Previous PageTable of ContentsNext Page

Session 3
“Chemical properties and their effect on productivity”

Managing sandy soils in Northeast Thailand

Wada, H.1

Keywords: animal manure, ball fertilizer, core technique, green manure, salinization, reforestation

Abstract

Most of the arable soils in Northeast Thailand are typical tropical sandy soils. Their main primary and secondary minerals are quartz and kaolinite, respectively, because parent materials have been strongly weathered. As a result of the destruction of natural vegetation to make room for cultivation, the soil organic matter is low resulting in low cation exchange capacity (CEC) and low pH. Amelioration of these soils requires liming, fertilization and application of organic matter and 2:1 type clay minerals. Each of these ameliorating techniques encounters respective problems. Rather many farmers are using animal dung as an organic fertilizer for cash crops and/or rice seedlings. This practice has some limitations. Green manure has been considered to be useful, though its extension has not been successful due to lack of proper techniques of cultivation and utilization of suitable plants. A part of the arable soils in the region are salt-affected, salinization being intensified by deforestation. Reforestation is not always effective in desalinizing the salt-affected soils, because the degree of salinization varies markably according to the position in the relief and both short- and long-term strategies are needed. This paper discusses laboratory, greenhouse and field strategies for overcoming these problems in sandy soils of Thailand.

Introduction

Most of the arable soils in Northeast Thailand are sandy, acidic and infertile. Their primary and secondary minerals are mainly quartz and kaolinite, respectively. This is because their parent materials are highly weathered. These infertile soils are liable to be degraded by human activities. In this sense, these soils can be said to be typical tropical sandy soils. This paper discusses the characteristics and amelioration strategies of these soils mainly based on the research results of Agricultural Development Research Center in Northeast Thailand (ADRC), a project of Japan International Cooperation Agency (JICA).

Northeast Thailand is a square shaped plateau almost completely surrounded by mountain ranges and divided into two basins (Khorat Basin, Sakon Nakon Basin) by a relatively small mountain range (Phu Phang Range) (Figure 1). These basins are composed of hilly, undulating and flat low-lying regions. In the flat low lying region, large rivers (e.g. Mun River, Chi River) flow along these mountain ranges. According to Koppen’s system, the climate belongs to tropical savanna with an alternation of rainy and dry seasons. In the rainy season, erratic and small rainfall shows two peaks (Figure 2). In the past, a large part of Northeast Thailand was covered with the forests of Dypterocarpacae (Boulbet 1982, Ishizuka 1986). Deforestation has proceeded gradually in old times and rapidly in recent years in parallel with intensification of human activities (Tasaka 1991). 

Management of Tropical
Sandy Soils for Sustainable
Agriculture

Figure 1. Landform

The main crops have been paddy rice and cassava, though other crops are replacing cassava. The number of cattle is low due to a lack of pasture. Irrigation systems are not well established and a large part of the arable land, especially the paddy field, remains under rain-fed conditions. Traditionally, they transplant rice seedlings when the paddy field is sufficiently flooded without fear of drought. Under these circumstances, most of the farmers are very poor, eager to get cash income by working away from home and have not enough experience and knowledge to utilize high technologies. Accordingly, ameliorating technologies acceptable to the farmers must be cheap, simple and profitable. If technologies are really appealing to farmers they will adopt them without any effort of extension.

Management of Tropical
Sandy Soils for Sustainable
Agriculture

Figure 2. Moisture regime

Nature and properties of the sandy soils Profile

Typical vertical arrangement of the soil horizons or layers is shown in Figure 3. The texture of the soil becomes finer with increasing depth. This may be mainly caused by selective erosion of fine fractions from the surface horizons (Mitsuchi et al. 1986). Two gravel layers are present between the soil and 4 substrata. Upper 3 substrata (mottled zone, pallid zone and saprolite zone) are actually weathered products of the 4th reddish stratum, which is the uppermost part of Mahasarakham formation of the Cretaceous to Tertiary period (Mitsuchi et al. 1986, Wada et al. 1994). The mottled zone and the pallid zone are enriched with 2:1 type clay minerals and CaCO3. This profile suggests that the parent material of the sandy soil is transported by wind in the past when Northeast Thailand was significantly drier than the present. The gravel layers and the saprolite zone with cracks are an aquifer of shallow unconfined groundwater and an aquifer of deep semi-confined groundwater, respectively (Khoyama and Subhasaram 1993, Wada et al. 1994).

Management of Tropical
Sandy Soils for Sustainable
Agriculture

Figure 3. Vertical arrangement of horizons and layers

Other types of vertical profile are modifications of the above mentioned typical vertical profile. One type of the modified profiles is often found along the big rivers due to strong erosion and sedimentation for a long period.

Some chemical properties of the sandy soils

The arable sandy soils are acid, poor in organic matter and macro- and micro-nutrients and low in CEC (Motomura et al. 1979, Ogawa et al. 1980, Bell et al. 1990, Ishida et al. 1993). The low organic matter content may be caused by low ability of the soil to stabilize organic matter as well as by the rapid decomposition of organic matter under tropical conditions (Wada 1996). Arable soils are remarkably inferior to their corresponding native forest soils in terms of almost all the important properties relating to soil fertility (Ohta et al. 1992, 1996). In other words, deforestation lowers contents of organic matter and mineral nutrients, CEC and pH. The main reasons are: (1) Deforestation enhances loss of organic matter, because supply of organic matter in the form of litter is curtailed and decomposition of organic matter is accelerated, (2) CEC decreases in parallel with the decrease in organic matter content, because CEC is principally attributed to organic matter (Figure 5); (3) deforestation destroys the cycling of basic cations like Ca and K inside the forest by both runoff and leaching that carry away the basic cations which are supplied to the soil from the subsurface horizons through litter fall. (Figure 6). In addition, (1) main part of the soil organic matter takes the form of plant debris liable to be decomposed (Wada 1996), (2) the soil is rather easily acidified even to the subsoil by repeated application of chemical fertilizers, (3) the acid tropical soil contains Al3+ as well as H+, probably due to low content of weatherable minerals (Yoshioka 1987, Patcharapreecha et al. 1990, 1992) and (4) the Al3+ is partially bound with organic matter (Patcharapreecha et al. 1990, 1992).

Accumulation of salt (salinization) in the sandy soils

A rather large part of the arable land is salt-affected to varying degrees (Figure 4). Generally, strongly salt-affected narrow areas are scattered at the western hilly to undulating regions and relatively weakly salt-affected wide areas are spread at the low-lying flat region, especially along the big rivers (Figure 4). This suggests in most cases (1) the salt comes up to the soil from a saline groundwater at localized places in the hilly to undulating regions and (2) the uplifted salt spreads along the big rivers through the groundwater. This suggestion is supported by the fact that the groundwater is usually saline at these salt-affected areas.

Management of Tropical
Sandy Soils for Sustainable
Agriculture

Figure 4. Soil salinity distribution (Arunin 1984)

Elevations inside the undulating region are conventionally classified into high, middle and low terraces according to their relative height (Moorman et al. 1964). Inside the salt-affected area, these terraces are differently affected with salt. Salt affects only the foot of high terrace, from the top to the foot of middle terrace and from the top till the foot of the low terrace. In addition, narrow low ground amongst these terraces is often salt-affected. Small salty mounds called nam dun in Thai are distributed mainly at the top of the middle terrace. Salt of nam dun appears to move downward along the slope.

Management of Tropical
Sandy Soils for Sustainable
Agriculture

Figure 5. Decreases in organic C ad CEC by deforestation (Ota et al. 1996)

Management of Tropical
Sandy Soils for Sustainable
Agriculture

Figure 6. Change in cycling of bio-elements by defores­tation (Ota et al. 1996)

Based on these facts and other information, the following tentative theory was proposed for salinization in Northeast Thailand (Khoyama and Subhasaram 1993, Wada et al. 1994).

The salt is originated from a rock salt stratum in Mahasarakham formation and comes up to the confined deep groundwater through deep fractures formed at the boundary between the hilly and the undulating regions. The resulted saline confined deep groundwater rises and passes the overlying clayey strata (mottled zone and pallid zone) through their cracks developed mainly at the breast of middle terrace. The rising saline water (1) supplies salt to the unconfined shallow groundwater or (2) forms nam dun on the ground surface. Nam dun is enriched with not only salt but also clay and CaCO3, because the rising saline water is supplied with these substances from the mottled zone and the pallid zone. Salt contained in nam dun moves downward along the slope by runoff, interflow and baseflow in the rainy season. On the contrary, salt in the shallow groundwater salinizes the overlying soils by capillary rise in the dry season.

Ameliorative technologies are somewhat different between the non-saline soils and the salt-affected soils, because the latter needs desalinization, an additional ameliorative technology. Accordingly, amelioration of the non-saline soil and the salt-affected soil will be separately discussed.

Amelioration of the non-saline soils

Conceivable technologies for ameliorating the above-mentioned infertile sandy acid soil are application of amendments such as liming material, chemical fertilizer, 2:1 type clay mineral, and organic fertilizer.

