le littoral national.
DIFFICULTÉ DE COMMERCIALISATION DUES :
aux difficultés d'écoulement sur l'étranger, notamment sur l'Europe, en particulier à partir du ler janvier 1993, lors de l'institution du marché unique européen.
III- PERSPECTIVES
Développement de la culture extensive de la palourde (Ruditapes decussatus) dans les lagunes et les estuaires, notamment en Atlantique, visant deux objectifs :
amélioration de la condition socio-économique des pêcheurs de coquillages en les intégrant dans des activités de culture de palourdes.
Réalisation d'essais de conchyliculture dans la baie de Dakhla
l'I.S.P.M. entreprend, en collaboration avec la Société MAROST depuis deux ans environ, des études dans la baie de Dakhla (35.000 ha), situé au Sud de la côte atlantique, en vue de lancer des élevages, notamment de coquillages comprenant les moules, les huîtres et la coquille Saint-Jacques.
Prospection de sites pour le développement des élevages offshore
Au cours des années futures, des prospections seront entreprises par l'I.S.P.M. en vue d'identifier des sites propices aux activités aquacoles offshore, et d'y réaliser des essais conchylicoles.
By Mr. Lino D. DEBONO
Presently Malta has no shellfish culture. Mainly this due to the clean and clear seawater which is oligotrophic in nature. Also we do not have the required topological features such as lagoons and bays which are protected from rough weather.
Yet, during the last six years we have made fast steps in the area of finfish culture, breeding, rearing and farming indigenous species such as the seabass (Dicentrarcus labrax) and the gilthead sea bream (Sparus auratus), not to mention various Tilapia spp easily acclimated to saltwater. various experiments are being carried out with the possibility of introducing other mediterranean species.
It is now the intention of the National Aquaculture Center, which is based in fort San Lucian, Marsaxlokk, to introduce the culture of selected mollusc species in the form of polyculture with marine fish which are stocked in sea cages.
In two main considerations here are concerned with selection, namely,…
SELECTION OF SPECIES
From what we have seen in France, and from the various contributions by represented Mediterranean countries, we will be considering the possibility of introducing Ostrea spp., in preference to Mytilus an other species mainly for biological factors, but also on consideration of adaptability to local conditions. In the regard a series of experiments and growth trails have to be carefully planned and executed.
SELECTION OF THE CULTURE SITES
This is the major problem with mariculture. There is little space available which is not in competition with a well-established tourist industry, the main source of income of the Maltese islands. One should also think in terms of agricultural run-offs (especially regarding pesticides and antibiotics). So, the selection of ideal sites is very limited and conchyliculture sites can be established with finfish sea cage units.
Another aspect is the supply of the necessary backup services, especially in the regular and careful monitoring of the various water quality parameters. technical personnel, including University graduates, can be trained in this regard. Malta also offers the possibility of undergraduate and post-graduate research.
Convincing the conservative local fisherman to diversity his activities will also pose a problem, but special training can be offered at the already established school of Fisheries. Convincing the fisherman of widening his activities will obviously be beneficial to him and in general, to the Maltese Economy. We have a ready market but no shellfish culture technology.
Par Mme Marie Abboud Abi SAAD
Le Liban n'a pas la tradition d'élevage des mollusques activité aquacole, à part le pêche, est l'élevage des poissons d'eau douce dans l'amont de quelques rivières.
Données naturelles : la côte libanaise qui s' étend sur 220 km est en majorité rocheuse et le plateau continental est étroit. Les baies sont ouvertes à la mer et on ne note pas la présence des lagunes. Les fleuves qui se jette en mer ont un régime excessif et sont presque à sec à l'étiage.
PERSPECTIVES D'AVENIR
Les conditions économiques améliorées peuvent laisser l'espoir d'entamer des projets d'aquaculture.
Les projets conchylicoles, en l'absence des sites protégés sur la côte, doivent se diriger vers la mer ouverte.
Des études expérimentales doivent précéder l'implantation de tel projet. Le centre de Recherches marines est le seul institut qualifié de réaliser tels essais.
By Mr. Boris GRZETIC
Ladies and Gentleman,
I am Boris Grzetic and I come from Croatia. I am not presenting a general picture of the she B fish culture in Croatia because Mr. Benouii was invited specifically to talk about this topic. But I would like to say a few words from the point of view of the producer because I happen to be the technical manager of the biggest shellfish farm in Croatia.
Previous to the outbreak of the present troubles in our country, out enterprise was responsible for 70 % of the total shellfish production in Croatia. The main activity of my form is detergent production, cosmetics, essential oils, aromatic herms and various natural foods. However in 1985 we initiated our activities of the shellfish industry because we accepted major possibilities for expansion in this sector.
