Hoang Thi Thai Hoa1;
Thai Thi Huyen1; Tran Thi Tam1; Hoang Van Cong1;
Do Dinh Thuc1;
Cl.N. Chiang2 and J.E. Dufey2
Keywords: sandy soils, Central Vietnam, nitrogen mineralization, cropping pattern
| Abstract
Coastal sandy soils of Thua Thien Hue Province in Central Vietnam represent an important soil order that increasingly contributes to regional economic growth. However these soils have generally low productivity because of chemical and physical constraints associated with low pH values and coarse texture; sand contents exceeding 70%, are common for those soils. Obviously, organic matter management represents a key factor for crop productivity improvement on these soils. However, before considering the possible contributions of various organic amendments, it is important to evaluate the actual contribution of the initial soil organic matter, through its N-mineralization, considered as a prime source of N for plants. Therefore, 14 soil samples (0-20 cm) representing different cropping patterns on coastal sandy soils were collected before the spring season to determine their N-mineralization capacity. After air drying and grinding to pass 2 mm sieve, the samples were incubated under waterlogged conditions for 7, 14, 28, and 42 days; in addition, these soil samples were analysed for chemical and physical characteristics. Because of significant differences between major physical and chemical characteristics, the soils were grouped in two classes: soils under rice cultivation and soils with other crops. The rice soils had, on average, lower sand content, higher clay content, higher organic carbon content, higher cation exchange capacity and lower pHwater. The release of NH4+ was, on average, higher in rice soils, but no statistically significant differences were found between the two groups of soils. Fitting the results with a first order kinetic equation led to the calculation of potentially mineralizable nitrogen. As expected, the values were much smaller than the total soil-N content, which indicates different soil-N pools. The N-pool identified in this study can be considered as very labile N which might be available to crops within few weeks. Therefore, the total N-content of soils cannot be considered as a reliable indicator of short term N-availability, though some limited correlation was observed between these characteristics. |
Introduction
Careful management of soil nitrogen (soil-N) is crucial for plant production and environmental reasons. In ecological/traditional farming systems, N deficiency is often seen in early spring, partially due to low soil temperatures which limit microbial activity, and thus mineral-N production through N-mineralization. In a variety of ecosystems, rates of N-mineralization and the total soil-N are indicators of soil fertility (Nadelhoffer et al., 1983; Pastor et al, 1984; Vitousek and Matson, 1985). However, a large nitrification rate can reflect potential N losses, either through leaching, leading to groundwater pollution, or through gaseous emission, contributing to greenhouse effect (Likens et al., 1969; Vitousek and Melillo, 1979; Krause, 1982; Vitousek and Matson, 1985). One strategy to meet crop N demand in these farming systems is to maximize the stabilization of organic-N inputs to soils, and thereby, build up a soil organic matter pool, rich in organic-N. In such systems, N-mineralization from this organic pool determines the amount of available N for crops.
In conventional/modern farming systems, mineral-N fertilizers are applied in spring to meet crop N demand. However, even if mineral N-fertilizer is applied, N-mineralization from soil organic matter remains an important source for crop N-uptake. As pointed out by Macdonald et al. (1989), the leaching risk is mainly due to nitrate derived from soil organic matter mineralization after harvest, rather than from unused fertilizer-N applied in spring. Consequently, predicting N-mineralization from soil organic matter is important, both in ecological and in conventional farming systems, to meet crop N demand and to reduce nitrate leaching during autumn and winter.
In coarse sandy soils (<5% clay), mineral-N is generally low (<10 kg N ha-1) with very small variations between sites (Østergaard et al., 1985). Correlation between mineral-N in spring and nitrogen uptake in aerial plant parts is low, indicating that mineral-N provides little information about the mineralization potential of sandy soils.
Environmental impact of excessive fertilizer use has increased the demand for valid and accurate methods leading to optimum nitrogen supply to agricultural crops. Due to added and native soil organic matter, complex turnover processes, this optimum N-fertilizer supply, aiming to maximize profits and minimize nitrate leaching risks, represents a great challenge, both for scientists and for farmers. However, before considering the possible contribution of organic amendments, it is important to evaluate the actual contribution of the native soil organic matter, through its N-mineralization considered as a prime source of N for plant. Therefore, a study was carried out to estimate the N-mineralization capacity of coastal sandy soils in Thua Thien Hue Province, with different cropping patterns. In this province, the crop-lands cover some 84,000 ha with 66,000 ha on sandy soils.
Materials and methods
Study area, soils sampling and characterization
The research was conducted in 4 communes of the coastal area of Thua Thien Hue Province: Phong Hoa, Quang Loi, Vinh Xuan, and Vinh Phu. The sandy soils used in this study were selected from a previous survey including 300 cultivated plots. The selection aimed at gathering a collection of samples representing the main differences of soil characteristics and cropping patterns encountered in the general survey. The total number of soil samples was fixed by laboratory constraints.
Fourteen composite soil samples were collected from the top horizon (0-20 cm) of cultivated plots before spring season. The samples references as well as the land uses are presented in Table 1. The cropping patterns include the following annual rotations: two rice crops, one rice crop, one rice crop followed by another crop (cassava, peanuts, sweet potatoes) referred as cash crop, one or two cash crops. All the soil samples were air dried and ground to pass 2 mm sieve. They were analysed by standard techniques for particle size distribution (pipette method), pH in water and in 1 M KCl (1:5 soil-solution ratio), electrical conductivity (EC, 1:5 soil-water ratio), organic carbon content (OC, Walkley and Black method), total nitrogen content (Kjeldahl method), cation exchange capacity (CEC, leaching with 1 M NH4-acetate pH 7, desorption with 1 M KCl, and measurement of NH4+ by distillation).