Liming material: Liming is surely effective for acid-susceptible crops. Liming the subsoil as well as to the surface soil is necessary if the subsoil is acidified by heavy application of chemical fertilizers (Ishida et al. 1993). However, the soil with low buffering capacity against pH-changes is liable to be over-limed and to induce deficiency of some micronutrients (e.g. Zn, B). To keep the neutralizing effect of liming for several years, coarse-grained CaCO3 is recom-mendable, because liming materials are liable to be lost rather quickly from the sandy soil (Puengpan et al. 1992, Ishida et al. 1993). For growth of cotton in the acid soil, slaked lime + mixed chemical fertilizer was much inferior to a city compost alone or in combination with slaked lime and/or mixed chemical fertilizer (Chairoj et al. 1993). Five years of successive applications of chemical fertilizer resulted in poor growth of cotton due to rapid acidification of the soil. On the contrary, 5 years successive compost application resulted in healthy growth of cotton (Ishida et al. 1993). These results indicate the combination of coarse-grained CaCO3 with compost is most effective to overcome acidity of the sandy soil.

Chemical fertilizers: Many farmers cannot apply sufficient amounts of chemical fertilizers to their crops, because yield of the crops is strongly controlled by erratic rainfall. This is especially so for paddy rice which is the main crop in Northeast Thailand. The problem of chemical fertilizers to acidify the soil is discussed above. Another problem of chemical N-fertilizer is its low efficiency mainly due to loss of NH4+ and/or NO3- by leaching in upland field (Yoshioka 1987) and by lateral flow of floodwater (Chanchareonsook 1983), denitrification and NH3-volatilization in the paddy field. For finding methods to prevent such loss, both the combination of chemical fertilizers with organic matter (e.g. azolla) and the ball fertilizer were tested using a lysimeter (Ishida et al. 1994). Both methods, especially latter, were effective in suppressing leaching of NH4+ and NO3-. The ball fertilizer is a ball shaped solid fertilizer composed of chemical fertilizers and a matrix to make components of the chemical fertilizers release slowly to be efficiently taken up by the plant. In an experiment, a ball fertilizer of 4 mm in diameter was manually prepared by mixing chemical fertilizers with clayey material of the mottled or pallid zone rich in 2:1 type clay mineral. Accordingly, such manually prepared ball fertilizer may be recommendable for the poor farmers. In addition, ball fertilizer including commercial products may be recommended to the relatively rich farmers who are cultivating cash crops by applying large amounts of chemical fertilizers along the waterway in the suburbs of big cities like Khon Kaen, because excess amounts of chemical fertilizers are wasteful and potentially pollute water with NH4+, NO3-and phosphate.

Clay: A pot experiment confirmed addition of several kinds of clayey material to the sandy soil increased growth of sweet corn (Mitsuchi et al. 1986). One of the sources of the clayey material examined in this experiment was the pallid zone rich in 2:1 type of clay mineral. This material was obtained from the bank of a pond: the bank was constructed using mainly the material of the mottled zone and the pallid zone, which were dug out when the bottom of the pond reached the pallid zone. Farmers often cultivate cash crops on the banks of their ponds. Probably they recognize the soils of the banks are better than the sandy soils of their fields. However, they will not bring the clayey material from the pond to their remote fields for soil improvement, because it is too laborious. In this sense, the ball fertilizer containing the clayey material mentioned above may be regarded as a practical tool for applying the clayey material to the sandy soil.

Compost and animal dung: Effectiveness of compost-application in increasing rice yield and soil organic matter content, mainly in the form of plant debris, was confirmed by a long-term experiment in a paddy field at Surin (Takai 1983, Saenjan et al. 1992). However, compost-application is not traditional and the farmers have not accepted official recommendation to use compost. Probably, they dislike laborious work of preparation and application of compost. Actually, raw material of compost is not abundant and quality of common compost is not high. For instance, most of rice stubble left in the paddy field in large amounts is often burnt after being slightly grazed by cattle. Compost is usually prepared outdoors under exposure to the rain resulting in loss of water-soluble substances such as K. Traditionally, the farmers use animal dung for cultivating cash crops and rice seedlings in nursery beds. They may realize the effectiveness of animal dung in promoting growth of the crops and use the limited amount of animal dung as economically as possible. There are 2 reasons for the limited amount of animal dung. The first is small number of domestic animals. The second is that the farmers utilize only the dung excreted and stored under the floor of the farmers’ houses and will not gather up the dung scattered outdoors, probably they consider the weathered dung is ineffective.

Techniques to slow down the rate of microbial decomposition of the compost and the animal dung are necessary for enhancing their utility, because the mineral nutrients quickly released from them are liable to be lost in the same way as the chemical fertilizers before being taken up by the crops. In addition, the techniques to slow down microbial decomposition of organic matter in the soil should be necessary for increasing soil organic matter content and for suppressing the increase in atmospheric CO2 content.

For this purpose, addition of Al or Fe salts to the compost and the animal dung was expected to be promising, because both metals have ability to strongly combine with organic matter and retard its microbial decomposition. A laboratory experiment confirmed these additives somewhat suppressed microbial decomposition of a buffalo dung, a city compost and a rice straw compost and a field experiment showed that the compost added with these additives was better than the compost alone in enhancing growth of baby corn in spite of that these additives themselves were harmful to the crop (Saenjan et al. 1991, 1993). Furthermore, addition of polyvinyl alcohol to the cow dung appears effective also in suppressing microbial decomposition of the cow dung (Dejbhimon 2004).

Green manure: Utilization of green manure has been considered to be useful for increasing yield of crops and several plants have been recommended for green manure. For example, aquatic legumes have been regarded to be suitable for the rice cultivating in the rain-fed paddy fields, because these plants can grow under both drained and flooded conditions. However, farmers have not accepted the role of green manures in their production systems. The reasons are (1) the seeds of recommended plants are not readily available, (2) chemical fertilizers should be applied to the field to get sufficient amount of green manure, (3) many natural enemies attack the recommended plants and (4) organic acids toxic to rice seedlings are produced when green manure is plowed under in the flooded paddy field. In addition, we must be careful about the problem of methane emission from the flooded paddy field when green manures are applied. This additional problem is especially serious for the sandy soil poor in reactive iron oxide, because the amount of methane produced in the submerged soil becomes high when the soil is poor in reactive iron oxide (Takai, 1961) and the produced methane easily bubbles out from the soil without oxidation at the oxidized layer by methane oxidizing bacteria (Chanchareonsook et al., 1983; Taja, 1994).

Many experiments conducted in the laboratory and in the greenhouse (Patcharapreecha et al., 1993; Taja, 1994) revealed: (1) among aquatic legumes examined, Sesbania rostrata with stem-nodules as well as root-nodules was the most promising plant for paddy rice, because it can rapidly grow by actively fixing N2, (2) P was only one nutrient necessary for healthy growth of the plant and phosphate rock could be used as a P-fertilizer, (3) the amount of organic acids (e.g. acetic acid, butyric acid) produced from green manure in the submerged soil increased, reached a maximum, decreased and became very small 1 week after incubation, (4) healthy growth of rice seedlings was secured when they were transplanted about 1 week after plowing under green manure in the submerged, (5) methane was actively produced within 2 weeks after plowing under green manure in the submerged soil and (6) the methane production was remarkably suppressed by placing green manure for about one week on the surface of the submerged soil before mixing with the submerged soil.

Furthermore, several field experiments (Patcharapreecha et al. 1993, Sukchan 1994, Taja 1994) have shown: (1) drought, injurious nematodes and weeds as well as P-deficiency were important factors limiting growth of S. rostrata in the field though the harm of drought and nematodes were negligible and the weed-problem was not serious in the paddy field, (2) S. rostrata could grow well in the moist upland field also and its growth was vigorous at the place temporarily flooded on occasion of heavy rain, (3) toxicity of the organic acids could be avoided by placing green manure on the ground surface of flooded paddy field for about 1 week before plowing under in the soil, when bad smell of butyric acid almost disappeared, (4) phosphate rock was better than triple superphophate, a common P-fertilizer in Thailand, in the moist upland field where the injurious nematode was active, (5) the recommended way of green manure-application helped a farmer to get rice yield (4.7 t ha-1), which was much higher than average (Figure 7) and higher than the estimated yield (4.2 t ha-1) of this cultivar, RD6; (6) soil fertility was improved, (7) the desirable effects of phosphate rock continued in the paddy field for at least 3 years and (8) cattle grazed the tops of S. rostrata growing in the drained paddy field resulting in shortening of plant length, which was helpful for harvesting and handling of the plant.

Management of Tropical
Sandy Soils for Sustainable
Agriculture

Figure 7. Effect of green manure on rice yield (Patcharapreecha et al. 1993)

The combination of S. rostrata and phosphate rock can be regarded as an in situ durable biological machine to produce P and N available for common crops from the phosphate rock and the atmospheric molecular N2. However, several problems still remain to be solved for extending this combination to the farmers: For instance, it is necessary to establish seed systems of S. rostrata that ensure ease of accessibility to farmers, to supply phosphate rock of guaranteed quality to the farmers and to financially support the farmers, who will adopt the recommended techniques.

Management of the non-saline slope

In the undulating region, paddy fields are usually distributed on the gentle slope. In the rainy season, flooding gradually proceeds from the foot to the top of the slope. Accordingly, the paddy fields covered with poor weeds remain idle till flooding, even though absence of pasture limits the number of cattle in Northeast Thailand. A tentative plan to efficiently utilize this kind of the slope was proposed as shown in Figure 8 (Patcharapreecha et al. 1993).

Management of Tropical
Sandy Soils for Sustainable
Agriculture

Figure 8. Efficient management of a slope by cultivating Sesbania rostrata (Patcharapreecha et al. 1993)

In the beginning of rainy season, all the paddy fields and the neighbouring moist upland fields on the slope are applied with phosphate rock and planted to S. rostrata. The plant growing in the paddy field is cultivated till the paddy field is sufficiently flooded and then used as green manure for paddy rice. The plant growing in the upland fields is also utilized as green manure for upland crops at appropriate time. During the period of cultivation of S. rostrata, the fields are used as pastures for fattening cattle. This is desirable for crops also, because soil fertility is increased with dropped dung and application of green manure becomes easy due to shortened plant length.

