F.E. Madalena 1
Measures to preserve animal genetic resources presently in use are needed because these resources may be lost in a relatively short period of time. In Brazil, the Criollo cattle populations were practically completely graded up to zebus for beef production in the tropical areas of the country, a process that started on a large scale around 1910 (Santiago 1967) and changed in about fifty years the genetic composition of some sixty million cattle. Since more recent evidence indicates that zebu:criollo crosses excel both parental types in reproductive efficiency (Plasse et al. 1975) and carcass weight (Muñoz and Martin 1969), it would appear that going to purebred zebus was not the wisest choice of genetic resources for the beef industry. Unfortunately, by the time experimental evidence was available the criollo breeds had become nearly extinct.
Evaluation of breeds and crosses, and the diffusion of its results, in time to aid decisions before they have irreparable genetic consequences, are basic for efficient animal production. As a result of these evaluation studies some breeds could become more widely utilized, thus removing the need for special conservation practices, particularly if those breeds were under some kind of improvement programme. Conservation through commercial utilization would be possible only for breeds of present economic value, but it should receive attention along with other methods. After all, if the conservation of genetic resources is meant to serve mankind through improved animal production in the future, one could as well start by presently promoting a more efficient use of those resources, which would also favour their preservation.
Gir and Guzera (Kankrej) are the breeds generally used by farmers in the tropical areas of Brazil to maintain their cattle at intermediate gradings between zebu and European types. In this article, some experimental evidence on crossbred performance is presented, along with a brief description of the breeds, which justify their improvement for dairy purposes.
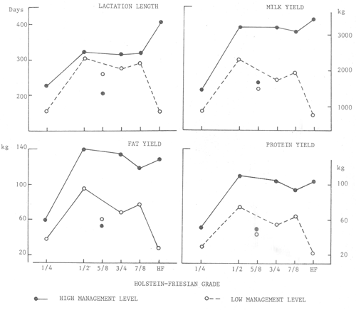
The Brazilian Organization for Agricultural Research (EMBRAPA) has initiated some comparisons of dairy breeds and crosses, at the National Dairy Cattle Research Centre. Background and rationale for this project were described by Madalena (1981). The aim is to define crossbreeding strategies for the utilization of European and zebu germplasm in the Southeast Region, which produces fifty-five percent of the milk in the country. In the main trial the performance of six Holstein-Friesian:Guzera grades is being compared in sixty-six cooperator farms. The six grades were chosen because they are similar to the ones that would be obtained utilizing four strategies of interest: (i) upgrading to Holstein:Friesians; (ii) forming a new breed; (iii) crisscrossing; (iv) modified crisscrossing alternating two generations of Holstein-Friesian and one of zebu bulls. A total of 527 heifers was produced and reared at an experimental farm up to approximately 22 months of age, when they were distributed to cooperator farms for further evaluation under the farmer's own management practices. Some results, of a very preliminary nature, are shown in Figure 1. There was a significant grade x farm group interaction for first lactation traits. At the farms with poorer management, performance tended to decline as grade departed from 1/2, whereas at the better managed farms there were small differences between the 1/2, 3/4, 7/8 and Holstein-Friesian grades.

Fig. 1 Performance of six Holstein-Friesian:Guzera grades at 28 farms classed into two management levels (N = 4 to 15) Source: Madalena et al. (1982)
Age at first calving was lower for halfbreds (Fig. 2). Teodoro et al. (1983) found important heterosis effects reducing age at puberty by 86 - 34 days and age at first conception by 119 ± 37 days, while increasing eight at puberty by 44 ± 17 kg. Significant breed additive effects were found only for age at first conception, the difference Holstein-Friesian minus Guzera being -102 ± 46 days.

Fig. 2 Age at first calving of six Holstein- Friesian:Guzera grades (N = 22 to 43)
Crossbred animals carried lower tick" (Boophilus micro-plus) burdens than purebreds (Lemos et al. in preparation) and lower burdens of gastrointestinal parasites (Paloschi 1981). Calf mortality was much lower for the F1 s, increasing as grade tended to purebred Holstein-Friesian or Guzera.
Additional results were obtained from individual herds (Table 1 and 2) where data allowed comparisons of contemporary animals of Holstein-Friesian:Gir grades, which confirmed the trends of Figures 1 and 2.
Table 1 COMPARATIVE PERFORMANCE OF COWS OF THREE HOLSTEIN-FRIESIAN GIR GRADES UNDER POOR MANAGEMENT1
| Trait | Holstein-Friesian grade | ||
| 1/2 | 3/4 | Purebreds | |
| Age at 1st calving, months |
39.5 |
42.8 |
45.0 |
| Calving interval. months |
15.3 |
17.4 |
18.0 |
| Lactation length2, days |
262 |
246 |
218 |
| Lactations shorter than 120 days3, % |
13 |
25 |
35 |
| Lactation milk yield2, kg |
2471 |
2347 |
1898 |
1 Adapted from Frietas et al. (1980) and Madalena et al. (1980)
2 Only for lactations of at least 120 days duration
3 Manual milking without the presence of the calf
Table 2 COMPARATIVE PERFORMANCE OF THREE HOLSTEIN-FRIESIAN GRADES UNDER GOOD MANAGEMENT1 2
|
Trait |
Holstein-Friesian grade |
||
|
|
|
|
| Calving interval, months |
13.3 |
14.2 |
14.2 |
| Lactation length, days | 305 | 301 | 318 |
| Lactations shorter than 200 days, % | 2 | 5 | 3 |
| Lactation milk yield, kg |
4034 |
3894 | 4149 |
| Milk yield/day of calving interval, kg |
10.1 |
9.4 |
9.9 |
1 From Madalena et al. (1983)
2 Machine milking without the presence of the calf
The results shown above agree with other experimental evidence obtained in Brazil and elsewhere indicating that European:zebu crosses are better suited than both purebred types for dairy production in tropical regions when the production systems have restrictions of nutrition, health or managerial ability.
Diverse production systems coexist, in the tropical regions of Brazil. Some very specialized dairy farms, using European cattle and modern inputs can be found in the higher altitude areas. Farms of intermediate production level (in the range of 2000 to 3000 kg per lactation) are not rare. Typically, these maintain crossbred cattle populations either by periodically switching the breed of bull from European (mainly Holstein-Friesian) to zebu, or else by utilizing both types simultaneously. A large section of the farms is composed of smallholdings, with zebu cattle milked only once a day. Still another production system is found in some zebu beef cattle ranches, where a portion of the herd is milked once a day during the rainy season only. Average milk yield is 666 kg per cow/year. Yield for Holstein-Friesians under official milk recording (a selected sample) in the State of Sao Paulo was 4209 kg (Ministry of Agriculture 1975).
It is possible to utilize only high yielding European breeds in the cooler(higher) tropical areas, provided management is improved to a level presently restricted to the more progressive farmers. However, for the vast majority of farms some zebu breeding is necessary. Whether zebu genes will become unnecessary in the future because milk production systems will evolve towards capital intensive systems like the ones presently used in the industrialized countries, is a matter of speculation. It seems apparent however that because of geographic and socio-economic regional differences the various production systems will persist for many years thus justifying the need for both European and zebu germplasm suitable for each environment. Fortunately there is a wide scope for manoeuvre, because even at the reasonable level of 10 kg milk per day of calving interval zebu genes may not be a hindrance, as shown by the results of Table 2.
Zebu genes may be incorporated through crossbreeding, utilizing purebred bulls, or by forming a new breed after an initial crossing. Ongoing research will quantify the merits of both alternatives, but both would benefit from the existence of zebus improved for dairy production.
Introduction of these breeds to Brazil and their further development was described by Santiago (1967). The Gir used to be the predominant zebu breed, but has lost this position to the Nelore since the late sixties. Numbers of registered Gir cattle are declining, while those of Guzera are stationary (Table 3). The Nelore Breed Association registers some 230 thousand animals per year. Milking Gir and Guzera are not separate breeds, but some breeders have been practising within herd selection for milk production for many years, so the term "milking" has some biological justification. Gir cattle have a very docile temperament. While purebreds cannot be milked without the presence of the calf, F1 s or higher grades of European crossbreds do not have this problem, as indicated by the small proportion of short lactations in Tables 1 and 2.