Table 1. Characteristics of the 14 soils used in this study. The reference codes denote the origin of the samples: PH-Phong Hoa. QL-Quang Loi. VX-Vinh Xuan. and VP-Vinh Phu. Last line of table: statistical test for significant differences between rice soils and other soils
|
Ref. |
Annual cropping pattern |
sand |
silt |
clay |
pHH2O |
pHKCl |
EC |
OC |
N |
CEC |
|
Rice soils |
||||||||||
| VX1 | Rice-cash crop | 90.7 | 5.0 | 4.3 | 5.22 | 4.49 | 13.2 | 1.56 | 0.078 |
4.25 |
| VX2 | 1 rice crop | 83.8 | 8.9 | 7.3 | 4.68 | 4.36 | 179.2 | 1.22 | 0.078 |
3.11 |
| VP4 | 1 rice crop | 74.6 | 20.3 | 5.2 | 5.36 | 4.61 | 18.0 | 0.82 | 0.045 |
1.35 |
| VP6 | Rice-cash crop | 91.2 | 5.8 | 3.0 | 5.25 | 4.57 | 10.4 | 1.59 | 0.056 |
2.45 |
| QL8 | 2 rice crops | 70.8 | 26.6 | 2.6 | 5.72 | 4.82 | 4.5 | 1.81 | 0.050 |
3.52 |
| QL9 | 2 rice crops | 75.4 | 23.2 | 1.4 | 5.57 | 4.64 | 19.2 | 1.87 | 0.053 |
3.52 |
| QL10 | 2 rice crops | 70.3 | 27.7 | 1.5 | 5.84 | 4.75 | 9.1 | 1.69 | 0.047 |
3.56 |
|
mean |
79.5 |
16.8 |
3.6 |
5.38 |
4.61 |
36.2 |
1.51 |
0.058 |
3.11 |
|
|
SD |
9.0 | 9.9 | 2.2 | 0.39 | 0.15 | 63.3 | 0.37 | 0.014 |
0.95 |
|
|
Soils with cash crops only |
||||||||||
| VX3 | 1 cash crop | 92.1 | 5.4 | 2.5 | 5.67 | 4.53 | 7.7 | 0.89 | 0.050 |
1.51 |
| VP5 | 1 cash crop | 94.7 | 5.3 | 0.1 | 6.10 | 4.68 | 2.7 | 0.59 | 0.022 |
1.42 |
| QL7 | 1 cash crop | 84.0 | 12.8 | 3.2 | 5.48 | 4.34 | 5.0 | 1.47 | 0.067 |
1.68 |
| QL11 | 1 cash crop | 83.8 | 15.2 | 1.5 | 5.51 | 4.30 | 5.0 | 1.05 | 0.039 |
2.05 |
| QL12 | 1 cash crop | 85.4 | 9.3 | 2.3 | 6.15 | 4.54 | 6.6 | 1.19 | 0.059 |
1.28 |
| PH13 | 2 cash crops | 83.1 | 16.4 | 0.6 | 6.09 | 4.72 | 3.4 | 1.56 | 0.050 |
1.62 |
| PH14 | 1 cash crop | 97.0 | 2.2 | 0.9 | 5.99 | 4.61 | 1.9 | 0.52 | 0.011 |
1.20 |
|
mean |
88.6 |
9.5 |
1.6 |
5.86 |
4.53 |
4.6 |
1.04 |
0.043 |
1.54 |
|
|
SD |
5.8 | 5.5 | 1.1 | 0.29 | 0.16 | 2.1 | 0.40 | 0.020 |
0.29 |
|
|
p |
<0.05* |
NS |
<0.05* |
<0.05* |
NS |
NS |
<0.05* |
NS |
<0.01** |
|
Incubation experiments
The air-dried soils were incubated in waterlogged conditions at optimum temperature for biological activity following a technique recommended for characterizing the mineralization capacity of soil organic matter (e.g. Waring and Bremner, 1964; Keeney, 1982; Bundy and Meisinger,1994; Drinkwater et al, 1996). From each soil sample, subsamples of 5 g were transferred to screw caped test tubes, 16 mm in diameter, and 12.5 mL of deionized water were added. Closed tightly to prevent air exchange, the tubes, 3 for each sample, were then stored at constant temperature (37oC), and incubated for periods of 7, 14, 28, and 42 days. Another subsample of each soil (5 g) was used for extraction of the initial NH4+-N content by 2 M KCl, based on a method described by Bundy and Meisinger (1994). The same procedure of extraction was applied to the incubated samples at the end of incubation times. All incubation and extraction procedures were followed by three blanks treated exactly the same way. The NH4+-N concentration was determined using a micro-Kjeldahl distillation method.
Results and discussion
Soils characteristics
Selected characteristics of the 14 soils are presented in Table 1. The soils were grouped in two classes according to two main different cropping patterns: soils with at least one rice season, and soils without rice cultivation, i.e. with cash crops only. Indeed, significant differences were found between these two groups for the following major physical and chemical properties: sand and clay content, pHH20, organic carbon, and CEC.
Rice soils were on average less sandy and contain more clay than the other soils. This might be due to the fact that farmers empirically chose these soils for rice cultivation because they were less permeable than the others. Organic carbon (OC), though being generally low, was higher in rice soils, which may result from their higher clay content which stabilizes humus compounds and from smaller mineralization rate in waterlogged conditions, i.e. higher humus content at steady state. The CEC values were low for all soils because of low clay and organic matter content; good correlation was observed between CEC and OC with the following equation: CEC (cmolc.kg-1) = 0.05 + 1.78 OC (%); this means that the CEC of soil organic matter was some 178 cmolc.kg-1 OC, which stresses on the need of maintaining a high soil OC pool by careful management of organic matter in farming systems, more especially in soils with naturally low clay content. The soil pH (measured in water suspension) varied from 4.7 to 6.1, and rice soils appeared on average more acid than the others. This can result, among other reasons, from oxidation reactions when waterlogged soils are re-aerated or dried after sampling.
