Généralités - Historique
L'énergie éolienne est utilisèe pour le pompage de l'eau depuis plusieurs siècles. En réalité, c'est la principale technique appliquée pour l'assèchement des zones é tendues des Pays-Bas depuis le Xlllème siècle [36]. Les petites pompes éoliennes, généralement en bois, ont été" utilisèes pour l'assèchement des marécages (en Hollande) et au pompage de I'eau de mer pour l'extraction du sel (France, Espagne et Portugal). Elles sont 6galement utilisées a grande échelle en Europe et elles le sont encore dans certaines régions comme au Cap Vert (figure 107).
Toutefois, la principale pompe éolienne utilisée jusqu'à présent est la pompe éolienne agricole dite am6ricaine (figure 108). Elle comporte normalement un rotor en acier à plusieurs pales, semblable à un ventilateur, et elle entraîne g6n6ralement une pompe à mouvement alternatif normalement au moyen d'une boite de démultiplication (figure 109) directement monté sur une pompe à piston install6e dans le forage se trouvant juste au dessous. La pompe éolienne agricole américaine ou "moulin américain" a été mise au point au cours de la période allant de 1860-1900, pendant laquelle des millions et des millions de têtes de bétail ont été élevées dans les grandes plaines d'Amérique du Nord. Les ressources en eau superficielles trop limitées ont amené les utilisateurs au perfectionnement des systèmes d'élévation de l'eau pour le pompage des eaux souterraines. Les pompes éoliennes sont ainsi devenues rapidement la principale source d'énergie à usage général employée à cet effet. Le développement agricole aux Etats-Unis a contribué au développement des ateliers et des usines de fabrication des pompes éoliennes. Des programmes importants de recherche et développement ont été entrepris, certains ont été subventionnés par le Gouvernement des Etats-Unis [37]. Ces programmes de recherche ont pour objet le perfection-ner les pompes éoliennes destinées aussi bien à l'irrigation que pour l'alimenta-tion en eau potable.
FIGURE
108
Pompe éolienne agricole en acier dite "moulin américain"

FIGURE 109
Train d'engrenages démultiplicateur d'un modèle type d'une pompe éolienne agricole "américaine"

D'autres "nouveaux territoires" tel que l'Australie et l'Argentine ont adopté la pompe éolienne, et l'on compte à ce jour un million de pompes éoliennes agricoles en service [38] la plus forte densité étant en Australie et en Argentine [39] [40]. Il faut cependant signaler que la pompe éolienne appelée "moulin américain" est actuellement rarement utilisée pour l'irrigation. Son emploi est de nouveau limité à ses utilisations premières, à savoir l'approvisionnement en eau du bétail et, à un degré moindre l'alimentation en eau des fermes ou des communautés agricoles. Elles sont donc plutôt utilisées pour des hauteurs de pompage relativement élevées par rapport à celles des installations d'irrigation courantes. Les valeurs typiques s'échelonnent entre 10 à 100 mètres pour les forages. Les grosses pompes éoliennes sont même utilisées couramment sur des forages de plus de 200 mètres de profondeur.
Les pompes éoliennes ont également été utilisées en Asie du Sud-Est et en Chine bien plus avant qu'en Europe, essentiellement pour l'irrigation ou pour le pompage de l'eau de mer dans les cuves d'assèchement pour l'extraction du sel de mer. La pompe éolienne chinoise à voile (figure 110) a été utilisée depuis plus de 1000 ans. Des dizaines sinon des centaines de milliers sont encore en service dans les provinces de Hubei, Henan et du Nord Juangsu [41]. Des modèles traditionnels chinois sont fabriqués en perches de bambou réunies par des câbles et munis de tissu en voile. Elles sont généralement accouplées à une pompe à palettes ou à une pompe en vertèbre de dragon (échelle à eau), le plus souvent pour des hauteurs de pompage de moins d'un mètre. Plusieurs d'éoliennes chinoises sont généralement tributaires de la stabilité de la direction du vent, puisque de leur rotor a une orientation unique. Des centaines de pompes éoliennes de conception similaire à celle des pompes chinoises sont aussi utilisées pour alimenter les cuves de sel en Thaïlande (figure 111).
Dans les années cinquante 50 000 pompes éoliennes environ étaient en service dans le bassin méditerranéen pour les installations d'irrigation [42]. Il s'agit de variantes de la pompe éolienne agricole tout en métal, dite américaine, elle en diffère uniquement par l'utilisation de voiles triangulaires en toile au lieu de pales métalliques. Ces éoliennes à voile ont un rotor classique employé depuis des siècles dans la région Méditerranée, ces éoliennes sont plutôt connues sous le nom "d'éolienne crétoise" (voir figure 112). Au cours des 30 dernières années, la prospérité croissante des agriculteurs et la baisse des prix des moteurs et des carburants ont aidé au remplacement des éoliennes par les petits moteurs électriques dans la région Méditerranéenne; il n'empêche que l'île de Crête garde toujours les quelque 6000 pompes éoliennes en voile qui étaient en service jusqu'à une date très proche [91]. Cependant, le nombre de pompes éoliennes en service en Crête diminue rapidement et en 1986 il n'en restait à peine qu'un millier.
FIGURE 110
Eolienne chinoise à chaîne (pour clarté une seule voile a été représentée sur le schéma (d'après [51])

FIGURE 111
Pompe à éolienne Thaï (d'après Schioler [24])

FIGURE 112
Pompe éolienne du type "crétois" utilisée dans le cadre d'un projet d'irrigation dans le sud de l'Ethiopie (d'après Fraenkel 115])

Un autre domaine d'utilisation de l'énergie éolienne a pris de l'essor vers la fin des années 1920 et au début des années 1930, à savoir celui des générateurs éoliens ou des aérogénérateurs. Des milliers de petits générateurs éoliens, tel que le générateur australien Dunlite (figure 113), ont été mis en service pour charger les accumulateurs devant servir pour l'éclairage et en particulier à l'alimentation des postes de radiocommunication, dans les zones rurales isolées. Dans les régions où le vent est favorable, ce type de machine constitue une meilleure alternative à l'utilisation d'une batterie de cellules photovoltaïques pour l'entraînement des pompes d'irrigation. Il est à noter cependant que leur emploi dans ce domaine n'a pas été trop significatif jusqu'à présent.
FIGURE 113
Aérogénérateur Dunlite de 2 kw

