F

Previous PageTable of ContentsNext Page

Part VI. Country papers

South Asian Country

Paper Number 1

Integrated nutrient management for
sustaining crop productivity and improvement of
soil fertility in Bangladesh agriculture*


* This country report has not been formally edited and the designations and terminology used are those of the author.

Md. Quamruzzaman
Upazilla Agriculture Office, Kutubdia Cox’s Bazer, Bangladesh

Summary

Bangladesh is the fifth most populous country in Asia and the 18th in the world who has successfully attained self-sufficiency in food despite the decline in per capita land and increase in population. The country has opted for an agricultural development policy that gradually moved farmers away from the traditional and rather static agriculture dependent on native soil fertility to a dynamic judicious fertilizer dependent farming. In the last three decades, food grain production as considerably increased due to substantial intensification of cropping, introduction of high yielding varieties (HYVs), and expansion of irrigated area and use of chemical fertilizers. However, this has also led to widespread soil fertility depletion caused by fertilizer nutrient imbalance and serious nutrient gap between plant use and fertilizer application and mining out scarce native soil nutrients to support increases in yields of food crops. The use of chemical fertilizers mainly for N, P, K and S has been increasing steadily but they are not applied in balanced proportion. Continously cropped areas were observed to have problems of decline in organic matter and those associated with imbalance use of fertilizers were found, aside for its impacts on P and K fertilization, to have emerging deficiencies of micronutrients like Zn, B, Mn, Mo. Bangladesh adopted a strategy for balanced fertilization to promote soil building to support sustainable land use system and ensure stable supply of food grains from existing agricultural lands. In this context and as a further response to economic recession, as well as to conserve and improve soil fertility, the concept of integrated nutrient management (INM) system has been adopted.

1. Introduction

Bangladesh is situated between 20º34′ and 26º38′ north latitude and 88º01′ and 92º41′ east longitude. It is the fifth most populous country in Asia and ranks eighteenth in the global context. The country has a land area of 14.83 million hectares (m ha), population over 135 million with a density of more than 800 person km-2, which is one of the highest in the world.

Primarily, the country is deltaic floodplain. The topography is flat with elevation not exceeding 10 meters above mean sea level. The non-undulated topography is broken in the southeast by the Chittagong Hill Tracts and hills in the northeastern part of the country. Floodplain and piedmont plains occupy almost 80 percent of the land area. Slightly uplifted fault blocks (terrace) occupy about 8 percent and hills occupy about 12 percent of the land.

The effective land area is roughly 12.31 m ha of which presently 7.85 m ha are under cultivation (BBS, 1996). During the last three decades per capita arable land declined from 0.17 ha in 1960 to 0.07 ha in 1991 and presently reduced to less than 0.06 ha. The cropping intensity in the country is 180 percent. Multiple cropped areas occupy about 35.8 percent, 51.4 percent and 12.8 percent of the net cropped area. Agriculture contributes about 23.5 percent to the GDP.

During the last three decades, food grain production has increased considerably from about 11 mt in 1970-71 to about 27 mt in 2002-03. Present demand of food is 22.55 mt and production is 28.38 mt. The major driving forces are substantial intensification of cropping, introduction of high yielding varieties (HYVs), and expansion of irrigated area and use of chemical fertilizers.