N-mineralization
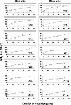
The N-mineralization data, expressed as NH4+-N extracted from soils after each period of incubation, are presented in Figure 1. For all soils, NH4+ increased regularly from 0 to 42 days, and though starting from similar values at initial time, the rate of N-mineralization was, on average, higher in rice soils than in the others. However, the differences between the two groups of soils were not statistically significant at the 0.05 probability level.
Figure 1. NH4+-N extracted from soils as a function of incubation time. Left: rice soils; right: other soils. Open circles: experimental values; lines: non linear regression according to first order kinetic equation for N-mineralization
The shape of NH4+ release vs time curves have a typical curvilinear shape, which indicates a decreasing mineralization rate with increasing time. It can be attempted to fit such type of curves with a first order kinetic equation for N-mineralization. If Nsoil is the soil-N pool which is susceptible to be released by mineralization at the time scale of our experiments (often called potentially mineralizable nitrogen), the variation of Nsoil with time, t, is given by:
By integrating from time 0 to t
If we consider that the amount of NH4+ released from time 0 to t is equal to the decrease of Nsoil, then the balance equation is:
Nsoil, 0 and k can be calculated by non linear regression of experimental values of extracted NH4+ vs time (Figure 1). The values of Nsoil, 0 calculated from our data were in the range 22 to 132 mg N.kg-1. The mean values of the regression parameters for the two groups of soils were: Nsoil, 0 = 63 and 50 mg N.kg-1, and k = 0.06 and 0.04 d-1 for the rice soils and the other soils respectively, but these difference are not significant at the 0.05 probability level. As expected, the Nsoil, 0 values were much smaller than the total N content of soils presented in Table 1, i.e. 580 and 430 mg N.kg-1 for the two groups of soils respectively. Indeed, the N-pool revealed after some weeks of incubation can be qualified as labile organic-N and represents only a small fraction of total N. According to different authors (e.g. Dommergues and Mangenot, 1970; Wander et al., 1994), at least two other N-pools may be distinguished in soils, one pool of stable but still labile organic-N, and one pool of more stable organic-N which is involved in humification processes and only released at long term scale.
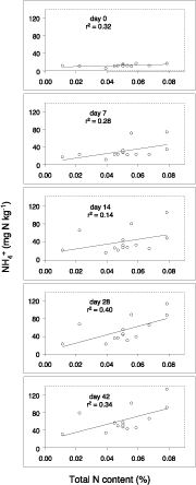
One question at the start of this study was to know whether short term N-mineralization might be related to any of the soil characteristics reported in Table 1. Correlations were calculated between these properties and NH4+ release at any given time. The best, though limited, correlation was found with total N content. These correlations are shown in Figure 2 with their respective r2 values.

Figure 2. NH4+-N extracted from soils at different times of incubation as a function of total initial N content in the 14 soils
Figure 3 presents the best correlations which were found between potentially mineralizable nitrogen, Nsoil, 0, and soil characteristics (total N, C/N, pHwater, and clay content). Combining two soil characteristics in multiple regression analysis resulted in r2 = 0.27 for Nsoil, 0 vs C&N, r2 = 0.33 for Nsoil, 0 vs Clay&N, and r2 = 0.34 for Nsoil, 0 vs Clay & pH. These r2 values are not definitely greater than what was obtained with simple regressions, indicating autocorrelation between variables.

Figure 3. Correlations between potentially mineralizable nitrogen according to first order kinetic model, Nsoil, 0, and soils characteristics
Conclusion
Through a short period of experimental observations, the sandy soils of the coastal area of Central Vietnam have been investigated for their N-fertility potential, generated by various soil characteristics and cropping patterns. The experimental approach focused on the initial soil organic matter contribution to the production of mineral-N, considered as a prime source of available N for plants.
Based on significant differences between major physical and chemical properties, two groups of soils were distinguished: soils with rice cultivation and soils with cash crops only. Mineralizable-N was usually higher for rice soils which had higher mean OC content, but the differences between the two groups of soils were not statistically different. More samples might be necessary to ascertain such conclusion.
According to a first order kinetic equation, the soil N-pool participating in short term N-mineralization was much smaller than the total N content, which supports the general view of different soil N-pools with different potential availability to plants. Consequently, even if some correlation was observed between NH4+ release and total N content, this routine characteristic of soils cannot be considered as a reliable indicator of N-availability for crops cultivated in the coastal sandy area of Central Vietnam. This justifies further study to better assessment of native fertility of these soils and proper techniques for optimum management of organic matter in local farming systems. To that purpose, long term mineralization experiments, according for example to the leaching-incubation method proposed by Stanford and Smith (1972), are also necessary.
Aknowledgement
This research is part of a Belgium-Vietnam project supported by the “Commission Universitaire pour le Développement” (CUD) in charge of the cooperation activities carried out by the universities of the French Community of Belgium. Hoang Thi Thai Hoa especially thanks the CUD for offering her a travel grant to Belgium in the frame of her doctoral thesis.
References
Bundy, L.G.; Meisinger. J.J. 1994. Nitrogen availability indices. In: Mickelson, S.H., ed., Methods of soil analysis, Part 2. Microbiological and Biochemical Properties. Chapter 41. Soil Science Society of America, Madison, Wisconsin. 951-984.