Des turbines éoliennes de grandes tailles destinées à la production de l'électricité ont été (et elles le sont encore) fabriquées. La plus importante est une machine de 5 mégawatts (5000 kw) en cours de construction en Allemagne. Toutefois, plusieurs machines de capacité moyenne sont actuellement installées pour assurer l'alimentation du réseau électrique local en Californie de même qu'au Danemark. En effet, plus de 10 000 générateurs éoliens de taille moyenne ont été installés en un temps record à peine supérieur à 3 ans en Californie. La figure 114 représente un modèle type d'une turbine éolienne moderne de 55 kw de puissance et de 15 m de diamètre (Windmatic) de fabrication danoise. Les éoliennes de cette taille pourraient devenir une alternative très intéressante pour les installations d'irrigation par pompage à grande échelle. Elles offrent d'ailleurs, des possibilités supérieures à celles des pompes éoliennes mécaniques traditionnelles (voir Gilmore [43] et Nelson et al. [44]).
Le point de la technique
Les pompes éoliennes se prêtent à deux modes d'utilisation distincts, à savoir l'irrigation et l'approvisionnement en eau. Par conséquent les pompes éoliennes appartiennent à deux grandes catégories et ce en raison des différentes exigences techniques, pratiques et économiques propres à ces deux modes d'utilisation. Ceci ne veut en aucun cas dire qu'une pompe éolien-ne d'approvisionnement en eau ne peut pas servir à des fins d'irrigation (ce qui arrive souvent d'ailleurs), mais plutôt que les modèles conçus pour l'irrigation ne s'adaptent généralement pas aux installations d'approvisionnement en eau.
FIGURE 114
Aérogénérateur Windamatic de 55 kw

La plupart des pompes éoliennes d'adduction d'eau doivent avoir une fiabilité parfaite, et fonctionner sans surveillance la plupart du temps. Elles doivent donc être équipées de dispositifs automatiques les empêchant de tourner à survitesse par temps d'orage, d'un exiger un entretien et de contrôle facile, et pouvant pomper l'eau à des profondeurs de 10 mètres au moins. Une pompe éolienne agricole doit normalement pouvoir fonctionner plus de 20 ans sans problèmes majeurs, l'entretien étant limité à un contrôle habituel annuel sans qu'il soit nécessaire de remplacer des pièces majeures. Il s'agit là d'un impératif technique particulièrement de rigueur, puisqu' une pompe éolienne de ce genre doit pouvoir fonctionner normalement en moyenne plus de 80 000 heures avant qu'une usure significative n'apparaisse. Une telle durée de vie équivaut 4 à 10 fois la durée de vie utile de la plupart des petits moteurs diesel, et 20 fois la durée de vie d'un moteur d'une petite pompe. Les pompes éoliennes satisfaisant ces normes sont généralement en acier, et de fabrication en usine. Elles entraînent des pompes à piston par l'intermédiaire de tiges à mouvement alternatif. Du fait qu'elles doivent être nécessairement robustes, elles sont donc d'un coût prohibitif à en juger par la puissance fournie. Toutefois, les propriétaires de ranches américains, australiens et argentins concèdent à payer un tel prix pour avoir des pompes éoliennes d'une fiabilité élevée et nécessitant une intervention humaine réduite au minimum. En effet, tel est le principal avantage des ces pompes pratiquement par rapport à la plupart de tous les autres systèmes de pompage.
D'autre part, les campagnes d'irrigation ont un caractère saisonnier. Ainsi l'éolienne reste parfois en arrêt pendant une bonne partie de l'année. D'autre part elles sont caractérisées par le pompage à forts débits et pour faibles hauteurs d'élévation, et par une valeur intrinsèque faible de l'eau. Ainsi toute pompe éolienne conçue pour l'irrigation doit être de faible coût, et cette exigence prévaut pratiquement à toutes autres considérations. Comme l'irrigation implique généralement la présence de l'agriculteur et/ou d'autres personnes, il n'est donc pas essentiel de disposer d'une machine capable de fonctionner sans surveillance. C'est pourquoi les éoliennes qui ont été utilisées dans le passé à des fins d'irrigation sont le plus souvent des machines de conception simple, et de fabrication artisanale. Elles constituent pour l'agriculteur un moyen de mécanisation pas trop coûteux (se reporter aux figures 110, 111 et 112). Cependant, au cas où les pompes éoliennes agricoles standard (figure 108) seraient utilisées pour l'irrigation, généralement à des hauteurs d'eau nettement plus faibles que pour les réseaux d'adduction d'eau il est souvent difficile de trouver une pompe à piston de diamètre suffisant pour obtenir une cylindrée de volume suffisant pour absorber la puissance fournie par l'éolienne. De plus, les éoliennes agricoles doivent dans la plupart des cas être installées juste au-dessus de la pompe, sur des fondations en béton armé. Par suite leur emploi est généralement limité au pompage de l'eau à partir des puits ou des forages, plutôt qu'au pompage des eaux de surface. On peut aussi adapter une pompe aspirante à une éolienne agricole, et de la faire fonctionner à des hauteurs d'aspiration pouvant atteindre environ 5 à 6 mètres, mesurées à partir du plan d'eau (voir les dispositions types des pompes éoliennes agricoles représentées à la figure 115). D'ailleurs, la plupart des éoliennes d'irrigation de fabrication locale, par exemple celles utilisées en Chine, fonctionnent avec des pompes à mouvement rotatif qui sont beaucoup plus pratiques aux faibles hauteurs d'eau. Par ailleurs, elles ne sont pas soumises à des efforts mécaniques aussi élevés qu'une éolienne de fabrication industrielle. A cet effet il est utile de rappeler que ces éoliennes de fabrication industrielles exercent souvent sur la tige de pompe une traction de plus d'une tonne qui est largement suffisante pour arracher n'importe quelle pompe mal installée.
FIGURE 115
Installation
type d'une pompe éolienne
agricole

FIGURE 116
Pompe éolienne IT fabriqué au Kenya sous le nom de
"Kijito" et au Pakistan sous celui de "Tawana"

