By P.Y.HAMON & H. TOURNIER
INTRODUCTION
Centre conchylicole le plus ancien et le plus important du sud de la France, l'étang de Thau, d'après les statistiques officielles, produit à lui seul 12 % de la production nationale d'huîtres et de moules La connaissance précise de la biomasse en élevage et de ses fluctuations est essentielle pour comprendre la variation de la production, de la croissance et de la qualité des coquillages. Cette connaissance est aussi primordiale pour évaluer l'impact des cultures sur le milieu.
Depuis 1979 le laboratoire de Ressources Aquacoles de Sète s'est attaché, chaque année, à évaluer les stocks de mollusques en élevage. Ces observations ont déjà fait l'objet de publications (HAMON et TOURNIER - 1981 et 1984).
Rappelons que l'année 1979 a été une année de mise au point des méthodes, et que les données de 1982 et 1983 sont partielles, des malaïgues locales ayant empêché d'effectuer toutes les observations nécessaires.
Le présent rapport fourni à un double but :
I - RAPPEL DES CONDITIONS D'ÉLEVAGE DANS L'ÉTANG DE THAU
L'ensemble de la surface exploitée pour la culture des coquillages en suspension sur table se répartit en trois zones appelées A, B, C (Fig. 1). Les surfaces présentées par la figure 1 sont le résultat d'un plan de remembrement décidé en 1966, dont la réalisation, commencé e en 1970, est en cours d'achèvement.
L'unité de production est la «table» qui mesure 50 m sur 12 m. Elle est constituée de trois rangs de onze rails plantés verticalement dans le sédiment et dépassant la surface de l'eau d'environ 1,80 m. Le sommet des rails de chaque rangée est relié longitudinalement par des madriers formant trois lignes continues de 50 m. Enfin, 51 barres transversales, appelées localement «perches», d'environ douze mètres, forment le dessus de la table; elles permettent de suspendre les cordes, éléments qui portent directement les animaux à élever.
Pour notre étude, il est nécessaire de définir ce que les conchyliculteurs appellent un «carré» : c'est la fraction de table définie par quatre rails et cinq «perches», c'est-à-dire cinq demi-barres transversales. Une table comporte ainsi vingt carrés (Fig. 1).

Figure 1 - Situation des trois zones conchylicoles de Thau et plan d'une table
L'ensemble de la zone conchylicole occupe sensiblement 1/5 de la surface de l'étang. La surface concédée est égale à 352 hectares et la surface des tables, surface effectivement cultivées, atteint à peu près 150 ha. La tableau l donne la répartition des surfaces exploitées par zone.
| Zone A | Zone B | Zone C | Total | |
| Surf. des attribuées | 159,75 | 101,37 | 77,62 | 339 |
| concessions attribuables (ha) | 160 | 106 | 86 | 352 |
| Surf. totale des zones, couloirs compris | 550 | 460 | 314 | 1.324 |
| Nbre de tables réalisées | ||||
| en 1980 | 976 | 573 | 536 | 2.085 |
| en 1987 | 1.211 | 758 | 579 | 2.548 |
| prévues | 1.280 | 848 | 688 | 2.816 |
| Distance d'entrée des eaux marines (km) | 4 | 8 | 11 |
Tableau 1 - Données générales sur les trois zones conchylicoles en 1987
On cultive la moule (Mytilus galloprovincialis) ainsi que les huîtres (Ostrea edulis et Crassostrea gigas) selon la technique de l'élevage en suspension; les supports d'élevage des huîtres et des moules sont variés et ont été détails par HAMON et TOURNIER (1981).
Depuis 1981, certaines modifications ont été observées dans les techniques de culture :
disparition quasi totale du collage d'huîtres sur barre;
augmentation régulière de l'utilisation du collage d'huîtres sur fil;
remplacement progressif de la culture en «pigne» sur fil de fer par un système moins onéreux désigné localement par le terme de «torons».
II - MÉTHODE D'ÉTUDE DES STOCKS UTILISÉE DE 1980 À 1987
La prospection jusqu'à présent ne s'est effectuée qu'en période estivale, époque durant laquelle les tables sont au maximum de leur charge annuelle. Les observations sont faites, d'une part de la surface, d'autre part en plongée.
En surface, elles consistent à compter le nombre de cordes suspendues sur les tables, ce qui donne un aperçu sur leur niveau d'exploitation.
2.1. Paramètre étudiés depuis la surface
Le nombre de cordes suspendues varie d'une table à l'autre, chaque exploitant chargeant sa concession selon son gré. Sachant qu'une table compte 100 perches (50 travers), toutes chargées de la même manière, l'appréciation de la charge totale peut se faire par simple comptage du nombre de cordes fixées sur une seule perche. La première variable retenue pour cette étude est donc le «nombre de cordes par perche.»
Le mode de culture employé et les impératifs commerciaux font que les tables ne sont pas à pleine charge toute l'année.
Jusqu'en 1982–1983 la principale période de vente se situait aux environs de Noël pour les huîtres et en septembre–octobre pour les moules.
Depuis 1983–1984 on assiste à une profonde modification du plan d'utilisation des tables, les professionnels abandonnant la moule au profit de l'huître. Simultanément cette dernière est vendue maintenant tout au long de l'année. Il reste cependant que la période de plus forte demande se situe toujours aux environs des fêtes de fin d'année.
De cette évolution, il résulte qu'une partie des parcs se trouve périodiquement démunie de coquillages. Ceci se produit généralement lorsqu'il existe une pénurie en naissain, ou lorsque les produits commercialisables ont été vendus et non immédiatement remplacés. La configuration des tables et le mode d'exploitation permettent d'estimer facilement ces vides : les rails et les traverses délimitent pour chaque table vingt «carrés» de 5 m sur 5 m considérés généralement comme «unités de gestion»; les parqueurs parlent couramment de «cinq carrés en moules» ou «trois carrés en huîtres»; les vides correspondent aussi le plus souvent à un nombre entier de carrés.
La deuxième variable étudiée est donc le «nombre de carré vides par table» qui permet, connaissant le nombre de cordes par perche, de déduire le «nombre réel de cordes par table» par l'expression :
nombre réel de cordes par table = 100.X - 5.X.N où :
X = nombre de cordes par perche;N = nombre de carrés vides;
5 = nombre de perches par carré, et 100 = nombre de perches par table
Enfin, le comptage des cordes et des carrés vides ne pouvant se faire sur les quelques 2,500 tables de la zone conchylicole, le nombre de tables à examiner a été déterminé par enquête préalable. Il est nécessaire d'observer une centaine de tables dans chaque zone pour obtenir des résultats avec 5% d'imprécision.
2.2. Paramètres étudiés par plongée
Jusqu'en 1979, on admettait généralement que les zones B et C avaient une vocation essentiellement ostréicole alors que la zone A produisait en quantité à peu près équivalente huîtres et moules. On admettait aussi que la production mytilicole cumulée des zones B et C était comparable à celle de la zone A. Aucune certitude n'étayait ces assertions : seules les statistiques officielles (établies à partir des ventes d'étiquettes sanitaires obligatoirement apposées sur les colis de coquillages) fournissaient une indication sur l'importance du stock commercialisé mais non sur la biomasse en suspension dans l'étang in situ s'avérait donc nécessaire.
Les trois paramètres précédemment définis (nombre de cordes par perche, nombre de carrés vides par table, nombre réel de corde par table) étudiés depuis 1.979 donnent une bonne représentation de la façon d'exploiter un parc, mais ne fournissent aucun renseignement sur la nature du matériel biologique en suspension sous les tables. C'est pourquoi, après avoir recherché vainement une autre méthode plus facile à mettre en oeuvre, l'inventaire des catégories de mollusques présents sous les tables s'est fait par plongée. Les observation ont été reportées pour chaque table examinée sur des fiches comportant treize paramètres (Table. 2)
Il est nécessaire de distinguer les divers types de culture, chacun ayant une incidence biologique et commerciale bien spécifique. Ainsi, une barre à huîtres et une tringle d'huîtres en pignes ne représentent pas du tout le même nombre d'individus; une corde de naissain de moule ne pèse pas autant qu'une corde commerciale et on conçoit que l'étude de toutes ces variables soit nécessaire à l'estimation pondérale de la biomasse en suspension, d'autant plus que la majorité des tables n'est pas exploitée en monoculture. On a donc été amené, suivant le type de culture, les coquillages et leur taille, à distinguer onze catégories différentes (Table.2)
| DATE : | 1 | 2 | 3 | 4 | 5 | 6 | 7 | 8 | 9 | 0 |
| CODE PARQUEUR : | ||||||||||
| FICHE № 26 | 1 | 2 | 3 | 4 | 5 | 6 | 7 | 8 | 9 | 0 |
| MOULES | Creuses | HUÎTRES | Plates | |||||||||||
| Prof | Nb cordes | Nb carrés vides | Naissain | 1/2 | com | long/C | Naissain | Collées | Fil | Toron | Pigne | Pochon | Naissain | Collées |
Tableau 2 - Fiche d'observations par plongée