2. Soil fertility status

In the recent years, intensive crop cultivation using high yield varieties of crop with imbalanced fertilization has led to mining out scarce native soil nutrients to support plant growth and production, the dominant soil ecological processes that severely affected the fertility status and production capacity of the major soils in Bangladesh. Available data indicated that the fertility of most of our soils has deteriorated over the years (Karim et al., 1994 and Ali et al., 1997), which is responsible for national yield stagnation and in some cases, even declining crop yields (Cassman et al., 1997). The use of chemical fertilizers mainly for NPKS has been increasing steadily but they are not applied in balanced proportion. For example, in 1996- 421:71:454:44 million tonnes of NPKS, respectively, were removed in grain and straw while in the same year 507:119:114:13 million tonnes were added in the form of inorganic fertilizers. Considering, the recovery percentage of the added nutrients the gap was about 244:47:400:41 million tonnes of NPKS (Islam et al., 1998). Moreover, emerging deficiency of micronutrients like Zn, B, Mn, Mo has been reported in some parts of the country particularly northwestern region. It is now well known that S and Zn deficiencies particularly in wet land rice soils in many parts of the country have been induced by imbalanced fertilization. Deficiencies of Ca and Mg are also prevalent in calcareous soils. On the other hand, organic matter content of most of the Bangladesh soils is very low where the majority fall below the critical level (1.5 percent). The organic matter content of Bangladesh soils in continuously cropped areas from 1967 to 1995 has been depleted by 5 to 36 percent (Ali et al., 1997). One natural reason is that organic matter decomposition in soils with tropical climate, like Bangladesh, is high. Moreover, the addition of organic materials to soil through FYM, compost and organic residues has been reduced considerably because a major portion of these organic residues (cow dung & crop residue) is used up as fuel by the rural people. The major reasons for the depletion of soil fertility in Bangladesh are listed below:

  1. The increased intensity of cropping, specially changes in crop sequence with HYV, makes current management practices, including fertilizer use less effective;
  2. More fertilizers are being used on lands with poorer soils or uncertain irrigation facilities;
  3. There is an imbalance in the supply of N, P and K with application of latter two nutrients often being too low;
  4. Deficiencies of secondary and micronutrients are prevalent; and
  5. Gradual decrease in soil organic matter and an increase in soil degradation (erosion, acidification, salinization, alkalization pollution, compaction etc.).

3. Soil nutrient mining

Soil fertility and environment are closely interlinked: Depletion of soil fertility means degradation of the environment and likewise, its improvement also leads to a better environment. The depletion of nutrients (fertility erosion) is widespread on the earth as well as in Bangladesh. The major forms and causes of nutrient depletion include excessive crop nutrient uptake and removal, erosion, leaching, gaseous loss, irreversible fixation in the soil and immobilization in the trunks and branches of tree crops.

Table 1. Soil nutrient mining status in Bangladesh (1998-99)

Location

Dominant cropping pattern

Total yield (t/ha/yr)

Nutrient mining (kg/ha/yr)

Palima, Tangail

Mustard-Boro-T. Aman

13.0

-190

Polashbari, Gaibandha

Mustard-Boro-T. Aman

10.2

-270

Narhatta, Bogra

Mustard-Boro-T. Aman

9.5

-280

Palima, Tangail

Wheat-Jute-T. Aman

7.0

-240

Paba, Rajshahi

Potao-Jute-T. Aman

34.5

-350

Thakurgaon

Sugarcane intercropping

60.0

-80

Joypurhat

Sugarcane intercropping

107.0

-60

Rajshahi

Sugarcane intercropping

90.0

-62

Bogra

Boro-GM-T. Aman

11.0

-180

Bogra

Wheat-GM-T. Aman

7.5

-170

Source: DANIDA/SFFP.

4. Need for balanced fertilization in Bangladesh agriculture

Imbalanced fertilizer use is both costly in terms of nutrient loss from soil mining, decline in food supply and loss of soil fertility and land productivity and the consequent decline in food production.

Bangladesh adopted a strategy for balanced fertilization to promote soil building to support sustainable land use system and ensure stable supply of food grains from existing agricultural lands.