Amelioration of the salt-affected soil

As discussed above, degree and way of salinization widely vary according to the position in the macro- and micro-relief. This implies that desalinization technique should be different according to the position in the relief and that lowering the saline groundwater by reforestation, a widely accepted countermeasure of salinization, should be carefully implemented and/or supplemented by other counter- measures. At the same time, two aspects of desalinization strategy should be considered. One is a short-term strategy for farmers and aims at establishment of cheap, simple and profitable technologies suitable for increasing yield of crops through improving the soil of individual farmer’s field. The other is a long-term strategy for the government and provides the government data and concepts for planning approaches to combat salinization at the watershed level. These 2 strategies should be well connected with each other so that the farmers and the government work together for reclaiming the salt-affected area.

Short-term strategy for the farmer

Salt-affected slope in the undulating region

Many experiments were conducted at a slope of a middle terrace in the salt-affected area (Puengpan et al. 1990, Puengpan et al. 1991, Wada et al. 1993, Subhasaram 1994,). This is because almost all types of the salt-affected soil exist side by side on the slope of the middle terrace. The slope was a mosaic of the salt and vegetated patches. The salt patch is bare and often covered with salt crust. Native weeds growing at the vegetated patch in the rainy season and those in the dry season are different. The former are annual and tolerant to wet injury while the latter are perennial and tolerant to desiccation and salinity (Puengpan et al. 1991). The salt patch is often related with a dark colored layer about 10 cm in thickness developed near the ground surface. Depth of the overlying sandy layer is thinner at the salt patch than at the vegetated patch. The dark colored layer was rich in both organic matter and clay and acted as an impermeable layer in the rainy and a hard pan in the dry season (Puengpan et al. 1990). In the rainy season, the dark colored layer inhibited desalinization by leaching and was strongly reduced. Thus, any native plants cannot grow at the places where the dark colored layer is present near the ground surface, resulting in the salt patch. Actually, destruction of the dark colored layer was useful for plant growth, especially at the weakly salt-affected places. The dark colored layer may be resulted from deforestation near the top of the slope: the surface layer rich in organic matter and clay of a former forest soil is selectively eroded and the material rich in organic matter and clay is sediments at surrounding lower places of the slope. At the foot of the slope, several paddy fields were abandoned due to salinization, which was mainly caused by intrusion of salty mud that came from the salinized slope by erosion and passed through broken dikes (Puengpan et al. 1991).

On the one hand, rather many kinds of plant were cultivated for more than 1 year with alternating dry and rainy seasons at a wide salt patch on the slope for selecting plants to be used for further experiments (Patcharapreecha et al. 1992, Puengpan et al. 1991). The selected plants were rhodes grass (Chloris gayana), Panicum repens, S. rostrata, S. cannabina, Eucalyptus camaldulensis and Casualina sp. Rhodes grass is a fodder plant and its seed is easily obtained from Live Stock Experimental Station. Seedlings of Eucalyptus camaldulensis are available in the market.

On the other hand, cores were vertically inserted into the ground surface for examining factors con­trolling desalinization and plant growth (Subhasaram et al. 1992, Subhasaram 1994). This experiment confirmed (1) the soil inside the core was much more quickly desalinzed than the soil outside the core, mainly due to enforced percolation of rainwater trapped inside the core, (2) the bottom of the core should reach the dark colored layer for avoiding lateral movement of water on this layer, (3) mulch was effective in suppressing accumulation of salt supplied by capillary rise of saline water on sunny days, (4) germination of seed and growth of a plant were possible inside the core even at the salt patch, (5) application of cow dung enhanced growth of the plant if the degree if salinization was not too high and (6) the inserted core was ineffective in both desalinization and germination at the place with high groundwater level, because the trapped rain water remained stagnant inside the core.

A large-scale experiment was conducted at another wide salt patch to verify effectiveness of 4 soil-treatments (destruction of the dark colored layer, mulch, core-insertion and application of cow dung or compost) on growth of 2 plants (rhodes grass and Panicum repens) in the beginning of rainy season (Subhasaram et al. 1992, Subhasaram 1994). It confirmed (1) each treatment was effective in promoting growth of both plants, (2) cow dung was more effective in promoting plant growth than compost, probably because compost contained only small amount of K, which was useful for plant growth in the salt-affected soil, (3) any combinations of these 4 treatments were more effective in plant growth than each component treatment, (4) combination of the 4 treatments could be selected according to characteristics of the site, (5) both plants can vigorously grew even at the place with salt crust if 4 treatments were combined together, (6) about 3 months after start of the experiment, the wide salt patch appeared fairly well covered with 2 plants and (7) the vegetated patch, especially rodes grass patch, could be used as a pasture for cattle.

Four treatments and their combinations were collectively named “core technique”.

The abandoned paddy field at the foot of the slope

The farmers will not repair the broken dike of the abandoned paddy field, though they recognize that runoff destroys the dike and that the paddy field is damaged with the salty mud intruding through the broken dike. This is because the repaired dike, which is made of the dispersible Na-saturated sandy soil, is easily broken by runoff. Accordingly, a dike was prepared by a new simple method: plates of cellocrete (synthetic concrete: Four Pattana Co., Thailand) were put vertically at the center of a prepared dike (Subhasaram 1994). This new dike prevented runoff of salty mud entering the field, resulting in growth and yield of rice inside the abandoned paddy field.

Paddy field in the low-lying flat region

The sandy paddy field in the low-lying flat region often consists of the salt and vegetated patches (Wada et al. 1994). Such paddy fields are usually underlain by thick clayey subsoil enriched with salt. Salt comes up from the subsoil to the sandy soil by capillary rise in the dry season, leading to the salt patch at the place where the sandy surface soil is thin. This implies the cause of the salt patch here is similar to that at the slope in the undulating region mentioned above. However, in the low-lying flat region with high groundwater level, the technologies of desalinization established in the undulating region should be modified in the following way: (Nagase 1992), mainly because destruction of the saline thick clayey layer is impossible.

The paddy field was mulched in the dry season and cultivated to S. cannabina, which was more tolerant to salinity than S. rostrata during initial period of the rainy season. When the paddy field was sufficiently flooded, S. cannabina was harvested and plowed under after surface placement for about 1 week. Then, rice seedlings were transplanted. This technique increased rice yield about 3 times higher than average. Isolation of the salt patch seemed effective in assisting the healthy growth of rice plant by inhibiting expansion of the salt accumulated at the salt patch to the whole paddy field through lateral flow of flood water.

Management of the salt-affected slope

Ameliorating technologies specific at each position of the slope should be consistent with each other. From this standpoint, the slope is divided into 4 sections: “upper section”, “salt-supplying section”, “erosion section” and “deposition section” (Figure 9) (Subhasaram 1994). At “salt-supplying section”, salt is supplied from the confined deep groundwater. Salt moves upward from “salt-supplying section” to “upper section” mainly by diffusion. In the rainy season, the salt of “salt-supplying section” together with dispersed mineral particle flows down the slope through “erosion section” and deposits mainly at “deposition section”. In the dry season, some amount of salt is supplied from the shallow groundwater by capillary rise to the soil on the slope. This is especially evident at “deposition section” with high level of the saline shallow groundwater. Thus, the whole slope is salinized, though process of salinization differs among 4 sections. The salinization is enhanced by deforestation, because without forest, not only level of the saline shallow groundwater rises, which favors the supply of salt from the shallow groundwater by capillary rise, but also erosion of the salty mud is accelerated by the strengthened runoff.

Management of Tropical
Sandy Soils for Sustainable
Agriculture

Figure 9. Management of a salt-affected slope (Subhasaram 1994, partially modified)

Reforestation has been widely accepted as a potent countermeasure to ameliorate the salt-affected soil through lowering of the level of saline groundwater by transpiration of the tree. Actually, in Northeast Thailand, several places have been forested with eucalyptus, which has high ability of transpiration, for amelioration of the salt-affected soils. However, these eucalyptus forests did not desalinize the soil within a few years and often dried up neighboring wells of villagers who are living principally at the non-saline area in the top of middle terrace. In this case, the forest may lower level the fresh shallow groundwater, which supplies water to the wells, probably because the forest is too wide in size and is too closely located to the wells.

Consequently, establishment of a “narrow forest” along the lower boundary of “upper section” is proposed. The “narrow forest” is expected to (1) inhibit migration of salt to “upper section” from “salt-supplying section”, (2) lower level of the saline shallow groundwater and suppress runoff at “erosion section” and (3) affect only slightly wells of the villagers. Actually, few farmers planted eucalyptus along the boundary between “upper section” and “salt-supplying section”. Probably, they have experienced such forest is effective to inhibit expansion of the salt patch to “upper section”. One caution in planting eucalyptus is that seedlings of the plant prefer the vegetated patch to the salt patch. In other words, the salt patch should be improved to be the vegetated patch before planting eucalyptus (Puengpan et al. 1991). At “erosion section”, “core technique” can be applied. At “deposition section”, dikes of the paddy fields should be reinforced using the new method (Subhasaram 1994), and should be managed according to the Nagase’s method mentioned above. The boundary between “erosion section” and “deposition section” is difficult to be managed, because groundwater level is too high for desalinization by “core technique” and too low for cultivating paddy rice. In Figure 9, planting of Cassurina sp. or halophytes is tentatively recommended in this area. Construction of beds with a thin coarse textured layer proposed by Sugi et al. was expected to be useful for this place, because surface of the bed is distant from the groundwater by the height of the bed and the coarse textured layer inhibits capillary rise of the saline groundwater (Takai et al. 1987). However, construction of the bed is laborious and dispersed fine soil particles quickly deteriorate the coarse textured layer by filling its non-capillary pores. The surface layer aggregated with polyvinyl alcohol is found to be better than the coarse textured layer for desalinization at this place (Dejbhimon 2004).

