The AGRIS New[9] vision is a strategy that was agreed upon by member. It focuses on improving electronic publishing of documentation through continual improvement of web-enabled AGRIS methodologies and tools (with a focus on the establishment of standards), aimed at effective exchange and retrieval of multilingual scientific and technical information.
Although the AGRIS vision is to focus on improving accessibility of science and technology information about agricultural development, its immediate implementation was hampered by some of the existing problems, which have been outlined in section 1 above.
One solution would be to make separate mappings to and from each metadata format, but it turns out that this simply compounds the problem, as illustrated in Figure 3.

Figure 3. Mappings necessary for sharing data between three or four databases
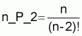
In the above Figure, the addition of a new database means six new mappings (shown using the dotted lines) will have to be created for everyone to share information with each other. Imagine now, if we had one more! Each new addition of database results in other new mappings. This is calculated with the following formula.
Where n = number of databases that want to share information with each other.
Additionally, if there would be a change in any one of the formats, all the other databases that are sharing information would also have to change their own mappings.
|
[9] AGRIS - A strategy for an
international network for information in agricultural sciences and technology
within the WAICENT Framework
http://www.fao.org/docrep/MEETING/005/AC502e.htm |