Carte 1 Bathymétrie de la zone A

Carte 2: Bathymétrie des zones Bet C
En 1987 et 1988, les mêmes paramètres ont été conservés.En revanche, nous avons, pour les huîtres, distingué le naissain, les individus de petites tailles et les catégories commerciale. De plus, nous avons, pour chaque table étudiée, noté le type de coquillage et de culture par carré. Ces renseignements doivent nous permettre de mieux connaître le temps de culture et les rotations par catégorie au cours d'une année.
La bathymétrie joue aussi un rôle important: la longueur des cordes, donc la quantité de marchandise en suspension, varie avec la profondeur d'eau sous le pare. Pour tenir compte de ce fait, dés 1979, les zones conchylicoles ont été découpées en trois secteur bathymétriques ainsi définis: le premier secteur va de la première ligne de tables la plus proche de la terre jusqu'à 5 m de fond; le deuxième secteur est délimité par les isobathes de 5 et 7 m; le troisième secteur comprend les profondeurs supérieures à 7 m (carte 1 et 2). Ces cartes sont le résultat de travaux effectués par H. TOURNIER et P.Y. HAMON en 1978.
III - PLAN D'ÉCHANTILLONNAGE
Les observations effectuées en 1979 et 1980 (HAMON-TOURNIER-1981) ont montré qu'il était nécessaire d'échantillonner 5 % des tables dans chaque zone pour obtenir des résultats fiables. La méthode utilisée a été l'échantillonnage au hasard avec allocation proportionnelle en fonction de la bathymétrie. Chaque table ainsi désignée a été étudiée exhaustivement.
3.1 Méthode d'évaluation des stocks
Dans un premier temps, en 1980 (HAMON et TOURNIER - 1981), nous avions utilisé une formule qui fourinssait des fourchettes d'estimation suffisamment larges pour nous permettre d'affirmer que la biomasse réelle se trouvait effectivement comprise entre les limites calculées.
Après cinq d'expérience, nous avons préféré utiliser une deuxième méthode qui fait appel à des équations statistiques classiques (SNEDECOR - 1946). Seules des modification d'indices ont été apportées pour les adapter aux conditions de notre étude: on s'adresse à un nombre k de strates (3 dans le modèle que nous avons utilisé). Dans la strate k, on connaît le nombre total de tables Nk. l'échantillon est de taille nk. Nous avons d'autre part j catégories de coquillages.
Pour la table i de l'échantillon dans la strate k et pour la catégorie j le nombre de cordes observé est Xi, j, k.
Le nombre rées de cordes pour la catégorie j dans la strate k est Tj, k, l'estimation de sa variance Vj, k.
Le poids moyen de coquillages par corde pour la catégorie j est estimé par Pj, k. Sa variance est estimée par Uj, k.
Estimation pour une strate et une catégorie
L'estimation du nombre moyen de cordes par table pour la catégorie j et la strate k est donnée par:
Xj, k, = 1/nk ∑ (Xi, j, k)
d'où: tj, k = N k Xj, k = nombre total de cordes par strate et par catégorie.
La variante du nombre de cordes par table dans la catégorie j est estimée par:

La variance de l'estimation tj, k du total Tj, k de cordes de la catégorie k dans la strate k est estimée par:
Vj, k = N2 k (S2j, k/nk)
L'estimation de la biomasse Bj, k de la catégorie j de la strate k sera:
Bj, k = tj, k. Pj, k.
avec une variance égale à:
Var (tj, k) Var (Pj, k)+Var (tj, k) E2 (Pj, k)+E2(tj, k) Var (Pj, k)
(E2 représente le carré de «l'espérance mathématique» ou «moyenne»)
estimée par: σ = S2j, k Uj, k + S2j, k P2j, k + t2j, k Uj, k
3.2 Estimation totale d'une zone pour une catégorie
L'estimation de la biomasse est Bj, k ± 1,6 σ. On effectue les estimations pour les trois strates bathymétriques et on somme les estimations et les variances.
La biomasse de l'ensemble des zones conchylicoles dans l'étang est la somme des biomasses des trois zones A, B et C, mais précisons que, pour les huit années, le nombre total de tables a été considéré comme constant et égal à 2.085. En réalité, la réorganisation des pares, débutée en 69, se poursuivant, et le nombre de tables a augmenté de prés de 500 unités de 500 unités de 1980 à 1987.
Le fait de ne pas utiliser dans les calculs le nombre de tables total prévu en fin de remembrement et de ne pas tenir compte des tables anciennes destinées à disparaître, mais seulement du nombre de tables neuves plantées en 1980, introduit une certaine sous-estimation des résultats qu'il nous a semblé bonne d'admettre au niveau atteint actuellement dans notre recherche pour avoir des valeurs plus facilement comparables entre elles d'une année à l'autre. En fin d'étude, nous donnerons la biomasse totale en fonction du nombre exact de tables neuves présentes dans l'étang en 1987.
IV - RÉSULTATS
4.1 Résultats obtenus à partir de la surface
Le nombre de cordes par table a été assez fluctuant jusqu'en 1984, période à partir de laquelle il s'est stabilisé.
On admet généralement que pour obtenir une croissance et un engraissement satisfaisants des conquillages, une table ne doit pas supporter plus d'un millier de cordes. Cette appréciation, en réalité, n'es pas justifiée. En effet, si le nombre de cordes suspendues importe dans le chargement d'un pare, la longueur et la nature de ces éléments supportant le coquillage a tout autan d'importance.
Par exemple, dans le passé, les huîtres étaient collées sur des barres de 1,5 à 2 m à raison de 80 individus par barre; à l'heure actuelle, le collage se fait beaucoup plus sur des fils pouvant supporter parfois jusqu'à 180 individus. Une augmentation s'observe aussi dans l'élevage du naissain en «torons» qui remplace peu à peu l'élevage sur tringle.
Si une réglementation de la charge des tables devait un jour être mise en place, il faudrait ainsi fixer un nombre maximal de cordes par perche pour chaque type de culture et peut-être pour chaque zone bathymétrique. De 1980 à 1987, sur 70 % des tables, le nombre de cordes par perche variait de 9 à 14. Ce nombre s'élevait à 21 pour une minorité de tables (2 à 3 %) extrêmement chargées, montrant la vraisemblance d'une surcharge de certaines exploitations qui peut porter préjudice aux tables avoisinantes.
Quant à la façon d'utiliser la surface cultivable, elle n'a pas évoluée de la même manière dans les trois zones conchylicoles (Fig. 2): en zone A, on assiste à une augmentation presque constante du nombre de cordes par perche qui passe en moyenne de 10,6 en 1980 à 11,4 en 1983. En 1984, l'abaissement enregistré est très faible; ce nombre s'est stabilisé depuis à 11. En zones B et C, l'évolution est plus fluctuante : jusqu'en 1982, une légère augmentation s'observe en zone C et plus nettement en zone B, ensuite un abaissement aux environs de 10,4 se produit pour les deux sites, l'écart étant alors, en 1984, le plus marqué entre ces deux zones et la zone A. Cette différence entre zones s'est maintenue jusqu'en 1987.
L'évolution du nombre de carrés vides par table et du nombre réel de cordes par table, correspondant à des résultats intermédiaries, ne sera pas commentée ici.
Les résultats sont légèrement différents lorsque l'on utillise les données obtenues par plongée. L'écart est de l'ordre de 1 corde par perche. Ceci est à mettre en relation avec le nombre différent de tables échantillonnées depuis la surface (100 par zone) et en plongée (40 au maximum par zone).