Initially we started our activity in the field by assuming control of a small operation productor about 200 tones of mussels and 500.000 pieces of plat oysters per annum. During the last 6 years we invested ower 9.000.000 D. Marks to improve this production but mostly to develope processing facilities that would enhance the marketing possibilities of our product. we increased our annual production of mussels from 200 T to 1,200 T., and our production of oysters from 500.000 pieces to 2.000.000 pieces. On the other hand we went into the fish farming sector achieving a growth from zero production to 50 T.
But, unfortunately, our luck out as it did for our country. The was that you all know about destroyed all our effects main because our front link between the Croatian forces an the forces of the aggressor happen to the fast through our installations and processing plant.
Nevertheless, we hope to be able to reconstruct all our installations in a relatively short time starting with our cultivating sites. In fact I do not foresee too many problems with the production aspect of our activity but I am already envisaging certain problems with regard to accessibility to European markets.
By Mr. Harun. YILMAZ
Molluscculture is a new aquaculture section in Turkey. Except some experimental studies in Universities, mollusc culture haS recently interested Turkish private sector.
So far, only mussel has been chosen to culture as a mollusc. Only Mytilus galloprovincialis lives in Turkey seas. This mussel species is found in lzmir Northern Aegean Sea, Marmare sea and black sea.
A private company exported first raft from Spain and settled in Kilye hay on coast of Dardanelles which is the channel between Aegean Sea and Marmara Sea. Capacity of the raft was 250 collectors mussels which was transplanted on the collector in May 1991, reached to marketing size in 7–8 months. some collectors was installed at sea for collection. Spats which attacked on the collectors naturally, reached to marketing size in 10 months without handling. Length of collectors was 12 meters and 150 kilos mussel was produced on each collector.
Results of this experiment and analysis on water quality phyloplankton and spat density has showed that Dardanelles coasts are very suitable place for musselculture. So the company started to build new rafts. First raft which has been made by the company settled in the sea in 1992. This raft capacity is 1.000 collectors. Production has been continuing.
But the company wants to change this culture system. long-line culture system is being thought to be more profitable in the area. so we have been trying to collect information about long-line mussel culture system.
Par Mr. Jivko NETCHEV
et par Mr. Ivan LAHNEV
La moule noire de la mer Noire (Mytilus galloprovincialis) est une espèce de masse pour la mer Noire, d'une biomasse approximative sur le littoral bulgare d'environ 300 mille tonnes. Ces dernières années en Bulgaire on fait des efforts d'élevage industriel de cette espèce, au résultat desquels on a créé des technologies et des équipements de culture marine de la moule noire.
La transformation primitive des moules à lieu dans la région de l'élevage des moules. Des ce but, on a projeté et construit un catamaran sur lequel sont montés les équipements technologies. Les moules sont détachées des collecteurs en forme de grappes après qu' elles aient atteint une taille minimale de la coquille de 4 cm, ce qui est la condition conformément à la norme bulgare d'État. La transformation initiale comprend le fractionnement des grappes, le lavage et le triage des moules, avec la séparation des exemplaires hors standard de petites dimensions. Cette transformation est faite de façon mécanique à bord du catamaran, avec une machine importée de la société. «Nicholson and Co» - Suède. La transformation initiale des moules a dernièrement été réalisée avec succès sur une machine bulgare créé à cet effet.
Par la suite, les moules sont transformées à terre, dans des locaux de travail qui correspondent aux exigences technologies et sanitaires en vigueur en Bulgaire, assurant des conditions de travail continue ainsi qu' une hygiène éelevée du processus de production.
D'abord, les moules sont dirigées vers la machine où l'on enlève mécaniquement les byssus en les lavant en même temps. Cette machine est achetée de la société «Franchen» - Hollande. En cas de nécéssité de conservation des moules avant qu'on enlève les byssus, elles sont conservées dans des locaux frigorifiques pour un délai admissible de trois jours à la température de 0°C à 6°C à partir de leur pêche et jusqu; à la température de plus de 6°C.
Les moules, sans hyssus, sont blanchies à la vapeur directe jusqu' à l'ouverture complète des coquillages et l'affermissement de leur chair, à la température de 121°C. On enlève tout de suite, de façon mécanique, la chair de la moule blanchie, ce qui se sur un mécanisme vibratoire, projeté et construite dans ce but en Bulgaire. Ensuite, la chair des moules est traitée à une solution de sel de 1 % pour la rende compacte et elle est dirigée vers les machines de production de conserves ou de produits congelés. Les coquillages sont employés après un broyage comme nourriture des volailles.