Des efforts ont été récemment déployés pour mettre au point des pompes éoliennes en acier moins coûteuses présentant les mêmes avantages des modèles anciens plus robustes. Or, la plupart des éoliennes actuellement fabriquées en usine sont de conception ancienne qui remonte à 1920 et même bien avant cette date. Elles sont donc pour la plupart excessivement lourdes, coûteuses, et difficile à installer convenablement dans les régions isolées. Des tentatives récentes de modernisation ont été entreprises afin de rendre la pompe éolienne agricole traditionnelle plus simple et plus légère. La figure 116 représente la pompe éolienne IT dont le poids est presque la moitié de celui de la plupart des modèles traditionnels de même taille. Elle est fabriquée au Kenya sous le nom de "Kijito" et au Pakistan sous le nom de "Tawana". Le coût de ces derniers modèles est sensiblement deux fois plus faible que celui des modèles américains ou australiens de taille similaire. C'est avec des transformations de ce genre que l'on peut réduire les coûts des pompes éoliennes en acier fabriquées en usine, et doter le marché de pompes aussi durables que les modèles traditionnels à des prix abordables pour justifier leur emploi pour l'irrigation.
Puissance du vent
La puissance du vent est une fonction du troisième degré de la vitesse. La formule générale donnant cette puissance s'écrit comme suit:

avec P la puissance disponible en watts, p densité de l'air (de valeur approchée 1,2 kg/m3 au niveau de la mer), A la section transversale du flux d'air considéré (ou bien la surface balayée par le rotor d'une éolienne), et V la vitesse instantanée du vent libre. Si la vitesse V est exprimée en m par seconde (signalons qu'une vitesse de 1 m par seconde correspond pratiquement à 2 noeuds ou miles nautiques par heure), la puissance du vent au niveau de la mer serait égale à:

TABLEAU 16
Puissance du vent calculée en fonction de la vitesse du vent exprimée en densité de puissance par unité de surface du courant d'air
|
Vitesse de vent |
||||||||||
| m/s |
2,5 |
5 |
7,5 |
10 |
15 |
20 |
30 |
40 | ||
| km/h |
9 |
18 |
27 |
36 |
54 |
72 |
108 |
144 | ||
| mph |
6 |
11 |
17 |
22 |
34 |
45 |
67 |
90 | ||
|
Puissance du vert |
||||||||||
|
kW/m2 |
0,01 | 0,08 |
0,27 |
0,64 | 2,2 |
5,1 |
17 |
41 |
||
|
CV/pi2 |
0,001 | 0,009 |
0,035 |
0,076 | 0,23 |
0,65 |
2,1 |
5,2 |
TABLEAU 17
Variation de la densité de l'air en
fonction de l'altitude
|
Altitude (au-dessus du niveau de la mer) |
|||||
| (pi) |
0 |
2500 |
5000 |
7500 |
10000 |
| (m) |
0 |
760 |
1520 |
2290 |
3050 |
|
Coefficient de correction de densité |
|||||
|
1,00 |
0,91 |
0,83 |
0,76 |
0,69 |
|
Comme la puissance est une fonction du troisième degré de la vitesse, elle est donc fortement sensible à la vitesse du vent puisque pour une vitesse double la puissance, serait huit fois plus importante. Les données du tableau 16 montrent les variations de la puissance en fonction de la vitesse.
Ces chiffres montrent les variations très fortes de la puissance du vent. En effet, cette puissance passe d'une valeur de 10 watts/m2 pour une légère brise, à 41 000 watts/m2 pour un cyclone soufflant à 144 km/h. Ces variations extrêmes conditionnent notablement la conception de tous les éléments du système. C'est ainsi qu'il est impossible de faire fonctionner des éoliennes avec une vitesse de vent inférieure à 2,5 m/s, car à ce moment-là la puissance disponible serait trop faible. D'un autre côté il serait essentiel de dissiper la puissance et même d'arrêter une éolienne si le vent souffle à plus de 10 à 15 mètres/seconde (25-30 mph), car la puissance excessive ainsi développée pourrait endommager une éolienne normale qui n'est pas conçue pour travailler dans de telles conditions.
Etant proportionnelle à la densité de l'air, la puissance d'une éolienne diminue avec l'altitude du fait que l'air devient de moins en moins dense (voir tableau 17).
Puisque l'énergie fournie par une éolienne est beaucoup plus sensible à la vitesse qu'à la densité de l'air, l'incidence de l'altitude est relativement marginale. Par exemple, la puissance unitaire d'un vent soufflant à 5 m/s au niveau de la mer est de 75 watts/m2 environ. Toutefois, du fait de la relation du troisième degré décrite ci-dessus, il suffit d'une vitesse de 5,64 m/s à une altitude de 3000 m au-dessus du niveau de la mer pour obtenir exactement la même puissance de 75 watts/m2. La diminution de la densité de l'air peut donc être facilement compensée par une très faible augmentation de la vitesse du vent aux hautes altitudes.
Energie disponible dans le vent
Puisque la vitesse du vent est constamment variable, sa puissance est elle aussi variable mais dans une proportion encore plus forte du fait de la relation du troisième degré qui lie la puissance à la vitesse du vent. L'énergie disponible est égale à la puissance développée durant une période de temps déterminée. Or, il s'agit là d'une question complexe que Lysen [45] a bien illustrée. En effet le point de départ de l'estimation de l'énergie disponible dans le vent en un endroit donné sont les informations disponibles sur les vitesses moyennes du vent observées au cours d'une période de temps prédéterminée. Les moyennes mensuelles sont généralement les plus employées. La principale conclusion à retenir c'est que l'énergie effectivement disponible dans le vent au cours d'une période donnée est nettement plus forte que l'énergie obtenue à partir de la vitesse moyenne relative à cette même période. C'est ainsi que l'énergie réellement disponible est presque le double de la valeur obtenue par la simple multiplication de la puissance éolienne instantanée correspondante à la vitesse moyenne par la durée considérée. En effet, du fait des variations de la vitesse du vent, la moyenne de la puissance est sensiblement deux fois plus élevée que la puissance instantanée calculée à partir de la vitesse moyenne. La puissance moyenne peut donc dépasser la puissance instantanée obtenue à partir de la vitesse moyenne considérée dans une proportion de 1,5 à 3, suivant les variations propres de la vitesse du vent local. Le coefficient est d'autant plus élevé que les variations sont importantes.
Toutefois, à tout instant et quelle que soit la vitesse du vent, l'énergie disponible est en règle générale proportionnelle à la puissance d'ordre trois cubes de la vitesse moyenne. Nous exposerons plus loin, au cours de la présente section, les méthodes de détermination de l'énergie utile que l'on peut obtenir à partir d'un régime de vent donné agissant sur une éolienne déterminée.
Conversion de la puissance éolienne en puissance mécanique
L'énergie cinétique du vent peut être transformée en énergie mécanique en faisant appel à deux principaux mécanismes, qui consistent à ralentir le régime du vent pour transformer l'énergie cinétique en énergie mécanique. La technique la plus élémentaire et la moins efficace est basée sur le principe de la force de traînée. Une force de traînée apparaît dès qu'un obstacle fait face au vent créant ainsi un phénomène de turbulence. Cette force de traînée a la même direction que le vent. Les éoliennes les plus anciennes et les plus élémentaires, connues sous le nom "panamones" présentent d'un côté du rotor une surface plaine, l'autre côté étant protégé (par exemple en abaissant les voiles). La force de traînée différentielle qui en résulte provoque la rotation du rotor.
FIGURE 117
Pompe éolienne à axe vertical à rotor
de Savonius utilisée en
Ethiopie