Table 3 NUMBER (THOUSANDS) OF REGISTERED GIR AND GUZERA CATTLE IN BRAZIL1
| 1974 | 1975 | 1976 | 1977 | 1978 | 1979 | 1980 | 1981 | 1982 | |
| Gir | 37 | 38 | 37 | 29 | 25 | 23 | 21 | 16 | 14 |
| Guzera | 11 | 13 | 14 | 13 | 12 | 12 | 11 | 11 | 10 |
1 Source: Ministry of Agriculture
Data on lactation length and milk yield in some of the elite dairy herds are shown in Table 4. Fat percentage at the officially recorded herds was 5.07 and 5.48, respectively, for the Gir and Guzera breeds. Data on reproduction traits are presented in Table 5. These include beef as well as dairy herds, as do data in Table 6, showing average weights of pastured cattle from an on-farm weighing programme.
Reported heritability estimates for Brazilian zebus are not different from those obtained elsewhere. Pereira (1983) reported three estimates between 0 and 0.06 for the heritability of calving interval and one estimate of h2 = 0.24. The average of twelve estimates of heritability of weight at 18 months was h2 = 0.38. Three estimates of heritability of lactation milk yield of Gir cows were h2 = 0.23, h2 = 0.37 and h2 =0.43 (Verneque 1982; Lôbo et al. 1981; Cardoso et al. . 1982). Heritability of lactation length in Guzera was h2 =0.18 and its genetic correlations with lactation milk and fat yield were both r = 0.99 (Barbosa and Pereira 1983). It then appears that these breeds have enough genetic variation for milk production and growth rate to justify improvement of these traits by artificial selection. More reliable estimates of genetic parameters, based on larger data sets, are nonetheless required.
Table 4 MILK YIELD OF GIR AND GUZERA COWS
| Lactation yield (kg) | Lactation length (days) | No. of lactations | References | |
| Gir | 1945 | 256 | 1147 | Rehfeld (1975) |
| 2345 | 278 | 322 | Teodoro (1976) | |
| 2666 | 282 | 185 | Silva et al. (1976) | |
| 1646 | 270 | N/A | Cardoso et al. (1982) | |
| 2348 | 279 | 481 | Min. Agriculture (1975) | |
| 27881 | 316 | 1978 | Lôbo et al. (1980) | |
| Guzera | 1155 | 262 | 401 | Benintendi et al. (1966) |
| 21341 | 265 | 47 | Min. Agriculture (1975) |
1Official milk recording
Table 5 REPRODUCTIVE PERFORMANCE OF ZEBU BREEDS. NON COMPARATIVE AVERAGES FROM DATA OBTAINED AT DIFFERENT HERDS1
| Gir | Guzera | Nelore | Indubrasil | ||
| Age at 1st calving, months | 47.2 | 46.7 | 42.2 | 44.3 | |
| Herds | 3 | 3 | 7 | 4 | |
| Records | 1008 | 352 | 10492 | 4192 | |
| Calving interval, months | 17.3 | 17.6 | 17.0 | 18.2 | |
| Herds | 7 | 4 | 4 | 4 | |
| Records | 1814 | 2917 | 3907 | 1525 | |
1 Adapted from Pereira (1983), Balieiro (1976) and Aroeira (1976)
2 Minimum, because some reports did not state numbers
Table 6 WEIGHTS AT 550 DAYS OF ZEBU BREEDS. NON COMPARATIVE AVERAGES FROM DATA OBTAINED AT DIFFERENT FARMS1
| Males | Females | |||
| N | kg | N | kg | |
| Gir | 312 | 231 | 441 | 203 |
| Guzera | 331 | 256 | 591 | 227 |
| Nelore | 2384 | 272 | 3668 | 239 |
| Indubrasil | 184 | 289 | 282 | 263 |
1 Source; Pereira (1983)
Since several stud breeders and institutions would be willing to include their herds in an improvement programme organized on a modern basis, it would be easy to enrol some 20 herds with a purebred Gir population of the order of 1500 to 2000 cows (smaller numbers of Guzera would be available). A similar number of crossbred herds can be found in commercial farms which use artificial insemination, keep good records and would be willing to associate in an improvement scheme. Thus, the breeding programme would have a tester population composed mainly of European:zebu cows, which is very convenient since improvement of crossbred performance is being sought.
A conventional progeny testing scheme is quite feasible. Selection should initially be practised for milk yield only, but records should be kept on other traits (fat and protein composition, age at first calving, calving interval, cow stayability and calf survival, milkability and temperament, plus tic? ratings and periodical weights at experimental farms) so as to allow reconsideration of the selection criteria after data become available for this purpose. Milk recording of the entire herd and fat and protein testing at centralized laboratories would have to be organized. Present practice is to record part of the herd and test for fat at the farm.
There are several factors in Brazil that would favour a selection programme of this kind. Besides its acceptability to breeds and research institutions, a modern technical infrastructure is available in supporting fields such as data processing, artificial insemination and even modern reproduction biotechniques. The existence of an active extension service and an excellent specialized agricultural press would indeed facilitate further expansion of the programme.
| 1976 | Aroeira J.A.D.C. Age at first calving, reproductive life and life expectancy of zebu cows. Thesis, Escola de Veterinária, Universidade Federal de Minas Gerais, Belo Horizonte. |
| 1976 | Balieiro E.S. Heredity and environment as causes of variation of age at first fecundation and calving interval in Guzera cows. Thesis, Escola de Veterinária, Universidade Federal de Minas Gerais, Belo Horizonte. |
| 1983 | Barbosa S.B.P. and Pereira C.S. Lactation length in a Guzera herd. In: Anais XX Reuniao Soc. Bras. Zootecniá. Pelotas-RS. (Abstr.) p. 253. |
| 1966 | Benintendi R.P., Pires F,L. and Santiago A.A. Contribution to the study of the Guzera breed selected for milk production at the Experimental Farm in Araçatuba.Bol. Ind. Anim. (Sao Paulo) 23:211-217. |
| 1982 | Cardoso V.L., Pires F.L., Freitas M.A., Benintendi R.P. and Oliveira A.A.D.Production aspects of a Gir herd selected for milk production. In: Anais XIX Reuniao An. Soc. Bras. Zootecniá. Piracicaba-SP. (Abstr). p. 202. |
| 1980 | Freitas A.F., Madalena F.E. and Martinez M.L. Age at first calving and calving interval of Holstein-Friesian and crossbred Holstein-Friesian:Gir cows. Pesq. Agrop. Bras. 15:101-105. |
| 1980 | Lôbo R.B., Duarte F.M., Ramos A.A. and Wilcox C.J. Correlations between reproductive and productive traits in a Gir herd. In: Anais XVII Reuniao An. Soc. Bras. Zootecniá. Fortaleza-CE. (Abstr.). p. 173. |
| 1980 | Lôbo R.B., Duarte F.M., Bezerra L.A.F., Ramos A.A. and Cortarelli A. Study of productive and reproductive performance of Gir cows. II. Genetic parameters. In: Anais Soc. Bras. Progr. Ciencia (Abstr.). p. 746. |
| 1980 | Madalena F.E., Freitas A.F. and Martinez M.L. Comparative evaluation of milk production of Holstein-Friesian and Holstein-Friesian: Gir cows. Proc. IV World Conf. Anim. Prod., Vol. II, pp. 650-658. AAPA, Buenos Aires. |
| 1981 | Madalena F.E. Crossbreeding strategies for dairy cattle in Brazil. World Anim. Rev. 38:23-30. |
| 1982 | Madalena F.E., Lemos A.M., Teodoro R.L. and Barbosa R.T. Preliminary results on the comparative dairy performance of six Holstein-Friesian:Guzera grades in Brazil. In: Proc. 2nd World Congr. Genet. Applied to Livestock Production 8:218-223. Madrid. |
| 1983 | Madalena F.E., Valente J., Tecdoro R.L. and Monteiro J.B.N. Milk yield and calving intervals of Holstein-Friesian and crossbred Holstein-Friesian:Gir cows in a high management level. Pesq. Agropec. Bras. 18:195-200. |
| 1975 | Ministry of Agriculture, Brazil. PRONAMEZO, Statistical Summary 1974/75. Brasilia-DF. |
| 1969 | Muñoz H. and Martin T.G. Carcass characters of the breeds Santa Gertrudes, Brahman, Criollo and their reciprocal crosses. Mems. Asoc. Lat-Am. Prod. Anim.4:20-46. |
| 1981 | Paloschi C.G. Cattle burdens, female/male ratio and number of ova per female in populations of Cooperia sp. in Holstein-Friesian and Holstein-Friesian:Guzera calves. Thesis, Univ. Fed. Rural, Rio de Janeiro. |
| 1983 | Pereira J.C.C. Genetic improvement applied to domestic animals. Belo Horizonte. 430 pp. |
| 1975 | Plasse D., Bauer B., Verde 0. and Aragunde M. Genetic and environmental influences on the reproductive efficiency of cows of the Criollo and Zebu breeds and their crosses. Mems. Asoc. Lat-Am. Prod. Anim. 10:57-73. |