En Bulgaire, on a expérimenté avec succès des productions de conserves de moules dans des sauces naturelles et des marinades. On a établi un rapport optimal de conservation de moules dans des chair de moules blanchies et de 30 % de sauce, composée d'huile végétale aromatisée d'extrait naturel et de marinade pour le premier groupe de conserves et de 1 % de solution de sel pour le deuxième groupe On a aussi expérimenté la congélation de chair de moule dans des emballages en carton. La variante de congélation individuelle est optimale et réalise une conservation de l'intégrité de la chair de moule jusqu'à trois mois à une température de conservation de - 20 ° C. On a effectué des expériences sur des congélateurs avec l'emploi de frèon et d'azote liquide. Le moment important du contrôle de la qualité est l'observation des paramètres technologiques qui assurent une intégrité complète et une grosseur acceptable de la chair de moule. Dans ce but, on transforme des moules suivant les dimensions standard de 4 cm adoptées en Bulgarie, un bref blanchissage de 1 ou 2 minutes des moules, une stérilisaton des conserves d'un effet minimal F, une congélation rapide en atteignant la température en profondeur de la chair des moules de - 18°C.
PROBLÈMES FUTURS SUR LA TRANSFORMATION DES MOULES DE LA MER NOIRE
Optimisation de la technologie créée de transformation des moules cultivées de la mer Noire.
Optimisation du conditionnement, du transport des moules et leurs produits.
Mécanisation des processus de transformation des moules la mer Noire, dans lesquels on fait un travail manuel.
Élaboration d'une technologie de transformation de moules de petites dimensions hors standard.
PROPOSITION DE COLLABORATION DANS LE CADRE DE MEDRAP II
Un échange périodique d'information sur le travail des pays-membres de MEDRAP II.
Les informations doivent concerner les problèmes d'élevage de mollusques et on doit le mettre à la disposition des pays participants et de leurs spécialistes intéressés.
Des informations de l'état, du développement, de la mercatique, de la dynamique des prix, les marchés dominants. Spécialisation d'un système pour les produits des aquacultures.
Par Mr. R. POGGI
LE R.N.O. : PROGRAMMES ACTUELS
1- CADRE GÉNÉRAL
Le Réseau National d'Observation de la qualité du milieu (RNO) a été mis en place par le Ministère de l'Environnement avec pour premier objectif l'évaluation des niveaux et des tendances des polluants et des paramètres généraux de la qualité du milieu marin.
Les premiers prélèvements ont débute en juin 1974, et jusqu'en 1978 ont essentiellement porté les eaux marines. Par la suite se sont dévelopés les programmes de surveillance dans les programmes de surveillance dans les matières vivantes et le sédiment. Le progrès des connaissances, et notamment une analyse critique des résultats de la période 1974–1984, a permis d'optimiser les programmes «niveaux et tendances».
Mais cette activité ne peut se concevoir sans une surveillance des effets biologiques de la qualité du milieu. Ce deuxième objectif de surveillance qui vise à vise à évaluer l'état de santé de santé de la flore et de la faune marines par la mesure de la réponse de ces organismes à des perturbations de la qualité du milieu, a été introduit en 1987 dans les programmes du RNO.
L'ensemble des activités du RNO est coordonné par l'IFREMER pour le compte du Ministère de I'Environnement.
2- PROGRAMMES EN COURS
2.1. Surveillance des paramètres généraux de qualité
Cette surveillance ne porte que sur les masses d'eaux. Les paramètres de base sont la température, la salinité, les sels nutritifs nitrate, nitrite, ammonium, phosphate, la chlorophylle et les phéopigments. Sur certains sites, l'oxygène dissous et le silicate sont aussi mesurés. Lors des campagnes INTERSITE (cf. 2.4), de nombreux autres paramètres font l'objet d'investigation.
Ce type de surveillance ne se fait que onze sites:Calais-Dunkerque, baie de Seine, rade de Brest, rade de Lorient, estuaire de la Loire, Gironde, golfe de Fos, étang de Berre, Cortiou, Villefrance sur Mer-Menton et golfe d'Ajaccio. En Manche-Atlantique, cette surveillance ne comporte en général que deux à cinq campagnes par an et uniquement en périodes hivernales et estivale, et le plan d'èchantillonnage s'attache à décrire au mieux l'ensemble de la masse d'eau par des prélèvements répartis sur toute la gamme de salinitié. En Méditerranée, des campagnes un peu plus nombreuses (six à douze par an) porter sur un nombre limité de stations fixes.
Sur la quasi totalité des sites, les Cellules Qualité des Eaux Littorales du Ministère de I'Environnement avec l'appui des Ports Autonomes se chargent de l'organisation des campagnes dont les analyses sont confièes aux laboratoires municipaux ou départementaux correspondants.