Bangladesh is gradually moving away from the traditional and rather static agriculture dependent on native soil fertility to a dynamic judicious fertilizer dependent agriculture. In a judicious fertilizer-dependent agriculture, balanced fertilization strategy has to be a cornerstone of all activities. Balanced fertilization is aimed at:

5. Fertilizer use in Bangladesh agriculture

Total requirement of fertilizers like Urea, TSP, SSP, MP, Gypsum and mixed fertilizer for crop production are 28.0, 5.0, 1.25, 1.5 and 3.0 lakh metric tonnes per year respectively. Among them 60 percent of Urea and 100 percent of mixed fertilizer is produced in the country (personal communication with Deputy Director, Directorate of Agricultural Extension). Annual consumption of chemical fertilizer is increasing at constant rate. Figure 1 depicted nitrogen, phosphorous and potassium consumption in the country from 1980-81 to 1996-97 and Figure 2 explains trends of chemical fertilizer consumption by two rice and wheat crops.

IMPROVING PLANT NUTRIENT MANAGEMENT
FOR BETTER FARMER LIVELIHOODS, FOOD SECURITY AND
ENVIRONMENTAL SUSTAINABILITY

Figure 1. Bangladesh annual consumption of fertilizer nutrient, 1980-81 to 1996-97

IMPROVING PLANT NUTRIENT MANAGEMENT
FOR BETTER FARMER LIVELIHOODS, FOOD SECURITY AND
ENVIRONMENTAL SUSTAINABILITY

Figure 2. Projection of fertilizer consumption and rice and wheat production in 2010

6. Projection of wheat and rice production and chemical fertilizer use

Considering 1980 as baseline, wheat and rice production were projected to 2010 both in terms of yield and corresponding NPK use. The scenarios are illustrated in the Tables 2 and 3.

Table 2. Projection of wheat and rice production and NPK use up to 2010

Crop

Wheat and rice production (million mt)

19811

19962

Diff. btw.
1981-1996

2010 Projection3

1996-2010

Rice 20.9 26.7

5.8

40.8

14.1

Wheat 1.0 1.4

0.4

2.0 0.6
Total 21.9 28.1

6.2

42.8

14.7

Fertilizer

Fertilizer consumption (million mt)

19814

19965

Diff. btw.
1981-1996

2010
Projection

1996-2010

N 0.28 0.96

0.68

2.437

1.47

P2O5

0.12 0.14

0.02

0.357

0.21

K2O

0.03 0.10

0.07

0.257

0.15

Total 0.43 1.20

0.77

3.036

1.83

1

1981 average production calculated form FAOSTAT values for the years 1980, 81, 82.

2   

1996 average production calculated form FAOSTAT values for the years 1985, 96, 97.

3   

Projected production (source: Agriculture Towards 2010 (W89CS) ESD database, FAO).

4   

1981 average consumption calculated form FAOSTAT values for the years 1980, 81, 82.

5   

1996 average consumption calculated form FAOSTAT values for 1995 and FDI-II and ATDP/IFDC value for 1996-97.

6   

Calculation of projected total N, P2O5, K2O fertilizer consumption for the year 2010.

  

Ftot2010 = •Ftot B1-96/•Ftot81-96 •Ftot81-96 x 96-2010 + Ftot96

7   

Calculation of individual N, P2O5, K2O, projected consumption for the year 2010.

   