Dommergues, Y.; Mangenot, F. 1970. Soil Microbial Ecology. (in French). Masson (ed.) Paris. 796 p.
Drinkwater, L.E.; Cambardella, C.A.; Reeder, J.D.; Rice, C.W. 1996. Potentially mineralizable nitrogen as an indicator of biologically active soil nitrogen. In: Doran, J.W., and Jones, A.J. eds. Methods for assessing soil quality. Special edition Nr 49. Madison, Soil Science Society of America, 217-229.
Keeney, D.R. (1982). Nitrogen availability indexes. In: Page, A.L., Miller, R.H., and Keeney, D.R., eds., Methods of soil analysis, Part 2. Madison, American Society of Agronomy, 711-733.
Krause, H.H. 1982. Nitrate formation before and after clear cutting of a monitored watershed in central New Brunswick, Canada. Canadian Journal of Forest Research, 12: 922-930.
Likens G.E.; Bormann, F.H.; Johnson, N.M. 1969. Nitrification: importance to nutrient losses from a cutover forested ecosystem. Science, 163: 1205-1206.
Mcdonald, A.J.; Powlson, D.S.; Poulton, P.R.; Jenkinson, D.D. 1989. Unused fertilizer nitrogen in arable soils – Its contribution to nitrate leaching. Journal Science Food Agriculture, 46: 407-419.
Nadelhoffer, K.J.; Aber, J.D.; Melillo, J.M. 1983. Leaf-litter production and soil organic matter dynamics along a nitrogen-availability gradient in Southern Wisconsin (USA). Canadian Journal of Forest Research, 13: 12-21.
Østergaard H.S.; Hvelplund, E.K.; Rasmussen, D. 1985. Assessment of optimum nitrogen fertilizer requirement on the basis of soil analysis and weather conditions prior to the growing season. In: Neeteson, J.J. and Dilz, K., ed. Assessment of nitrogen fertilizer requirement. Institute for Soil Fertility, Haren, 25-36.
Pastor, J.; Aber, J.D.; McClaugherty, C.A.; Melillo, J.M. 1984. Aboveground production and N and P cycling along a nitrogen mineralization gradient on Blackhawk Island, Wisconsin. Ecology, 65: 256-268.
Stanford G.; Smith, S.J. 1972. Nitrogen mineralization potential of soils. Soil Science Society of America Proceedings, 36, 3: 465-472.
Vitousek, P.M. and Melillo, J.M. 1979. Nitrate losses from disturbed ecosystems: patterns and mechanisms. Forest Science, 25: 605-619.
Vitousek, P.M.; Matson, P.A. 1985. Disturbance, nitrogen availability and nitrogen losses in an intensively managed loblolly pine plantation. Ecology, 66: 1360-1376.
Wander, M.M.; Traina, S.J.; Stinner, B.R.; Peters S.E. 1994. Organic and conventional management effects on biologically active soil organic matter pools. Soil Science Society of America Journal. 58, 4: 1130-1139.
Waring, S.A.; Bremner, J.M. 1964. Ammonium production in soil under waterlogged conditions as an index of nitrogen availability. Nature, 201: 951-952.
1 Hue University of Agriculture and Forestry, 102 -
Phung
Hung, Hue City, Vietnam [email protected]
2 Université
Catholique de Louvain, Faculté d’Ingénierie
Biologique, Agronomique et
Environnementale, Croix du
Sud 2/10, 1348 Louvain-la-Neuve, Belgium.
Inubushi, K.1, 2; S. Morita1; K. Miyamoto1; S. Obana1; D. Tulaphitak3; T. Tulaphitak3 and P. Saenjan3
Keywords: cyanobacterium Nostoc, soil salinity reclamation, tolerance to salinity
| Abstract
Soil degradation is a serious problem due to global population increase, with desert areas expanding at 6 millions ha per year. Terrestrial cyanobacterium Nostoc, a blue-green algae, forms a mat on soil surface and is dry- and heat-resistant. Nostoc is known as a pioneer organism, which can photosynthesize, fix atmospheric nitrogen, and secrete polysaccharides. Therefore the inoculation of Nostoc may have potentiality to reclaim degraded soil ecosystem, for example salt-affected sandy soil or alkaline soil. In order to explore the potential of Nostoc to be utilized for countermeasures to soil desertification, we examine salinity-tolerance of Nostoc which is found in temperate and tropical regions including Khon Kaen, Thailand. We also investigate the physicochemical soil properties suitable for cyanobacterial growth, effect of Nostoc on soil chemical and biological properties and plant growth both in a laboratory and an outdoor experiment. Salinity-tolerance of Nostoc isolated from Khon Kaen soil was comparable or better than isolates from temperate region. Nostoc produced largest amounts of polysaccharides without saline condition, which may play important role in salinity-tolerance. Application of Nostoc increased soluble C and N soil content. In the outdoor experiment, Nostoc created a crust structure on the soil surface, reduced soil temperature fluctuations and delayed soil surface evaporation. These results indicate that the application of Nostoc to the soil surface presents a potential for organic matter production and could be a tool to reclaim degraded soil ecosystem. |
Introduction
Soil degradation is a serious problem in the context of global population increase, with desert areas expanding at the rate of 6 millions ha per year. Terrestrial cyanobacterium Nostoc is resistant to heat and dryness, and forms a mat on the soil surface. Nostoc is known as a pioneer organism that can photosynthesize, fix atmospheric nitrogen, and secrete polysaccharides. Polysaccharides contribute to soil structure, increase soil C and N, and promote plant growth. Through these characteristics, Nostoc has a potential to be used to reclaim degraded soil, for example salinized or alkalinized soil in semi-arid or arid areas. Carbon and nitrogen fixation by cyanobacteria in arid or boreal soil ecosystems is significant (Zaddy 1997; Okitsu et al. 2003). In the semi-arid regions of Southwest United States, primary production in soil crusts, mainly made of cyanobacteria, reached 6 to 23 kg C ha-1 yr-1 (Eldridge and Greene 1994), and the cyanobacterial mat prevented soil erosion, especially under dry conditions (Johansen 1993). Under such conditions soil salinity is often an issue, thus the use of salt-tolerant cyanobacteria may be an option.