Figure 2 - Évolution du nombre de corde par perche dans chacune des trois zones conchylicoles
Le tableau 3 donne le nombre de cordes par table obtenu à partir des observations effectuées en plongée.
Tableau 3- Nombre total de cordes par table
| Zone | A | B | C | Moyenne |
| 1980 | 841,4 | 844 | 918 | 867 |
| 1981 | 1 026 | 940 | 989,6 | 985,2 |
| 1983 | 809,9 | 968,9 | ||
| 1984 | 1 014,3 | 959,6 | 980,4 | 984,7 |
| 1985 | 860,2 | 946,6 | 927,6 | 911,5 |
| 1986 | 1 002,8 | 947,7 | 965 | 971,8 |
| 1987 | 1 061 | 894,8 | 1.041 | 998,9 |
| Moyenne | 992,8 | 906 | 956,6 |
4.2. Résultats obtenus par plongée
An cours de la période étudiée, des «malaïgues» (accident distrophiques) plus ou moins importantes ont localement décimé les cultures. Ces accidents se produisent pendant la période chaude, époque de nos observations, et l'importance des mortalités enregistrées en zone A en 1982 et 1983 et en zone B en 1982 nous a empêché s'y pratiquer les relevés prévus de certaines données. C'est pourquoi les biomasses correspondantes n'ont pas put être estimées et des interpolations figurent dans les graphiques.
4.2.1. Nombre moyen de cordes en moules et en huîtres par table (Tableaux 4 à 9)
Tableau 4 - Zone A - Huîtres
Les catégories de 1 à 8 sont expliquèes dans les graphiques présentés en annexe.
| 1 | 2 | 3 | 4 | 5 | 6 | 7 | 8 | Tot. | |
| 1980 | 0 | 63,7 | 53,24 | 6,3 | 291 | 0,6 | 0 | 27,4 | 442 |
| 1981 | 24 | 66,3 | 88,1 | 4 | 425 | 5,25 | 3 | 27,8 | 641 |
| 1982 | |||||||||
| 1983 | |||||||||
| 1984 | 2,9 | 29,9 | 245,6 | 5,3 | 396,3 | 8,8 | 0 | 56,7 | 45,5 |
| 1985 | 14,6 | 6,1 | 302,8 | 0 | 285,2 | 16 | 0 | 57,4 | 682,1 |
| 1986 | 12,2 | 4,3 | 197.6 | 0 | 647,4 | 10,6 | 0 | 5,7 | 887,8 |
| 1987 | 199,2 | 22 | 400 | 0 | 257,7 | 14,9 | 11,2 | 13,4 | 918,3 |
Tableau 5 - Zone A - Moules
| N | ½ | C | Tot. | |
| 1980 | 26,6 | 93,1 | 279 | 399,4 |
| 1981 | 24,9 | 132,3 | 227,9 | 385 |
| 1982 | ||||
| 1983 | ||||
| 1984 | 9,5 | 37,3 | 222 | 268,8 |
| 1985 | 2,9 | 20 | 155,2 | 178,1 |
| 1986 | 11,9 | 39,6 | 63,5 | 115 |
| 1987 | 0 | 25,7 | 117 | 142,7 |
Tableau 6 - Zone B - Huîtres
| 1 | 2 | 3 | 4 | 5 | 6 | 7 | 8 | Tot. | |
| 1980 | 3,9 | 30,5 | 146,5 | 8,9 | 352 | 23,3 | 0 | 9,8 | 574 |
| 1981 | 40,1 | 92,8 | 47 | 16,6 | 592 | 1 | 0 | 3,7 | 793 |
| 1982 | |||||||||
| 1983 | 12,5 | 10,5 | 177,2 | 3,7 | 375,2 | 33 | 0 | 38,3 | 650 |
| 1984 | 0 | 0 | 228,9 | 4,6 | 510 | 14,3 | 3 | 87,6 | 848 |
| 1985 | 10,6 | 21,6 | 214,8 | 0 | 540,8 | 23,4 | 0 | 77,3 | 888,5 |
| 1986 | 38,2 | 5,4 | 327,8 | 0 | 505 | 10,7 | 0 | 0 | 887,1 |
| 1987 | 159,3 | 0 | 348,2 | 0 | 256,5 | 30,2 | 3,3 | 7,9 | 805,4 |
Tableau 7 - Zone B - Moules
| N | ½ | C | Tot. | |
| 1980 | 19 | 96,1 | 155 | 270 |
| 1981 | 12 | 52,5 | 82,5 | 147 |
| 1982 | ||||
| 1983 | 15 | 87,6 | 57,3 | 159,9 |
| 1984 | 11,6 | 62,8 | 37,2 | 111,6 |
| 1985 | 2 | 22,7 | 33,4 | 58,1 |
| 1986 | 12,5 | 6,4 | 41,8 | 60,6 |
| 1987 | 1,6 | 45,3 | 42,9 | 89,8 |
Tableau 8 - Zone C - Huîtres
| 1 | 2 | 3 | 4 | 5 | 6 | 7 | 8 | Tot. | |
| 1980 | 48,9 | 50 | 91 | 55 | 472 | 13,5 | 0 | 85,3 | 815 |
| 1981 | 96 | 96,3 | 337,6 | 75,3 | 394,1 | 0,8 | 0 | 0 | 940 |
| 1982 | 26,7 | 16 | 226,1 | 39,2 | 281 | 3,6 | 0 | 88 | 680 |
| 1983 | 0 | 10,7 | 30,7 | 0 | 594 | 3,4 | 4,2 | 125,3 | 768,3 |
| 1984 | 0 | 7,5 | 65 | 3 | 648,6 | 9 | 1,9 | 101,9 | 827,9 |
| 1985 | 5,2 | 0 | 127,1 | 0 | 576,6 | 44,1 | 0 | 58,1 | 811 |
| 1986 | 0 | 14,8 | 125,4 | 0 | 689,3 | 4,6 | 0 | 35,4 | 869 |
| 1987 | 247,2 | 0 | 210,2 | 0 | 440,3 | 14,2 | 1,5 | 21 | 934,4 |
Tableau 9 - Zone C - Moules
| N | ½ | C | Tot. | |
| 1980 | 10 | 29,9 | 63,7 | 103 |
| 1981 | 1 | 25,3 | 23,4 | 49,6 |
| 1982 | 2 | 119,6 | 60,7 | 182,3 |
| 1983 | 13,6 | 63,8 | 123,2 | 200,6 |
| 1984 | 40 | 82,5 | 30 | 152,5 |
| 1985 | 1,6 | 10,3 | 104,6 | 116,6 |
| 1986 | 0 | 1,9 | 94,1 | 96 |
| 1987 | 0 | 3,9 | 102,6 | 106,6 |
D'après les tableaux ci-dessus, nous voyons que de 1980 à 1987 le nombre moyen de cordes en moules par table diminue fortement en zone A (de 400è 140) et en zone B (de 270 à 90) alors qu'il varie peu (aux alentours de 150) en zone C où cette culture est depuis longtemps d'importance mineure. Il semble bien que cette diminution de la charge en moules corresponde principalement de la part des conchyliculteurs à des considérations d'ordre économique. Les tableaux montrent dans le même temps que la charge en moules a toujours été plus importante en zone A, diminuant en B puis en C, ce mollusque se développant apparemment mieux dans le secteur des zones profondes proches de la mer.
La régression de la culture des moules se fait au profit de l'élevage des huîtres : le nombre moyen de cordes en huîtres par table augmente en effet considérablement en zone A (de 440 en 1980 à 918 en 1987), ainsi qu'en zone B (574 à 805), les valeurs fluctuant autour de 840 en zone C (entre 680 et 930 sans tendance bien défine).
4.2.2 Biomasse totale dans l'étang de Thau (tableau 10)
Tableau 10 - Biomasse exprimée en tonnes
| Huîtres | Moules | Total | % Moules | |
| 1980 | 18.639 | 11.758 | 30.397 | 38,6 % |
| 1981 | 24.550 | 9.062 | 33.612 | 36,9 % |
| 1982 | ||||
| 1983 | ||||
| 1984 | 26.651 | 8.140 | 34.791 | 23,4 % |
| 1985 | 26.395 | 5.676 | 32.071 | 17,7 % |
| 1986 | 32.154 | 3.347 | 35.501 | 9,4 % |
| 1987 | 20.546 | 4.943 | 25.389 | 19,4 % |
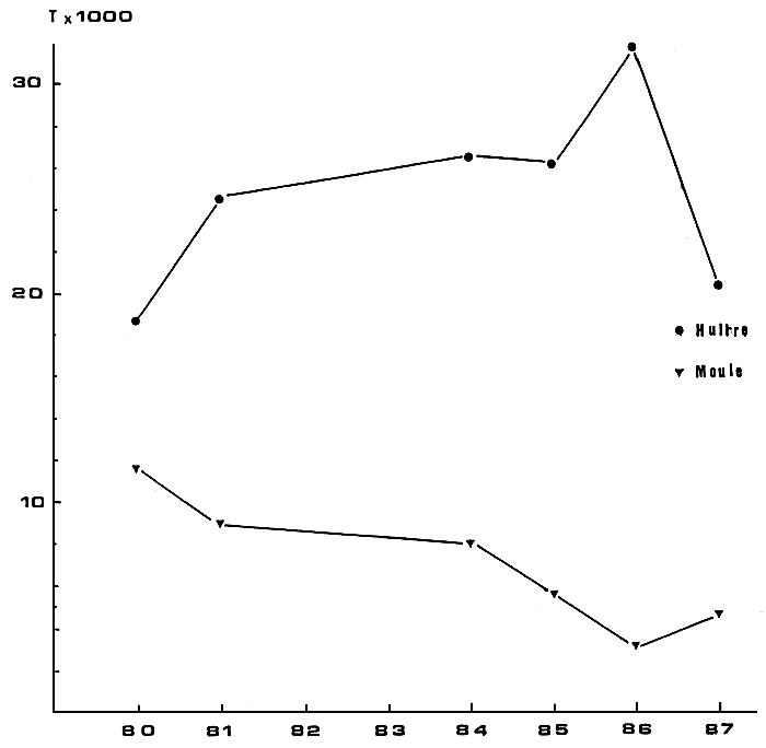
L'augmentation de la biomasse est très nettement mise en évidence puisqu'on observe un gain de 5,000 tonnes de 1980 à 1986, soit 14 %, La baisse observée en 1987 n'est qu'apparente; elle sera expliquée plus loin.
Cette augmentation n'est pas duc à un accroissement parallèle de la culture des huîtres et des moules (Fig. 3).
On assiste au contraire à une diminution très nette du tonnage des moules qui passe de 12.000 en 1980 à 3,000 tonnes en 1986 alors que dans le même temps, le tonnage d'huîtres double presque (il passe de 18,000 à 32,000 t.).
Ce changement de tendance dans la culture des coquillages peut être dû à plusieurs causes :
Il est a préciser que les tonnages fournis dans ce rapport sont ceux en élevage et non pas commercialisés.