Long-term strategy for the government

Among various governmental tasks for ameliorating the salt-affected soil, only one task will be mentioned (Subhasaram 1994).

The farmer’s “narrow forest” is usually too narrow to play its all roles and is limited to the field of each farmer concerned. Government should make such incomplete “narrow forest” wide and dense enough for playing its all roles by paying due attention to the effect of completed “narrow forest” on the wells of villagers and should connect many fragmented farmer’s “narrow forests” to a continuous complete forest in the whole salt-affected catchment. The farmers may welcome this public work and agree to plant trees even in their arable fields if the government convinces the farmers of the intention and significance of this public work.

A rather wide and dense eucalyptus forest at the top of a middle terrace, which could be regarded as an example of the completed “narrow forest”, has been shown to lower the level of “shallow groundwater” year by year for a few years (Miura 1990). In spite of this, salinity of the soils on the deforested slope of the middle terrace was not much changed and growth of the plants was inhibited during this short period. However, 10 years later, salinity of almost all the soils on the slope was evidently decreased and plants including paddy rice succeeded to grow. This may be caused by slow leaching out of the salt accumulated in these soils due to lowered level of the shallow groundwater. This is one of the effects of the long-term strategies (Subhasaram and Wada 1999).

Concluding remarks

For achieving sustainable management of the tropical sandy soil in a region, it is imperative to understand the properties of the soil and also natural and social conditions of the region. This may help to understand the actual desires of the farmers and to conceive ameliorative techniques suitable for both the soil and the farmers in the region. It is important to carefully examine advantages and disadvantages of all the conceivable techniques in the laboratory, in the greenhouse and in the field. All results of the examinations should be accessible to every person concerned including the farmers and the governmental officers as well as the scientists. In this context, some experiments should be conducted at the farmers’ fields. Neighbouring farmers as well as owners of the fields will observe the field experiments with great interest and adopt some techniques demonstrated in the field experiments for managing their own fields. On the contrary, most of the farmers will not show any interest in the field experiments conducted in the Experimental Stations. In addition, we must be careful about the fact that the soils inside Experimental Stations are often different from those of the farmer’s fields in terms of fertility, though both of them are identified as the same series or same phase. The difference in the fertility is caused by difference in fertilization for many years. The scientists may improve the released technologies, which they are interested in. The government may decide policies based on the released technologies and concepts, which are desirable to both the farmers and the government.

References

Arunin, S. 1984. Characteristics and management of salt-affected soils in the Northeast of Thailand. In: Ecology and Management of Problem Soils in Asia. FFTC Book Series No. 27. Food and Fertilizer Technology Center for the Asian and Pacific Region. Taipei, Taiwan, 336-351.

Bell, R.W., Rerkasem, B., KeeratiKasikorn, P., Phetchawee, S. Hiranburana, N., Rtatnarat, S., Pongsakul, P. and Loneragan, J.F. 1990. Mineral Nutrition of Food Legumes in Thailand with Particular Reference to Micronutrients. Australian Center for International Agricultural Research, Canberra, Australia. 52 p.

Boulbet, J. 1982. Evolution des paysages vegetaux en Thailand du nord-east. Ecole Francaise d’Extreme-Orient, Paris. France. 36 p.

Chanchareonsook, J, Prabudham, P., Panichsakpatana, S and Wada, H. 1983. Dynamics of soil, Surin paddy field. In: Vacharotayan, S. and Takai, Y. eds. Paddy Nitrogen Economy, Comparative Ecological Study on Nitrogen Economy of Paddy Soil between Tropical and Temperate Regions. Nodai Research Institute, Tokyo University of Agriculture, Tokyo, Japan. 102-106.

Chanchareonsook, J. 1983. Dynamic Characteristics of Nitrogen Economy in Two Important Paddy Soils in Thailand. Ph.D. thesis, The University of Tokyo, Tokyo, Japan. 309 p.

Chairoj, P., Boonyong, B., Vibulsuk, N. and Wada, H. 1993. Improvement of sandy acid soil through organic management. In: ADRC ed., Proceedings of Workshop on Technology Development for Sustainable Agriculture and Environment in Northeast Thailand. 13-15 Jan. 1993, Khon Kaen, Thailand, 197-208.

Dejbhimon, K. 2004. Utilization of Polyvinyl Alcohol (PVA) for Ameliorating the Salt-affected Soil in Northeast Thailand. Ph.D. thesis, Tokyo University of Agriculture, Tokyo, Japan. 127 p.

Ishida, H., Chairoj, P, Morakul, P. , Vibulsukh, N., Boonyong, B. and Wongwiwachai, C. 1993. Techniques to Improve Productivity of the Sandy Upland Soil in Northeast Thailand. ADRC Technical Paper No. 10. ADRC (Agricultural Development Research Center in Northeast Thailand, JICA), Khon Kaen, Thailand. 45 p.

Ishizuka, K. 1987. Thai Forestry and Forest Soil Research. Royal Forest Department, Thailand. 111 p.

Kohyama, K. and T. Subhasaram (eds.). 1993. Salt-affected Soils in Northeast Thailand, Their Salinization and Amelioration. ADRC Technical Paper No. 12. ADRC Khon Kaen, Thailand. 55 p.

Mitsuchi, M., Wichaidit, P, and Jeungnijniruned, S. 1986. Outline of Soils of the Northeast Plateau, Thailand Their Characteristics and Constraints. ADRC Technical paper No. 1. ADRC, Khon Kaen, Thailand. 65 p.

Miura, K., Wichaidit, P. and Subhasaram, T. 1990. Genetic Features on the Major Soils in Northeast Thailand. ADRC Technical Paper No. 8. ADRC, Khon Kaen, Thailand. 108 p.

Motomura, S., Seirayosakol, A., Piyapongse, P. and Cholitkul, W. 1979. Field Observations and Laboratory Analyses of Paddy Soils in Thailand. Tropical Agricultural Research Center, Japan. 363 p.

Moorman, F.R., Montrakun, S. and Panichapong, S. 1964. Soils of Northeastern Thailand, a key to their identification and survey. Land Development Department, Bangkok, Thailand. 32 p.

Nagase, K. 1992. Improvement of salt injured paddy field in Tung Kula Rong Hai Northeast Thailand. In Proceedings of International Symposium on Strategies for Utilizing Salt Affected Lands, 17-25, Feb., 1992, Bangkok, Thailand, 519-531.

Ogawa, K., Petchawee, S. and Suriyapan, O. 1980. Field Observations and Laboratory Analyses of Upland Soils in Thailand. Tropical Agricultural Research Center, Japan. 290 p.

Ota, T., Wichaidit, P., and Pramojanee, P. 1992. Virgin soils and their Degradation in Northeast Thailand. ADRC Technical paper No. 9. ADRC, Khon Kaen, Thailand. 78 p.

Ota, T., Wichaidit, P. , Pramojanee, P. , Sukchan, S., Kohyama, K. and Wada, H.1996. Virgin Soils and their Degradation in Northeast Thailand I. Soil morphology and chemical properties. Pedologist, 40, 41-52.

Patcharapreecha, P. , Taja, D. and Wada, H. 1990. Soil acidity as affected by salt in sandy soils of Northeast Thailand. Thai Journal of Soil and Fertilizers, 12, 38-49.

Patcharapreecha, P., Taja, D. and Wada, H. 1992. Aluminum complexed with water-soluble organic matter in a sandy acid soil of Northeast Thailand. Thai Journal of Agricultural Sciences, 25, 195-208.

Patcharapreecha, P., Puengpan, N., Subhasaram, T. and Wada, H. 1992. Some characteristics of plants growing at the salt-affected area in Northeast Thailand. Journal of the science society of Thailand, 18, 217-224.

Patcharapreecha, P., Taja, D. and Wada, H. 1993. Cultivation and Utilization of Aquatic Legumes, Especially Sesbania rostrata, in Northeast Thailand. Technical Paper No. 11. ADRC, Khon Kaen, Thailand. 47 p.

Puengpan, N., Subersaram, T., Patcharapreecha, P. and Wada, H. 1990. Impermeable layers in salt-affected sandy soils in Northeast Thailand. Journal of the Science Society of Thailand, 16, 77-88.

Puengpan, N., Subersaram, T., Patcharapreecha, P. and Wada, H. 1991. Formation and expansion of salt patches in the paddy field I. A salinization process observed in the field. Kasetsart Journal (Science), 25, 467-476.

Puengpan, N., Subhasaram, T., Shiraishi, K. and Wada, H.

1991. Soil-plant relationships at moderately to strongly salt-affected places in the Northeast Thailand. Srinakharinwirat University Science Journal, 7, 12-20.

Puengpan, N., Subhasaram, T., Ninaki, M. and Wada H.

1992. Cultivation of eucaliptus and rodes grass at the salt-affected areas in Northeast Thailand. In: Proceedings of the International Symposium on Strategies for Utilizing Salt Affected Lands. 17-25, Feb. 1992, Bangkok, Thailand, 457-463.