N, P2O5, K2O = N, P2O5, K2O,/Ftot96 x Ftot2010

Table 3. Trend of different fertilizers used during the period of 1980 to 2003

Year

Urea

TSP

SSP

DAP

MOP

Gypsum

Zinc

AS

Others

1980-81 5.6 2.2 0.4 0.5 *

0.1

1981-82 5.2 2.1 0.5 0.5 *

*

1982-83 6.3 2.1 0.7 0.5 * *

*

1983-84 7.1 2.6 0.9 0.6 * *

*

1984-85 8.3 3.2 * 0.7 * *

*

1985-86 7.9 3.0 * 0.6 * *

*

1986-87 9.2 3.4 * 0.7 * *

*

1987-88 10.3 3.9 0.9 * * *

1988-89 11.4 4.2 0.9 0.6 * *

173

1989-90 13.7 4.8 * 1.2 0.7 * *

18

1990-91 133.0 5.1 0.1 1.5 1.0 * *

211

1991-92 15.3 4.6 0.4 1.4 1.2 * *

1992-93 155.0 4.1 1.2 0.02 1.3 1.1 * *

1993-94 15.8 2.3 1.7 0.30 1.0 0.9 * *

97

1994-95 17.5 1.2 5.3 0.02 1.5 0.8 *

1995-96 20.4 1.1 6.0 1.6 1.0 * *

1996-97 21.2 0.7 5.3

2.2

0.9

*

0.1

1997-98 18.7 0.6 4.7 0.07

1.9

1.1

*

0.9

1998-99 19.0 1.7 3.6 0.4

2.1

1.3

*

0.1

1999-00 20.0 2.4 2.1 1.0

2.3

1.7

*

0.3

2000-01 21.1 4.0 1.4 0.9

1.2

1.0

*

0.1

2001-02 22.5 3.4 1.2 0.9

2.5

0.6

2002-03 22.4 3.3 1.3 1.2

2.8

0.4

Note: Figures in lakh (100 thousand) metric tonne.

7. Plant nutrient balance system

The continuous recycling of nutrients in to and out of the soil is known as the nutrient balance, which involves complex biological and chemical interactions. Figure 3 constructed by Smaling, 1993, provided the illustration of the basic simplified nutrient input – nutrient output balance system.

IMPROVING PLANT NUTRIENT MANAGEMENT
FOR BETTER FARMER LIVELIHOODS, FOOD SECURITY AND
ENVIRONMENTAL SUSTAINABILITY

Figure 3. The plant nutrient balance system

The nutrient balance system has two parts: inputs that add plant nutrients to the soil and outputs that export them from the soil largely in the form of agricultural products. Important input sources include inorganic fertilizers; organic fertilizers such as manure, plant residues, and cover crops; nitrogen generated by leguminous plants; and atmospheric nitrogen deposition. Nutrients are exported from the field through harvested crops and crop residues, as well as through leaching, atmospheric volatilization, and erosion. The difference between the volume of inputs and outputs constitutes the nutrient balance. Positive nutrient balance in the soils (occurring when nutrient additions to the soil are greater than the nutrients removed from the soil) could indicate that farming systems are inefficient and in the extreme, that they may be polluting the environment. Negative balance could well indicate that soils are being mined and that farming systems are unsustainable over the long-term. In case of negative nutrient balance, nutrients have to be replenished to sustain agricultural outputs and to maintain soil fertility for future.

However, targeting high yield with a high cropping intensity is the most logical way to raise the total production from the country’s limited resources. Since the nutrient turnover in soil plant system is considerably high in intensive farming, neither the chemical fertilizers nor the organic and biological sources alone can achieve production sustainability. Even with balanced use of chemical fertilizers high yield level could not be maintained over the years because of deterioration in soil physical and biological environments due to low organic matter content in soils. In this context and as a further response to economic recession, and also to conserve and improve soil fertility the concept of Integrated Nutrient Management (INM) system has been adopted.

8. Concept of integrated nutrient management

The Integrated Nutrient Management (INM) is the maintenance of soil fertility for sustaining increased crop productivity through optimizing all possible sources, organic and inorganic, of plant nutrients required for crop growth and quality in an integrated manner, appropriate to each cropping system and farming situation in its ecological, social and economic possibilities (Roy, 1986).