Figure 3 : Evolution des tonnages en huître et en moules
Jusqu'en 1982 ou 1983 on pouvait estimer que la biomasse ostréicole en était proche de la production commercial annuelle, Les huîtres étaient mises en élevage vers le mois de février ou mars et vendues pur la grande majorité à l'époque de Noël. Durant la période intermédiaire, la rentabilité était surtout assurée par la vente des moules. Les moules étant de plus en plus remplacées par les huîtres, les professionnels, pour assurer la rentabilité des exploitations, sont obligés maintenant de vendre des huîtres durant tourte l'année , donc d'ensemencer durant toute l'année, ainsi, les 32,000 tonnes en élevage ne fournissent pas 32,000 tonnes de produit commercial par an. Il n'est pas possible pour l'instant de préciser la fraction de ce stock annuel qui se retrouvera sur le marché, mais il est évident qu'en 6 ans, la production commerciale à dû nettement progresser.
Cette obligation économique d'ensemencer toute l'année explique l'apparente baisse de biomasse totalc dans l'étang en 1987.
En effet, si l'on examine le pourcentage de naissain d'huîtres trouvé au cours des différentes années, on remarque que jusqu'en 1986 les quantités suivant les zones varient de 0 à 2 % ou 3 % du cheptel en élevage, en 1987, en revanche, on a observé que la proportion de ce naissain approchait les 30 % du cheptel. Les individus existent donc dans le plan d'eau mais ne peuvent être comptabilisés, leurs poids étant négligeable.
Cette modification dans les habitudes de culture exigée par des impératifs économiques explique la baisse du tonnage calculé. En revanche, le nombre d'individus doit être quasiment constant, voire plus élevé.
On peut donc, en schématisant, reconnaître deux scénari dans l'exploitation du plan d'eau :
En ce qui concerne les moules, les situation est plus complexe. Le stock est en effet étudié à un instant donné. Mais de plus en plus, les parqueurs mettent en élevage des individus de grande taille (de l'ordre de 4 cm). Ces individus ne passent donc qu'une partie de l'année dans l'étang et sont immédiatement remplaces après la vente. Il est donc possible d'opérer 2 ou 3 rotations dans l'année (chiffre difficile à préciser pour l'instant). Cette biomasse de 3.000 tonnes estimée au moment de l'étude peut correspondre, si l'on admet 3 rotations dans l'année, entre 6.000 et tonnes commerciales annuelles.
La taille de mise en culture n'est pas à négliger, elle sera même de première importance lorsque l'on tentera d'estimer la richesse nutritive nécessaire au développement de cette biomasse.
4.2.3. Production totale en huître (Tableau 11)
Pour les huîtres creuses, les 2 principales façon de la cultiver sont : collées sur fils et en pignes on torons. Pour l'huître plate, on ne la trouve que collée.
La quantité d'huîtres plates n'est donn´e qu'à litre indicatif. Elle ne représente en 1987 que 0,7 % de la totalité des huîtres. Les fils et les torons représentent quant à eux 96 % de la totalité.
La production en torons a progressé en 7 ans de 11.700 tonnes, soit 42 % de plus en 1986 qu'en 1980. Les fils, quant à eux, ont à peu prés doublé dans le même temps.
Tableau 11 - Biomasse des principales catégories d'huîtres-exprimée en tonnes-.
| CREUSES | PLATES | |||
| Fils | Pignes, | torons | ||
| 1980 | 1.767 | 15 | 839 | 360 |
| 1981 | 2.661 | 20 | 394 | 424 |
| 1982 | ||||
| 1983 | ||||
| 1984 | 3.690 | 21 | 417 | 869 |
| 1985 | 4.510 | 20 | 364 | 531 |
| 1986 | 3.994 | 27 | 587 | 174 |
| 1987 | 6.683 | 13 | 169 | 159 |
C'est en zone A que, pour les torons, la progression a été la plus marquée, passant de 1980 à 1986 de 6.000 tonnes à 13.000 tonnes. En zone B, cette biomasse a augmenté de 3.000 tonnes, passant de 5.000 à 8.000 tonnes en 7 ans. En zone C, on n'observe pas d'évolution marquée (le détail des estimations est fourni en annexe).
4.2.4. Production totale de moules (Tableau 12)
Tableau 12 - Biomasse de différentes catégories de moules-exprimée en tonnes-.
| N | 1/2 | Commerciale | |
| 1980 | 277 | 2.138 | 9 343 |
| 1981 | 232 | 2.326 | 9 061 |
| 1982 | |||
| 1983 | |||
| 1984 | 224 | 1.447 | 8 139 |
| 1985 | 63 | 495 | 5 675 |
| 1986 | 96 | 719 | 2 620 |
| 1987 | 6 | 720 | 4 217 |
Pour l'évolution des stocks, il a été distingué distingué trois catégories de moules : le naissain (inf. à 2 cm), la demi-moule (jusqu'à 4 cm) et la commerciale (> 4cm).
L'abondance des trois catégories diminue brutalement au cours des années; la chute la plus spectaculaire se remarquant naturellement sur les commerciales. Cependant, le naissain représente toujours entre 12 et 13 % des demi-moules et ces dernières représentent entre 22 et 27 % des commerciales. Le rapport entre les trios catégories n'a donc pas changé.
On trouve donc toujours très peu de naissain, un peu plus moyenne et, en pourcentage, beaucoup de commerciale.
Ce tableau ne donne pas la répartition précise (fournie en annexe) dans les trois zones de l'étang, mais en schématisant, on peut dire que les deux premières catégories ont complètement disparues en zones B et C. Seul les professionnels de la zone A continuent à utiliser du naissain et de la moyenne.
4.2.5. Biomasse totale par zone (Tableaux 13 et 14)
Tableau 13 - Biomasse totale par zone pour les huîtres (en tonnes)
| Zone | A | B | C | Total |
| 1980 | 7.130 | 5 823 | 6 236 | 19 189 |
| 1981 | 9.484 | 8.569 | 6 498 | 24 501 |
| 1982 | 5 149 | |||
| 1983 | 6 415 | 6 875 | ||
| 1984 | 10.456 | 8 600 | 7 598 | 26 654 |
| 1985 | 10.463 | 8 752 | 7 180 | 26 395 |
| 1986 | 14.694 | 9 349 | 8 109 | 32 152 |
| 1987 | 8.970 | 5 728 | 5 848 | 20 546 |
Tableau 14 - Biomasse totale par zone pour moules (en tonnes)
| Zone | A | B | C | Total |
| 1980 | 8.550 | 2.590 | 718 | 11.758 |
| 1981 | 7.327 | 1 339 | 336 | 9 062 |
| 1982 | 1 165 | |||
| 1983 | 1.314 | 1 405 | ||
| 1984 | 6.400 | 929 | 818 | 8 147 |
| 1985 | 4.295 | 455 | 925 | 5 675 |
| 1986 | 2.345 | 213 | 787 | 3 345 |
| 1987 | 3.251 | 823 | 869 | 4 943 |
| 1988 |
V - IMPACT DU CHANGEMENT DE BIOMASSE SUR LE MILIEU
Ainsi que cela a été précisé en introduction, le but essentiel de ce travail était d'apprécier la biomasse en culture et son évolution au cours des années, ces connaissances étant nécessaires pour tenter de déterminer si l'étang peut supporter une augmentation de charge ou bien, au contraire, si l'on doit préconiser une diminution de cette dernière. Il est certain qu'on ne dispose pas actuellement de toutes les observations nécessaires qui permettraient d'évaluer précisément toutes les conséquences sur le milieu de la variation au cours des années de la biomasse (les chiffres extrêmes étant de 25.000 et 35.000 tonnes).
Cependant, en s'appuyant sur les connaissances acquises, il es possible d'estimer une partie au moins de l'impact en question.
A partir des tonnages estimés, on peut approximativement déduire le nombre d'animaux en élevage et, de là, la quantité d'eau filtrée, laquelle conditionne indirectementI'ingestion des particules nourricières. On peut également connaître l'ordre de grandeur de la biodéposition créée par les mollusques. Pour ce faire, il étre utilisé les études physiologiques d'ARAKAWA (1972), DE BAYNE et al. (1976), de WALNE (1972), de BERNARD (1972) et de HAVEN et MORALES-ALAMO (1972).
Pour les moules, le taux de filtration est tiré de la formule de BAYNE : FR = 3,36 W 0.40 (où W est le poids sec an milligrammes). La taille moyenne de ce coquillage étant, à l'époque de nos prospections, de 5 cm pour un poids frais de 11 g, sa filtration est de l'ordre de 2,6 litres par heure et par individu. Sa biodéposition, compte tenu des valeurs fournies par les différents auteurs, a été fixée à 0,1 g de matériel sec par jour.
Pour les huîtres, nous avons déterminé un poids moyen de 60 g. Les taux de filtration correspondants varient de 7,8 à 10,23 litres à l'heure selon la plupart des auteurs; quelques-uns donnent des valeurs nettement plus élevées. Nous avons ici choisi le taux moyen de 9 litres par heure et par individu. La biodéposition a été estimée à 0,17 g de rejets secs par jour et par animal en s'appuyant sur les données moyennes établies par les auteurs déjà mentionnés. Cette façon de procéder ne peut, bien entendu, prétendre fournir des quantités rigoureusement exactes. Cependant, étant donné la convergence des estimations, il existe une forte probabilité que l'on obtienne ainsi un ordre de grandeur assez proche de la réalité.
5.1 Évolution du nombre de mollusques cultivés.
En partant des valeurs de biomasse et des poids individuels moyens cité plus haut, on obtient le nombre de consommateurs de plancton en élevage dans l'étang. Ce nombre était de l'ordre de 1.387 millions d'individus en 1980 dont 1.068 millions de moules et 319 millions d'huîtres; en 1986, il était de 839 millions dont 304 millions de moules et 535 millions d'huîtres. Le tableau 15 récapitule ces données et rappelle le tonnage total. Ce tableau fait ressortir que l'accroissement de l'ostréiculture, au détriment de la mytiliculture, entraîne une diminution dans le nombre d'animaux, tout en créant une augmentation sensible de tonnage. C'est évidemment la conséquence du fait qu'à taille égale une huître est beaucoup plus lourde qu'un moule. Ces considérations sur la différence qui doit être entre nombre d'animaux et tonnage comporte d'autres conséquences quant à l'importance de la filtration, ainsi que nous allons le voir (tableau 15).
Nous ne tenons pas compte des chiffres de 1987 car le nombre de naissain d'huître est très important mais impossible à préciser et, de ce fait, la biodéposition et la quantité d'eau filtrée est impossible à quantifier.
Tableau 15 - Nombre de moules et d'huîtres en culture
| Années | Nb huîtres (en million) | Nb moules (en million) | Nb total (en million) | Tonnage total |
| 1980 | 319 | 1.068 | 1.387 | 30.300t. |
| 1986 | 535 | 304 | 839 | 35.501t. |
| Variations | +216 | -764 | -448 | -5.201t. |
5.2. Évolution de la filtration par les mollusques cultivés
Avec les nombres calculés ci-dessus et le taux moyen de filtration retenu, on obtient la quantité d'eau (m3 par jour) que filtrent les cheptels par unité de temps (tableau 16). Pour ce qui est des moules, le passage de 1.068 à 804 millions d'individus fait que le volume filtré a diminué de 49 millions de m3 par jour (passant de 67 à 18 millions de m3 par jour). Quant aux huîtres, leur accroissement correspond à une augmentation de 226 millions d'animaux, soit à un volume filtré accru de 46 millions de m3 par jour (le volume passe de 69 à 115 millions de m3).
Le bilan global se solde par une diminution du volume filtré de 3 millions de mètres cubes par jour, I'équivalent de la capacité totale de l'étant (environ 375 millions de m3) est filtrée en 2,81 jours en 1986 au lieu de 2,75 en 1980.
Tableau 16 - volumes d'eau filtrée par les coquillages (en million de m3 par jour)
| Huîtres | Moules | Total | |
| 1980 | 69 | 67 | 136 |
| 1986 | 115 | 18 | 133 |
| Variations | +46 | -49 | -3 |
5.3 Évolution de la biodéposition des élevages
Le produit du nombre des individus par leur biodéposition moyenne représente la totalité des rejets (matières fécales et pseudofécales) des mollusques élevés dans l'étang. Ce calcul présente l'intérêt de chiffrer d'une certaine façon l'activité biologique des élevages et sa variation sous l'effet des changements quantitatifs et qualitatifs des biomasses. Pour les moules, la biodéposition, évaluée à 39.015 t en poids sec par an en 1980, n'atteindrait plus que 10.944 et de 32.742 t.
La biodéposition totale passerait, de 1980 à 1986, de 58.859 à 43.686 t par an. Ainsi, malgré l'augmentation de la biomasse, il est très probable que la biodéposition ait diminué. On arrive à la même conclusion si l'on retient pour la biodéposition des huîtres des valeurs plus élevées, valerus qui, selon HAVEN et MORALES-ALAMO, peuvent atteindre 0,23 g de rejet sec par individu et par jour. En opérant une simulation avec cette valeur, on obtient toujours une diminution de la biodéposition (65.860 à 55.242 t par an). L'explication de cette évolution se trouve dans le fait que la biodéposition moyenne des huîtres est plus faible que celle des moules au point que l'incidence de l'augmentation du tonnage des huîtres ne compense pas celle de la diminution des moules.
En moyenne, il y a entre 40 et 50.000 tonnes de déchets secs rejetés par an dans l'étang, soit prés du double de la valeur de la biomasse en élevage. On ne sait pas encore la fraction de ces déchets qui est reminéralisée.