Saenjan, P., Taja, D. and Wada, H. 1991. Suppressing effect of metal ions on decomposition of organic fertilizer by forming metal-organic cmplexes. Journal of Agriculture, 7, 298-313.

Saenjan, P., Dejbhimon, K. and Paiboonsak, S. 1992. Physical and chemical properties of sandy soils receiving long-termed organic matter as influenced by different agricultural practices: Emphasis on soil organic debris [in Thai]. Khon Kaen Agricultural Journal, 124-139.

Saenjan, P., Dejbhimon, K., Taja, D. and Wada, H. 1991. Effect of Al and Fe on decomposition of organic fertilizers [in Thai]. Khon Kaen Agricultural Journal, 201-221.

Saenjan, P., Bhusaraporn, S., Dejbhimon, K., Punyapruk, S. and Wada, H. 1993. Effects of metal-organic complex on carbon content and yield of plants grown on sandy soil. In: ADRC ed., Proceedings of Workshop on Research Activities of ADRC contributed to Agricultural Development in Northeast Thailand. 1-3 Sept., 1993. Khon Kaen, Thailand, 260-275.

Subhasaram, T. 1994. Simple and Effective Techniques to Ameliorate Salt-affected Areas in Northeast Thailand. Ph.D. thesis, the University of Tokyo, Tokyo, Japan.

Subhasaram, T. and Wada, H. 1999. Techniques and strategies to ameliorate salt-affected sloping land in Northeast Thailand. In Programme and Abstracts, Second International Land Degradation Conference. 25-29, Jan. 1999, Khon Kaen, Thailand, 177-178.

Subhasaram, T., Puengpan, N. and Wada, H. 1992. Simple and feasible techniques to suppress salinization and to cultivate plants in moderately to strongly salt-affected areas on Northeast Thailand. In Proceedings of the International Symposium on Strategies for Utilizing Salt Affected Lands. 17-25, Feb. 1992, Bangkok, Thailand, 232-240.

Suddhiprakam, A., Kheoruenromne, I., Sindusen, P. and Yoothong, K. 1985. Clay minerals and iron oxides of selected Red and Yellow soils in northeast plateau and southeast coast, Thailand. Kasetsert J. (Nat. Sci.), 19: 265-271.

Sukchan, N. 1993. Feasibility studies on cultivating some sesbania under upland conditions of Northeast Thailand. Master thesis. Khon Kaen University. 138 p.

Taja, D. 1994. Methane emission from the sandy paddy soil in Northeast Thailand. Master thesis. Khon Kaen University. 158 p.

Takai, Y. 1961. Reduction and microbial metabolism in paddy soils (3) [In Japanese], Nogyo Gijitu (Agric. Technol.) 19:122-126.

Takai, Y. 1983. Nitrogen cycle in tropical and temperate paddy fields. In: Sugi, J. ed. Comparative Agrobiology in the Tropical and Temperate Regions. Tokyo, Nodai Research Institute, Tokyo University of Agriculture, Tokyo, Japan. pp. 16-31.

Takai, Y., Nagano, T., Kimura, M., Sugi, J. and Vacharotayan, S. eds. 1987. Coastal and Inland Salt-affected Soils in Thailand. Their Characteristics and Improvement. Nodai Research Institute, Tokyo University of Agriculture, Tokyo, Japan. 280 p.

Tasaka, T. 1991. Economics of Impoverishment through Destruction of Tropical Forest. Regional Problems Caused by Introducing Capitalism System. [In Japanese], Ochanomizu Shobo. 279 p.

Wada, H. 1996. Dissimilarities between Japanese and Thai paddy soils. In: Attanandana, T., Kheoruenromne, I., Pongsakul, P. and Vearasilp, T. eds. Proceedings of International. Symposium on Maximizing Sustainable Rice Yields through Improved Soil and Environmental Management. Nov. 11-17, 1996, Khon Kaen, Thailand. 743-758.

Wada, H., Wichaidit, P. and Pramojanee, P. 1994. Salt-affected Area in Northeast Thailand Nature, Properties and Management. ADRC Technical Paper No. 15. ADRC, Khon Kaen, Thailand. 67 p.

Yoshioka, S. ed. 1987. Compilation Report on Soil Fertility in Northeast Thailand. ADRC Technical Paper No. 2. ADRC, Khon Kaen, Thailand. 141 p.


1 1-53-12, Umegaoka, Setagaya-ku, Tokyo, 154-0022, Japan.

Changes in soil chemical properties under two contrasting plantation systems on the Zululand coastal plain, South Africa

Noble, A.D.1; S. Berthelsen2 and J. Mather

Keywords: Eucalyptus grandis, Pinus elliottii, pozolisation, charge characteristics

Abstract

Over the past 4 decades there has been considerable expansion in the plantation forestry along the eastern seaboard of South Africa. In particular there have been significant increases in eucalypt, and to a less extent, pine plantations on soils of a light sandy texture along the Zululand coastal plain. These soils are characteristically dominated by sands with low clay and organic matter contents, have low cation exchange capacity and water holding capacity. Pedogenesis and selected chemical attributes of a 49-year-old stand of Eucalyptus grandis and Pinus elliottii established on these sands were compared. Changes in soil pH, exchangeable cations, organic carbon, extractable Fe and Al and the surface charge characteristics were investigated. Evidence of the development of bleached A2e horizon within the surface 0-5 cm depth interval under E. grandis was confirmed through the development of surface charge fingerprints, changes in organic carbon and Fe and Al mobilization for each of the pedogenetically distinct horizons. Such development was not observed under the P. elliottii stand, suggesting that this pine species has had less impact on the soil. It is argued that the rate of A2e horizon development is not dissimilar to that observed under native forest ecosystems in Australia, although considerably slower that those observed under reclaimed sand mining operations. Whilst these systems appear to be relatively stable due to no clear felling and timber product extraction, this could drastically change with the introduction of short-term rotations of fast growing clonal plantations, questioning the long-term sustainability of these production systems on these light textured sands.

Introduction

The role of vegetation in processes associated with pedogenesis is well recognised. In this respect the effects of tree species and plantation forestry on soil properties have been the subject of numerous studies and it has been argued that specific plantation species reduce soil fertility, increase soil acidification and hence reduce productivity (Noble et al., 1996; Routley and Routley 1975; Dasman 1972; Hamilton 1965; Khanna and Ulrich 1984). Many of these arguments were based on what was considered a parallel situation in Europe, where replacing broadleaved species with coniferous species (spruce) was the cause of podsolized and infertile soils (Turner and Kelly 1985). The establishment of eucalyptus plantations for the production of pulp and sawn timber has grown significantly over the past three decades in many countries other than Australia. This is in part due to the rapid growth rates of this species in environments that are devoid of natural predators, and more recently the development of clonal forestry with its associated high productivity and consistency of product. The impact of eucalyptus and other species on the rapid development of podzols on sands replaced after extensive mining of the coastal sand dunes of eastern Australia has been the subject of several studies (Paton et al., 1976; Farmer et al., 1983; Thompson, 1992; Prosser and Roseby, 1995). These studies have clearly indicated that the development of an A2 horizon is rapid (4.5-5 years) and is often associated with the period when the greatest degree of leaching occurs (Prosser and Roseby, 1995). In contrast, the establishment of Eucalyptus camaldulensis on mining spoils on the Jos Plateau of Nigeria had little effect on soil morphological attributes 15-20 years after establishment (Alexander, 1989). The species significantly increased the amount of organic carbon with an associated increase in cation exchange capacity (CEC). However, there was a significant decline in soil pH and base saturation and the author concludes that the long-term effect of eucalypts is one of progressive degradation of already poor soils (Alexander, 1989). Similarly, the leaching of soil columns using the water soluble component extracted from the litter of eucalypts has been shown to lower the pH of soils and mobilize both iron and aluminium (Bernhard-Reversat, 1999; Noble and Randall, 1999).

In the present study, we have analyzed soils for changes in soil chemical properties under Eucalyptus grandis and Pinus elliottii stands of similar age established on the same soil series on the Zululand coastal plain of South Africa. Of particular interest in this study was the quantification of changes in the surface charge characteristics of soils collected from under both species.

Materials and method

Study site

The Langepan Correlated Curve Trend (CCT) experiment with Eucalyptus grandis and Pinus elliottii, was established in 1952 on a site near KwaMbonambi (28º36′S; 32º13′E), KwaZulu Natal, South Africa. The experimental site is situated on the coastal plain that extends from Port Durnford in the south to the Mozambique border in the north and is at an altitude of 60 m a. s. l. The trial site is situated on the boundary of the humid and sub-humid zones of the summer rainfall region of South Africa (Bredenkamp, 1991). The mean annual rainfall is 1,400 mm, of which approximately 70% falls during the months of October to April. The range in temperature is relatively small due to the stabilizing influence of the warm Mozambique current flowing down the eastern coast of South Africa. Mean annual temperature, mean monthly maximum (January) and mean monthly minimum (June) are 21.8ºC, 30.9ºC and 11.9ºC respectively (Bredenkamp, 1991).

The coastal plain is an elevated marine platform that consists essentially of a thick deposit of aeolian sand underlain by almost horizontal Cretaceous to Recent beds, dipping slightly seaward (Bredenkamp, 1991). There are indications that the sands have been deposited at intervals. The sands are acidic, of low fertility and have poor horizon development. Due to wind transportation, the soils consist of medium sand (0.2-0.5 mm) grains with no coarse or fine sand and very little silt or clay (0-6%). These soils are generally poor in organic matter, due to rapid decomposition in the moist subtropical climate and the aerobic condition of the surface soils. The water storage capacity of these soils is very low, but this shortcoming is moderated by great depth. The soil was classified as belonging to the Fernwood series (ANON, 1991), a Dystric Regosol (FAO-UNESCO, 1990) or Quartzipsamment (Soil Survey Staff, 1990). Adjacent to this C.C.T. trial, is a stand of Pinus elliottii that was established at the same time as the CCT trial on the same soil type.