| 1975 | Rehfeld O.A.M. Effects of some environmental factors on milk production in the milking Zebu herd of the Experimental Station of Uberaba. |
| 1967 | Santiago A.A. The Zebu. Uteha, Mexico. |
| 1976 | Silva M.A., Carneiro G.G., Torres J.R. and Teixeira N.M. Factors affecting milk production of Gir cows. Rev. Soc. Bras. Zootec. 5:158-172. |
| 1976 | Teodoro R.L. Some environmental factors affecting milk production in a Gir herd. Seminario, Curso de PosGraduaçao-Zootecnia, Univ. Federal de Minas Gerais.(Mimeo.). |
| 1983 | Teodoro R.L., Lemos A.M., Barbosa R.T. and Madalena F.E. Comparative performance of six Holstein-Friesian:Guzera grades in Brazil. 2. Traits related to the onset of the sexual function. Anim. Prod, (in press). |
| 1982 | Verneque R.S. Genetic and environmental factors in productive and reproductive traits of a milking Gir herd. Thesis, Univ. of Viçosa-MG. |
APPENDIX
CONSERVATION OF ANIMAL GENETIC RESOURCES IN
BRAZIL
(information kindly provided by
Dr. A.J. Primo)
The following description indicates the organization of animal genetic resource conservation in Brazil:
In Brazil the need for conservation of animal genetic resources has now become clear, and the lack of necessary documentation and evaluation has been recognized. The evaluation and conservation of animal breeds is being undertaken by EMBRAPA/CENARGEN-Centro Nacional de Recursos Genéticos. In the case of cattle, actions are being taken to save the Criollo before it is too late as it is rapidly disappearing by indiscriminate crossbreeding. The National Center for Genetic Resources has the following functions: (i) to fully document productivity of local strains and to assess their adaptation to specific climate-management-production systems; (ii) to ensure that such local strains are not displaced by so-called "improved breeds" before their present or potential value is known; (iii) to take steps for the preservation of germplasm both as live animals or by setting up frozen semen and embryo banks; (iv) documentation of pertinent information in regard to identity of herds and flocks on a computer readable format. There is already considerable information on the local livestock breeds, strains and varieties in Brazil. A number of breeds, strains or varieties that are rare and in danger of extinction have been identified by CENARGEN. Such strains are being documented and specifically evaluated, particularly to determine if they possess any unique or special inherited characteristics that would warrant their conservation. Until such evaluation is completed, steps are being taken to ensure preservation of these populations.
K.O. Adeniji 1
SUMMARY
In Africa, the only avenue to conserve a breed endangered is in the living form since techniques for storage of embryos for example have not yet been adequately developed. Furthermore, most countries might not be able to meet the financial involvement of such a programme. This is why it is highly recommended that Multiplication and Breeding Centres should be established for the endangered breeds of Africa. In cases where governments are unable to finance such centres international organizations and donor agencies could be approached for aid in funding these centres. A case in point is the African Development Bank which is financing the conservation effort on the Lagune breed in the Republic of Benin.
It is also recommended that pure bred herds of the endangered breeds of high potential e.g. the Butana, Kenana, Kuri, and Mpwapwa should be established with the aim of exporting males. The foreign exchange generated will help in maintaining the centres.
In countries where there are no breeding programmes and policies, efforts must be made to develop one in order for conservation measures to have a lasting effect. It is also not out of place to suggest the formation of breeding societies and breed societies at the national level to coordinate livestock production efforts in the country.
Authors in general are agreed that cattle were first domesticated over 7000 years ago in southwest and south-central Asia and were derived from one ancestral strain, the wild aurock or urus, Bos taurus primigenius. However, in Africa, three major types of cattle appear to have been the principal progenitors of the indigenous breeds (Payne 1964). The first to arrive were the humpless hamitic longhorns Bos taurus longifrons, followed by the humpless shorthorn Bos taurus brachyceros and then by the humped zebu Bos indicus (Colonial Office 1951; Epstein 1971). It was from these early times that interbreeding between humpless and humped cattle took place which gave rise to the various kinds of indigenous cattle encountered all over Africa today (Oliver - personal communication; Malbrant et al, 1947). Their hardiness and ability to thrive under traditional management and African rangeland is unchallenged. Any selection that has taken place over the many years that they have lived in Africa has been natural selection. Thus, man in Africa has produced a number of morphologically and functionally different types adapted to the prevailing conditions of the environment.
The cattle population of Africa, according to the 1BAR 1981 census is 162 267 000, representing 13 percent of the world's total. In addition to the meat and milk produced they also serve other functions: animal traction for cultivation and transport, manure for fertilizer and fuel, a variety of other products such as hides and skin, food security and year-round employment for millions of people in the rural areas.
The factors threatening the existence of indigenous breeds include the following:
|
- |
Lack of breeding policies and breeding programmes to maintain and improve pure indigenous breeds. |
|
- |
Indiscriminate crossbreeding programmes. |
|
- |
Productivity potential of indigenous breeds. |
|
- |
Livestock diseases |
2.1 Breeding Policies and Programmes
Animal breeding policies in Africa are as many and as varied as there are countries. In some countries, breeding of livestock has been left to continue as it has always been done traditionally. Other countries have tried different types of breeding programmes in an attempt to improve the indigenous breeds.
In countries where the breeding of livestock has been left to continue as it has always been done traditionally, the local breeds have retained their genetic material in their naturally adapted environment. However, nomadism and pastoralism have occasionally brought the zebu from the producing areas into contact with the trypanotolerant breeds in the tsetse infested areas, resulting in crossbred populations which have become stabilized e.g. the Borgu in Benin, Mere in Mali, Djakore in Senegal, Keteku in Nigeria, etc. The same thing could be advanced in other countries which though not practising the traditional system in an attempt to improve the indigenous breeds, have been upgrading through crosses with indigenous breeds of higher productivity. Crossbreeding with indigenous breeds has shown that the amount of heterosis obtained in the crossbred has not been large, about 1.4 percent at birth, 2.5 percent at weaning and 4 percent in live weight at 2 years (Maule 1973) but the crosses are more efficient in utilizing poor quality feed (Dim 1978). It appears that the effect of such breeding systems, particularly continuous upgrading, results in reduction in numbers of the pure breed.
2.2 Indiscriminate Crossbreeding Programmes
In most of Africa, breeding programmes are neither well planned, coordinated nor systematically executed. This has often resulted in indiscriminate crossbreeding programmes with the consequent result in the dilution or loss of indigenous breeds. There must be a precise description of the crossbreeding plan, the number of animals of various breeds and the extent of the utilization of heterosis, the relative number of breeding females, offspring born, offspring replacement (Wilton 1979). Crossbreeding programmes without an assured supply of indigenous breeds -will threaten the existence of local breeds and result in crossbreds of different exotic blood levels.