The basic concept underlying the principles of INM is to integrate all sources of plant nutrients and also all improved crop production technologies into a productive agricultural system (Roy, 1986). In other words, integrated nutrient management aimed to maintain the soil fertility and plant nutrient supply to an optimum level for sustaining the desired crop productivity through optimization of the benefits from all possible sources of plant nutrients in an integrated manner. Therefore, it is a holistic approach, where we first know what exactly is required by the plant for an optimum level of production, in what different forms these nutrients should be applied to soil and at what different timings is the best possible method, and how best these forms should be integrated to obtain the highest productive efficiency on the economically acceptable limits in an environment friendly manner (Chundawat, 2001). One characteristic of the INM is that the fertilizer recommendation should take into account the cropping system as a whole rather than individual crop in the system. This aspect is particularly important in case of phosphorous where the percentage utilization by the crop to which it is applied is rather low and where there is residual effect to benefit the following crop. Similarly, the nitrogen contribution of legume crops in the cropping system will have to be considered. Besides, some crops show selective uptake of some specific elements. Moreover, nutrients supplied from other sources should be accounted for making up the gap between the recommended and actual levels of fertilizer application.

8.1 Components and technology

The main aim of the INM approach is to tap all the major sources of plant nutrients as illustrated in Figure 3 in a judicious way and to ensure their efficient use (Roy, 1986).

8.2 Goal of INM

Sustainable agricultural production incorporates the idea that natural resources should be used to generate increased output and incomes, especially for low income groups without depleting the natural resource base. INM’s goal is to integrate the use of all natural and man-made sources of plant nutrients, so that crop productivity increases in an efficient and environmentally benign manner, without sacrificing soil productivity of future generations (Gruhn et al., 2000). INM relies on a number of factors, including appropriate nutrient application and conservation and the transfer of knowledge about INM practices to farmers through extension personnel.

8.3 Benefits of INM

Sufficient and balanced application of organic and inorganic fertilizers is a major component of INM. However, the following research findings (Tables 4 through Table 8 and Figure 4) on INM technology in different soils and crops, cropping system/patterns of Bangladesh clearly revealed the benefits of INM in respect of yield sustainability and improvement of soil fertility.

Table 4. Grain yield of wheat and T. Aman obtained in integrated nutrient management at Dinajpur, 1994-97 

Treatment

Wheat grain yield (t/ha)

T. Aman grain yield (t/ha)

Total grain yield (kg/ha)

1994-95

1995-96

1996-97

1997-98

Ave.

1995

1996

1997

Ave.

Control 0.93d 0.83

0.52d

0.20c

0.62 3.79c 3.24c 2.84e

3.29

3.91

100% NPKSZn 3.67a 3.30

3.61a

3.81a

3.60 4.88a 4.64a 4.18ab

4.57

8.16

75% NPKSZn 2.60b 2.67

2.04c

2.99b

2.58 4.11bc 4.08b 3.58cd

3.92

6.50

GM + 50% NPKSZn

2.90b 2.88

2.93c

3.08b

2.95 4.06bc 4.03c 3.73c

3.94

6.89

GM + 75% NPKSZn

2.58b 3.21

3.31b

3.88a

3.25 4.52abc 4.40a 4.03b

4.32

7.56

FYM + 50% NPKSZn

2.60b 2.80

2.87c

3.04b

2.83 4.04bc 3.70b 3.50d

3.75

6.57

FYM + 75% NPKSZn

3.80a 3.21

3.74a

4.22a

3.74 4.76ab 4.65a 4.21a

4.54

8.28

Note:

Figures followed by some letters do not differ significantly at 5 percent level.

Source:

BARI Annual Report.

Table 5. Effects of combined use of fertilizers and manure/crop residues on the grain yield of T. Aman rice

Treatments

Grain yield (t/ha)