2.2. Surveillance des polluants
Compte tenu des difficultés et du coût des analyses de très faible concentration dans l'eau, cette surveillance porte en priorité sur la matière vivante, essentiellement moule et huître. Les polluants suivants sont systématiquement recherchés : mercure (Hg), cadmium (Cd), plomb (Pb), zinc (Zn), cuivre (Cu), polychlorobiphényles (PCB), DDT, DDD, DDE, HCH, lindane (VHCH), hydrocarbures polyaromatiques (PAH). Un peu plus d'une centaine de stations sur 43 sites du littoral sont échantillonnées en général quatre fois par an par les agents IFREMER et les analyses faites au Centre IFREMER DE Nantes. Une partie aliquote des échantillons est systématiquement conservée pour d'éventuels contrôles les ou recherche ultérieure d'autres polluants.
En complément à ce programme principal et pour satisfaire notamment aux obligations de la France, la surveillances des polluants s'effectue aussi, de façon moins systématiques, dans I'eau lors des campagnes INTERSITE (ef,2.4), dans le poisson et dans le sédiment.
2.3. Surveillance des effets biologiques
Aucun programme de surveillance des effets biologiques ne peut être mis en place en place en routine à l'heure actuelle. En effet, cette surveillance peut se faire à différents niveaux d'organisation biologique (communauté, population, individu, cellule,…) et met en oeuvre pour chacun des méthodes spécifiques. Aussi, il n'existe pas, sur le choix des techniques à mettre en oeuvre, de consensus au plan international, hormis la nécessité d'y parvenir' compte tenu de son importance.
L'activité RNO dans ce domaine se limite donc pour l'instant à des études de faisabilité des techniques de surveillance biologique dans le domaine de la physiologie et de la biochimie, menées par les équipes de l'IFREMER.
2.4. Assurance de qualité
Du fait de la réduction des programmes de routine, notamment des polluants dans l'eau, et du nombre de laboratoires partenaires, les programmes d'assurance de qualité du RNO ont aussi été allégés. De 1974 à 70 exercices d'intercalibration et autant de contrôles rosés ont eu lieu.
A partir de 1983, l'essentiel de cette activité s'est déroulé dans le cadre des campagnes INTERSITE, au cours desquelles la qualité des résultats est évaluée à la fois sur des échanges in situ d'échantillons, et par la cohérence globale des résultats acquis pendant la campagne. Quatre campagnes INTERSITE ont été nécessaires pour couvrir le littoral français : Manche Est en 1983, Méditerranée en 1984, golfe de Gascogne en 1985, Bretagne Nord et Sud en 1987. Lors de ces campagnes, de 50 à 100 stations ont été échantillonnées sur une bande côtière de 20 à 30 milles.
Toutefois, l'organisation d'intercalibrations spécifiques au RNO, l'aide aux laboratoires, le suivi des développements méthodologiques restent un thème permanent dans les programmes RNO. La participation aux exercices internationaux de calibration est par exemple systématiquement recherchée.
2.5. Gestion des données - Publications
La mise en pratique du principe de gestion informatisée des donnés conduit à un système qui a fortement évolué depuis l'origine, en parallèle avec le développement de l'outil informatique lui-même, aussi bien matériel que logiciel. Le système RNO actuel se compose d'un Système de Gestion de Base de Données (SGBD) Cconfifuré pour l'archivage du type RNO, associé à un langage d'interrogation adaptable à l'utilisateur, qui peut traiter ensuite les données extraites et transférées sur son propre matériel. Cette conception permet alors la liaison avec d'autres bases de données, par exemple celle des Eaux de Surface, à partir du moment où est constitué un «Dictionnaire des Données» compatible. L'activité compatible. L'activité de gestion des données du RNO est réalisée au Centre IFREMER de Brest.
La publication systématique trimestrielle, semestrielle ou annuelle des données brutes RNO forme de documents édités a été interrompue en 1986 avec le bulletin № 21 (résultats de 1983). L'accessibilité de ces données par voie informatique, ainsi que leur nature propre avaient rendu caduque ce mode de publication. Depuis lors, une plaquette de présentation des dix premières anées de surveillance (1974–1984) et les rapports de résultats des campagnes à la mer INTERSITE I (1983) et INTERSITE II (1984) ont été édités. Toutefois, le besoin d'une information régulière sur l'état des travaux du RNO a été jugé nécessaire et constitute but du présent document, deuxième numéro de celle forme d'édition.
3- TRAVAUX MENÉS EN 1988 ET 1989
3.1. Surveillance des paramètres généraux de qualité
Le tableau 1 exprime le volume des travaux menés pour la surveillance de routine dans l'eau en 1988 et 1989.