2.3 Productivity Potential of Indigenous Breed
Although Africa's cattle population accounts for 13 percent of the world cattle population, they produce only 4.3 percent of bovine meat, 1.5 percent of cow milk, and the annual herd offtake averages 11.4 percent representing about 126 kg slaughter weight per head compared to 34.1 percent and 240 kg in developed countries (ILCA 1981). This low productivity of the indigenous breeds is discouraging the farmers in keeping these breeds particularly in areas where livestock production is secondary to farming. Furthermore, the use of cattle for traction is gradually being replaced by the introduction of tractors for cultivation in some countries. As a result not much attention is paid to indigenous breeds of low productivity especially in relation to growth rate and mature weight. This is one of the reasons why the small trypanotolerant breeds are endangered e.g. the Lagune of Benin Republic and Ivory Coast, the Muturu of Nigeria. These breeds, however, have high reproductive rates.
2.4 Livestock Diseases
IBAR and other international organizations with the help of donor agencies have been able to control some of the major livestock dieases in the region. However, owing to inadequate follow-up measures and unforeseen circumstances mainly political in nature or as a result of civil disturbances, serious outbreaks of Rinderpest have occurred recently to justify another joint campaign against this disease. The present total numbers of cattle to be involved in the campaign is estimated at 119 915 000 (Pan African Rinderpest Campaign 1982). Livestock diseases therefore continue to take a heavy toll of the livestock population. Annual mortality losses in the region are rather difficult to determine, but it has been estimated at 2.25 million cattle, 3.5 million sheep and 2.0 million goats in Ethiopia (FAO/World Bank 1977). In Kenya, it is estimated that up to 70 000 cattle (one year and over) die from East Coast Fever alone each year while in the young stock 12 000 out of 115 000 heifer calves born to artificial insemination died of the disease in 1974/75 (Vets Clinic 1977).
Africa is endowed with a wealth of indigenous breeds which represent a vast pool of genetic material. Their long stay has enabled them to become adapted to the local environment. Any selection which has taken place over the many hundreds of years that cattle have lived in this region has been almost entirely on natural selection.
In the Africa region, it has been discovered that some of these indigenous breeds are endangered or threatened with extinction (Table 1). All efforts should be made to ensure that these breeds do not disappear completely or become extinct. This will safeguard the indigenous genetic material and avoid the problem of intractable rare breeds in future.
Table 1 LOCATION OF ENDANGERED CATTLE BREEDS
| Breed | Country | Breed | Country |
|---|---|---|---|
| Baria | Madagascar | Lagune | Rep. of Benin, Ivory |
| Brune de I'Atlas | Morocco | Coast | |
| Butana | Sudan | Mpwapwa | Tanzania |
| Creole | Mauritius | Muturu | Nigeria |
| Kenana | Sudan | Nandi (Small EA zebu) | Kenya |
| Kuri | Chad | Pabli | Rep. of Benin |
| Sahiwal | Kenya |
4.1 The West African Shorthorns
The West African Shorthorn are humpless trypanotolerant cattle found along the coastal areas in an almost continuous belt stretching from Liberia to Cameroon. They are said to have been derived from the humpless shorthorn Bos brachyceros and were said to be very numerous in northern Nigeria before the Fulani invasion and have now been replaced by the Zebu (ILCA 1979).
Depending on the location and environment these animals are variously called the Baoulé (Ivory Coast and Upper Volta), Somba (Togo and Benin), savanna Muturu (Nigeria), Bakosi, Doayo and Kapsiki (Cameroon), the Lagune (Ivory Coast, Togo and Benin) and the forest Muturu (Liberia, Nigeria).
The two most affected breeds in this group are the Lagune and Muturu (Table 2). These endangered breeds differ from the other shorthorns in terms of smaller size. They are generally reddish black or black and dun in colour and about three feet high. They have further degenerated as a result of inbreeding, inadequate nutrition and animal diseases. They are humpless, dwarf cattle, tolerant to trypanosomiasis but extremely susceptible to diseases such as rinderpest. They have very high breeding potential. The cows are capable of calving each year and age at first calving for the Muturu in Nigeria is 21 months. The calves weigh 10 kg and 13.7 kg at birth; 48 kg and 71.2 kg at 6 months; respectively in Benin and Nigeria. In areas where these breeds are kept, livestock production is of secondary economic importance. Furthermore, heavier breeds of zebu and N'Dama are being introduced for crossbreeding with the aim of improving herd productivity in terms of size for traction and meat and milk production. Furthermore, interest seems to be waning among farmers as tractors and small ruminants replace these breeds.
The Government of the Republic of Benin having realized the danger of extinction of the Lagune breed set up a multiplication ranch in Samiondji with funds provided by the African Development Bank for conservation purposes. It is suggested that similar measures be adopted for the Muturu in Nigeria. The extinction of this breed particularly in the Republic of Benin will have serious repercussions on livestock populations. It is therefore recommended that the ranch already established should be further strengthened both financially and by provision of experts in order to improve conditions at the ranch. It is also recommended that the government should be encouraged to provide an incentive to farmers to keep the breed.
4.2 The Kuri
This breed of cattle is classified as humpless longhorn (Colonial Office 1957). The very pure type of the Kuri breed is only found in the island regions of Lake Chad i.e. Djibadala, Koremeron, Debada and Bagdal (Malbrant et al. 1947). It has also been introduced into the regions of Lake Fittri and the lower Chari in Chad Republic; in the Tillabery region in Niger Republic and in Maiduguri, Nigeria in 1944 by importation of a nucleus breeding herd consisting of 10 cows and a bull. Recently, it was also discovered in the lower regions of the province of llubabor and by the Baro river in the Djikas district in Western Ethiopia (Alberro and Haile-Mariam 1982).
The Kuri is generally either a white coat coloured animal or white speckled with black or greyish black, in particular around the ears, on the head, the neck, and front part of the chest. It is a heavily built animal, about 5 feet in height (151 cm) with massive vertically high and bulbous shaped horns, crossed with tips close to each other. The horns, despite their massive look, are extremely light. Normal horns are common with the mainland herds while in the island regions abnormal horns are found which seem to be the result of adaptation to the aquatic environment. They possess the ability to swim very long distances.
The breed is adapted to a hot and often very humid environment. The maximum weight attained by mature cattle is around 800 kg and the average carcass weight is 250-300 kg. The average weights recorded at Maiduguri Livestock Centre, Nigeria, were 500 kg for bulls and 360 kg for cows (Epstein 1971). It is a good dairy animal with high fecundity and easy calving. Average daily milk yield is estimated at around 5-8 litres and length of lactation 6/7 months. Average production over a number of years is 1260 kg/lactation, with a record of 2440 kg in 314 days at Maiduguri Livestock Centre (Epstein 1971). The animal is highly susceptible to rinderpest disease which has accounted for its small numbers. It has also been adversely affected by the drought and the political instability in the Republic of Chad.
The conservation measures recommended are the development or establishment of government or internationally funded breeding centres on the islands where pure breeds are found. This will ensure that its adaptive qualities to a humid environment, and ability to swim long distances are retained. The breeding programme should be based on selection for milk yield and the distribution of improved males to farmers to improve their herds. Furthermore, heifers could be produced for export to countries where the breed has been introduced. In Nigeria and Niger Republics where the Kuri has been introduced and Ethiopia where it is also found, the governments should be encouraged to set up multiplication and breeding centres.
4.3 Mpwapwa Cattle
The Mpwapwa cattle is found in the Mpwapwa and Malya regions of Tanzania and the following blood composition prevails among the breed: Red Sindhi, 32 percent; Sahiwal, 30 percent; Tanzania shorthorn zebu, 19 percent; Boran, 11 percent; Ayrshire, 8 percent (Kiwuwa and Kyomo 1971). This breed was developed as a dual purpose animal capable of producing 2280 kg of milk in a 305 day lactation and steers to produce good quality carcass of 230 kg at less than four years from unimproved pastures. The second objective had been accomplished over the years. The herd average milk yield at first lactation is 1000 kg but Kiwuwa and Kyomo (1971) reported 1310 kg for one of the best ten heifers recorded in 1967. Also, the average milk yield for the cow is 1500 kg but Kiwuwa and Kyomo (1971) recorded 1800 kg for one of the best ten cows recorded in 1967 at Mpwapwa station while Bruhn and Mgheni (1977) reported an average of 1715 kg for 9 cows kept on the university farm at Morogoro. In fact these yields are relatively higher than those reported for East African crossbreds (Kiwuwa and Kyomo 1971).