BAU farm

BRRI farm

1998

1999

2000

Mean

1998

1999

2000

Mean

T1: Control

2.93g 2.66f 2.45f 2.68 2.78g 2.67g 2.62g

2.69

T2: 50% NPKS

3.85f 3.89e 6.51e 3.75 3.56f 3.80f 3.69f

3.68

T3: 70% NPKS

4.30def 4.38cde 3.94d 4.21 4.30de 4.32def 4.05def

4.22

T4: 100% NPKS

5.05abc 5.06ab 4.85bc 4.99 5.14ab 5.05abc 5.43abc

5.10

T5: 50% NPKS + RS

4.09ef 4.11de 4.03d 4.07 3.94ef 4.11ef 3.95ef

3.85

T6: 70% NPKS + RS

4.37def 4.43d 4.22d 4.34 4.49cd 4.64b-e 4.23de

4.45

T7: 50% NPKS + DH

4.81bcd 4.95b 4.86bc 4.87 5.18a 4.87a-d 5.13c

5.06

T8: 70% NPKS + DH

5.17ab 5.17ab 5.22abc 5.19 5.22a 5.29ab 5.53ab

5.35

T9: 50% NPKS + MBR

5.10ab 5.12ab 4.99bc 5.07 5.20a 5.05abc 5.23be

5.16

T10: 70% NPKS + MBR

5.41a 5.23a 5.31ab 5.32 5.42a 5.33ab 5.59ab

5.45

T11: 50% NPKS + CD

4.08ef 4.32cde 4.28d 4.23 4.10e 4.46cde 4.00def

4.49

T12: 70% NPKS + CD

4.55cde 4.66bc 4.82c 4.68 4.74bc 4.73a-e 4.34d

4.60

T13: 50% NPKS + PM

5.16ab 5.12ab 5.13abc 5.14 5.35a 5.02abc 5.54ab

5.30

T14: 70% NPKS + PM

5.47a 5.29a 5.47a 5.41 5.49a 5.34a 5.68a

5.50

CV (%) 6.40 6.30 5.50 5.10 7.80  

Level of significance

0.01 0.01 0.01 0.01 0.01  

Note:

In column, figures followed by some letters do not differ significantly at 5 percent level by DMRT.

RS = Rice straw, DH = Dhaincha (Sesbania), MBR = Mungbean residue, CD = Cow dung and
PM = Poultry manure

Source:

Bangladesh Agricultural University, Mymensingh.

Table 6. Effect of rhizobial inoculum and chemical fertilizers on the yield and major yield contributing characters of cowpea at Joydebpur for 2002-2003

Treatments

Nodule number/ 10 plants

Dry weight of nodule/ 10 plants (mg)

Root weight/ 10 plants (g)

Shoot weight/ 10 plants (g)

Plant height (cm)

1 000 seed weight (g)

Stover yield (t/ha)

Seed yield (t/ha)

Yield increase over control (%)

NPKS 42d 223c

4.24c

29.1a

27.2a

113.1

1.76a 1.03b

28.75

PKS + Inoculum 132a 582a

4.85a

28.4a

27.6a

114.5

1.68a 1.13a

41.25

PKS 80c 456b

4.5b

22.2b

27.5a

112.1

1.69a 1.00b

25.00

Inoculum 99b 567a

3.5d

24.43b

27.4a

112.0

1.22b 1.01b

26.25

Control 29e 206c

2.62e

18.5d

27.1a

108.3

1.10b 0.80c
CV (%) 6.06 3.67

3.44

6.04

6.92

7.39 9.48 6.18  

Note:

Means followed by a common letter are not significantly different at the 5 percent level by DMRT.

Source:

Soil Science Division, BARI.

Table 7. Yield and yield attributes of tomato as affected by organic manure and chemical fertilizer

Tr. No.

Treatment combination

Plant height (cm)

Fruits/ plant
(no.)

Fruit weight/ plant (kg)

Yield (t/ha)