5.4 Quantité de plancton nécessaire à l'élaboration de la biomasse en suspension
Les seules données disponibles dans la littérature se rapportent à des expériences menées en laboratoire; toutes les autres approches dérivent d'hypothèses et d'approximations successives. Aussi, les résultats ne doivent-ils être considérés que comme de simples indications, d'autant qu'il est très souvent impossible de savoir si les rendements indiqué sont fonction du plancton total filtré, du plancton ingéré ou du plancton assimilé.
On peut tenter de quantifier le plancton nécessaire à l'édification de la biomasse par une approche théorique. HAMON (1983) estime qu'il faut 1 g de planction sec par an pour élaborer 0,032 g de chair sèche de mollusque. Ces résultats ont été obtenus à partir de données bibliographiques intégrées à un modèle de simulation de croissance.
Si l'on prend pour les moules un coefficient de transformation poids frais-poids sec de 5% et de 3,5% pour les huîtres, on obtiendrait pour l'année 1986 suivant ces conventions 1.300 t de chair sèche environ en suspension au moment des observations. Ce chiffre ne représente pas la biomasse élaborée, il ne prend pas en compte le poids de départ de mise en culture. On peut estimer ce poids sec de mise en culture à 300 t (naissain de moules et d'huîtres, huîtres collées). D'où une élaboration de 1.000 t de chair sèche par an, ce qui nécessiterait 31.650 t de plancton sec par an, soit 87.9,7t par jour.
L'étang de Thau ayant un volume approximatif de 375.106 m3 nous devrions donc avoir 0,23 g de plancton sec par m3 prélevés par jour par les mollusques élevés pour assurer la production de chair estimée.
HENARD (1978) donne pour l'étang des productions phytoplanctoniques comprises entre 0,1 et 1,4 g par jour et par m3.
Si l'on se réfère d'autre part aux travaux de H. TOURNIER et Y. PICHOT (1987) on peut relever des quantités moyennes, calculées à partir d'observations annuelles, comprises suivant les zones entre 1,12 et 2,15 mg de chlorophylle «a» par litre.
En utilisant les équations classiques permettant de transformer les quantités de chlorophylle a en matière organique, on a une idée de la quantité de plancton sec se trouvant dans le milieu.
Carbone = chloro a × 54
Matière organique = carbone × 2.54
Suivant ces équations les quantités de matières organiques présentes dans le milieu sont comprises entre 0,15 et 0,029 g/m3, donc tout à fait compatibles avec les exigences des mollusques d'autant que les quantités de chlorophylle citées par TOURNIER et PICHOT ont été calculées après un dégrillage sur filtre de 50 m. La quantité totale de chlorophylle a sans filtration serait, d'après ces auteurs, supérieure de 1/3 aux quantités citées d'où une quantité de 0,20 à 0,28 g/m3.
Ces estimations sont certes sujettes à critique, notamment du fait que l'on admet en première approximation que les quantités de plancton prélevées par les coquillages se trouvent reconstituées en 24 h, mais elles peuvent cependant donner une indication non négligeable sur la capacité biotique du milieu.
On peut rapprocher ces chiffres des observations de WIDDOW et WORRALS (1979) qui en laboratoire ont déterminé ce qu'ils appellent «the maintenance ration» c'est-à-dire le poids minimum de nourriture pour maintenir les activités vitales. Ce poids pour une moule de 1 g de poids sec est de 0,28 mg de plancton sec par litre, donc proche des estimations faites.
Les différents chiffres cités sont assez proches les uns des autres et il semblerait que l'étang de Thau ait une capacité trophique suffisante pour assurer une bonne croissance des coquillages.
Cependant, les quantités de plancton calculées l'ont été comme si les mollusques étaient répartis sur les 7.500 hectares de l'étang.
Nous n'avons pris aussi en considération dans cette étude que les mollusques d'élevage or des compétiteurs comme les ascidies et les divers gisements naturels utilisent aussi du plancton.
Les stocks d'ascidies n'ont encore jamais été estimés, mais nous savons qu'à certaines époques de l'année, leur consommation planctonique est extrâmement importante. Il apparaît comme primordial d'étudier l'impact de l'ensemble des épibiontes sur le milieu.
On doit admettre qu'ily a dans les calculs et dans les observations soit une surévaluation importante de la consommation par les coquillages soit une sous-évaluation de la productivité de l'étang.
VI- BIOMASSE RÉELLE EN ÉLEVAGE DANS L'ÉTANG
Pour permettre une meilleure comparaison des résultats, tous les calculs ont été effectués sur la base fixe des 2.085 tables qui existaient en 1980. Or, en sept ans, ce nombre de tables a évolué : 500 tables nouvelles environ ont été plantées. Les biomasses sont donc sous-évaluées.
Pour 1987, les résultats en fonction du nombre réel de tables sont:
| Huîtres | Moules | Total |
| 24.726 | 5.800 | 30.526 |
RÉSUMÉ ET CONCLUSIONS
Depuis le début de nos observations, en 1979, plusieurs faits marquants apparaissent:
Dès les premières années (1979, 1980, 1981), on remarque que la mytiliculture, qui représentait plus de 50 % de la production du bassin, a été progressivement délaissée au profit de l'ostréiculture (la mytiliculture passe de 40 à 9 % en 7 ans);
On observe d'autre part une évolution dans les techniques de culture. Notons surtout l'abandon presque total de la culture en barre remplacée par le collage sur fil, ainsi que la disparition de la culture en pigne sur tringle et sa substitution par l'élevage en torons.
Ces modifications abaissent le prix des investissement et permettent de disposer le plus d'individus en élevage par corde.
Parallèlement à cette adaptation des techniques permettant une meilleure gestion des entreprises, on assiste au moins en zone A à une augmentation du nombre des cordes par table.
En dehors de ces modifications strictement techniques, le point marquant durant ces huit années d'observations reste le fait que les huîtres ont remplacé progressivement les moules.
En donnant la prépondérance à l'ostréiculture, les conchyliculteurs ont été obligés de modifier leur gestion du plan d'eau (ceci est visible depuis 1986 et se précise en 1987 et 1988). Les tables sont maintenant chargées de façon à pouvoir produire des huîtres commerciales toute l'année d'où l'apparition depuis trois ans d'un pourcentage de naissain d'huîtres très important lors de nos observations estivales. Cette tendance semble s'amplifier en 1988 (données non encore totalement exploitées
Ces modifications constantes dans les stratégies d'élevage, et dans les charges font que l'étude des stocks dans l'étang de Thau ne peut pas être une opération de routine.
Le plan d'échantillonnage mis au point au départ est à revoir. Avec la diminution de la mytiliculture, on peut avec l'échantillonnage tel qu'il est pratiqué, sous-estimer ou au contraire surestimer le stock de moules en élevage.
Le poids des cordes avec l'évolution des techniques est sans cesse à réévaluer.
La connaissance de l'impact des cultures sur le milieu doit être précisée et quantifiée de façon précise pour que le plan le plan d'eau ne se dégrade pas. C'est sans conteste un des points les plus importants.
Dans le cas de l'écosystème conchylicole de Thau, pour construire un modèle qui aurait pour but de définir l'équilibre entre la richesse potentielle du milieu et la production de coquillage, la biomasse en suspension pourrait être prise comme une variable d'état. Cependant, il serait également judicieux pour établir ce modèle de prendre comme variable les modifications induites sur le milieu par cette culture, c'est-à-dire un état de la production phytoplanctonique du milieu, le prélèvement effectué par les coquillages, et la production de biodépôts.
Il est donc nécessaire d'avoir une connaissance assez précise des élevages et de la croissance des mollusques pour estimer les conséquences de ces cultures.
Or, ces élevages ont des cycles très courts de l'ordre de 12 à 14 mois, et les technique d'élevage ainsi que les impératifs économiques évoluent rapidement, ce qui peut, à court terme, modifier les interactions milieu-coquillage.
Il est donc nécessaire, si l'on veut bâtir un modèle écosystème conchylicole, avoir une série historique fiable retraçant les variations de la biomasse, mais aussi la qualité nutritive du milieu et l'importance des biodépôts.
Or, comme nous l'avons vu, cette capacité biotique du milieu est insuffisamment connue, bien qu'un critère de richesse ait déjà été établi par l'étude de la chlorophylle «a» (H. TOURNIER et Y. PICHOT). Les approximations fournies montrent que si la nourriture semble être suffisante pour les mollusques, elle ne le serait théoriquement plus si l'on tenait compte de la consommation par les épibiontes, les gisements coquilliers naturels, les poissons, etc… D'où la nécessité de préciser la productivité du milieu et la demande des consommateurs.
Le problème semble moins crucial en ce qui concerne l'évaluation des biodépôts. Les résultats des études expérimentales menées par GRENZ (communication personnelle) et les chiffres obtenus par le calcul théorique sont en concordance. On peut donc admettre que lorsque la biomasse en élevage est connue, le tonnage de biodépôt peut être estimé.
En revanche, on ne sait pas quel est l'impact exact de ces rejets sur le milieu.
L'étang de Thau étant périodiquement le siège de crises dystrophiques estivales plus ou moins importantes, il serait bon de savoir la part prise par ces déchets dans le déclenchement des malaïgues, en gardant à l'esprit que le tonnage de rejets sec est supérieur à la biomasse en suspension et que les rejets sont concentrés sur 350 hectares seulement, ce qui représente presque 20 tonnes de déchets sec par an et par table, soit 400 kg par m2 et par an. Ce qui laisse présumer que ces biodépôts demandeurs d'oxygène ont une responsabilité évidente dans le développement des malaïgues. Les déchets dus au détroquage et au travail des coquillages à terre ont été estimés entre 9 et 13,000 t par an, tonnage pouvant paraître relativement faible par rapport à celui des biodépôts sédimentés sous les tables. Ces déchets étaient cependant nocifs il y a peu de temps du fait qu'ils étaient rejetés dans les zones côtières peu profondes y générant des crises distrophiques limitées. La situation paraît s'être améliorée en ce qui concerne le secteur côtier depuis qu'un réseau de ramassage des déchets a été mis en place.
By Mr. Xavier BOMPAIS
En France, on utilise trois types de filières pour élever des moules en mer:
En Bretagne et en Charente-Maritime, la production est assez modeste : environ 500 tonnes en 1991 pour la Bretagne et une première production prévue à 1,000 tonnes en 1992 pour la CharenteMaritime. C'est en Méditerranée que le développement de la production est le plus spectaculaire puisque, en 1991, dix an après le démarrage, on a produit entre 8.000 et 10.000 tonnes.
Sur le plan technologique, la principale contrainte pour les filières de pleine mer est de résister à la houle ou au clapot. En effet, la houle peut provoquer de sérieux dé sérieux dégâts sur le matériel et sur les moules elles-mêmes: efforts plus importants, diminution de la croissance, dégrappage (chute)… Pour lutter contre ses effets néfastes, les exploitants de Méditerranée immergent les filières à 5 mètres sous la surface car les efforts engendrés par la houle diminuent très vite avec l'immersion.
De leur côté, les exploitants de Charente-Maritime préfèrent garder les filières à la surface de l'eau et utiliser des flotteurs «perches», de forme élancée. Ceux-ci sont en effet peu entraînés par la houle ou le clapot.
Une troisième technique pour lutter contre les effets de la houle consiste à ajuster le nombre de flotteurs de la filière en fonction du poids des moules qu'elle porte (approcher l'équilibre). Cependant, cela multiplie les sorties en mer pour ajouter des flotteurs au fur et à mesure du développement des moules. Dans les faits, les exploitants de filières suivent peu cette consigne.
En ce qui concerne le prix des filières, on peut faire des comparaisons simples en ramenant leur prix au litre de flottabilité. La majorité des filières françaises coûtent entre 7 et 9 FF par litre de flotteurs (prix 1990).
Par ailleurs, l'IFREMER vient d'éditer deux documents sur les filières mytilicoles :
2 Longues lignes d'horizon. 15 minutes. Disponible à la même adresses.