FIGURE 118
Modèle type d'une turbine éolienne à axe vertical à rotor
Darrieus (profil troposkien)

L'autre méthode utilisée dans les éoliennes les plus performantes, consiste à créer une force verticale portante. Dans ce cas la voile ou la surface plane est légèrement inclinée par rapport à la direction du vent, ce qui imprime ce dernier d'une légère déviation et il en résulte deux forces, la plus importante est perpendiculaire à la direction du vent, l'autre est une force de traînée nettement plus petite. C'est ce principe qui fait que le bateau à voile peut filer à une vitesse plus rapide que le vent. La portance sert principalement à faire dévier le vent et à en extraire l'énergie cinétique avec le moins de turbulence, elle permet aussi, mieux que la traînée, d'extraire d'une manière plus efficace l'énergie éolienne.
Il est à noter que l'énergie cinétique éolienne maximale pouvant théoriquement être utilisée par une turbine éolienne "parfaite" s'élève à 60% environ. En effet, il est impossible d'arrêter complètement le vent, ce qui limite la proportion de l'énergie cinétique que l'on peut en extraire.
Rotors à axes horizontal et vertical
Les éoliennes tournent soit autour d'un axe vertical, ou bien d'un axe horizontal. Toutes les éoliennes actuellement en service et que l'on vient de décrire sont à axe horizontal. Les efforts de recherche entrepris actuellement visent la mise au point d'éoliennes à axe vertical. En effet, on n'aurait plus à les orienter face au vent, puisqu'elles offrent la même section transversale dans toutes les directions. Cette particularité constitue néanmoins un inconvénient, puisqu'en cas de tempête, il serait alors impossible de protéger le rotor pour réduire la force qui lui est appliquée.
Il existe trois principaux types d'éoliennes à axe vertical. Les panamones à traînée différentielle (déjà décrites ci-haut), l'hélice (ou rotor) de Savonius ou rotor en "S" (figure 117), et la turbine éolienne de Darrieus (figure 118). Le rotor de Savonius comprend deux et même parfois trois pales courbes entrecroisées autour d'un axe central entre deux coiffes d'extrémité. Son principe de fonctionnement repose sur l'utilisation conjointe d'une traînée différentielle et d'une force portante. Le rotor de Savonius a eu son essor en tant que dispositif facile à monter sur place avec des moyens très simples. Mais en réalité cette simplicité est plutôt apparente que réelle. En effet, des problèmes importants peuvent surgir lors de l'installation d'un rotor inévitablement lourd sur les paliers, ainsi que lors de l'accouplement de l'axe vertical de l'éolienne à une pompe volumétrique (car sa vitesse de rotation est trop faible pour qu'elle puisse être accouplée à une pompe centrifuge). D'autre part, les principaux inconvénients de l'éolienne à rotor Savonius sont doubles:
La turbine éolienne de Darrieus est munie de pales à section transversale portante qui est profilée d'une manière analogue aux ailes d'un avion. Ces pâles peuvent être rectilignes, dans ce cas la machine aurait un profil en forme de H. Mais en réalité, la plupart des pales d'éoliennes de ce type son en forme de "batteur d'oeufs" ou profil "troposkien" tel qu'indiqué sur la figure. Le choix de cette forme s'explique essentiellement par le fait que la force centrifuge due à la rotation aurait tendance à fléchir les pales droites, alors que la forme troposkienne ou le profil en corde à sauter des pales courbes offre une plus grande résistance aux efforts de flexion. Les turbines à axe vertical du type Darrieus ont un très bon rendement, puisque leur fonctionnement repose uniquement sur l'utilisation des forces portantes créées par l'interception du vent par les pales. Comme elles tournent avec une vitesse 3 à 5 fois supérieure à celle du vent, la direction du vent fera avec la surface d'une pale un angle suffisamment petit pour produire une portance et non une traînée. L'éolienne de Darrieus a été précédée par une autre éolienne à axe vertical beaucoup plus rudimentaire à voile triangulaire (Bermuda) utilisée dans les Iles Turques et Caïques aux Antilles (figure 119). Ce dispositif représente une meilleure illustration du principe de fonctionnement de l'éolienne de Darrieus, puisque l'on voit mieux comment les voiles triangulaires produisent une force motrice lorsqu'elles interceptent le vent, tout à fait comme pour un bateau à voile. D'ailleurs, l'éolienne de Darrieus fonctionne exactement selon le même principe.
FIGURE 119
Rotor à voile à axe vertical des Iles Turques et Caïques (d'après
UNESCAP [51])

Il y a aussi deux autres classes de turbines éoliennes Darrieus qui sont munies de pales droites. Ces deux modèles sont protégés contre les survitesses et les dommages qui en résultent surtout au niveau des pales, par un dispositif de protection contre les vitesses excessives. Il s'agit là de la Turbine Eolienne à Axe Vertical à Géométrie Variable (TEAVGV) mise au point par Musgrove au Royaume-Uni et de la Turbine Eolienne à Axe Vertical à Pas Variable (TEAVPV) Gyromill mise au point par Pinson aux Etats-Unis. Bien que le modèle (TEAVGV) de Musgrove ait été utilisé comme pompe éolienne par P. Y. ingénierie, tous les travaux de perfectionnement en cours sont axés sur la mise au point de générateurs éoliens à axe vertical de moyenne à forte puissance destinés à la production de l'énergie électrique. Donc la tendance générale de perfectionnement de ces turbines éolienne n'est que d'un intérêt assez limité pour l'irrigation par pompage.
Les éoliennes à axe vertical sont très rarement utilisées en pratique, bien qu'elles constituent un thème de recherche très en vogue. Les efforts de recherche déployés pourraient se justifier principalement dans la mesure où elles pourraient apporter certaines simplifications par rapport aux éoliennes à axe horizontal, par suite une optimisation probable du rapport coût-efficacité, ce qui reste encore à prouver.
La plupart des rotors à axe horizontal sont mis en marche par les forces de portance créées par l'inclinaison des pales axiales ou des hélices en forme d'ailes d'avion, de sorte qu'à la vitesse de rotation optimale ces pales font un petit angle avec la direction du vent et la force portante crée serait tangentielle. Comme les extrémités du rotor tournent plus vite que son centre, elles se présentent au vent suivant un angle plus faible, pour cela il faut que les pales d'un rotor à axe horizontal soient en forme irrégulière pour se présenter au vent suivant un angle constant, depuis le centre du rotor jusqu'à son extrémité. Les pales ou les voiles des machines tournant lentement peuvent être très simples (voir figure 107). Mais pour les dispositifs plus rapides un profilage précis est impératif (figure 113 et 114). Néanmoins, dans le cas des trois exemples décrits ci-haut le principe de fonctionnement est toujours le même.
Rendement, Puissance et Couple
Chaque turbine éolienne ou éolienne est caractérisée par les courbes de puissance en fonction de la vitesse de rotation tracées à des vitesses de vent différentes (figure 120 A). De la même manière, le couple fourni par un rotor d'éolienne peut être représenté par une série de courbes, comme celle reproduite à la figure 120 B.
Le rendement maximum correspond à la puissance maximale obtenue pour une vitesse du vent donnée. Le rendement est généralement défini comme un nombre sans dimension défini comme le rapport de la puissance mécanique divisée par la puissance éolienne traversant la section d'un disque de forme circulaire ou bien toute autre forme correspondant à la section verticale du rotor de l'éolienne. Ce rapport est appelé coefficient de puissance Cp et sa valeur numérique est donnée par la relation:

La vitesse est conventionnellement représentée par un nombre sans dimensions égal au coefficient de vitesse de l'extrémité des pales. Il s'agit du rapport de la vitesse de l'extrémité d'une pale de rotor d'éolienne à la vitesse V du vent, pour un rayon R et une vitesse de rotation (ω) en radians/seconde, cette vitesse s'écrit donc:

FIGURE 120
La puissance (A) et le couple (B) d'un rotor d'éolienne en fonction de la vitesse de rotation
correspondant à différentes vitesses du vent

Lorsque le rotor de l'éolienne est fixe, son coefficient de vitesse est lui aussi nul et le rotor est bloqué. C'est ce qui arrive lorsque le couple produit par le vent n'atteint pas le seuil nécessaire pour vaincre la résistance due à la charge appliquée. Un coefficient de vitesse égal à l'unité 1 signifie que les extrémités se déplacent à la même vitesse que le vent, le vent dans ces conditions frappe les pâles avec un angle de 45". Lorsqu'il est égal à 2, ceci veut dire que les extrémités des pales tournent à une vitesse double de celle du vent, etc.
Les courbes Cp en fonction de X pour trois types de rotors et pour différents profils A, B, C, D, El, E2 et F, sont représentées à la figure 121. La deuxième série de courbes représente le coefficient du couple qui est une grandeur sans dimensions relative au couple obtenu pour un rotor et une vitesse du vent donnés (le couple est la force de torsion appliquée à l'arbre moteur). On définit le coefficient de couple Ct par la relation:

avec T: Couple effectif correspondant à la vitesse V du vent pour un rotor donné de rayon R.
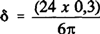
Solidité du rotor
La "Solidité" (δ) est un terme représentant la surface pleine balayée par le rotor d'une éolienne. Elle est définie généralement comme le rapport de la somme de la largeur (ou bien des "cordes") de toutes les pales, au périmètre du rotor. Autrement dit, 24 pales dont la corde (distance mesurée du bord d'attaque au bord de fuite) est de 0.3 m montées sur un rotor de 6 m de diamètre, auraient pour coefficient de solidité:

Les rotors multipales, comme ceux des pompes éoliennes, (voir rotor "B" de la figure 121) sont à coefficient de solidité élevé, car une proportion importante de la surface balayée par le rotor est pleine. Ces machines fonctionnent à des vitesses relativement faibles, pour cela leurs pales font un petit angle avec le plan de rotation, comme dans une vis à filetage fin. Ceci correspond à un coefficient de vitesse faible au rendement maximal, de l'ordre de 1.25. Le rendement maximum est sensiblement inférieur à celui des rotors plus rapides tels que les rotors "D", "E" et "F" de la figure. En revanche, le rotor multipales a un coefficient de couple nettement plus élevé pour un coefficient de vitesse nul (0,5 à 0,6) que pour les autres types de rotors. Son couple de démarrage supérieur à celui en fonctionnement normal, joint à sa faible vitesse de rotation pour une vitesse de vent donnée, font de lui un dispositif est bien adapté à l'entraînement des pompes de forage à mouvement alternatif.
Par contre, les rotors El et F à deux ou trois pales et à faible coefficient de solidité, représentés à la figure 121 sont les plus efficaces (ceux dont les valeurs de Cp sont les plus élevées). Mais la vitesse à l'extrémité de pales doit être égale à 6 à 10 fois celle du vent pour obtenir le rendement optimal. A cet effet, elles sont donc légèrement inclinées par rapport au plan de rotation, comme une vis dotée d'un filetage fin, et elles ont ainsi une vitesse de rotation supérieure à celle d'un rotor à coefficient de solidité élevé, pour une vitesse de vent et un diamètre de rotor donnés. D'autre part, ces rotors ont un couple de démarrage très faible, pratiquement nul. Ce qui fait qu'ils ne peuvent fonctionner qu'avec des charges nécessitant un faible couple de démarrage, par exemple des générateurs électriques (ou des pompes centrifuges) plutôt que des pompes volumétriques.
FIGURE 121
Coefficients de puissance (Cp)
(ci-dessus) et coefficients de couple (Ct) pour divers types de
rotors de turbines à éolienne, représentés en
fonction du rapport des vitesses à l'extrémité des pales (λ)
(d'après Lysen/CWD [45])