% increase over control

Chemical fertilizer

PM

CD

kg/ha

t/ha

T1

100% RD 2.5 0 58.8 38.7a 2.79a 75.00a

276

T2

100% RD of T1

0 2.5 54.8 35.0abc 2.44bc 66.10bc

232

T3

100% RD of T1

0 0 55.9 36.0abc 2.38c 64.80bc

225

T4

50% RD of T1

0 0 54.2 30.0bcd 2.27c 48.13d

141

T5

50% RD of T1

5 0 55.9 36.0abc 2.58bc 68.14ab

242

T6

50% RD of T1

10 0 57.0 36.7ab 2.70ab 70.81ab

255

T7

50% RD of T1

0 10 54.6 32.3a-d 2.34c 60.27c

202

T8

25% RD of T1

10 0 53.9 28.3cd 2.29c 52.12d

162

T9

25% RD of T1

0 10 51.8 26.0de 1.80d 45.49de

128

T10 0 10 0 50.7 25.7de 1.65d 40.69e

104

T11 0 0 10 49.9 19.7ef 1.21e 28.77f

44

T12 Nativenutrient 0 0 48.4 14.7f 0.85f 19.93g

-

  CV (%) 6.7 13.8 7.5 7.3  

Note:

Means followed by common letter(s) do not differ significantly at 5 percent level by DMRT.

 

RD = Recommended dose of chemical fertilizer = N150P45K80S25Zn2B1 kg/ha

Source:

Soil Science Division, BARI.

Table 8. Yield and yield attributes of hybrid maize as influenced by lime and boron during the rabi season of 2002-2003 at ARS, Burirhat, Rangpur

Treatment combination

Plant height (cm)

Cob/plant (no.)

Cob size

Grain/cob (no.)

Grain wt/cob (g)

1 000 grain
wt (g)

Grain yield (t/ha)

Length (cm)

Breadth (cm)

T1 = AL* + B0

198.3cd 1.24c

20.50d

7.54b 462.0c

302.7c

356.0c

6.19f

T2 = Dolo + B0

200.7cd 1.26c

21.22c

7.54b 466.0bc

306.7c

356.0c

6.50e

T3 = AL* + B1.5

202.3bc 1.27c

21.27c

7.7ab 471.30b

324.0b

368.7b

7.07d

T4 = Dolo + B1.5

204.3bc 1.26c

21.87b

7.90a 476.6b

326.0b

380.0b

7.53c

T5 = AL* + B3.0

205.0b 1.33b

22.13ab

7.99a 545.02ab

360.0a

413.0ab

7.70b

T6 = Dolo + B3.0

212.0a 1.40a

23.27a

8.00a 570.0a

367.3a

4.34.0a

8.23a

T7 = L0B0

195.7d 1.20d

20.30d

7.31c 450.0d

290.7d

346.7d

5.27g
LSD (0.05) 5.93 0.60

0.34

0.30 6.50

31.32

49.43

0.23
CV % 4.35 7.07

5.36

6.52 4.08

14.30

19.39

8.90

* AL = Agricultural lime.
Blanket dose: N300P50K125S20Zn4 kg/ha & cow dung 5 t/ha
Source:
Soil Science Division, BARI.

IMPROVING PLANT NUTRIENT MANAGEMENT
FOR BETTER FARMER LIVELIHOODS, FOOD SECURITY AND
ENVIRONMENTAL SUSTAINABILITY

Figure 4. Major sources of plant nutrients

IMPROVING PLANT NUTRIENT MANAGEMENT
FOR BETTER FARMER LIVELIHOODS, FOOD SECURITY AND
ENVIRONMENTAL SUSTAINABILITY

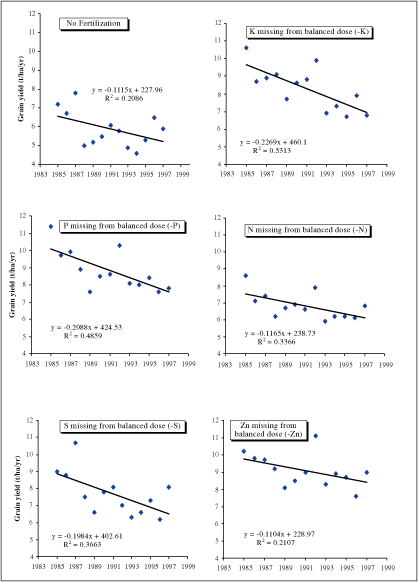
Figure 5. Long-term trends of MV rice yield under incomplete fertilization at BRRI, Gazipur during 1984-1998