The breed is in danger of extinction as indicated in Table 2. The main reason given for this was lack of sustained effort to develop the breed. Thus concerted efforts must be made to prevent the disappearance of the only composite breed that was developed in Africa.
The breed can be found in 2 regions of Tanzania. It is recommended that two breeding herds of the pure breed should be established and maintained in these regions because of the small numbers in order to avoid losses by disease or other unavoidable causes. In addition, exchange of males between herds will also be possible.
These stations could be established and funded by international organizations. The infrastructure presently exists at the Mpwapwa livestock breeding station.
4.4 Kenana Cattle
The Kenana cattle are found in the central region of the Blue Nile province in Sudan. The average rainfall in this area is 460 mm in the north and 810 mm in the south. The adult animals exhibit variations of colour from white grey to black grey; while the ideal Kenana colour is white grey on the chest and abdomen. The Kenana cow, being nomadic in nature, has a well developed udder attachment which prevents the udders becoming pendulous with advanced age. The average weight of a bull is 500 kg whilst that of a cow is 400 kg. The average milk yield is 1860 kg in 222 days lactation (Osman 1981). In this breed, the peak milk yield is during the 4th lactation and the average length of productive herd life of a cow is 5.42 lactations (Alim 1960). The age at first calving is 45.2 months but with good management, this could be reduced to 32 months (Khalafalla 1977). It is to be noted however that around 61 percent of heifers in a herd calve at 37-48 months. The calves weigh 24.8 kg and 23.5 kg at birth respectively for male and female. With good management considerable improvement could be achieved in the reproductive performance of the breed.
The introduction of crossbreeding in Sudan in 1925 is now threatening the existence of this breed. The Kenana cattle did very well in crosses with exotics and artificial insemination service is widespread with only exotic semen available. The discovery that crosses with this breed are suitable for use in Sudan with the modification of the environment resulted in large scale indiscriminate crossbreeding programmes. In addition, the establishment of a Kenana scheme in the natural habitat of the breed further threatens its existence (Khalifa 1960).
It is recommended that breeding and multiplication centres should be established for the Kenana cattle particularly in its natural habitat so that its adaptive qualities are not lost. If the government is not willing to carry out this assignment because of the Kenana scheme, the centres could be established in other regions with similar ecological conditions.
Table 2 ENDANGERED CATTLE BREEDS
| Breed | Present geographical location and production system | Population | Main use | Main reason for being endangered | Specific traits that might justify conservation programme | |
|---|---|---|---|---|---|---|
| Total Number | Number females | |||||
| Muturu | Forest and Guinea Savannah of Nigeria (S. West Nigeria; Middle belt of Nigeria). Extensive traditional system. | 25 000 | 12 500 | Meat Draught | Kept as relics; crossbreeding with other breeds; interest waning among fanners as tractors and small ruminants replace breed. Nigerian civil war. | Trypanotolerance, Hardiness, Good draught animal; low mortality rate for entire herd, short calving interval. |
| Lagune Rep. of Benin | Queme region of Benin: Samiondji ranch. Extensive traditional system. Improved extensive system. | 40 000 | 25 000 | Meat | Crossbreeding with zebu; lack of attention by farmer because of small size | Trypanotolerance. Adaptation to humid environment. |
| Lagune Ivory Coast | Along the coastal region of Ivory Coast. Extensive traditional system. | 4 000 | 1 600 | Meat | Crossbreeding with zebu. Small size. (Matured adult 120-125 kg.) Neglected by farmers because of poor milk production. | Trypanotolerance. Adaptation to humid environment. |
| Brune de l'Atlas | Morocco | 2 820 | 2 000 | Crossbreeding with imported breeds. | Adaptation to arid zone. | |
| Algeria | 1 433 | |||||
| Tunisia | 914 | |||||
| Mpwapwa | Mpwapwa and Malya regions of Tanzania | 1 000 | 650 | Dual purpose | Lack of sustained effort to develop the breed. | Adapted to semi-arid plateau of central Tanzania |
| Baria | Kelifely causse, N. Western Madagascar. Extensive traditional system | Dual purpose | Humpless, adaptation to the environment. | |||
| Creole | Mauritius | 3 000 | Dual purpose, Draught | Upgrading to imported exotic breed introduced about 150 years ago | Adaptation to the environment. | |
| Kuri | Lake Chad Basin of Nigeria (Bornu State). Extensive traditional system | 7 000 | 3 500 | Dual purpose | Small numbers; decimated by rinderpest and drought. | High milk production potential; Ability to float and swim in the lake. Heat tolerance and adaptation to humid environment. |
| Kuri | Island regions of Lake Chad i.e? Djibadala, Koremerem, Debada and Bagdal (Chad Republic). Extensive traditional system | Decimated by rinderpest, draught and political instability. | Good dairy animal; High fecundity; and easy calving. Heat tolerance and adaptation to aquatic environment. Ability to swim long distances. | |||
| Kenana | Central Region of the Blue Nile province- Extensive system | Milk | Crossbreeding; establishment of Kenana scheme in the natural-habitat of breed | Good dairy animal; Adaptation to hot arid and semi-arid environment. | ||
| Butana | North and East area of river Atbara and Kasala province. Extensive system | Milk | Crossbreeding. | Good dairy animal Adaptation to semi-arid environment. | ||
4.5 Butana Cattle
This breed of cattle is found in the area bounded in the north and east by the river Atbara and to the west by the Kasala province boundary which extends as far as the river Rahad in Sudan. The breed is characterized by a large hump, short horns and pendulous dewlap. They are mostly dark red in colour. The age at first calving is 43 months with calving intervals of 373 days. The birth weights for male are 25.64 kg and for female 24.29 kg respectively (Khalifa 1966). The average milk yield is 2253 kg in 240 days lactation (Osman 1981).
As earlier described for Kenana, the widespread crossbreeding programme is likewise threatening the existence of this breed. It is recommended that multiplication and breeding centres be established for this breed. The males produced in the breeding stations should be available for farmers in order to improve their herd. Furthermore, quality Butana heifers could be produced for export to other African countries as was already the case in some states in Nigeria.
The Kenana and Butana of Sudan are the only dairy type of cattle in the country and have received much attention particularly at the Artificial Insemination Service Centre. It is suggested that the reproductive data collected at this centre on these breeds be analysed. This might be undertaken in the form of a project since a preliminary investigation might be needed to describe the content and volume of the data.
4.6 Creole or Criollo Cattle
The Creole or criollo cattle is a heterogenous population with extremely variable colours, sizes and other external traits (Deaton 1981). In Mauritius, the breed is regarded as dual purpose and sometimes also as a draught breed. The breed, being multipurpose, is considered important as an insurance against unstable markets. It therefore fits the requirement of small farmers who prefer hardy animals with less health care and suffer less under poor management and inadequate feeding systems.
The policy of continuous crossing to an exotic breed introduced about one hundred and fifty years ago will cause the breed to disappear and eventually the genetic variability associated with the breed. It is mainly for this reason that the government should be encouraged to adopt a policy that will protect the breed from extinction.
It is recommended that a multiplication centre be established for the criollo where breeding programmes to improve the breed and produce bulls for loan to farmers for improving their herds be developed. Furthermore, it is recommended that the farmers be formed into associations or breeding societies which will be interested in the protection and improvement of the breed.
4.7 Sahiwal Cattle
The Sahiwal cattle, whose native home is in the Montgomery district of Pakistan, were first imported into Africa through Kenya in 1939 and subsequently in 1945 and 1963 mainly because of their higher milk yield than other zebus (Kimenye 1981) and adaptation to tropical environments. Other African countries where it has been introduced as well are Burundi, Mauritius, Nigeria, Rwanda, Tanzania, Sierra Leone, Somalia, Senegal, etc. This breed, though not indigenous to Africa, is suitable as a dairy breed in semi-arid eco-zones of the region with productivity potential as in its native home. In fact, the Sahiwal cattle from Naivasha, Kenya, have been managed by farmers at various levels of intensity in different production sytems (Wilkins 1974). Production data in India are as follows: average first lactation milk production in 300 days - 1622 kg; average yield pooled over 7 lactations - 1761 kg; average lactation length - 289 days; average calving interval - 450 days (Nagarcenkar 1983).