Application of cyanobacteria mixed with gypsum and sulfur changed the soil pH from alkaline to neutral, reduced exchangeable Na and EC, and led to the development of soil aggregates in India (Kaushik and Mutri 1981; Kaushik 1989, Subhashini and Kaushik 1984). However these results were obtained with an application of a mixture of cyanobacteria together with a chemical. The quantitative evaluation of single species of cyanobacteria had not been conducted yet.
In our study, we evaluated the potential of single species of cyanobacteria Nostoc to prevent soil degradation. We investigated the effects of Nostoc application on the biochemical properties of the soil and on plant growth in outdoor and laboratory experiments.
Materials and methods
Three types of experiments were carried out. In the first and second the Nostoc species under study was isolated from the Chiba Prefecture Warm Horticulture Research Institute in Tateyama, Japan. This type of cyanobacteria is common on the soil surface, especially after rain. In the third type of experiment, four species of Nostoc were studied: the isolate from Tateyama, a strain from a dried-up paddy field in Ban Kham Pia, Khon Kaen, a strain from Morioka, Northern Japan, and the Himeji strain (HK strain), Western Japan.
Experiment 1: Effects of Nostoc application on soil characteristics.
1-1 Outdoor experiment
In this experiment, Nostoc was applied to the surface of soils in 30 l plastic containers (length: 41 cm, width: 31 cm) at the rate of 0.02 g cm-2. Nostoc contained 340-430 mg C, 36-52 mg N and 46-50 mg polysaccharides g-1 dry matter.
The soil used was a Brown Forest soil taken from the Chiba Prefecture Warm Horticulture Research Institute. Its main biochemical properties were: total C and N: 14.4 and 1.38 g kg-1, respectively, pH (H2O): 6.1, EC: 9.6 mS m-1, and CEC: 28.4 cmol (+) kg-1. The soil depth was 15 cm, and about 5 cm of gravel was added at the bottom. The sensors of an auto-thermo recorder (T&D, Ondotori TR-71) were installed at a depth of 1 cm to record soil temperature (Figure 1). Ceramic soil suction meters (Fujiwara Seisakusho, SPAD PF-33, sensing range pF 1.3 to 3.9) were also installed at 6 and 12 cm depth to record soil water potential. Nostoc was cultivated in outdoor plastic containers for 90 days from June 1 to September 1, 2002, without irrigation. Nostoc un-amended containers were set up as a control. Both treatments and control were replicated three times.
Figure 1. Set up of the outdoor experiment
After 90 days of cultivation, soil samples were taken for analysis at depths of 0-2.5, 2.5-5.0, 5.0-7.5 cm. Soluble soil organic C and N content were determined after extraction with 0.5 M K2SO4 solution (soil: solution 1:5 w/v) using a TOC meter (Shimadzu, TOC 5000) for C and the persulphate oxidation-hydrazine reduction method (Sakamoto et al. 1999) for N. Soil pH was measured using a soil:water or 1 M KCl ratio of 1:2.5 (w/w). Electrical conductivity (EC) was measured using a soil:water ratio of 1:5 (w/w). The number of soil microorganisms (fungi and bacteria) was measured by the dilution plate method (Soil Microbial Society, 1992). The cation exchange capacity (CEC) of the soil was measured by the Schorenberger’s method and exchangeable cations (Na, Mg, K, Ca, Mn) were measured in a 1.0 M ammonium acetate extract by ICP (Shimadzu, ICPS-1000IV) (Muramoto et al. 1992).
1-2 Growth chamber experiment
In this experiment Nostoc was applied at the rate of 1.0 g dry matter on the surface of 160 g of autoclaved Brown Forest soil or river sandy soil in 500 ml pots (diameter: 7.5 cm; height: 8.0 cm) either as dried ground powder or fresh minced mass after homogenisation. Nostoc un-amended pots were set up as a control. Nostoc was grown for 30 days at 30oC inside a growth chamber with a 16 h light (80 µmol m-2 s-1) and 8 h darkness cycle using irrigation to maintain moist conditions. Both treatments and control were replicated three times. At the end of the cultivation, the soil samples were analyzed for soluble organic C and N, CEC and exchangeable cations with the methods indicated in experiment 1-1.
Experiment 2: Effects of Nostoc application on plant growth.
2-1 Sandy soil
In this experiment, Nostoc (0.4 g dry matter) was applied on the soil surface or mixed with the autoclaved river sandy soil (100 g) placed in plastic seedling trays (5 cm × 5 cm × 5 cm). Weeping love grass (Eragrostis curvula) seeds (0.5 g) were planted and the trays were incubated in a growth chamber at 25oC for 30 days under similar illumination cycle and irrigation as in experiment 1-2. For comparison with Nostoc application, two more treatments, autoclaved river sandy soil that received only chemical fertilizer or not (control), were setup. Chemical fertilizer (N:P:K 8:8:8) was applied at a rate equivalent to 200 kg N ha-1 (designated as fertilizer amended control). The soil not amended with Nostoc or fertilizer was called fertilizer un-amended control. Five replicates were prepared for each treatment. The above-ground dry biomass was measured at the end of the experiment.