Tableau 1 - Surveillance 1988 et 1989 (hydrologie)
| № de façade et site | Nbre de campagnes | Nbre de stations par campagne | Nbre d'échantillons par année | |||
| Hiver | Été | |||||
| 1- | Dunkerque | 2 | 1 | 20 | 60 | |
| 2- | Seine (baie) | 3 | 2 | 10 | 150 | |
| Seine (estuaire) | 6 | dans l'année | 2 | 12 | ||
| Calvados (mer) | 5 | dans l'année | 4 | 40 | ||
| Calvados (estuaire) | 12 | dans l'année | 5 | 60 | ||
| 3- | Brest | 3 | 1 | 30 | 120 | |
| 4- | Lorient | 2 | 2 | 15 | 60 | |
| 5- | Loire | 3 | 2 | 6 | 150 | |
| 6- | Gironde | 2 | 2 | 10 | 120 | |
| 7- | Fos (golfe) | 10 | dans l'année | 5 | 90 | |
| Fos (Rhône) | 12 | dans l'année | 1 | 12 | ||
| Bere | 10 | dans l'année | 2 | 70 | ||
| Cortion | 6 | dans l'année | 4 | 84 | ||
| 8- | Ajaccio | 2 | 1 | 10 | 42 | |
| Nice-Menton | 8 | dans l'année | 5 | 80 | ||
| TOTAL | 97 | 129 | 1.150 | |||
3.2. Surveillance des polluants
Le tableau 2 exprime le volume des travaux menés pour la surveillance de routine des polluants dans la matière vivante.
| Façade | Nombre de stations | Nombre d'échautilions | Espéce | |||
| 1988 | 1989 | 1988 | 1989 | |||
| 1- | Nord-Pas de Calais - Somme | 3 | 6 | 16 | 24 | Moule |
| 4 | 0 | 16 | 0 | Coque | ||
| 2- | Normandie | 14 | 14 | 56 | 60 | Moule |
| 1 | 1 | 25 | 25 | Flet | ||
| 3- | Ouest Cotentin - Bretagne Nord | 7 | 7 | 28 | 28 | Moule |
| 8 | 8 | 32 | 32 | Huîte | ||
| 1 | 1 | 4 | 0 | Coque | ||
| 1 | 0 | 15 | 0 | Plie | ||
| 4- | Bretagne Sud | 5 | 4 | 20 | 16 | Moule |
| 6 | 6 | 24 | 24 | Huître | ||
| 5- | Pays de la Loire - Charentes | 5 | 5 | 20 | 20 | Moule |
| 10 | 10 | 40 | 40 | Huîtr | ||
| 1 | 0 | 15 | 0 | Plie | ||
| 1 | 0 | 15 | 0 | Sole | ||
| 6- | Aquitaine | 10 | 10 | 40 | 40 | Huître |
| 2 | 0 | 30 | 0 | Sole | ||
| 7- | Languedoc | 12 | 12 | 48 | 48 | Moule |
| Provence - rhodanienne | 1 | 0 | 4 | 0 | Sardine et Capelan | |
| 1 | 0 | 4 | 0 | Sole | ||
| 8- | Côte Azur - Corse | 7 | 7 | 28 | 28 | Moule |
| TOTAL | 100 | 91 | 480 | 385 | ||
Tableau 2 - Surveillance 1988 et (matière vivante). Un échantillon se compose de 50 individus de moules ou coques ou de 10 individus d'huîtres analysés ensemble, ou de 25 individus de poussons analysés individuellement (muscle et foie).
Par ailleurs, un programme de surveillance des polluants dans les sédiments a été réalises en 1987–1988 dans une optique plutôt méthodologique. Sur trois sites caractéristiques du littoral, Dunkerque, baie de Seine et golfe de Fos, les résultats d'analyse sur trois fractions granulométriques, totale, inférieure à63 mm et inférieure à 20 mm, vont être comparés. En effet, cette dernière fraction a Été nue dans les programmes de surveillance de RFA et des Pays-Bas, alors que les programmes RNO utilisent plutôt la fraction inférieure à 63mm.
3.3. Surveillance des effets biologiques
Cette activité a débuté en 1987 par une mise au point bibliographique de l'état des connaissances sur le sujet pour orienter la définition d'études de faisabilité de techniques existantes. De telles études, initiées en 1988, se sont poursuivies en 1989. Mais dés 1990, des recommandations de techniques appliquées à la surveillance d'effets biologiques doivent être incorporées aux programmes de sur-es veillance de la North Sea Task Force (NSTF) sur proposition des différents pays, et donc au RNO qui y participe. Les groupes zoo logiques concernés sont la macrofaune benthique, les larves d'huîtres, les poissons, tels que définis dans l'annexe 6 du rapport de la quinzième réunion du Groupe Conjoint de Contrôle et de Surveillance Continus (GCCSC) qui s'est tenu à Lisbonne du 23 au 26 janvier 1990.