The production data in Kenya are as follows: average milk yield in 305 days - 1455 kg; average lactation length - 274 days; average calving interval 412 days (Kimenye 1981). The main difference with records in India was due to the plane of nutrition. In India the animals were stall fed whereas in Naivasha, Kenya, the animals were managed on unimproved pastures with hardly any supplementation. Furthermore, semen has been produced from the breed in Kenya, Somalia and so on.
The Sahiwal breed which has already proved its worth in Kenya is now endangered mainly because of too narrow a genetic base. As a first step, it is suggested that information should be collected from other countries where it has been introduced as regards its productive performance compared with the indigenous breeds. Furthermore, it is suggested that a similar procedure be used to collect information from other areas of the world where it has been introduced. On the basis of information gathered, problems to be encountered in the global use of the breed should be identified, and solutions found in order to widen the genetic base of the Sahiwal population in Kenya.
Finally, it is suggested that an analysis of available data at the national Sahiwal stud in Kenya should be undertaken with a view to reviewing the present breeding programmes and to investigating alternative selection strategies in order to maximize genetic progress.
| 1982 | Alberrom and Haile-Mariam. The indigenous cattle of Ethiopia, Part I. Wld. Anim. Rev. 41:2-10. |
| I960 | Alim K.A. Reproductive rates and milk yield of Kenana cattle in Sudan. J. Agric. Sci. 55(2):183-188. |
| 1960 | Atabani Yousuf Ibrahim. Studies on Kenana cattle of Sudan. I. Kenana breed type. S. J. Vet. Sci. Anim. Husb. 2(1):77-83. |
| 1961 |
Atabani Yousuf Ibrahim. Studies on Kenana cattle of Sudan. II. Body measurement and weights. S. J. Vet. Sci. Anim. Husb. l(2):59-69. |
| 1957 | Colonial Office. The indigenous cattle of the British Department Territories in Africa. Publ. No. 5. HMSO, London. |
| 1981 | Deaton O.W. The disappearance of local breeds, animal genetic resources conservation and management. Proc. FAO/UNEP Tech. Cons., Rome. |
| 1978 | Dim N.I. Breed development for milk production; the need for a Nigerian dairy industry production. 1st National Seminar on Dairy Development, Vom. p. 80-89. |
| 1971 | Epstein H. The Origin of the Domestic Animals of Africa. Vol. I. Africana Publishing Corp., New York. |
| 1977 | FAO/World Bank. The outlook for meat production and trade in the Near East and East Africa. Vol. II. p. 1-30. |
| 1981 | ILCA. Annual Report, p. 2. |
| 1979 | ILCA. Trypanotolerant livestock in West and Central Africa. Vol. 1. General Study. Monograph 2. |
| 1977 | Khalafalla A.M. The reproductive performance of a herd of Kenana cattle (A northern Sudan zebu). Thesis. |
| 1966 | khalifa H.A. Some factors affecting the birth weight of the Butana and Kenana calves. S. Agric. J. 2(l):44-55. |
| 1 960 | Khalifa Hassan. The fate of Kenana cattle after the establishment of Kenana scheme. The Agric. Mag. 1(1):14-18. |
| 1981 | Kimenye D. Production traits of Kenya Sahiwal cattle. Bull. Anim. Hlth. and Prod. 29(2):121-124. |
| 1971 | Kiwuwa G.H. and Kyomo M.L. Milk composition and yield characteristics of Mpwapwa cattle. E. Afr. Agric. J. XXXVI (3):290-295. |
| 1973 | Maule J.P. The role of the indigenous breeds for beef production in Southern Africa.S. Afr. J. Anim. Sci. 3:111-130. |
| 1983 | Nagarcenkar R. A model programme for the preservation and genetic improvement of the Sahiwal breed in India. Anim. Gen. Resources Information 1/83:13-16. |
| 1981 |
Osman A.H. Genetic types for different environments. Animal Genetic Resources Conservation. Proc. FAO/UNEP Tech. Cons., Rome. |
| 1982 |
Pan-African Rinderpest Campaign. Project operation and funding document. OAU/IBAR Publication, p. 13. |
| 1964 | Payne W.J.A. Empire Journal of Experimental Agriculture. 32:97. |
| 1977 | Vets Clinic. The fever that claims 70 000 lives a year. Farmers Voice, Kenya's Farm Magazine 1(8) :51. |
| 1974 | Wilkins J.V. The performance of Sahiwal in the commercial sector. Naivasha Report. |
John Hodges1
In many parts of the tropics the need is to improve cattle for both milk and beef production at the same time. There are, however, few indigenous breeds of the developing world able to produce adequate quantities of milk. The majority of Bos indicua cattle are suited principally to beef production. Bos taurus has greater potential for milk production, but is rarely suited to the harsher environments of the tropics, where conditions adversely affect milk production, health and reproduction. The value of Bos indicus breeds which are able to produce higher levels of milk, as well as good beef, is therefore very great. There are few such breeds: among the few, the Sahiwal is one of the best endowed with genetic potential for milk and beef, while exhibiting a complete adaptation to the tropics. Native to the Punjab Province of Pakistan, the Sahiwal takes its name from a small city and the surrounding district. It has been considerably improved by many centuries of patient selection in the area, and it reputation has spread abroad to many other tropical countries and semi-tropical countries.
In the home country of Pakistan there are today only about 7000 purebred Sahiwal cattle, many of which are in herds of government livestock stations, or on private farms encouraged by government. The level of production of the Sahiwal depends, of course, upon the management system and particularly upon the level of nutrition. However, it is not unusual for the 305 day lactation yield to reach and exceed 2000 kg under good conditions. The Sahiwal has also been used extensively for crossing, and with Bos taurus breeds, such as the Ayrshire or Holstein-Friesian cattle yields can be substantially increased. The extent of this increase depends upon the climate and the percentage of Sahiwal in the crosbred (ILCA 1981). However, the attractions of crossbreeding have encouraged many farmers in Pakistan to cross their animals and obtain considerably more milk. Consequently, there are now over 100 000 crossbred Sahiwal type animals, with varying percentages of Sahiwal genes. From a conservation point of view this represents a serious problem. It is obviously essential that the purebred Sahiwal should not only be preserved, but also that it would have a large enough population to permit purebred improvement programmes. The governments both of Pakistan and of the Punjab are well aware of this problem and have taken some steps to preserve any further loss of Sahiwal genes in the purebred population.
In addition to Pakistan, a population of Sahiwal exists in Kenya, to which importations were made during colonial time about 40 years ago and since. Today the purebred population in Kenya numbers about 2500 cows, of which a large herd is at the Government stud at Naivasha, founded in 1962, and others are in private herds. Sahiwal bulls are also available in artificial insemination. As in Pakistan, many farmers in Kenya keep crossbred Sahiwal cattle crossed with Bos taurus types, and gain additional milk yield. The percentage of Sahiwal genes again depends upon the climatic location, which in Kenya can be very varied (Trail and Gregory 1982). India also has some purebred Sahiwal animals in government herds on livestock farms or research stations, but the number is less than the population in Kenya, and numbers about 1000-1100 cows (Nagacenkar 1983). Some cooperative improvements work is in progress on 8 institutional herds with 750 cows.