Les trois types de filières utilisées en France
Filière de surface


Implantation des filières sur les côtes de la Manche et de l'Atlantique
Filière de sub-surface


Implantation des concessions d'élevage en mer dans la région Languedoc-Roussillon



Les principales contraintes pour une filière :
Résister à la houle
Être bien orientée dans le courant
Utiliser des ancrages adaptés
limiter l'usure du matériel
Être exploitée dans de bonnes conditions
Être rentable !

Coup de fouet sur une suspension de moules

Passage d'une vague sur une suspension de moules
Pour lutter contre les effets de la houle :
Choisir des sites abrités !…
Immerger la filière
Utiliser des flotteurs élancés (fins)
Ajuster le nombre de flotteurs au poids des moules

Les mouvements et les forces s'atténuent très vite avec la profondeur
Inconvénients de l'immersion :
La hauteur d'élevage diminue
La filière est moins accessible
Les flotteurs subissent la pres-
Flotteurs élancés

Un flotteur élancé est très peu entraîné par la vague

Pilonnement d'un flotteur dans le clapot
Equilibre flotteurs / poids des moules

Ne pas placer trop de flotteurs sur la filière
Inconvénients d'ajouter des flotteurs au fur et à mesure :
Sorties plus fréquentes
La filière risque de couler
Exemples de prix de filières (1990)
| • Filière flottante | |||
| • | «Perle» (3.000 litres) . . . . . . . . . . . . . . . . . . . . . . . . . . . . . . . . . . . . . . . . . . . . . . . . . . | 36.000 F | (12 F/I) |
| • | «Tandem» (6.000 litres) . . . . . . . . . . . . . . . . . . . . . . . . . . . . . . . . . . . . . . . . . . . . . . . | 42.000 F | (7 F/I) |
| • Filière subflottante (6.000 litres) | |||
| • | Avec amarrages par bout . . . . . . . . . . . . . . . . . . . . . . . . . . . . . . . . . . . . . . . . . . . . . . . | 66.000 F | (7,70 F/I) |
| • | Avec amarrages par chaîne . . . . . . . . . . . . . . . . . . . . . . . . . . . . . . . . . . . . . . . . . . . . . | 56.000 F | (9,35 F/I) |
| • | Avec amarrages tendeurs . . . . . . . . . . . . . . . . . . . . . . . . . . . . . . . . . . . . . . . . . . . . . . . | 50.000 F | (830 F/I) |
| • | Avec amarrages amortisseurs . . . . . . . . . . . . . . . . . . . . . . . . . . . . . . . . . . . . . . . . . . . | 58.000 F | (9,70 F/I) |
| • Filière subsurface | |||
| • | Standard (4.500 litres). . . . . . . . . . . . . . . . . . . . . . . . . . . . . . . . . . . . . . . . . . . . . . . . . . | 39.000 F | (8,70 F/I) |
| • | Gros flotteurs en acier (8.000 litres). . . . . . . . . . . . . . . . . . . . . . . . . . . . . . . . . . . . . . . | 67.000 F | (8,40 F/I) |
| • | Gros flotteurs en mousse (11.000 litres). . . . . . . . . . . . . . . . . . . . . . . . . . . . . . . . . . . . | 65.000 F | (5,90 F/I) |