In order to assess the impact of the two species on soil chemical properties, two sites were selected in close proximity to the boundary between the plantation systems. Soil pits were dug to a depth of 1.2 m with an exposed face of 2.5 m in each of the plantation systems.

Soil analysis

Three soils samples were collected from the walls of the pits in 2001, 49 years after the establishment of the CCT trial, from each pedologically distinct horizon. The samples were air dried and sieved to pass a 2-mm mesh before pH was measured in water using a 1:5 soil:solution ratio. Basic exchangeable cations were determined by atomic absorption spectrometry after replacement with 0.1 M BaCl2/NH4Cl, as recommended by Gillman and Sumpter (1986). Acidic cations (H+ + Al3+) were extracted with 1 M KCl and the extractant titrated to pH 8.0 as described by Rayment and Higginson (1992). The effective cation exchange capacity (ECEC) was calculated as the sum of basic and acidic cations (Ca2+ + Mg2+ + K+ + Na+ + Al3+ + H+). Soil organic carbon was determined by wet oxidation using the Walkley and Black method as modified by Rayment and Higginson (1992). In addition, soft concretionary material (segregates) was collected from depth intervals in which they occur, air dried in the same manner as the soil and ground to a fine powder for further analysis. Charge fingerprints are curves describing the total cation exchange capacity (CECT) and base cation exchange capacity (CECB) across a range of pH values. They were determined on composite samples from each of the depth intervals using the methodology described by Gillman and Sumpter (1986). In brief, soils were Ca2+ saturated and brought to equilibrium in a 0.002 M CaCl2 matrix. Suspension pH was adjusted to six values ranging from approximately 4.5 to 6.5. Once the desired range of pH measurements had been achieved, exchangeable Ca2+ and Al3+ were displaced with NH4 NO3. The Al3+ content in solution was determined using the pyrocatechol-violet method (Bartlett et al., 1987). The amounts of Ca2+ and Al3+ adsorbed were calculated taking into account the amounts present in the entrained solutes. The CECB is operationally defined as the Ca2+ adsorbed and CECT as the Ca2+ and Al3+ adsorbed. The pH buffer capacity of each layer collected was estimated from the amount of acid or base added during the development of the surface charge fingerprint. Linear regression plots were constructed of amounts of acid/base added (mmolc H+/kg) versus pH. The inverse of the slope of the regression curve was taken to be indicative of the pH buffer capacity (mmolc H+/kg.unit pH) of the soil.

Organic carbon (OC) was measured by dichromate oxidation and spectrophotometric estimation of residual dichromate on both the soil and soft segregate material (McLeod 1975). Organically complexed Fe and Al were extracted from 1 g of soil and soft segregate material with 100 mL of 0.1 M sodium pyrophosphate after overnight shaking (Bascomb, 1968). Amorphous inorganic Fe and Al were extracted from 1 g of soil and soft segregate material by 60 mL of 0.2 M ammonium oxalate adjusted to pH 3 and shaken in the dark for 4 hours (McKeague and Day 1966). Aluminium and Fe were determined by atomic absorption spectrometry on the oxalate (Alox and Feox) and pyrophosphate (Alpp and Fepp) extracts.

Results

Soil characteristics

The soil profile characteristics at each of the sampled depth intervals for the E. grandis and P. elliottii plantation systems are presented in Table 1. Using the classification system of Isbell (1996), the profile under the E. grandis stand was classified as an Acidic Regolithic Bleached-Leptic Tenosol whilst that under P. elliottii was classified as an Acidic Arenic Rudosol. Under the eucalyptus stand there was a distinct O1 horizon that was made up of organic materials at various stages of decomposition. The surface horizon (0-5 cm) was light brownish grey when moist (10YR 6/2), however upon drying it exhibited a bleached (10YR 7/2) nature indicative of the development of a spodic horizon. Within this layer a few (5%) soft organic segregations with a diameter of 2-6 mm were observed (Table 1). The horizon below (5-15 cm) became significantly darker and showed signs of the development of a Bhs horizon. The size and preponderance of soft organic segregations increased to occupy approximately 25% of the horizon. At depths below this horizon, the presence of these organic segregations dramatically declined so that at the 45-55 cm depth interval there was less that 2% of the horizon that was occupied by these materials. In contrast to the profile under the E. grandis stand, the P. elliottii profile was markedly different in that there was no evidence of the bleached spodic horizon development (Table 1). The presence of soft organic segregations was evident throughout the profile and occupied between <2% to 15% of any individual horizon (Table 1). These soft segregations left organic stains when crushed and wetted, with the internal fabric containing particle sizes comparable with surrounding material in the layer, suggesting that they were formed in situ.

Table 1. Soil profile descriptions from pits in an E. grandis and P. elliottii plantation

Depth (cm)

Horizon

Description

E. grandis

0 O1

Organic materials in varying stages of decomposition; field pH 5.5.

0-5 A2e

Light brownish grey (10YR 6/2), bleached (10YR 7/2 dry), fine sand, apedal single grained; 2-10% (5%) medium sized (2-6 mm) organic (humified well decomposed organic matter) soft aggregations (10YR 3/1); field pH 6.0.

5-15 A11 Developing into a Bhs with strong mottles

Dark greyish brown (10YR 4/2), fine sand, apedal single grained; 20-50% (25%) organic soft segregations (10YR 3/1) [10% coarse (6-20 mm) + 10% medium (2-6 mm) + 5% (<2 mm)]; field pH 5.0.

15-45 A12

Greyish brown (10YR 5/2), fine sand, apedal single grained; 2-10% (10%) medium sized (2-6 mm) organic soft segregations (10YR 4/2); field pH 5.5.

45-55 A13

Dark greyish brown (10YR 4/2), fine sand, apedal single grained; very few (2%) medium sized (2-6 mm) organic soft segregations (10YR 3/2); field pH 5.5.

P. elliottii

0-10 A11

Dark greyish brown (10YR 4/2) fine sand, apedal single grained; 2-10% (5%) medium sized (2-6 mm) organic (humified well decomposed organic matter) soft segregations (10YR 3/1), <2% fine (<2 mm) organic soft segregations; field pH 4.5.

10-22 A12

Dark grey (10YR 4/1) fine sand, apedal single grained; 10-20% (15%) medium sized (2-6 mm) organic soft aggregations (10YR 3/1), <2% fine sized (<2 mm) organic soft segregations; field pH 6.0.

22-42 A13

Dark greyish brown (10YR 4/2), fine sand, apedal single grained; very few (<2%) fine (<2 mm) organic soft segregations (10YR 3/1); field pH 6.5.

42-62 A14

Dark greyish brown (10YR 5/2), fine sand, apedal single grained; very few (<2%) medium (2-6 mm) and fine (<2 mm) sized organic soft segregations (10YR 3/2); field pH 5.5.

pH, exchangeable cations, organic carbon and extractable Fe and Al

Selected soil chemical properties from each of the pits are presented in Table 2. Both profiles were acidic in reactivity with a mean profile pH0.002 of 4.8 and 4.6 for E. grandis and P. elliottii respectively. The acidic nature of these profiles would account for the dominance of exchangeable acidity (Al3+ + H+) on the exchange complex over most basic cations. Within the surface horizons (0-15 cm) of the eucalyptus profile the dominant cation on the exchange complex was Mg2+ with Ca2+ levels being significantly lower (Table 2). This trend was reversed under the pine stand with Ca2+ being the dominant cation in the 0-22 cm depth interval and Mg2+ being significantly lower. This may in part be due to Ca2+ lock up within the litter layer (O1 horizon) present under the eucalyptus stand. It is of note that the exchangeable K+ levels in these soils were extremely low throughout the profiles of both species suggesting that this element may be limiting for optimal growth (Table 2). The effective cation exchange capacity (ECEC) of a soil is an indicative measure of the cation exchange capacity at field pH. In the E. grandis stand the ECEC ranged from 0.97 cmolc kg-1 in the 5-15 cm depth interval to a low of 0.50 cmolc kg-1 in the 45-55 cm depth interval. Contrasting this, under the P. elliottii stand the ECEC ranged from a high of 1.09 cmolc kg-1 in the 0-10 cm depth and declined gradually with depth to a low of 0.38 cmolc kg-1 in the 42-62 cm depth interval (Table 2).

The pH buffering capacity over all depth intervals was highest under the pine species and declined gradually with depth (Table 2). Contrasting this, the pH buffer capacity followed a similar trend as the ECEC under the E. grandis stand with the highest buffering occurring in the 5-15 cm depth interval (Table 2). In general, the buffering capacity as measured under both systems was low, suggesting limited internal resistance to changes in pH. Soil organic carbon contents for each depth interval and the segregations collected from the profiles are presented in Table 3. Distinct differences between the two plantation systems were clearly evident with the E. grandis profile exhibiting an almost doubling (0.55%) of carbon content in the 5-15 cm depth interval when compared to the horizons above and below, indicating an accumulation of organic carbon in this depth (Table 3). The OC content in the 0-5 and 45-55 cm remained constant at 0.27 and 0.26% OC respectively. Contrasting this, the OC content under the P. elliottii stand was highest (1.30%) in the 0-10 cm and declined sharply to 0.49% in the 10-22 cm depth to a low of 0.20% OC in the 42-62 cm depth interval (Table 3). These results clearly demonstrate the greater amount of organic carbon accumulation under the pine plantation when compared to the eucalypt.