Malgré leur caractère apparemment théorique, ces considérations sont essentielles pour la conception des rotors d'éoliennes. Pour résumer, les rotors multipales à coefficient de solidité élevé tournent lentement, et ils sont sensiblement moins efficaces que les rotors à faible coefficient de solidité et à pales moins denses. Mais ils ont par contre un couple de démarrage 5 à 20 fois plus important.
Accouplement des rotors aux pompes
Les rotors à coefficient de solidité élevé sont normalement utilisés avec des pompes volumétriques (à piston), puisque comme nous l'avons déjà vu à la section Pompes volumétriques alternatifs, Chapitre 3, les pompes à piston à simple effet ont un couple de démarrage 3 à 5 fois supérieur au couple en régime normal. En revanche, les rotors à faible coefficient de solidité, conviennent davantage aux générateurs électriques, pompes centrifuges, et même aux pompes à pédales, aux pompes à chaînes et à disque dont le couple de démarrage est inférieur au couple de fonctionnement à la vitesse nominale. Le tableau 18 présente les différentes caractéristiques et les valeurs de Cp relatives aux types courants de rotors d'éoliennes qu'on vient de décrire.
Les courbes des schémas 120 A et B représentent les courbes de charge d'une pompe volumétrique à entraînement direct, superposées aux courbes de puissance fournies par un rotor à éolienne. La courbe en pointillé de la figure 120 A correspond au lieu géométrique des points de puissance maximale; pour un fonctionnement ininterrompu du système le point de fonctionnement doit se trouver à droite de la ligne de puissance maximale. Car à ce moment là toute baisse légère de la vitesse du vent entraîne le ralentissement de la machine et l'augmentation de la puissance absorbée par l'arbre, ce qui correspond à un fonctionnement stable. Le point de fonctionnement ne peut être à gauche de la courbe de puissance maximale que lorsque la vitesse du vent est forte. On peut noter aussi qu'en fonctionnement normal la pompe volumétrique exige un couple pratiquement constant de 10 Nm dans l'exemple considéré, et un couple de démarrage au moins trois fois plus important pour les raisons indiquées à la section Pompes volumétriques alternatives, Chapitre 3. Sur la figure 120 D, on voit qu'il faut une vitesse du vent de 5 m/s pour atteindre le couple de démarrage de la pompe éolienne, mais une fois la pompe amorcée, la vitesse du vent peut tomber à 3 m par seconde sans que le point de fonctionnement passe à gauche de la courbe de puissance maximale et que la pompe éolienne ne s'arrête. Notons que la courbe en pointillé "a'-a" correspond à un régime transitoire qui correspond uniquement à la mise en marche ou au démarrage de la pompe éolienne.
Pour que la puissance fournie par une pompe éolienne soit à tout moment égale à la puissance maximale, il faut que le point de fonctionnement correspondant à la charge appliquée appartienne au (ou au voisinage du) lieu des points de puissance maximale (figure 120). Il ressort également de ces courbes que lé point de fonctionnement correspond toujours à l'intersection de la courbe du rotor de la pompe éolienne à la vitesse du vent observée à un moment donné avec la courbe de charge de la pompe. Dans l'exemple considéré, le point d'utilisation correspond à une vitesse du vent de 5 m/s et l'on peut voir que la pompe n'utilise que les 2/3 environ de la puissance maximale pouvant être obtenue à cette vitesse du vent. En effet, le point de fonctionnement s'écarte trop du point de fonctionnement optimal (intersection de la courbe du troisième degré représentant la puissance maximale avec la courbe de puissance à v = 5 m/s). Cet écart résulte d'un défaut d'adaptation de la machine motrice (rotor d'éolienne) et de la charge (pompe). L'expression "rendement d'adaptation" désigne la fraction effectivement utilisée de la puissance disponible au rotor pour une vitesse du vent donnée, traitent pour plus de détail voir Pinilla et al. [46]. Les courbes de la figure 120 ce défaut d'adaptation devient de plus en plus grave pour les vitesses fortes du vent. Le défaut en question est en fait moins grave qu'il ne le semble à première vue, car fort heureusement le rendement optimal est obtenu pour les faibles vitesses du vent. Lorsque le vent souffle trop fort, la vitesse de rotation de l'éolienne devient supérieure à celle nécessaire pour mettre en marche la pompe associée. Mais le rendement de l'installation sera réduit du fait de la mauvaise adaptation. Néanmoins, la puissance utile reste vraisemblablement largement suffisante, car l'augmentation de la puissance fournie du fait de l'accroissement de la vitesse compenserait la perte du rendement.
TABLEAU 18
Comparaison des divers caractéristiques de différents types de rotors
| Type |
Caractéristiques de fonctionnement |
Conditions de fabrication |
cp |
Coef. de solidité |
c.v.p. (optimal) |
|
A axe horizontal |
|||||
|
Voile de Crête ou palettes plates |
Couple de démarrage moyen et vitesse faible |
simples |
0,05 à 0,15 |
50% 1,5-2,0 |
1,5-2,0 |
|
Pale cambré (moulin américain) |
Couple de démarrage élevé et vitesse faible |
moyennes |
0,15 à 0,30 |
50 à 80% |
1-1,5 |
|
Aérogénérateur à vitesse moyenne |
Couple de démarrage peu élevé et vitesse faible |
moyennes, un certaine précision étant cependant requise |
0,20 à 0,35 |
5 à 10% |
3-5 |
|
A axe vertical |
|||||
|
Panémone |
Couple de démarrage moyenne et vitesse moyenne élevée |
moyennes |
0,15 |
100% | 0,8-1 |
| Rotor Darrieus |
Couple de démarrage nul et vitesse moyenne |
précises |
0,25 à 0,35 |
10 à 20% |
3-5 |
| TEAVPV ou Gyromill |
Couple de démarrage nul ou faible et vitesse moyenne |
précises |
0,25 à 0,35 |
1 5 à 40% |
2-3 |
c.v.p. : coefficient de vitesse de l'extrémité de pale (λ)
On pourrait croire que les pompes centrifuges s'adaptent mieux à une éolienne que les pompes volumétriques, mais en réalité leur rendement tombe rapidement à zéro au-delà d'un certain seuil de vitesse de rotation pour une charge statique donnée. Autrement dit, il est difficile de faire fonctionner les pompes centrifuges avec un rendement acceptable dans un intervalle de vitesses suffisamment large couvrant pour pouvoir la plupart des rotors d'éoliennes. C'est pour cette raison que l'on n'utilise généralement pas les pompes centrifuges avec les éoliennes (sauf par l'intermédiaire d'une transmission électrique qui adapte la vitesse de rotation de la pompe à l'éolienne).
Il est bon de noter que l'adaptation d'une éolienne à une charge constituée par un générateur est plus facile à réaliser qu'avec les pompes. Ainsi générateurs éoliens ont généralement à toutes les vitesses de fonctionnement, un meilleur rendement que les pompes éoliennes . Les lecteurs qui s'intéressent spécialement à ce sujet sont invités à consulter les ouvrages spécialisés, notamment Lysen [45].
Les performances globales des pompes éoliennes peuvent très facilement être améliorées par la mise au point de techniques permettant une meilleure adaptation du rotor à la pompe à l'intérieur d'un plus grand intervalle de vitesses du vent; plusieurs travaux sont en cours dans ce domaine et leur aboutissement pourrait se traduire par un accroissement considérable du rendement des pompes éoliennes. En attendant, le problème essentiel est de choisir la pompe qui s'adapte le mieux à une éolienne donnée, placée à un endroit défini et par un régime de vent dominant déterminé. Pour modifier la courbe de charge de la pompe, il suffit de changer l'effort moyen de traction exercé sur la tige de la pompe, soit en modifiant la course (en allongeant ou en raccourcissant la bielle), soit en changeant le diamètre de la pompe (figure 122). Le choix d'une course plus longue et/ou d'une pompe de plus gros diamètre accroîtra à la fois la force exercée sur la tige de pompe, la valeur moyenne du couple nécessaire, ainsi que la pente de la courbe de charge et inversement. De même, il ressort clairement de la figure 122 que l'accroissement de la charge entraîne en même temps l'augmentation de la puissance hydraulique aux vitesses élevées, ainsi que la vitesse de seuil Vs. (vitesse du vent nécessaire au démarrage). Par conséquent, la pompe C choisie dans notre exemple démarre avec un vent de vitesse nettement plus faible que pour les autres pompes. Mais par contre, elle fournit une puissance nettement plus faible aux vents forts, du fait de la faible pente de la courbe de charge dans ce cas. Il est donc important de trouver le bon compromis entre les deux contraintes contradictoires à savoir le démarrage à un vent suffisamment faible et l'obtention d'une puissance utilisable suffisante.
Les courbes caractéristiques typiques d'une pompe éolienne normale, reproduites à la figure 123, montrent que pour une vitesse du vent au démarrage égale à Vs., une pompe éolienne peut toujours fonctionner à une vitesse du vent légèrement inférieure Vmin (tel qu'indiqué plus haut, dans le cas d'une pompe à piston). L'adaptation optimale est réalisée pour des vitesses du vent voisines de Vmin (dont la valeur théorique est égale à 0,8 Vs [46], vitesse nominale du vent, et la puissance augmente pratiquement linéairement en fonction de la vitesse du vent jusqu'à une valeur Vr (vitesse du vent de base de l'éolienne). Aux vitesses plus fortes, il faut se protéger contre les fortes accélérations, sinon la machine risque d'être surchargée, endommagée voire détruite. Les différentes techniques utilisées à cet effet seront examinées dans la section suivante. Aux vitesses de vent particulièrement élevées, les mesures de sécurité les plus efficaces consistent à faire que l'éolienne "prendre du ris", "ferler" ou simplement s'arrêter. La figure 123 indique comment le processus en question débute à une vitesse du vent Vf (vitesse de ferlage) et se termine à une vitesse Vsd d'arrêt complet.