Guide pratique
«Les filières pour l'élevage des moules»
Trouver un site l'élevage : profondeur, courant…
Choisir le matériel : modèle de filière, type d'amarrage…
L'installer : montage et mise en place
L'exploiter
By A.G. MARTIN
RÉSUMÉ
L'élevage de l'huître plate, Ostrea edulis, tenait une place prépondérante dans l'ostréiculture bretonne jusqu'à ce que deux maladies parasitaires, dans les années 1970 et 1980, fassent chuter la production annuelle de 15–20.000 tonnes à 2.000 tonnes aujourd'hui.
Un plan de relance financé par l'État, la Région et l'Ifremer, a été mis en place avec le concours
Les mesures zootechniques préconisées ont pour effet de déplacer l'activité de captage et d'élevage vers la zone subtidale (-2, -10m). Les techniques et les outils ont dù évoluer : ainsi, le captage sur coques de moules en suspension s'est développé et les bateaux ostréicoles se sont modifiés. Les pratiques culturales ont été simplifiées: suppression de demi-élevage en poches, suppression des transferts en cours d'élevage, limitation des densités évitant le dédoublement, réduction du cycle á 2 ans dans certains sites.
Ces mesures zootechniques ont permis la reprise des élevages dans les secteurs en eaux profondes, notamment celui de Cancale où les taux de recapture se situent entre 20 et 25%. L'activité reste cependant à la merci d'une recrudescence de la bonamiose.
Parallèlement, la recherche s'est développée, permettant une meilleure connaissance des parasites. Un programme de sélection de souches résistantes est en cours dans le but de trouver un remède durable à ces deux maladies.
Cet exposé reprend en partie et prolonge le bilan déjà publié dans Équinoxe par les laboratoires IFREMER de La Trinité sur Mer et La Tremblade (mars 1990 № 30).
I - INTRODUCTION
L'élevage de l'huître plate, Ostrea edulis, tenait une place prépondérante dans l'ostréiculture bretonne jusqu'à ce que deux maladies parasitaires, dans les année 1970 et 1980, fassent chuter la production française annuelle de 15–20.000 tonnes à 2.000 tonnes aujourd'hui (Fig. 1).
La mise en place d'un plan de relance financé par l'Etat, la Région et l'IFREMER, a permis la reprise des élevages dans certains secteurs (Fig. 2) et une meilleure connaissance des épizooties.
Ce plan comporte trois volets : les deux premiers concernent les actions de terrain se rapportant au captage et à l'élevage, le troisième concerne l'activité de suivi et de recherche menée par les équipes de l'IFREMER.
Après une brève description des parasites sont présentées les actions entreprises pour soutenir et redévelopper le captage et l'élevage ainsi que l'évolution des techniques s'y rapportant. Les actions de recherche sont ensuite rapidement évoquées et les résultats et perspectives envisageables sont dégagés.
II DESCRIPTION DES PARASITES
Les deux parasites, Marteilia refringens et Bonamia ostreae sont des protozoaires eucaryotes appartenant au phyllum des Ascetospora.
Marteilia refringens
Le premier parasite est apparu en Bretagne Nord en 1968 et s'est propagé de1969 à 1975 dans différents centres ostréicoles bretons, épargnant seulement les baies ouvertes de Cancale, St. Brieue et Quiberon où il ne s'est pas développé jusqu'à présent.
Bonamia ostrear
Le second parasite, Bonamia ostreae, a été décelé en Bretagne Sud en été 1979 et s'est rapidement propagé à tons les sites de Bretagne en 1980 et 1981.
Les caractéristiques de ces deux parasites sont résumées dans le tableau 1 (Grizel, 1985).
Les figures 3 et 4 montrent let zones actuelles de répartition des deux parasites sur les secteurs d'élevage français.
III - LE CAPTAGE : VOLET I DU PLAN DE RELANCE
OPÉRATION 1 : DIVERSIFICATION DES MÉTHODES DE CAPTAGE
Captage sur tuiles
Jusqu'à I, apparition du parasite Bonamia, en 1979, le captage d'huîtrs plates se faisait essentiellement sur tuiles chaulées, en terrain découvrant. Le naissain capté au cours de l'été était mis en élevage au printemps suivant après décollement du support (ou détroquage). Dans les années 1980, la quantité de tuiles placées est rapidement passée de 20 millions à 1 million pour remonter à 2–3 millions actuellement, avec l'appui de subventions des pouvoirs publics (Fig.5).
Captage sur coques de moules
A partir de 1978, un nouveau procédé a été mis à l'essai avec la coopération des professionnels : le captage sur coques de moules en suspension sur cadres métalliques. Cette technique, une fois au point, a permis la production de naissain pouvant être semé entre l'automne et le printemps suivant le captage, sans détroquage (Martin et al., 1985). Beaucoup moins onéreuse, cette technique s'est développée à partir de 1982 et assure actuellement une grande partie de la récolte.
La production de naissain avoisinait 500 millions d'individus pour le captage 1979. Descendue á seulement une dizaine de millions en 1986, elle approche de nouveau 400 à 500 millions à la suite des bonnes conditions qui ont caractérisé le captage 1991.
Essais de télécaptage
Une méthode destinée à pallier les aléas du captage naturel a été tentée pour l'huître plate en 1989 et 1990 : le télécaptage.
Cette méthode, pratiquée depuis la fin des années 1970 aux États-Unis (Jones, 1988, Le Borgne, 1988) est en développement pour l'huître creuse en France Intermédiaire entre la production d'écloserie et le captage naturel, elle consiste pour le professionnel à réaliser son propre captage en bassin, sur des collecteurs classiques, à partir de larves d'écloserie transportées sous réfrigération au stade «oeillé» (prêtes à la fixation). Les collecteurs sont immergés au bout de 15 jours en milieu naturel où a lieu le prégrossissement (Joly et al., 1989).
En ce qui concerne l'huître plate, espèce plus délicate, différents essais ont eu lieu depuis 1984. Les essais IFREMER réalisés de 1989 à 1991 ont été résumés par Mazuriés (1992). Il en ressort que :
Le rendement minimum considéré a priori comme acceptable serait :
Une fois la technique optimisée, une étude globale des coûts resterait à faire.
Le tableau 2 résume les avantages et inconvénients des différentes stratégies de production de naissain.
OPÉRATION 2 : STOCK DE GÉNITEURS
Pouvoirs publics et structures professionnelles se sont associés pour accroître le stock de géniteurs dans les sites de captage Baie de Quiberon et Rade de Brest :
OPÉRATION 3 : RECHERCHE D'AUTRES SITES DE CAPTAGE
opérations de captage en mer ouverte se développant parallèlement en Méditerranée, pour approvisionner les sites méditerranéens (Paquotte et Moriceau, 1987), les professionnels bretons s'y sont associés avec l'aide des pouvoirs publics.
Les essais réalisés avec les cadres de coques moules en suspension ont montré que ce procédé ne résistait pas aux tempêtes d'automne de Méditerranée. Le naissain devait donc être transféré avant le 15 octobre pour semis en Bretagne. Les pertes, dues en grande partie à la petitesse du naissain, ont été importantes et les essais bretons se sont arrêtés au bout de 2 ou 3 ans. Les essais méditerranéens se poursuivent cependant avec des collecteurs en plastique chaulés regroupés dans des strutures plus stables (Paquotte, 1989).
IV - L'ÉLEVAGE : VOLET 2DU PLAN DE RELANCE
Sites d'élevage
Après la phase d'installation de la première maladie (1969–1975), l'élevage s'est cantonné aux baies de Cancale, St Brieuc et Quiberon ou Marteilia refringens ne se développait pas. Les huîtres captées sur tuiles étaient semées au sol en eau profonde, soit après une phase de demi-élevage en poches en terrain découvrant (baies de Cancale et de Quiberon). Des transferts se faisaient de la baie de Quiberon vers les baies de Bretagne Nord. Les autres secteurs étaient utilisés parfois pour un affinage de quelques mois.
Les caractéristiques des trois baies citées sont données par les figures 6,7 et 8.
Mesures de prophylaxie préconisées après l'apparition de Bonamia ostreae
Le développement brutal de deuxième parasite a encore réduit les possibilités d'élevage. Après une phase d'éradication, et une phase expérimentale (1981–1982), des mesures de prophylaxie on été prises afin de permettre la reprise des élevages :
Cette dernière mesure a pour but à la fois de réduire la propagation du parasite et d'éviter les opérations de dédoublement.
Enfin, l'élevage en cycle court est recommandé, avec vente des huîtres à l'âge de 2 ans.
Jusqu'à présent, cette forme d'élevage s'est révélée économiquement viable en Baie de Cancale, avec 20 á 25 %de survie en fin d'élevage. Il s' avère cependant que le produit a une meilleure valeur commerciale en 3 ans mais que les risques zoosanitaires sont alors accrus comme en témoignent les résultats obtenus en Baie de St Brieuc et de Quiberon. Dans cette dernière baie, où la taille commerciale ne peut pas être obtenue en deux ans, les taux de parasites augmentent rapidement durant la troisième année.
Évolution technique
Le développement des concessions en eau profonde a entraîné une évolution des moyens à la mer et á terre (Grizel, 1985).
Le travail est réalisés à l'aide de bateaux ou pontons-dragueurs (barges) de plus en plus gros: le bois utilisé dans les années 1970 est de souvent remplacé par l'acier. La longueur passe de 10–12m à 17–20m et la largeur de 3 à 6m. Les moteurs actuels peuvent atteindre 200 à 300 cv (propulsion hydraulique). Un type particulier de ponton-amphibie (inspiré des pontons mytilicoles) a été récemment mis en service en baie de Cancale en raison des forts marnages qui caractérisent cette baie, découvrant de grandes étendues sableuses à marée basse.
Le type de drague le plus communément utilisé est la drague dite «hollandaise» de 2m de large avec fond ouvrant pour faciliter le déversement des huîtres sur le bateau. Une barge travaille avec deux dragues (une de chaque côté) manipulées à l'aide d'un treuil hydraulique. Une grue hydraulique est parfois utilisée pour le maniement des cadres de captage.
Les containers de 0,5 à 1 m3 en plastique ou aluminium remplacent de plus en plus les mannes métalliques ou plastiques de 25–30 litres pour recueillir les huîtres. Ces containers facilitent les opérations de mécanisation en mer ou à terre où de nouvelles chaînes de tri sont installées. Les opérations de tri et de nettoyage sont plus lourdes que dans le cas d'élevage en découvrant (nombreux épibiontes comme les balanes et les crépidules, ces dernières créant un véritable problème de compétition dans certains secteurs.
Les prédateurs comme l'étoile de mer (Asterias rubens) et le bigorneau perceur (Ocenebra erinacea) sont également à craindre. Leur élimination est généralement pratiquée de façon mécanique à l'aide de fauberts pour les premiers et de dragues pour les seconds.
Une étude des possibilités de lutte biologique contre Asterias rubens a été menée (Barthélémy, 1992). Le comportement prédateur vis-à-vis d'Asterias d'une autre étoile, Luidia ciliaris, a été étudié, mais la récolte ou la production en écloserie d'une grande quantité de Luidia se son révélées difficiles à mettre en oeuvre.
Toutes ces opérations entraînent des coûts élevés d'investissement.
Enfin, le produit sorti d'eau profonde étant plus fragile (tendance à bailler), la pratique du «trompage» est nécessaire, c'est-à-dire, le retrempage en bassin avec succession d'émersions et d'immersions pour raffermir le muscle et prolonger la durée de conservation des huîtres conditionnées pour la commercialisation.
V - VOLET 3: LA RECHERCHE
Un important effort de recherche a été consenti depuis l'apparition du premier parasite. Il peut être décrit en quatre opérations:
OPÉRATION 1 : ÉPIDÉMIOLOGIE DESCRIPTIVE ET ANALYTIQUE
Un important réseau de surveillance zoosanitaire a été mis en place pour suivre l'évolution de la maladie dans tous les secteurs.
Par ailleurs ont été menées des études de pathogénie et de transmissibilité des parasites, ainsi que l'influence de divers facteurs comme l'hôte, la technique et le milieu d'élevage.
Au stade actuel, Bonamia est mieux connu que Marteilia dont une partie du cycle reste ignore, aucune infestation expérimentale n'ayant pu être réalisée laboratoire.
OPÉRATION 2 : PATHOLOGIE EXPÉRIMENTALE
Là encore. la recherche a progresse plus vite pour Bonamia que Marteilia.
La purification et l'inoculation du parasite Bonamia sont maintenant des techniques maîtrisées qui permettent de reproduire la maladie et d'avancer dans le domine de l'immunologie et de la génétique (Hervio et al., 1990).
Enfin, la découverte de diagnostics spécifiques (anticorps monoclonaux, sondes ADN) devrait, d'une part, faciliter la surveillance zoosanitaire, d'autre part, permettre de comparer les formes de parasites du même genre observées sur d'autres espèces de mollusques (Marteilia notamment).
OPÉRATION 3: IMMUNOLOGINE
Les études menées dans cette discipline visent a connaître le rôle des cellules hémocyataires et du sérum dans les mécanismes de défense de l'huîture: observation des phénomènes de phagocytose ou de neutralisation du parasite, rôles de certains enzymes dans ces processus…(Chagot et al., 1990).
OPÉRATION 4: GÉNÉTIQUE
Trois types d'action ontć té entreprises dans cette opération:
Essai acclimatation d'espèces non indigènes
Quatre espèces présentant des exigences d'environnement proches d'Ostrea edulis ont été testées comme espèces éventuelles de remplacement : Ostrea chilensis (Chili), O. angasi (Nouvelle-Zelande) O. puelchana (Argentine) et O. denselamellosa (Corée). Les quatre espèces se sont mon-trées susceptibles d'être infestées par l'm et/ou l'autre des parasites et n'ont donc pas été retenue (Grizel et al, 1983, Bougrier et al., 1986, Pascual et al., 1991).
Sélection de souches résistantes aux parasites
Un important programme do sélection d'huîtes résistantes aux parasites (Bonamia notamment) est en cours depuis 1985. Une première génération issue de vieux géniteurs ayant résisté 4 à 5 ans a la bonamiose a montré une meilleure survie que des huîtres de captage naturel du même age. La deuxième génération est en course de test.
Le schéma général-test retenu actuellement est présenté sur le tableau 3. La pression de sélection est accentuée par inoculation (Martin et al., 1992). Trois générations successives au moins sont nécessaires pour s'assurer la stabilité et de la reproductibilité du caractère de résistance.
Cytogénétique
Un essai d'obtention par polyploîdisation de souches plus performantes sur le plan de croissance et qualité chair est actuellement en cours.
VI - CONCLUSION - PERSPECTIVES
Les différentes mesures prises dans le cadre du plan de relance de l'huître plate ont permis de reprendre les élevages an Bretagne mais la production reste encore faible et soumise aux aléas du captage et de l'évolution des épizooties. l'augmentation en cours des stocks accroissant le risque de recrudescence des parasites. De plus, les sites potentiels d'élevage en eau profonde sont limités.
Il importe donc de poursuivre l'effort de recherche sur les parasites, notamment sur l'obtention de souche s résistantes, non seulement à Bonamia mais egalement à Marteilia, les élevage en terrains découvrants comportant actuellement trop de risques. En cas de succès dans cette voie, le potentiel de production des écloseries devra être assuré et les techniques de télécaptage et de prégrossissement améliorées.
Enfin, il importe de bien appréhender l'évolution des marchés : sur le plan local, la forte chute de production des années 1980 a fortement désorganisé le marché difficile à reconquérir en raison notamment de l'évolution du produit (taille plus petite, manque d'affinage sensible sur les huîtres de 2 ans, coût élevé…). Sur le plan européen, la libération des frontières en 1993, fonction des réglementations sanitaires et zoosanitaire, peut modifier les régles du jeu intra-communautaire. Les nouvelles réglementations conditionneront également les échanges extra communautaires.