The Sahiwal is thus already an international breed with small purebred populations in three countries, but unfortunately, not many purebred animals in total. It represents an outstanding example of a breed which requires special attention, for conservation by management. This is already being given by the national governments of Pakistan, India and Kenya at the Federal and State levels. It is a situation, however, in which other countries have an interest either now or in the future. For example, Malaysia has recognized the value of the Sahiwal crossbred for milk production, and during the last 7 or 8 years has imported crossbred Sahiwal-Friesian heifers out of Friesian cows, from Australia and New Zealand. The operation has been a success commercially for Australia and New Zealand, who have not had large expenses in maintaining Sahiwal bulls in Al; it has also been a success from a health angle, for strict controls on animal health have been ensured. Some 12 000 crossbred animals have been imported this way, and this has improved Malaysian milk production. The missing factor is a genetic programme to ensure that the Sahiwal bulls selected are part of an internationally recognized population of Sahiwal, which has a united breeding programme to conserve Sahiwal genes by management. In the view of FAO, here is an opportunity for international cooperation in genetic improvement, to safeguard the valuable Sahiwal genes, and to ensure that all countries with an interest now, or a likely interest in the future, may play a part. It is evident that crossbred Sahiwal are very successful commercially. What is needed is an international conservation agreement between the governments with ongoing interests in the Sahiwal to cooperate in improvement, so that they may offer the best Sahiwal genes to the world market, benefit commercially, and also conserve the genetic resource for the future.
Such international cooperation would not affect the freedom of action of national governments to follow their own improvement plans, but would ensure that those having Sahiwal can be aware of each others breeding programmes, and if they wish, to cooperate in the exchange of information, animals or even commercial marketing plans.
| 1981 | Gregory K.E. and Trail J.C.M. Rotation crossbreeding with Sahiwal and Ayrshire cattle in the tropics. Journal of Dairy Science 64.10. 1978-1984. |
| 1981 | ILCA. Sahiwal cattle: an evaluation of their potential contribution to milk and beef production in Africa. Monograph 3, ILCA, Addis Ababa. |
| 1983 | Nagarcenkar R. A model programme for the preservation and genetic improvement of the Sahiwal breed in India. AGRI 1:13. |
| 1981 |
Trail J.C.M. and Gregory K.E. Characterization of the Boran and Sahiwal breeds of cattle for economic characters. Journal of Animal Science 52:1286-1293. |
| 1982 | Trail J.C.M. and Gregory K.E. Production characters of the Sahiwal and Ayrshire breeds and their crosses in Kenya, Tropical Animal Health and Production 14(1):45-57. |
The early history of the herd at Turrialba involved the introduction of Holstein, Jersey and Brown Swiss heifers. Losses of adults and calf mortality were so high that the herds could not be maintained. The Jersey having shown higher fertility was kept and crosses that would be more adapted sought through the Central American Milking Criollo.
The data analysed come from herd records kept for all cows that were milked in Turrialba from 1952 to 1982.
After screening the data for minimum requirements of 30 days in the milking line, 3902 lactation records were considered. Of these 1124 represented first lactations. A further screening was carried out to represent normal lactations. These were so considered if they lasted at least 150 days and produced at least 450 kg of milk. These decisions were based on the conviction that though some of the foundation Criollo cows had been raised at the foot of the dam or handled as beef animals no calf-suckled cow would produce less than that amount. All records were made on twice a day milking without the calf and under an all pasture feeding regime. Molasses was fed at the time of milking. Quantities of this supplement were not constant throughout the years. Data examined here include parameters pertaining to first lactations only. Twenty-one breed groups could be defined based on the existence of at least 10 records that met the minimum requirements for first lactations. Most of the data is comprised by the Central American Milking Criollo Breed, with 264 first lactation normal records; the Jersey with 113 and their reciprocal crosses with 90 lactations. Some other numerously important groups include a three breed cross of the above to Ayrshire and an outcross to the Durham (a Costa Rican relic of old time Shorthorns that was not selected for milk production). Some of the more important parameters corrected for year effect and means derived by least squares and maximum likelihood procedures are presented in Table 1.
The data so far analysed are partial and do not constitute all evidence available to reach conclusions relating to future policies. Since they comprise only first lactations they would be viewed in connection with calf mortality which has a heavy impact on the dairy business. Attempts to include that parameter have been difficult because they are so intimately tied with management. An earlier analysis (Maltos, Cartwright and de Alba, ALPA Mem. 50:35-47) showed an average mortality for all breeds of 17 percent of all females born, but no breed comparisons were possible. In one section of the herd accurate records were kept of the mortality of calves out of the three way cross cows, Ayrshire X (F1 crosses) and it was found to range, in a group of 22 cows, from 33 percent to 0 in a period of five years. Whether adaptability to the environment is expresed by breed groups as a factor of calf mortality cannot be answered. Since calves are grown from the time they reach 120 kg to first breeding on second rate pastures, adaptability may be judged by age at first calving. In this respect the lower age and higher weight of the Criollo x Jersey crosses can be interpreted as showing a greater degree of adaptability to the environment.
Table 1 RESULTS ON TRAITS PERTAINING TO FIRST LACTATIONS RECORDS OF SELECTED BREED GROUPS AT TURRIALBA, COSTA RICA NORMAL RECORDS ONLY (1952-1982)
| Breed Sire breed first | No. | Age at first calving days | Fat % | Weight at first calving | Unadjusted milk yields 305 or less days | Age Adjusted milk yields | Age and FCM yield |
|---|---|---|---|---|---|---|---|
| kg | kg | kg | kg | ||||
| CC=Purebred Criollo |
246 |
1111 + 11 | 4.63 | 320 ± 3 | 1 298 ± 31 | 1 282 ± 31 | 1 383 ± 83 |
| JJ=Purebred Jersey | 113 | 1016 ± 14 | 4.56 | 268 ± 4 | 1 836 ± 40 | 1 851 ± 40 | 1 989 ± 42 |
|
CC x JJ F1 |
40 |
1035 + 22 |
4.45 | 308 ± 7 | 1 802 + 73 | 1 813 ± 73 | 1 963 + 77 |
| JJ x CC F1 | 50 |
958 ± 24 |
4.66 | 290 ± 6 | 1 931 ± 66 | 1 966 ± 67 | 2 114 |
| CC x (CJ or JC) | 25 | 1051 ± 29 | 4.51 | 307 ± 8 | 1 596 + 87 | 1 598 + 86 | 1 704 ± 91 |
| JJ x (CJ or JC) | 18 |
970 + 36 |
4.75 | 283 ± 9 | 1 844 +104 | 1 874 ±104 | 2 129 ± 90 |
| DDx (Doran x Cross or CC) | 39 |
1082 ± 24 |
4.56 | 328 ± 7 |
1 582 + 80 |
1 581 ± 79 | 1 689 ± 83 |
| AAXX(1/4C x other) | 40 | 1066 ± 47 | 4.60 | 320 ±13 | 2 219 ±138 | 2 197 ±137 | 2 314 ± 144 |
| AAXX(JC or CJ Cross) | 45 | 1046 ± 24 | 4.38 | 340 + 6 | 2 198 ± 71 | 2 195 ± 71 | 2 263 ± 75 |
| AAXX(1/4 J x other) | 13 | 989 ± 42 | 4.45 | 290 ±11. | 2 270 ±121 | 2 270 ±121 | 2 372 ± 128 |
| CCXX(J x C) X A)=9/16 or 5/8 cc |
22 |
1106 ± 32 |
4.38 |
321 ± 9 | 1 772 ± 95 | 1 754 + 95 | 1 866 ±100 |
Judged at first calving the introduction of the Doran was not fortunate, and particularly so if compared to the Ayrshire x F1 Jersey Criollo (reciprocal cross). The fact that these hybrids could outproduce and outgrow the purebred Jersey speaks again in favour of adaptability. But the use of Ayrshire sires on these F1 dams produces a productive and growthy first calver with equal life in the milk herd as the Criollo and Jersey. The continued use of a three-way cross might be too complicated for a farmer, even if he can use artificial insemination.
The Ayrshire introduces also unpigmented skin; but, with limited resources available the main argument against the three-way cross is that it forces a reduction of the Criollo herd that can be kept.
The success of crossing the Criollo with the Jersey and the fact that it surpasses the Jersey in milk production, growth and longevity (as judged by average life in the milking herd of 4 lactations for the Jerseys and 5.8 for the Criollo x Jerseys) raises the question of defining this line of breeding for future dairying in the humid tropics. The source of superior Jersey semen is assured through progeny testing being carried out in many parts of the world. But the recurrent use of the Milking Criollo is threatened by the lack of testing facilities and the reduction of the true Criollo throughout Central America. The stabilization of a high producing line of Milking Criollos at Turrialba, that are easier to milk than the original population, has been realized. The results obtained by a backcross to pure Criollo bulls (last line of Table 1) are fairly satisfactory and evidence of success in selection of a higher producing line of Criollos.