Méthodes de protection contre les tempêtes et le ferlage
Les éoliennes doivent être dotées d'un dispositif permettant de limiter la puissance fournie, sinon elles doivent être excessivement robustes (donc d'un coût prohibitif) rien que pour résister aux fortes puissances accidentelles obtenues en temps de tempête. Les bateaux à voile réduisent la superficie de leur voile en ferlant partiellement ou complètement les voiles (manuellement) lorsque le vent devient trop fort. De même, les éoliennes à voile Crétoise et les autres modèles traditionnels également simples adoptent normalement exactement la même méthode. Généralement aux vents forts, seulement quelques voiles seront mis en service, ou bien les voiles seront en ferlage partiel sur leurs mâts. Comme les éoliennes agricoles métalliques sont munies de pales en acier fixes, la solution adoptée le plus souvent dans ce cas consiste à installer le rotor légèrement décalé par rapport à l'axe du pylône de fixation de l'éolienne (figure 124), de sorte que le vent aurait toujours tendance à entraîner le rotor toujours derrière le pylône. Dans les conditions de fonctionnement normales, le rotor est maintenu dans le vent par un long empennage muni d'une girouette. Cette girouette est maintenue fixe à sa place au moyen d'un ressort préalablement tendu (voir figure). Lorsque la force exercée par le vent sur le rotor devient suffisante pour vaincre la tension préalable du ressort, l'empennage commence à tourner jusqu'à ce que le rotor présente son arête à la direction du vent (voir figure 124). Ce processus de ferlage commence dès que la puissance nominale est atteinte, et lorsque la vitesse du vent continue à augmenter, il se poursuit progressivement jusqu'au ferlage complet. Quand le vent baisse d'intensité, le ressort assure le rappel de la girouette et place le rotor de nouveau face au vent. Sur les éoliennes agricoles de fabrication industrielle, le fonctionnement de ce dispositif est habituellement entièrement automatique.
Les générateurs éoliens et les autres turbines éoliennes tournant à grande vitesse, et à coefficient de solidité élevé sont souvent munis d'un dispositif permettant de modifier le pas des pales. Par exemple, la machine Dunlite représentée à la figure 113 est équipée de petits contrepoids, placés à proximité du moyeu du rotor. Ces contrepoids permettent de neutraliser la réaction du ressort placé à l'intérieur du moyeu, afin de modifier la position des pales à la vitesse de ferlage pour obtenir un pas plus large sous l'action de la force centrifuge. Une autre solution consiste à déployer des volets de freinage destinés à empêcher les survitesses. Les turbines éoliennes dé dimensions plus importantes ne sont pas équipées d'empennages stabilisateurs les maintenant face au vent. En effet, elles ne peuvent pas résister aux embardées rapides provenant du changement brusque de la direction du vent. Elles sont plutôt équipées d'un engrenage réducteur à vis semblable à celui d'une grue, qui les tourne doucement face au vent. Ce dispositif peut être entraîné soit par un moteur électrique commandé par les signaux électriques provenant d'une petite girouette, ou bien par un système analogue à celui monté sur le Windmatic reproduit à la figure 114. Ce système est adopté par les grandes éoliennes depuis plusieurs siècles, et il consiste à utiliser un rotor latéral qui déclenche le système de l'orientation chaque fois que le rotor principal n'est plus à angle droit par rapport à la direction du vent.
FIGURE 124
Système classique de protection d'une pompe éolienne contre les tempêtes consistant à dévier le rotor pour
l'orienter de travers face au vent (vue en plan)