8.4 Constraints

The major constrains for proper adoption and utilization of INM technology at farmer’s level are listed below:

  1. Farmers often have inadequate knowledge and funds, which compelled them to mis-purchase and mis-application of fertilizers. Most of the farmers are aware of fertilizers but do not use it in balanced proportion;
  2. The linkage and interactions among researchers, extension services and NGO personnel are weak;
  3. Degradation of lands due to intensive cropping/over exploitation by the enormous pressure of the ever increasing population;
  4. Risks of water deficit in drought prone period are considered the most important deterrent to fertilizer use; and
  5. During monsoon water erosion is a serious threat on soil fertility and productivity.

9. Conclusions

  1. With the increasing cropping intensity, the use of chemical fertilizer is also increasing in Bangladesh but due to imbalanced use, the fertility of the soils has been depleted.
  2. Research findings showed very encouraging effects of INM technology on the higher yield of many crops and cropping sequences of the country.
  3. The benefits of INM technology have been demonstrated and disseminated to the farmers through extension personnel.
  4. More motivations and subsidies are required for the adoption of INM technology by the farmers.
  5. Agricultural policy measures should be strengthened so that farmers get proper support, encouragement and guidance to switch from conventional agriculture towards technology oriented agriculture.

References

Ali, M.M., S.M. Shaheed and D. Kubota. 1997. Soil degradation during the period 1967-1995 in Bangladesh. II. Selected chemical characters. Soil Sci. Plant Nutr. 43: 879-890.

BARC. 1998. Land Degradation situation in Bangladesh. Soils Division, Bangladesh Agricultural Research Council, Dhaka 1215.

BARI. 1994-2003. Bangladesh Agricultural Research Institute Annual Report. BARI, Gazipur, Bangladesh.

BRRI. 2001. Bangladesh Rice Research Institute Annual Report. BRRI, Gazipur, Bangladesh.

BBS. 1996. Statistical year book, Bangladesh bureau of statistics.

Cassman, K.G., S.K. de Datta, D.C. OlK, J. Alcantra, M. Sason, J. Descalsota and M. Dizon. 1995. Yield declined and the nitrogen economy economy of long-term experiment on continuing, irrigated rice system in the tropics. pp. 181-222. In: R. Lal and B.A. Stewart (eds.) soil Management: Experimental Basis for sustainability and environmental quality. Lewis Publisher, London, UK.

Chundawat, B.S. 2001. Integrated nutrient management in tropical and subtropical fruits.

Indian J. of Horticulture. 58 (1&2): 59-69 pp.

DAE. 2005. Department of Agricultural Extension (DAE) Integrated Soil Fertility and Fertilizer Management Project (SFFP). Training Manual. DAE, Khamarbari, Dhaka, Bangladesh.

Gruhn, P., F. Goletti and M. Yudelman. 2000. Integrated nutrient management, soil fertility, and sustainable Agriculture: Current issues and future challenges. International food policy research institute, Washington, D.C., USA. 3-31 pp.

Islam, M.F. and M.F. Haq. 1998. Integrated nutrient management with inorganic fertilizers and green manure in some doinant cropping patterns. In proceedings of the national workshop on integrated nutrient management for crop production and soil fertility. 24-25 March, 1998. BARI, Gazipur, Bangladesh. 55-71 pp.

Roy, R.N. 1986. FAO, fertilizer programme with special reference to integrated plant nutrition system. Fertilizer in agricultural development. Krishak Bharati Cooperative Limited, New Delhi, India. 149-169 pp.

Smaling, E.M.A. 1993. Soil nutrient depletion in Sub-Saharan Africa. In the role of plant nutrients for sustainable food crop production in Sub-Saharan Africa, ed. H. Van Reuler and W.H. Prims. Leidschendan, the Netherlands: VKP.

Previous PageTop of PageNext Page