Table 2. Selected soil chemical properties collected from pits in a long-term E. grandis and P. elliottii stands. Values in parenthesis are the standard deviation from the mean

Depth (cm) pHw 1pH0.002 EC Na+ K+ Ca2+ Mg2+ Al2++H ECEC pH buffer capacity
E. grandis  

(µS cm-1)

   

(cmole kg -1)

 

 

(mmolc
H+ kg1 . pH-1)

0-5 5.08 4.79 17.12 (0.35) 0.03 (0.00) 0.02 (0.00) 0.13 (0.01) 0.21 (0.02) 0.20 (0.01) 0.59 (0.04) 0.276
5-15 4.95 4.63 23.29 (0.38) 0.05 (0.00) 0.04 (0.00) 0.16 (0.01) 0.40 (0.03) 0.32 (0.01) 0.97 (0.03) 0.636
15-45 5.01 4.86 15.65 (0.39) 0.03 (0.00) 0.03 (0.00) 0.04 (0.00) 0.16 (0.01) 0.26 (0.00) 0.51 (0.01) 0.476
45-55 5.16 4.95 16.32 (1.89) 0.04 (0.00) 0.02 (0.00) 0.02 (0.00) 0.16 (0.01) 0.25 (0.01) 0.50 (0.01) 0.467
P. elliottii
0-10 4.79 4.42 16.21 (0.48) 0.01 (0.00) 0.02 (0.00) 0.63 (0.04) 0.14 (0.00) 0.29 (0.02) 1.09 (0.06) 1.066
10-22 4.73 4.61 12.91 (0.30) 0.01 (0.00) 0.01 (0.00) 0.25 (0.00) 0.05 (0.01) 0.33 (0.00) 0.66 (0.00) 0.878
22-42 4.68 4.77 9.99 (0.32) 0.01 (0.00) 0.01 (0.00) 0.08 (0.00) 0.04 (0.01) 0.29 (0.01) 0.43 (0.00) 0.602
42-62 4.75 4.85 9.95 (0.51) 0.01 (0.00) 0.01 (0.00) 0.05 (0.00) 0.03 (0.00) 0.28 (0.01) 0.38 (0.01) 0.586
1 pH0.002 pH measured in 0.002 M CaCl2 at the start of the equilibration process in the development of the surface charge fingerprints.

2 CEC6.0 the CEC as pH 6.0 that was determined from the surface charge fingerprint.

Table 3. Selected characteristics of two soil profiles under contrasting plantation species. OC: soil organic carbon; Feox, Fepp, Alox, Alpp: oxalate and pyrophosphate extracted Fe and Al

Sample description

OC

1?CECT

Feox

Fepp

Alox

Alpp

E. grandis

(%)

(cmolc kg-1)

(g kg-1)

0-5 cm

0.27 (0.01)

0.240

0.022 0.090

0.056

0.227
5-15 cm 0.55 (0.04)

0.846

0.120 0.372

0.181

1.180
15-45 cm 0.24 (0.01)

0.612

0.155 0.337

0.150

1.191
45-55 cm 0.26 (0.01)

0.722

0.196 0.477

0.238

1.606
Segregates 1.40 (0.00)

0.246 0.554

0.295

1.642

P. elliottii

0-10 cm 1.30 (0.14)

1.644

0.126 0.195

0.206

0.582
10-22 cm 0.49 (0.01)

0.825

0.135 0.299

0.176

0.984
22-42 cm 0.24 (0.01)

0.602

0.189 0.356

0.187

1.181
42-62 cm 0.20 (0.01)

0.432

0.310 0.369

0.190

1.047
Segregates 0.89 (0.04)

0.216 0.398

0.231

1.081
1?CECT = difference in CECT between pH 4.5 and 6.5.

The downward movement in the soil profile of organic complexes of Fe and Al as determined by pyrophosphate extractions has been least under P. elliottii when compared to the E. grandis (Table 3). Oxalate should extract total translocated Fe and Al, including organic complexes extracted by pyrophosphate (Farmer et al., 1983) although incomplete extraction of organic Al has been reported (Skjemstad et al., 1992). Concentrations of Fepp, however are more than twice those of Feox in the case of the E. grandis samples over all depth intervals (Table 3). In contrast, Fepp values were similar to Feox in the 0-10 and 42-62 cm depth intervals under the P. elliottii stand suggesting that at these depths the Fe is predominantly found as an organic complex (Table 3). In all depth intervals regardless of species, Fepp values were considerably larger than Feox indicating the predominance of organic complex Fe. The fact that the subsoil matrix under each of the plantation systems was little different in composition from the segregations suggests that these have formed in situ, leaving small islands of clayey material that have become hardened somewhat by Fe and Al oxides. However, it is of note that in the cases of the E. grandis plantation the segregates showed much greater Fe, Al and C accumulation suggesting that the effect of leaching solutions from the E. grandis litter have been more drastic resulting in the move towards the development of a spodic horizon. Indirect evidence for potential accelerated podzolisation under E. grandis stand can be implied from the greater propensity for the presence of segregation material as outlined in Table 1. Clearly the degree of mobilization of both Fe and Al has been more intense under the E. grandis than under the P. elliottii stands respectively.

Surface charge fingerprints

By evaluating the charge characteristics of these soils, a clear understanding of the impact of these two plantation systems on intrinsic soil chemical properties can be assessed. The concept of charge fingerprinting as described by Gillman and Sumpter (1986) provides an assessment of both the positive and negative charge characteristics of a soil over a pH range that has significance when assessing the impact of plantation systems on the soils resource. When used in conjunction with exchangeable cations extracted from the exchange complex, an assessment of current and potential nutrient-holding capacity and the impact of management can be assessed.

The methodology used to develop the charge fingerprint estimates the CECB and CECT at each pH point. The CECB is the total amount of basic cations that can be retained in an exchangeable form at any particular solution pH and ionic strength. The total cation exchange capacity (CECT) is the total amount of basic and acidic cations that can be retained in an exchangeable form at any particular solution pH and ionic strength. The approach distinguishes that portion of the cation exchange capacity (CEC) that retains basic cations, and predicts changes in CEC as soil solution pH and ionic strength are varied. For brevity only the CECT is discussed.

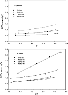
These soils are dominated by sand with very little clay. Consequently, the surface charge generation potential associated with changes in pH is limited. Figure 1 shows charge fingerprints for composite samples collected from the 0-5, 5-15, 15-45 and 45-55 cm depth intervals for the E. grandis soil. A distinct characteristics of the curve derived for the 0-5 cm depth interval is the quantity of negative charges generated, namely 0.24 cmolc kg-1, over the pH range 4.5 to 6.5 (Figure 1 and Table 3). Contrasting this, in the 5-15 cm depth interval the amount of charge generated over the same pH range trebled to 0.846 cmolc kg-1, clearly indicating the influence of accumulated organic carbon or remaining carbon in this depth interval (Figure 1 and Table 3). Over the remaining depth intervals, the amount of charge generated over the pH range 4.5 to 6.5 remained relatively constant with values of 0.612 and 0.722 cmolc kg-1 respectively (Figure 1 and Table 3). In contrast, under the P. elliottii plantation the greatest amount of charge generated over the pH range 4.5 to 6.5 was 1.644 cmolc kg-1 in the surface 0-10 cm depth interval and declined progressively down the profile to a value of 0.420 cmolc kg-1 in the 42-62 cm depth interval corresponding to changes in soil organic carbon (Figure 1 and Table 3). The greatest difference in the shapes of the charge curves was in the surface horizons of the two plantation systems. This can be ascribed to the larger organic carbon content under the P. elliottii plantation when compared to the E. grandis and clearly quantifies the potentially deleterious impact of this species on exchange properties on soils with a small permanent charge. In short, the role of organic C in maintaining negative charge on these soils is critical for the retention of cations. In addition, an evaluation of the surface charge characteristics of these samples clearly indicates the position in the profile where the development of a spodic horizon (5-15 cm) has occurred under the E. grandis and quantifies the influence of these processes on the surface charge characteristics of these soils.

Management of Tropical
Sandy Soils for Sustainable
Agriculture

Figure 1. Surface charge fingerprints for the distinct horizons under E. grandis and P. elliottii respectively

If the basic and acidic cations removed by the BaCl2-NH4Cl and KCl extractants, respectively, are all exchangeable cations, then their sum (the ECEC) should be equal to CECT at soil pH, within the limits of the experimental error. A graph of ECEC against CECT at the soil’s pH (Figure 2) for the two plantation species shows good agreement between these independently determined properties for the surface samples. However, with depth there was less cations extracted than could be accounted for by CECT. This would suggest that cations that are present on the exchange complex are not accounted for in the BaCl2-NH4Cl and KCl extractants. A possible cation that may have contributed to an underestimation of the ECEC could be Fe. Indeed, as a significant amount of oxalate and pyrophosphate Fe was extracted from the soils, some may have been associated with the exchange complex (Table 3).