Figure 1 - Production française d'huîtres plates de 1968 à 1990
(sources : 1968–1980 Marine Marchande, 1984–1987 F.A.O)

Figure 2 - Principaux secteurs de captage et d'élevage de l'huître plate en Bretagne
| PARASITES DE L'HUÍTRE PLATE | |||
| Marteilia refringens | Bonamia ostreae | ||
| Protozoaires eucarytoes - phylum Ascetospora | |||
| 3 à 35 μ | 2 à 7 μ | ||
| Glande digestive | Cellules sanguines | ||
| Infestation parfois dés l'été de captage | Infestation très faible la première année | ||
| et surtout les étés suivants Τ° > 17°C | croissante surtout entre 2 et 3 ans | ||
| • | amaigrissement | • | peu de signes externes |
| • | Fortes mortalités la 2éme année | • | mortalités 2 à 3 mois après infestation |
![]() | ![]() | ||
| Ne se développe pas en baies ouvertes | Développement limité en baies ouvertes | ||
| Apparition en Bretagne en 1968 | Apparition en Bretagne en 1979 | ||
Tableau 1 - Résumé des caractéristiques de deux parasites de l'huître plate Ostrea edulis

Figure 3 - Carte de présence-absence du parasite Marteilia refringens sur les huîtres plates des côtes françaises
Analyses réalisées en 1990–1991 G Tigé Y. Pichot, N. Cochennec, Y. Le Coguic, G. Le Mouroux

Figure 4 - Carte de présence-absence du parasite Marteilia refringens sur les huîtres plates des côtes françaises
Analyses Réalisées en 1990–1991 G. Tigé, Y. Pichot, N. Cochennec, Y. Le Coguic. G. Le Mouroux
Tableau 2 - Comparasion des différentes stratégies de production de naissain d'huîtres plates
| STRATEGUE | NON CONTRÓLÉE | EN PARTIE CONTRÓLÉE | TRES CONTRÓLÉE | |
| SITE PRODUCTION LARVES | MILIEU NATUREL | ÉCLOSERIE | ÉCLOSERIE | |
| Site captage | Milieu naturel | Bassin professionnel | Écloserie | |
| Collecteur | Collecteurs classiques (fixation collective) | Collecteurs classiques (fixation collective problème d'homogénéité) | Écloserie (fixation en une à une) | |
| Prégrossissement | Sur site sans transfer 5 à 10 mois | Passage rapide en milieu ouvert 5 à 6 mois | Passage en nurseries intensive 2 à 4 mois | |
| Détroquage | Oui a tuiles-plastiques Non a coq. moules | Oui a tuiles-plastique Non a coq. moules | Non | |
| Élevage | Milieu ouvert Sol | Milieu ouvert Sol | Milieu ouvert Poches ou sol | |
| (plus fragile) | ||||

Figure 5 - Evolution des quantités d'huîtres plates captées sur tuiles et sur coques de moules de 1979 à 1991
(* période d'estimation pour in captage de ιannée N))

Figure 6 - Baie de Cancale - Concessions conchylicoles HUÎTRES PLATES en eau profonde - Concessions fin 1991 : 715 Ha - Projets d'extension 400 HA zone protégée des vents de S et W - fonds sablo-vaseau (-2 à - 5 m) - Courants≃ 5 noeuds - 5°C< T° < 19°C
![]() | ![]() | |||
| Figure 7 - | Baie de Saint Brieuc - Pares à huîtres en eau profonde (Huîtres plates et creuses) | Figure 8 - | Baie de Quiberon - pares à huîtres en eau profonde (huîtres plates et creuses) | |
| Concessions 1991 ? 700 ha Projects de réextension? 700 ha | Concessions fin 1991 ? 2.700ha (? 100 concession s entre 2 et 260ha) | |||
| Zone protégée des vents S et W Fonds sablo-coquilliers (- 6 m à - 15 m) Courant? 4 noeuds 5°C < T° < 18°C | Zone protégée des vents W Fonds sablo-vaseux (-2 m à - 10m) (favorables huîtres plates - 3 m à - 5m) Courants < 2 noeuds 5°c < T° < 21°C 28 % < S % w 36 % | |||
| SÉLECTION DE SOUCHES RÉSISTANTES | ||
| Schéma général | Études D'accompagnement | |
| Vieux géníteur Quiberon | ||
| ↓ | écloserie | |
| Production G1 | Pathologie expérimentale (purification-inoculation) | |
| Prégrossissement | ||
| ↓ | milieu naturel (2 ans minimum) | |
| Sélection-test | ||
| ↓ | inoculation (6 à 9 mois) | |
| Immunologie (mécanismes de défense) | ||
| Conditionnement géniteurs | ||
| ↓ | ||
| Production-sélection-test G2 | ||
| ↓ | ||
| ↓ | ||
| Production-sélection-test G3 | ||
| Stabilité et reproductibilité | ||
| Production-test individus issus de rétrocroisement: | du caractère | |
| G2 / individu non sélectionné | ||
| ↓ | ||
| Réponse | ||
Tableau 3 - Schéma général du programme de sélection de souches résistantes au parasite Bonamia ostreae
BIBLIOGRAPHIE
BARTHELEMY G. - 1992 - Lutte biologique contre la prolifération de l'étoile de mer Asterias rubens en Baie de Quiberon, Société Française de Malacologie - Actes colloques № 14 - Les mollusques marins, biologie et aquaculture : pp. 93–106
BOUGRIER S., TIGE G., BACHEREE E. & GRIZEL H. - 1986 - Ostrea angasi acclimatization to French coasts. Aquaculture - 57 : pp. 151–154
CHAGOT D., BOULOT V., HERVIO D., MIALHE., MOURTON C. & GRIZEL H. - 1990, Interactions between Bonamia ostreae (protozoa: ascetospora) and hemocytes of Ostrea edulis and Crassostrea gigas (molusea : bivalvia) : entry mechanism H. of Invert. Pathol,: in press
GRIZEL H., COMPS M., RAGUENES D., LEBORGNEY Y., TIGE G. & MARTIN A.G. - 1983, Bilian des essais d'acclimatation d'Ostrea chilensis sur les côtes de Bretagne Rev. Trav. Inst.Péches Marit. - 46(3) :pp.209–225
GRIZEL II - 1985 -Étude des récentes épizooties de l'huître plate Ostrea edulis c1 de leur impact sur l'ostréiculture bretonne. Thèse d'Etat - Montpellier 145p.
HERVIO D., VUILLEMIN V., BACHERE E., BOULO V., COCHENNEC N. & MIALHE E 1990, Establishment of an experimental infection protocol for the flat oyster Ostrea edulis with oyster selection - Soumis à Aquaculture
IFREMER La Triníté-sur-Mer et La Trembalde - 1990 - Bilan des opérations de relance de l'huître plate en Bretagne, á la fin de l'année 1989. Équinoxe №30 - Mars 1990
JOLY J.P., BODOY A. & BAUD J.P. - 1989 - Guide du télécaptage de larves d'huîtres Crassostrea gigas, Rapports internes de la Direction des Ressources Vivantes de l'IFREMER. DRV-89.023-RA/OUISTREHAM - 1989
JONES G.G & JONES B.L. - 1988 - Advances in the remote setting of oyster larvae, Aquaculture association of B.C., suite 52, comp. 103, 5331 Hammond Bay Rd., Nanaimo, B.C., V95 5N7
MARTIN A.G., GRIZEL H., LANGLADE A. & CADORET F. - 1984, Étude et mise au point d'un procédé de captage d'huîtres plates utilisable en eau profonde. Science et Pêche - Institut Scientifique et Technique des Pêches Maritimes № 349
MARTIN A.G., GERARD A., COCHENNEC N. & LANGLADE A. - 1992, Selecting flat oysters, Ostrea edulis, for survival against the parasity Bonamia Ostreae : Assessment of the resistance of a first selected generation - Comm. Coll. E.A.S. - Bordeaux (sous presse)
MAZURIE J. - 1992 - Le télécaptage de l'huître plate. Expérience française et acquis récents-Comm Coll. E.A.s. - Bordeaux (sous presse)
PAQUOTTE P.& MORICEAU J. - 1987 - Captage prégrossissement de l'huître plate Ostrea edulis en Méditerranée. Aqua Revue № 12 - Avril–mai 1987: pp. 18–22
PAQUOTTE P. 1989 - Compte rendu de l'essai de captage et de prégrossissement de l'huître plate Ostrea edulis en mer ouverte dans le Golfe du Lion Années 1987 – 1988 - Rapport IFREMER/ Palavas: 26 p.
PASCUL M., MARTIN A.G., ZAMPATTIE., COATANEA D., DEFOSSEZ J. & ROBERT R. 1991 - Testing of the Argentina oyster, Ostrea puelchana, in serveral French oyster farming site. Comm. CIEM 1991 – 5 30