3.4. Assurance de qualité
Deux exercices d'intercomparaison ont été organisés par l'équipe Chimie des Cycles Naturels (CCN) du Centre IFREMER de Brest en 1989 pour le RNO :
- le premier exercice a été réalisé sur échantillons d'eau de mer stabilisée naturellement ou par autoclavage pour les paramètres de qualité du milieu : salinité, orthophosphate et nitrate. Onze laboratoires y ont participé. Cet exercice a montré que l'effort devait être maintenu quant à l'application de bonnes pratiques de laboratoires : contrôle des blancs, étalonnages corrects, élimination des sources de contamination;
- le second exercice, effectué sur le sédiment de la rade de Brest, a concerné l'analyse des PCB par congénères. Six laboratoires y ont participé : laboratoires municipaux de Bordeaux, Brest, Marseille, Rouen, Centre IFREMER de Brest et le MAFF (Ministry of Agriculture, Fisheries and Food - GB) de Burnbam-on-Crouch. Cet exercice a démonté des laboratoires participants à mesurer les congénères de PCB avec une précision acceptable. Parmi les mesures susceptibles d'améliorer la qualité des analyses des PCB dans les sèdiments figurent l'optimisation des conditions instrumentales et le soin à porter à la purification des extraits, notamment lorsque les composés à mesurer sont très faiblement présents.
Un exercice international d'intercomparaison sur les sels nutritifs, parrainé par le Conseil International pour l'Exploration de la Mer (CIEM), auquel 70 laboratories ont participé, a utilisé la méthode mise au point par l'équipe CCN qui a été chargée de la préparation et d'une partie de l'organisation de cette intercomparaison.
Onze sites de surveillance dans l'eau ont fait l'objet d'une visite technique en 1988 (Dunkerque, rade de Lorient, rade de Brest) et 1989 (estuaire de la Loire, estuaire de la Gironde, golfe d'Ajaccio, étang de Berre, baie de Marseille, golfe de Fos, baie de Seine, estuaire de la Seine). Ces visites comprennent la participation à la sortie en mer et la visite des laboratoires participants. Elle sont l'occasion d'échanges sur les méthodes et les résultats généralement très fructueux. Ces visites ont fait apparaître la nécessité d'améliorer les conditions de conservation et de transfert des échantillons qui peuvent influer sur l'évolution à court terme des concentrations en sels nutritifs.
Afin de valider les analyses qu'il fait pour le RNO dans la matière vivante, le laboratoire Milieu et Ressources du Centre IFREMER de Nantes utilise systématiquement des échantillons certifiés, et a participé au niveau international à neuf intercomparaisons en 1988 et 1989.
3.5. Gestion des données - Publication
Les données RNO sont traitées sur l'ordinateur Bull DPS 7000 du Centre IFREMER de Brest. Le système d'exploitation GCOS 7 utilise la base IDS 2 avec le langage d'interrogation IQS. Le systè me est pleinement opérationnel depuis 1989. En collaboration avec une société de service en ingénierie informatique, un important effort de développement a été entrepris en 1989 pour automatiser les traitements statistiques et cartographiques répétitifs. La fourniture de données aux différent partenaires privés ou publics a repris normalement.
En matière de publication, les années 1988 et 1989 ont vu l'édition de la synthèse des résultats de dix années de surveillance 1974–1984 (4 volumes). la parution de l'édition 1988 des résultats du RNO dans sa nouvelle forme, la présentation des résultats de l'intercalibration RNO 1989 sur la salinité, le phosphate et le nitrate, ainsi qu'une publication dans une revue internationale (CLAISSE D,. 1989 - Chemical contamination of French Coast ; The results of a ten years mussel watch. Marine Pollution Bulletin, volume 20, № 10, pp. 523–528. 1989. Printed in Great Britain).
REPHY ; LE RÉSEAU DE SUIVI PHYTOPLACTONIQUE EN FRANCE
La surveillance des perturbations d'origine phytoplanctonique est effectuée en France depuis 1984 á l'aide d'un réseau de suivi et d'alerte. Ce réseau a été mis en place par l'Institut Français pour la Recherche et l'Exploitation de la Mer (IFREMER) à la suite d'importants développement du dinoflagellé Dinophysis, qui avaient provoqué en 1983 et 1984, de nombreuses intoxications chez les consommateurs de coquillages (Barthomé et Lassus, 1985).