2-2 Filter paper cultures
Seeds of weeping love grass were placed on pairs of filter paper (Advantec) in sterile plastic dishes and let to germinate for 3 days in a growth chamber at the same temperature and illumination conditions as in experiment 1-2. Evenly seedlings were selected and further grown for 7 days with or without Nostoc application of 2 g (fresh weight, equivalent to 20 mg as dry weight) in N-free Knop’s culture solution (Namiki, 1990). Sodium chloride solution (0.1 or 0.2 M) or distilled water was then added to the Knop’s culture solution as treatments. Four replications, each with 6 seeds, were prepared for the individual treatments. Plant growth was evaluated by measuring the height of the shoot at the end of the experiment.
2-3 Brown Forest soil
Sixty-five grams of the Brown Forest soil (the same soil as in experiment 1-1) were placed in plastic Petri dishes, and autoclaved after they were amended with a quantity of Na2CO3 equivalent to 15 cmol kg-1 dry soil. The pH and EC of the Na2CO3-amended soil were 10.0 and 0.8 dS m-1, while those of the Na2CO3-un-amended soil were 6.6 and 0.07 dS m-1, respectively. The Na2CO3-amended soil was then divided into four parts and further treated as follows: (i) no fertilizer amendment (referred to as salt-amended [-] fertilizer), (ii) amendment with a chemical fertilizer (N:P:K 8:8:8) at a rate equivalent to 200 kg N ha-1 (referred to as salt-amended[+]fertilizer), (iii) Nostoc (3 g fresh weight) amendment mixed with the soil (referred to as salt-amended[+]Nos mixed) and (iv) Nostoc (3 g fresh weight) amendment applied on the soil surface (referred to as salt-amended[+]Nos surface). Half of the Na2CO3-un-amended soil samples were also further amended with a chemical fertilizer at the same rate as for the Na2CO3-amended soils (referred to as salt un-amended[+]fertilizer), the other half did not receive any fertilizer (referred to as salt un-amended[-]fertilizer). Seeds of weeping love grass (0.05 g) were planted in each Petri dish and grown in a growth chamber for 7 days at the same temperature and illumination conditions as in experiment 1-2. Three replications were prepared for each treatment. Plant growth was evaluated by measuring the height of the shoot and the fresh weight of the above-ground biomass at the end of experiment.
Experiment 3: Comparison of growth and salt-tolerance between isolates from Khon Kaen, Thailand and from Japan
The growth of four strains of Nostoc was compared after a stay of 168-192 h in a growth chamber. Salinity tolerance was also examined by growing the strains for 72 h in a 0.1-0.6 M NaCl media. Total polysaccharide production was also compared after a 72 h incubation in BG 11 media and filtrated (0.47 µm) then determined by the phenol sulphate method.
Results and discussion
Effect of Nostoc on soil characteristics
When Nostoc was applied on the surface of soils in plastic containers kept outdoor and cultivated for 90 days in experiment 1-1, soil moisture and temperature were more steady when compared with the un-amended soils. After heavy rain, the amount of drained water was the same in the Nostoc amended and un-amended treatments. Without rainfall or irrigation, soil pF in the topsoil remained low, indicating moist conditions, for a longer period in the soil where Nostoc had been applied compared with Nostoc un-amended soils (Figure 2). In addition, the pF in the deeper soil layers remained unchanged for about one week in the Nostoc treatment whilst it started to rise after four days [RP3] in the Nostoc un-amended soils. The maximum daily soil temperature with Nostoc application was about 4 to 6oC lower than without Nostoc application (Figure 3). Thus Nostoc application to the soil surface led to a decrease in the maximum soil temperature and the retention of soil moisture under the dry conditions of mid summer. These two effects can be attributed to the crust mat of Nostoc developed on the soil surface. Crust mat development resulted in a reduced evaporation from the soil surface, and therefore helped retain the water, as indicated by the low water potential (pF), for longer period than without Nostoc application. The crust mat also reduced the incident solar radiation on the soil surface, and this led to the observed decrease in maximum soil temperature. The decreased maximum soil temperature and the retention of soil moisture by Nostoc may influence other soil biological and chemical properties. Indeed soil moisture is an important factor in determining the quantity and activity of soil biota. Soil borne organisms, including microorganisms, are very active at soil moisture content of about 60% of the field capacity, but their activity becomes restricted at a lower moisture content. The optimum soil temperature for soil organisms is between 20-30oC. Some soil organisms may endure up to 35oC, but they become severely restricted above 40oC.

Figure 2. Effect of Nostoc application on soil water potential

Figure 3. Effect of Nostoc application on soil temperature (1 cm depth)
Soluble organic C and N contents at soil surface (0 to 2.5 cm) increased significantly (p <0.01; t-test) with Nostoc application after 90 days of cultivation (Table 1). Nostoc application also significantly increased the amount of soluble N at depths from 2.5 to 5.0 cm. The increase in soluble C and N was attributed to the secretion of polysaccharides from Nostoc. Polysaccharides are known to contribute to the structural stability of the soil, to increase soil C and N, and to promote plant growth (Foth 1990). Some organic compounds were applied when Nostoc was inoculated, but this initial amount of polysaccharides was much less than the quantity observed after 90 days of cultivation.