The herd needs to increase in numbers if it is going to keep free of the pitfalls of excessive inbreeding. Some outstanding Criollo herds remain in Nicaragua and Guatemala. But they are milked with the calf at side. Fear of going back on selection gained for easier milking makes decisions concerning reintroductions very difficult. The policy of incorporating high grade Criollos into the purebred Criollo herd is being proposed. This would allow expansion of numbers and incorporation of productive tropically tested dams through the purity of the original Criollo will be traded for a more homogenously productive population. The characteristics of pigmented skin, short hair and tough thick hide are being kept, and required more on bulls than on dams. A small population of purebred Jersey that would incorporate numerous progeny tested bulls (through semen imports) would be kept, a criss-crossing study with Jersey and Criollo will be started and this line of breeding recommended for demonstration milking units and farm programmes.
Y. Yamada1 and K. Kimura
Very recently, Senner (1980) has published the result of his simulation study on the fate of small populations in captivity. The survival probability of small populations was calculated, based on the mathematical model in which nine variables, i.e. female fecundity, viability of the offspring and sex ratio, etc. are taken into consideration. The conclusions may be summarized as follows:
Although the model presented by Senner (1980) was very simple, it still explains the features of extinction of small populations and validates the strategies for maintenance of such populations. However, this model explored only the case in which the population was in captivity and thus any attempt to cover the model for maintaining livestock genetic resources was not taken into consideration. The present note is the result of our simulation study dealing with the situations which may be encountered in livestock populations.
The model employed in our study is essentially the same as Senner's extinction model with minor modifications which resulted in a little earlier extinction than with Senner' s.
Senner (1980) has imposed the retriction of constant population size because he is concerned with zoo populations. We remove the restriction of constant size and thus consider the case in which all individuals reaching breeding age are used as breeders for reproduction. Figures 1a, 1b and 1c illustrate the results of the simulation for B1 = 0.5, 1.0 and 2.5, where B1 is the regression coefficient of the negative logarithm of the proportion of the offspring arriving to reproductive age. The ordinate is the number of female breeders and the abscissa is the number of generations. Figure la shows that the extinction of these populations whose number of female founders is less than 5 is inevitable, even if all living female offspring reaching reproductive age are used for reproduction. If the number of female founders exceeds 6, 7 and 12, in Figures 1a, 1b and 1c respectively, the extinction of the population will never be encountered. In other words, there is a "minimum herd size for restoration" and below this critical value the extinction is the fate of the population. If the inbreeding depression is larger than the increment of the population size, the population inevitably becomes extinct, even if it increased temporarily at the beginning. For the population whose number exceeds the "minimum herd size for restoration" given in Figures 1a, 1b and 1c, the number of female offspring increaes up to 10 000 head by 50, 80 and 67 generations, respectively. In such a population the inbreeding coefficient increases up to a certain level (e.g. F=14% in Figure 2a at approximately generation 30) and remains unchanged thereafter. Consequently, the population is not affected by fecundity depression. On the other hand, in the population whose fate is "extinct", the rate of inbreeding never reaches an equilibrium and gradually increases, whereas the population size increases until the peak (e.g. at approximately generation 80 in Figure 2b) and starts to decrease due to fecundity depression by inbreeding. The population decreases its size to a critical level so that the inbreeding rate accelerates very rapidly, which in turn leads to the extinction of the population.

Fig. 1 The number of generations for extinction with varying number of female founders

Fig. 2 The number of female breeders and the rate of inbreeding coefficient with the same depression rate (B1=0.5) and different numbers of female founder (Nf-=5,6)
In livestock populations sex ratio deviates substantially from 1:1, which decreases the effective population size less than the actual census number. This is disadvantageous for maintaining populations. Granting equal effective population size, we may anticipate a longer "life" of the population in which more females involve reproduction of the off-pring. An example is given in Figure 3, where the ratios 7:7 vs 4:28 with the same effective size of Ne=14. In the early generations the survival probabilities of the population with 4 males and 28 females are a little lower than those of the population with 7 males and 7 females, due to higher probabilities of zero male at generation 0 in the former. Nevertheless in the later generations reproduction with more females becomes advantageous and thus the probability of survival should be higher in the population having more females. However, the advantage of retaining more females is so small that the cost of maintaining the stock with 4:28 does not balance with the difference of three more generations before extinction (see Fig. 3).

Fig. 3 Survival probability and sex ratio
If population size varies from generation to generation, the average effective number over generations is given by harmonic means and therefore the size is affected heavily by the smallest population size encountered. In a small population, a sudden drop of the population size due to an accident or any disease could be experienced. Once such a reduction occurs in the history of the population, we can expect the fate of the population. Here, we assume a population which is maintained by 50 males and 50 females and a contraction of the population up to 5 males and 5 females has happened at generations 0, 10 and 20. The case t=0 is exactly the same to the population of 5 male and 5 female founders and thenceforth has been kept at a constant size of 50 males and 50 females. The results are seen in Figure 4, where the extinction comes sooner if the reduction occurs in later generations, because accumulated inbreeding effects may be disclosed by the reduction of population size. Experiencing its reduction at generation 0, the population survives until generation 55. It lasts until generation 82 in case of no reduction. Extinction will come at generation 38, i.e. 18 generations later, in the population which experienced the contraction at generation 20.
A temporal increase of the population size results in a longer life. For example, if the maintenance size of 5 males and 5 females were doubled at generations 10, 11 and 12 and again generations 20, 21 and 22, the life of the population extends twice.
In order to maintain a mall population it is often recommended to subdivide it into many lines (Yamada 1981; Rochambeau and Chavalet 1982). The subdivision may increase the probability of fixing a rare gene in the population as a whole, whereas nbreeding depression in fecundity, viability and sex ratio may increase the probability of extinction owing to the enhanced in-breeding rate. For instance, the longevity of a population will be 83 generations if the population were kept by 50 males and 50 females. If the population were divided into evenly 10 sublines and reunited at the stage when only one female survives in generation 12 in each subline, the entire population will disappear at generation 17.

Fig. 4 Sudden reduction of population size and percent survival probability
From the results mentioned above, the following conclusions may be drawn:
- Maintenance size should be kept as large as possible and an effort should be made to enlarge the population size even if for a few generations.
- Sex ratio should be equalized.
- Preservation should be made in one large unit (or population) rather than in subdivided lines. Consanguineous mating should be avoided as much as possible. Circular mating (Kimura and Crow 1963) is not recommended for preserving a livestock population because the rate of inbreeding in early generations by this method is higher than by the mating of maximum avoidance of inbreeding (Wright 1921).
| 1963 | Kimura M. and Crow J.F. On the maximum avoidance of inbreeding. Genet. Res. Camb. 4:399-415. |
| 1982 | Rochambeau H. de and Chavalet C. Some aspects of the genetic management of small breeds. Proc. 2nd World Congr. Genet. Appl. Livestock Production, Madrid, VII:282-287. |
| 1980 | Senner J. Inbreeding depression and the survival of zoo populations. In: Conservation Biology, M. Soule and B. Wilcox (eds.). Sinauer Associate Inc., Sunderland, Massachusetts, pp. 151-169. |
| 1981 | Yamada Y. The importance of mating systems in the conservation of animal genetic resources. FAO Animal Production and Health Paper 24, Rome. pp. 268-278. |
| 1921 | Wright S. Systems of mating. Genetics 6:111-178. |
1 IICA/EMBRAPA Project, National Dairy Cattle Research Centre, 36155 Coronel Pacheco-MG, Brazil.
1 Chief, Animal Production Section, OAU/IBAR, P.O. Box 30786, Nairobi, Kenya.
1Animal Production and Health Division, FAO, Rome, Italy.
1Paper presented by Dr. De Alba.
2 CATIE, Turrialba, Costa Rica.
3 Department of Animal and Poultry Science, University of Guelph, Ontario, Canada.
1Professor of Animal Resources, Division of Tropical Medicine, Kyoto University, Kyoto 606, Japan.