Le réseau REPHY a pour triple objectif:
de collecter des données sur les populations phytoplanctoniques en France afin d'acquérir des séries temporelles permettant d'en étudier l'évolution et de suivre au plus prés les perturbations de type eaux colorées, blooms, etc…,
de détecter et de suivre l'apparition d'espècs toxiques pour l'homme afin de proposer á l'Administration les mesures susceptibles d'en limiter au maximum les conséquences;
de détecter et de suivre le développement d'espèces toxiques pour les animaux marins.
REPHY est constitue de 110 stations de prélèvements, dont:
37 points de suivi sur lesquels sont effectués des prélèvements systématiquement toute l'année;
73 points d'alerte qui s'ajoutent éventuellement aux points de suivi en cas d'apparition d'une espèce toxique.
Ces points sont répartis tout le long des littoraux atlantique et méditerranéen (Fig. 1 et Fig.2).
1- LES POINTS DE SUIVI
Ce sont des points régulièrement répartis sur tout le littoral et qui ont été juges relativement représentatifs d'une zone.
Des prélèvements d'eau y sont effectués tout le long de l'année, selon la saison : en moyenne deux fois par mois de septembre à avril, une fois par semaine de mai à août.
Les prélèvements d'eau sont effectués en surface ou subsurface, et les observations sont faites sur des èchantillons vivants et fixes (2,5 ml 1–1 de lugol plus éventuellement 2ml 1–1 de formol) qui sont examines au microscope inversé, sur cuve de 10 ou 25 cm3, selon la méthode d'UTERMÖHL, (1958).
Un dénombrement systématique de toutes les espèces phytoplanctoniques présentes est obligatoirement effectué deux fois mois. En été, les observations sur les échantillons supplémentaires se limitent aux espèces toxiques.
2- LES POINTS D'ALERTE
Ces points ne sont échantillonnés que s'il y a présence d'une espèce toxique sur un point de suivi proche, ou bien systématiquement à partir d'avril – mai si la zone est telle espèce.
La fréquence des prélèvements sur les points d'alerte est hebdomadaire. Ces prélèvements sont constitués d'échantillons d'eau et de coquillages, sur lesquels sont effecteées les analyses suivantes ;
échantillons d'eau : dénombrement des espèces phytoplanctoniques toxiques ou l'être;
échantillons de coquillages :
- en cas de présence d'une espèce toxique productrice de toxine DSP : test-souris sur un extrait d'hépatopancréas des coquillages (méthode adaptée de Yasumoto), avec un seuil égal à 5 heures (Marcaillon - Le Baut et al., 1985). Si le temps de survie des souris est compris entre 5 et 24 heures, le test est considéré comme négatif, mais avec suspicion de toxicité;
- en cas de présence d'une espèce productrice de toxine PSP : test-souris selon la méthode Association of Official Analytical Chemists (A.O.A.C., 1984).
Le système d'alerte est déclenché suivant un processus qui implique des relations étroites avec l'Administration prend des mesures officielles d'interdiction de commercialisation des coquillages provenant du secteur incriminé. L'interdiction est levée près deux tests-souris négatifs successifs.
BIBLIOGRAPHIE
• ASSOCIATION OF OFFICIAL ANALYTICAL, CHEMIST (A.O.A.C.) - 1984
Procedure 18.086 – 18.092 in : Official Methods of Analysis, 14 th ed.
• BERTHOME, J.P. - LASSUS, P. - 1985
French status of shellfish monitoring with regard to toxic Dinoflagellates contaminations
Coll. fr. japon. Océanogr. - Marseille - 16–21 sept. 1985, 2 pp. 37–50
• MARCAILLOU - LE BAUT C. - LUCAS, D. - LE DEAN, L. - 1985
Dynophysis acuminata toxin : status of toxicity bioassays in France
Toxic Dinoflagellates - Anderson - White and Baden Eds. Elsevier - pp.485–488.
• UTERMÖLH, H. - 1958
Zur Vendlhommung der quantitativen phytoplankton
Methodik. Int. FVer. Theoret. Argeur. Limmol., 9 : pp. 1–38

Figure 1 - Points de suivi

Figure 2 - Points de suivi et d'alerte

Figure 3 - Relations entre IFREMER et l'Administration en cas de toxicité DSP ou PSP
LE RÉSEAU DE SURVEILLANCE MICROBIOLOGIQUE DU LITTORAL FRANCAIS (REMI)
Al'approche du marché unique européen, chaque pays membre a l'obligation de définir ses zones conchylicoles et d'en assurer la qualité. Cet engagement implique d'établir un bilan de l'état de l'environnement dans les zones de production.
La RNO (Réseau National d'Observation) suit depuis 1974 les niveaux de contamination chimique du milieu littoral; le réseau phytoplancton (REPHY) renforçant la surveillance lors d'efflorescences toxiques.