There were no significant effects of Nostoc application on the other soil chemical and biological characteristics such as soil pH, electrical conductivity, number of fungi and bacteria, CEC and exchangeable cations (Table 1). However, significant differences in some of these soil properties between the different soil depths were observed. For example, the electrical conductivity, the amount of soluble N and the number of microorganisms decreased with depth in both Nostoc amended and un-amended soils. Interestingly, while the amount of soluble C increased with depth in the control, it decreased with Nostoc application. The soil used in this experiment was neutral, and rather rich in soil organic matter, as indicated by its biochemical properties listed under experiment 1-1. The effects of Nostoc application on the soil chemical and biological properties might have been limited in such an unfertile soil.
In experiment 1-2, when Nostoc was applied on the surface of pots of Brown Forest and sandy soils either in the dry ground or freshly minced forms, soluble organic C and N were significantly increased, even in a period shorter (30 days) than in the outdoor experiment (90 days) (Table 2). Like in experiment 1-1, the biochemical properties were not modified by Nostoc application. The similarities in the effects of dry or fresh minced Nostoc on soluble C and N may be due to the fact that the photosynthetic and nitrogen fixing activities of the dried Nostoc can recover within a few hours after re-wetting to become comparable to fresh samples (Apte and Thomas 1997). From this observation, it can be anticipated that it is possible to use dry Nostoc instead of fresh material.
Table 1. Effect of Nostoc application on soil properties
|
Soil depth (cm) |
Treatment |
pH |
EC (mS/m) |
Number of microorganisms (CFU/kg.d.s.) |
|||||
|
H2O |
KCl |
Fungi |
Bacteria |
||||||
| 0~2.5 | Cont +Nos |
6.11 ± 0.4 5.95 ± 0.1 |
4.53 ± 0.03 4.66 ± 0.1 |
43.4 ± 15.4 41.9 ± 10.8 | (5.7 ± 1.8) × 104 (4.3 ± 1.2) × 104 | (2.9 ± 1.3) × 106 (3.7 ± 1.0) × 106 | |||
| 2.5~5.0 | Cont +Nos |
6.18 ± 0.1 6.10 ± 0.1 |
4.18 ± 0.1 4.33 ± 0.02 |
12.1 ± 2.65 16.9 ± 1.71 | (2.4 ± 0.6) × 104 (2.0 ± 0.5) × 104 | (2.2 ± 0.5) × 106 (1.8 ± 0.6) × 106 | |||
| Soil depth (cm) |
Treatment |
Soluble C |
Soluble N |
CEC |
Exchange cation (cmol/kg d.s.) |
||||
|
(mg/kg d.s.) |
(cmol/kg d.s.) |
Na |
Mg |
K |
Ca |
Mn |
|||
| 0~2.5 | Cont +Nos |
177 ± 34 |
12.1 ± 1 |
25.1 ± 1 |
0.78 0.76 | 3.65 3.66 | 1.24 1.14 | 7.44 7.25 | 0.03 0.06 |
| 2.5~5.0 | Cont +Nos |
232 ± 64 |
7.7 ± 1 |
26.7 ± 2 |
1.18 1.22 | 4.25 4.00 | 1.12 1.17 | 8.14 7.79 | 0.07 0.06 |
| 5.0~7.5 | Cont +Nos |
230 ± 74 |
7.6 ± 1 |
30.6 ± 3 |
0.99 1.03 | 3.74 3.54 | 1.16 1.18 | 7.82 7.25 | 0.07 0.04 |
| * and **: Significantly different from control at p <0.05 and p <0.01, respectively (t – text). (n = 3) | |||||||||
Table 2. Effect of Nostoc application on soil properties
| Soil type | Treatment |
Soluble C |
Soluble N |
CEC |
Exchange cation (cmol/kg d.s.) |
||||
|
(mg/kg d.s.) |
(cmol/kg d.s.) |
Na |
Mg |
K |
Ca |
Mn |
|||
| River sand |
Cont +Nos (dry) +Nos (wet) |
13 ± 2 |
N.D. |
2.0 ± 0.1 |
0.46 0.52 0.40 |
N.D N.D N.D |
0.90 1.05 1.00 | 0.92 1.05 1.00 | 0.02 0.02 0.03 |
| Brown forest soil |
Cont +Nos (dry) +Nos (wet) |
151 ± 11 *209 ± 10 *227 ± 33 |
15.2 ± 2 *25.0 ± 2 *31.5 ± 3 |
20.8 ± 2.0 |
0.62 0.65 0.66 |
2.29 2.63 2.32 |
7.59 8.29 7.63 | 7.59 8.29 7.63 | 0.34 0.57 0.22 |
| *: Significant difference at p <0.01 (t – test) n = 3 | |||||||||
Nitrogen fixation is an important N source in marginal soils like sandy or coastal saline soils. In salt-affected areas in India, application of cyanobacteria combined with gypsum or sulphur changed the soil pH from alkaline to neutral, reduced exchangeable Na and EC, and led to the development of soil aggregates in the long term (Kaushik and Mutri 1981; Kaushik 1989, Subhashini and Kaushik 1984). It is necessary, therefore, to conduct long-term experiments to see all the effects of Nostoc application.
Effect of Nostoc on plant growth
In experiment 2-1, when Nostoc was applied either on the surface or mixed homogeneously with the soil, and the soils were sown to weeping love grass, the mixing of Nostoc enhanced plant growth, compared with Nostoc un-amended soils, even though the best plant growth was obtained with fertilizer application (Figure 4). The plant growth in the control (no fertilizer application) and surface-applied Nostoc were similar, and these were significantly lower than the plant growth obtained with the mixing of Nostoc with the soil. Due to the absence of light in the topsoil, Nostoc mixed with the soil did not grow, but was probably mineralized by heterotrophic soil microorganisms. This mineralization provided probably plant-available nutrients, especially N, that was taken up by plants to improve their growth. This growth was better than in the samples where Nostoc was applied to the surface. The soil microbial biomass may have also immobilized part of the C and N mineralized from the Nostoc cells, and a great portion of this C and N may have ended up being incorporated into the soil organic matter.