Management of Tropical
Sandy Soils for Sustainable
Agriculture

Figure 2. Relationship between total cation exchange capacity at soil pH and the effective cation exchange capacity (ECEC) for each of the depth intervals sampled. The line represents the 1:1 relationship between CEC and ECEC. The values falling close to the line are for the surface samples, E. grandis (0-5 cm) and P. elliottii (0-10 cm)

Discussion and Conclusions

Analysis of the soil pits assumes that differences between sites are due to the direct influence of the plantation species and that variations in parent material, topography and other factors are relatively unimportant. As the area has been extensively planted to eucalyptus and pines species, undisturbed or pristine sites containing native vegetation components could not be sampled as a control. Consequently it is assumed that at the time of establishment of these two production systems soil attributes were similar. Assuming that this was the case, an assessment of the chemical and morphological properties of soil profiles under each of the production systems clearly indicates that there have been considerable changes associated with the tree species. There is clear evidence that under E. grandis the early stages of a bleached spodic (A2e) horizon development is clearly evident in the 0-5 cm depth interval. In addition, constructing surface charge fingerprints confirms the presence of the spodic horizon and the development of a rudimentary Bhs horizon associated with the accumulation of organic complexes in the 5-15 cm depth. Such morphological and chemical changes in soil properties were not evident under the P. elliottii stand.

It is important to note that these two systems have had very little disturbance associated with traffic movement within the plantation. This has undoubted allowed the effective observation of horizon development from the surface to depth. This would not be the case in plantations that have had mechanical traffic through the plantation that would disturb surface soil horizons thereby homogenizing the soil making the delineation of a rudimentary A2e horizon difficult.

Studies into the development of podzols on the east coast of Australia have shown that thousands of years are required to develop mature profiles. For example, giant podzols with A2 horizons 12 to 22 m thick have formed over periods of up to 700,000 years (Tejan-Kella et al., 1990). At the younger end of the scale, the depth to the B horizon can be 1.6 m or less on Holocene dunes and less than 50 cm on dunes deposited over the last 3,000 years (Pye, 1981; Thom et al., 1981; Thompson, 1983; Bowman, 1989). Contrasting this, Prosser et al., (1995) reported the development of an A2 horizon to a depth of at least 3.7 m to have formed within 17 years on post mined sand dunes. In the present study the depth of the rudimentary A2 horizon was a mere 5 cm after 49 years. This rate of development is approximately 10 times faster than those reported above for Holocene dunes in Australia but considerable slower than that by Prosser et al. (1995). Prosser et al. (1995) attributed this unprecedented rate of pedogenesis to the high permeability of the sands, the low silt and clay content, the previous advanced stage of weathering and pedogenesis, and the homogenization of the soil during mining operations. Whilst the current study would suggest that the rate of development of an A2 horizon is not drastically dissimilar to natural systems, it is prudent to note that the stand had never been felled and hence would represent effectively a ‘climax’ stand; the leaching component under this system would be very small, thereby reducing the rate of A2 development; and most importantly, as these systems had not undergone any form of surface disturbance it allowed us to identify the presence of an A2 horizon. In the current climate of moving to short rotations (4-8 years) using clonal material that place a significant demand on soil and water resources including whole tree harvesting and potential for greater leaching to occur due to the reduced rotation length, the potential negative impact of such forestry systems on soil resources that have limited intrinsic attributes is great. The impact of P. elliottii under the prevailing circumstances would appear to be minimal when compared to other species and would support previously reported studies (Noble et al., 1999). Finally, the development of surface charge fingerprints has demonstrated the usefulness of this technique in quantifying the influence of pedogenesis on intrinsic soil properties and could be a potential tool in assessing horizon development at an early stage.

References

Alexander, M.J. 1989. The long-term effect of Eucalyptus plantations on tin-mine spoil and its implication for reclamation. Landscape and Urban Planning. 17: 47-60.

ANON. 1991. Soil classification a taxonomic system for South Africa. Published by the Directorate Agricultural Information: Pretoria, South Africa.

Bascomb, C.L. 1968. Distribution of pyrophosphate-extractable iron and organic carbon in soils of various groups. Journal of Soil Science 19: 251-79.

Bartlett, R.J., Ross, D.S. and Magdoff, F.R. 1987. Simple kinetic fractionation of reactive aluminum in soil “solution”. Soil Science Society of America Journal. 51: 1479-1482.

Bernhard-Reversat, F. 1999. The leaching of eucalyptus hybrids and Acacia auriculiformis leaf litter: laboratory experiments on early decomposition and ecological implications in Congolese tree plantations. Applied Soil Ecology. 12: 251-261.

Bredenkamp, B. 1991. The Langepan C.C.T. A guide to a correlated curve trend spacing experiment in Eucalyptus grandis at KwaMbonambi, Zululand, South Africa, with some results. Report No. FOR-M7. CSIR: Pretoria, South Africa.

Bowman, G.M. 1989. Podzol development in a Holocene chronosequence. I. Moruya Heads, New South Wales. Australian Journal of Soil Research 27: 607-628.

Dasman, R.F. 1972. ‘Environmental Conservation’. pp. 473. Wiley: New York, NY.

FAO-UNESCO, 1990. Soil Map of the World Revised Legend. World Soil Resources Report 60. Rome.

Farmer, V.C., Russell, J.D., and Smith, F.L. 1983. Extraction of inorganic forms of translocated Al, Fe, and Si from a podzol Bs horizon. Journal of Soil Science. 34: 571-576.

Farmer, V.C., Skjemstad, J.O., and Thompson, C.H. 1983. Genesis of humus B horizons in hydromorphic humus podzols. Nature. 304: 342-344.

Gillman G.P. and Sumpter E.A. 1986. Modification of the compulsive exchange method for measuring exchange characteristics of soils. Australian Journal of Soil Research 24: 61-66.

Hamilton, CD. 1965. Changes in soil under Pinus radiata. Australian Forestry 29: 275-89.

Khanna, P.H., and Ulrich, B. 1984. Soil characterization influencing nutrient supply in forest soils. In ‘Nutrition of Plantation Forests’. (Eds G.D. Hower and E.K.S. Nambiar.) Academic Press: London.

McKeague, J. A., and Day, J.H. 1966. Dithionite and oxalate extractable Fe and Al as aids in differentiating various classes of soils. Canadian Journal of Soil Science 46: 13-22.

McLeod, S. 1975. Studies in wet oxidation procedures for the determination of ‘organic C in soil. In “Notes on soil Techniques”. CSIRO. Division of Soils, Adelaide. pp. 73-79.

Noble, A.D. and Randall, P.J. 1999. Alkalinity effects of different tree litters incubated in acid soil of N.S.W, Australia. Agroforestry Systems 46: 147-160.

Noble, A.D., Little, I.P and Randall, P.J. 1999. A comparison of the influence of Pinus radiata, Quercus suber and improved pasture on soil chemical properties. Australian Journal of Soil Research 37:

Noble, A.D., Zenneck, I. and Randall, P.J. 1996. Leaf litter ash alkalinity and neutralisation of soil acidity. Plant and Soil. 179: 294-302.

Paton, T.R., Mitchell, P.B., Adamson, D., Buchanan, R.A. Fox, M.D. and Bowman, G. 1976. Speed of podolisation. Nature. 260: 601-602.

Prosser, I.P. and Roseby, S.J. 1995. A chronosequence of rapid leaching of mixed podzol soil materials following sand mining. Geoderma. 64: 297-308.

Pye, K. 1981. Rate of dune reddening in a humid tropical climate. Nature. 290: 582-584.

Skjemstad. J.O., Fitzpatrick, R.W., Zarcinas, B.A. and Thompson, C.H. 1992. Genesis of podzols on coastal dunes in Southern Queensland. II. Geochemistry and forms of elements as deduced from various chemical extraction procedures. Australian Journal of Soil Research 30: 615-644.

Soil Survey Staff. 1990. ‘Keys to Soil Taxonomy’, 4th Edn. SMSS Technical Monograph No. 19 Virginia Polytechnic Institute and State University: Blacksburg, Virginia.

Rayment G.E. and Higginson F.R. 1992. Australian Laboratory Handbook of Soil and Water Chemical Methods. Inkata Press: Melbourne, Australia.

Routley, R., and Routley, V. 1975. The fight for the forests. The takeover of Australian forests for pinewood chips and intensive forestry. Research School of Social Services. Australia National University, Canberra.

Tejan-Kella, M.S., Chittleborough, D.J., Fitzpatrick, R.W., Thompson, C.H., Prescott, J.R. and Hutton, J.T. 1990. Thermoluminescence dating of coastal sand dunes at Cooloola and North Strdbroke Island, Australia. Australian Journal of Soil Research. 28: 465-481.

Thom, B.G., Bowman, G.M., and Roy, P.S. 1981. Late Quaternary evolution of coastal sand barriers, Port Stephen – Myall lakes area, New South Wales, Australia. Quaternary Research. 15: 345-364.

Thompson, C.H. 1983. Development and weathering of large parabolic dune systems along the subtropical coast of eastern Australia. Z. Geomorphol. Suppl. 45: 205-225.

Thompson, C.H. 1992. Genesis of podzols on coastal dunes in Southern Queensland. I. Field relationships and profile morphology. Australian Journal of Soil Research. 30: 593-613.

Turner, J., and Kelly, J. 1985. Effect of radiata pine on soil chemical characteristics. Forest Ecology and Management. 11: 257-270.


1 Formally of CSIRO Land and Water, Davies Laboratory, Townsville Australia now with International Water Management Institute, Bangkok Thailand.

2 CSIRO Land and Water, Davies Laboratory, Townsville, Australia.

3 South Africa Forestry Company Limited (SAFCOL), Pine hybrid and Eucalyptus Programme SAFCOL Research, Dukuduku, KwazuluNatal, South Africa.

Previous PageTop of PageNext Page