Le réseau microbiologique a été structuré afin de compléter les connaissances, qualitatives et quantitatives sur le milieu marin, apportées par ces deux réseaux.
Le réseau microbiologique est scindé et le réseau d'intervention.
1- RÉSEAU DE SURVEILLANCE (Figure 1)
Objectif
Le but est environnemental, il s'agit d'évaluer les niveaux et les tendances de la contamination
bactériologique du milieu mesurée à travers des coquillages prix comme intégrateurs.
Indicateurs
Coliformes totaux et coliformes fécaux
Zones concernées
Le littoral français a été découpé en 119 bassins hydrologiques. Le réseau du surveillance
est développé dans 74 d'entre eux.
Fréquence
Mensuelle
Nombre de points de surveillance
Une couverture minimum de 2 points a été affectée dans chacun des 74 bassins hydrologiques
surveillés. De plus, l'effort de surveillance a été accentué dans les bassins hydrologiques
(ou partie de ceux-ci) correspondant à des secteurs de production de coquillages. Il
a é té réparti proportionnellement à un indice de risque intégrant la contamination bactériologique
enregistrée en 1986 et la production locale.
Le nombre de points par bassin varie entre 2 et 13, Ceux-ci sont positionnés de façon équidistante
sur la zone d'étude échantillonnage systématique).
A ce jour, la couverture du littoral français est de 345 stations de prélèvements.
II- RÉSEAU D'INTERVENTION (Figure 2)
Objectif
Protection du consommateur
Indicateurs
Coliformes, coliformes fécaux, salmonelles
Zones concernées
Seuls les zones d'élevage conchylicole ayant des activités de commercialisation sont
concernées : 53 sites hydrologiques sont surveillés en intervention parmi les 74 secteurs du
réseau de surveillance.
Fréquence
La fréquence minimum est hebdomadaire en périodes sensible caractérisées par des conditions
métérologiques particulières, certaines pratiques agricoles, de faible coefficients de
marée ou mauvais résultats analytiques obtenus par le réseau de surveillance ou d'autres
sources de contrôle.
Nombre de points à échantillonner
Le nombre de stations est de 278 tous secteurs confondus. Le nombre de points par bassin
varie entre 1 et 19. Ils sont placés, à partir des sources de contamination connues, suivant
un gradient décroissant de pollution intégrant les phénomènes de dilution.
La mise en place du réseau microbiologique a débute an avril 1989. Il est, à ce jour (février 1991), effectif sur la quasi totalité des secteurs désignés.





- Contamination relative des huîtres selon qu'elles sortent des parcs ou qu'elles ont été dégorgées
(exprimée par les courbes de fréquence cumulée).

- Contamination des huîtres dégorgées dans une eau décantée
comparée à celle des huîtres laissées en dépôt en zone décourante
(exprimée par les courbes de fréquence cumulée).

- Variations mensuelles des pluies (•), de la Salinité (*) et des coliformes fécaux (•)
| Lieux des prélèvements | Nomber de coliformes fécaux/100 ml de chair de coquillage | |
| Aussitöt après leprélèvement | Après un séjour de 3 jours dans un dégorgeoir | |
| Point C1 | 138 | 22 |
| Point C2 | 55 | 55 |
| Point C3 | 90 | 55 |
| Point C4 | 258 | <18 |
| Point C5 | 558 | 55 |
| Point C6 | 22 | <18 |
| Point D1 | 558 | 22 |
| Point D2 | 90 | <18 |
| Point D3 | 44 | 22 |
| Point D4 | 44 | <18 |
| Point D5 | 22 | 22 |
| Point D6 | 22 | <18 |
Dégorgeoirs des 4 secteurs
| Nombre de coliformes fécaux dans 100 ml de chair de coquillage | Nombre de de résultats (467) | pourcentages | pourcentages cumulés |
| >1000 | 16 | 3.43 | 343 |
| 1001–3000 | 12 | 2,56 | 5.99 |
| 301–1000 | 8 | 1,72 | 7,71 |
| 31–300 | 118 | 25.27 | 32,98 |
| <10 | 313 | 67.02 | 100 |
| Nombre de coliformes fécaux dans 100 ml de chair de coquillage | Numbrede | Pourcentages | Pourcentages cumulés |
| >1000 | 32 | 7,18 | 7,18 |
| 1001–3000 | 31 | 6,95 | 14,13 |
| 301–1000 | 42 | 9,42 | 23,55 |
| 31–300 | 191 | 42,82 | 66,37 |
| <10 | 150 | 33,63 | 100 |
- Amélioration de la qualité bacteriologique des coquillages par passage en bassin dégorgeoir