Figure 4. Effect of Nostoc application on plant growth in a sandy soil
When the seedlings of weeping love grass were transplanted in a N-free growth medium with or without addition of NaCl in experiment 2-2, plant growth was significantly decreased with NaCl addition (Figure 5). However, at the NaCl concentration of 0.1 and 0.2 M, the growth of the seedlings in Nostoc amended dishes was significantly higher than that in the control. In experiment 2-3, the addition of Na2CO3 also reduced plant growth by decreasing both the shoot height and fresh weight, but this decrease was mitigated by the application of Nostoc, especially when it was applied at the soil surface (Figure 6). The results presented in the last two figures (5 and 6) indicate that Nostoc can partly compensate the negative effects of salts on plant growth in sandy or saline soils. There has been no report so far to describe such an effect of cyanobacteria on the growth of higher plants, so further study is important.

Figure 5. Effect of Nostoc application on plant growth under sodium stress in growth medium

Figure 6. Effect of Nostoc application on plants shoot height (i) and wet weight (ii) in soils

Figure 7. Effects of Nostoc application on plants shoot wet weight in soils
Comparison of growth and salt-tolerance between tropical and temperate isolates
Growth was faster in the Khon Kaen isolate when compare to temperate (Japanese) isolates, except HK which had most rapid growth (Figure 8). The salinity tolerance of Nostoc isolated from Khon Kaen was comparable to other isolates (Figure 9). Nostoc isolated from Khon Kaen produced the largest amount of polysaccharides followed by HK, Tateyama and Morioka (Figure 10). HK and Khon Kaen Nostoc isolates produced substantial amounts of poly-saccharides in saline condition, which may have interesting implications to remediate saline soils.

Figure 8. Growth rate of Nostoc isolates from Khon Kaen and from Japan

Figure 9. Salinity tolerance of Nostoc isolates from Khon Kaen and from Japan

Figure 10. Total polysaccharide production of Nostoc in saline conditions
Conclusion
Nostoc has some potential to help re-vegetate arid, saline or alkaline soils. The Khon Kaen isolate may be an option for some tropical sandy soils. Indeed, the Khon Kaen isolate produced the largest amounts of polysaccharides and exhibited an average tolerance to salinity. However, further studies are needed before Nostoc can be introduced to farmers. In particular, long-term field experiments are needed to ascertain medium-to long-term effects.
Acknowledgment
Part of this research was supported by the BRAIN project (leader Dr. Masanori Saito, NIAES). We are grateful to Prof. Masayuki Ohmori (Saitama University) and Dr. Solomon Acquaye (Chiba University) for their valuable comments.
References
Apte, S.K. and Thomas, J. 1997. Possible amelioration of coastal soil salinity using halotolerant nitrogen-fixing cyanobacteria. Plant Soil, 189, 205-211.
Eldridge, D.J., and Greene, R.S.B. 1994. Microbiotic crusts: a review of their roles in soil and ecological processes in rangelands of Australia. Australian Journal of Soil Research, 32, 389-415.
Foth, H.D. 1990. Fundamentals of Soil Science. 8th ed. John Wiley, New York, 136 p.
Johansen, J.R. 1993. Cryptogamic crust of semiarid and arid lands of North America. Journal of Phycology, 29, 140-147.
Kaushik, B.D., and Mutri, G.S.R.K. 1981. Effect of blue green algae and gypsum application on physico-chemical properties of alkali soil. Phykos, 20, 91-94.
Kaushik, B.D. 1989. Reclamative potential of cyanobacteria in salt-affected soils. Phykos, 28, 101-109.
Muramoto, J., Goto, I., and Ninaki, J. 1992. Rapid analysis of exchangeable cation and cation exchange capacity (CEC) of soils by a shaking extraction method. Japanese Journal of Soil Science and Plant Nutrition, 63, 210-215.
Namiki, Y. 1990. Hydroponic culture of vegetables. Yokendo, Tokyo, 50-51 (in Japanese).
Okitsu, S., Imura, S., and Ayukawa, E. 2003. Structure and dynamics of the Ceratodon purpureus-Bryum pseudotriquetrum community in the Yukidori Valley, Langhovde, continental Antarctica. Polar Bioscience, 16, 49-60.
Sakamoto, K., and Hayashi, A. 1999. A rapid method for determining the microbial biomass-N in soil – Determination of total-N in soil extracted by peroxy-disulfate oxidation method. Soil Microorganisms, 53, 57-62 (in Japanese).
Soil Microbial Society 1992: Methods in Soil Microbiology – New Edition, ed. Soil Microbiological Society of Japan, Youken-dou, Tokyo,41 1 p. (in Japanese).
Subhashini, D., and Kaushik, B.D. 1984. Amelioration of salt affected soils with blue green algae, I. Influence of algalization on the properties of saline-alkali soil. Phykos, 23, 273-277.
Zaddy, E. 1997. Nitrogen fixation in macro and micro-phytic patches in Negev desert. Soil Biology and Biochemistry, 30, 449-454.
1 Faculty of Horticulture, Chiba University,
Matsudo,
Chiba, Japan
2 Corresponding author: Matsudo, Chiba 271-8510 Japan,
e-mail: [email protected]
3 Faculty of Agriculture, Khon
Kaen University,
Khon
Kaen, Thailand