Il n'est nullement question d'étudier en détail l'origine et les caractéristiques du vent, non plus des méthodes de mesure et d'analyse. C'est un sujet assez vaste et complexe, et l'on peut à cet effet consulter les références spécialisées, entre autres ceux de Lysen [45], Park [46], Golding [47] et de l'OMM [48].
La caractéristique principale du vent c'est qu'en un endroit donné au cours d'un mois donné de l'année, la vitesse moyenne effectivement observée reste pratiquement la même d'une année à l'autre, et ce malgré le caractère extrêmement variable et imprévisible des changements du vent d'une minute à l'autre ou d'une heure à l'autre. Ainsi, à moins de disposer de statistiques moyennes mensuelles de la vitesse du vent, relevées pour un certain nombre d'années, il devrait être assez difficile de prédire d'une manière assez précise les performances d'une pompe éolienne. Des méthodes différentes ont été mises au point à cet effet, dont certaines seront présentées dans ce qui suit.
Vitesses minimales du vent nécessaires pour le fonctionnement des pompes éoliennes
En règle générale, les pompes éoliennes ne sont économiquement compétitives qu'à partir d'une vitesse moyenne du vent d'environ 2,5 m/s (pendant le mois le moins venteux, Fraenkel [40]). Compte tenu de la relation du troisième degré entre la vitesse du vent et la puissance disponible, les caractéristiques des pompes éoliennes sont donc très sensibles aux variations de la vitesse du vent. Cette relation est valable pour toute pompe éolienne bien adaptée, et par tout régime de vent. Ainsi les pompes éoliennes pourraient être considérées comme une des meilleurs options dont le rapport coût-efficacité est le plus avantageux (par rapport aux moteurs thermiques ou à d'autres machines motrices) pour le pompage dans les régions où la vitesse moyenne du vent dépasse 4 m/s. En revanche, elles ne sont pas du tout compétitives, chaque fois que la vitesse moyenne du vent devient nettement inférieure à 2,5 m/s. La carte de la figure 125 indique d'une façon assez sommaire le régime du vent dans le monde. C'est une représentation assez simplifiée de la carte du vent. D'autres informations plus détaillées pourraient être obtenues de l'Organisation Météorologique Mondiale (0 MM) [48]. Il est facile de voir que les pompes éoliennes peuvent être utilisées dans la plupart des régions du monde, à l'exception des zones centrales des principales masses de terre et des forêts équatoriales. En règle générale, les régions dépourvues d'arbres (c'est-à-dire les prairies de savanne et les zones semi-désertiques et désertiques) sont généralement venteuses et se prêtent bien à l'installation de pompes à éolienne. Tandis que dans les forêts et les régions boisées, l'installation d'éolienne est plus difficile, car d'une part le vent est certainement moins fort, et d'autre part la présence d'arbre gêne l'installation d'éoliennes à moins d'utiliser des pylônes assez hauts.
Les différentes études de marché pour des éoliennes dans les diverses régions du monde [49], et l'analyse des diverses données météorologiques des pays du monde tous deux indiquent que les pompes éoliennes peuvent être utilisées dans un grand nombre de pays en développement. Les pays qui se prêtent potentiellement à l'installation d'éoliennes, et ceux où l'on sait que les pompes éoliennes sont déjà couramment utilisées, sont marqués d'une croix:
Algérie, Argentine (+), Cap Vert (+), Chypre(+), Chili, Chine (+), Egypte, Equateur, Ethiopie, Inde, Jordanie, Kenya (+), Libye, Madagascar, Malte,
FIGURE 125
Moyennes
annuelles de la vitesse du vent (valeurs approximatives)
Maroc (+), Maurice, Mauritanie, Mozambique, Namibie (+), Oman, Pakistan, Pérou (+), Sénégal, Somalie, Soudan, Syrie, Tanzanie, Thaïlande (+), Tunisie (+), Uruguay, Zambie, Zimbabwe (+).
En plus de ces pays, on ne peut mentionner les nombreuses petites îles qui sont aussi à vent diminuant favorable à l'utilisation des éoliennes du fait de leur proximité de l'océan.
Variation de la vitesse du vent en fonction de l'altitude
La vitesse du vent augmente en fonction de l'altitude. Le taux d'augmentation dépend en partie de l'altitude et en partie du relief naturel. En effet, les terrains accidentés comportant des arbres touffus, buissons ou bâtiments de hauteur inégale sont des zones à turbulence, tandis qu'un terrain plat exempt d'obstacles (comme la surface de la mer ou les prairies) facilite la libre circulation du vent avec une vitesse importante en surface. La relation entre la vitesse du vent et l'altitude peut être approximativement représentée par la relation suivante:

avec V vitesse du vent à l'altitude H et Vr vitesse du vent de référence mesurée à l'altitude Hr. "a" un facteur de puissance qui dépend, de la rugosité de la surface, certaines valeurs typiques sont indiquées ci-dessous [50]:
Nature du terrain
a
Mer clame ou sable
0,10
Végétation herbacée basse
0,13
Herbes hautes et petits buissons
0,19
Bois et zones urbaines
0,32
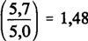
Par exemple, en présence d'herbes hautes et de buissons, et pour une vitesse de référence moyenne de 5 m/s prise à une altitude standard de 10 m préconisée par le bureau météorologique, la correction à introduire pour calculer la vitesse moyenne du vent à la hauteur de 20m au niveau du moyeu d'une éolienne serait:

d'où V = 5,7m/s. Bien cette augmentation de vitesse de 0,7m/s obtenue du fait de l'installation d'une éolienne à une hauteur de 20 m et au lieu de 10 m puisse paraître insignifiante comparée au coût de la tour surélevée nécessaire, mais le rapport des énergies disponibles serait proportionnel au cube du rapport des vitesses (en supposant que l'une ou l'autre installation est correctement adaptée aux pompes utilisées), et il sera donc égale à:

L'utilisation d'une tour de 20 m et au lieu de 10 m permet donc d'accroître de 48% l'énergie recueillie sur un terrain de ce genre (ou bien la même d'énergie pourrait être obtenue avec une éolienne équipée d'un rotor plus petit). Dans notre cas la surface du rotor pourrait être réduite de sorte que le diamètre du rotor monté sur une tour de 20 m serait égal à 0.8 du diamètre de rotor monté sur une tour de 10 m).
Effet des obstacles
Tout obstacle situé sur les lignes du vent crée un sillage de turbulence de profondeur de 20 à 30 fois le diamètre (de l'obstacle) le long de la direction de vent. Etant une zone de turbulence, ce sillage est généralement d'un pouvoir énergétique éolien inférieur à celui de la zone voisine. Par exemple, un grand manguier (ou tout arbre de forme similaire de grande taille et à feuillage dense) peut avoir un sillage de pouvoir énergétique éolien de 10% intérieur de celui de part et d'autre sur une profondeur de 200-300 mètres en arrière dans la direction du vent. Les obstacles aux arêtes vives et de forme irrégulière, affleurements rocheux, falaises et escarpements, ou les grands bâtiments peuvent créer de violentes turbulences qui, en plus de la diminution de l'énergie disponible, risquent d'endommager une éolienne se trouvant dans le voisinage.
On préconise donc que les éoliennes doivent être installées de sorte que le rotor soit à une distance d'au moins 200 à 300 m de tout obstacle majeur. Au voisinage d'obstacles tel que arbres ou bâtiments, le rotor devrait en principe être installé sur une tour suffisamment haute, de façon à ce que son coté inférieur soit franchement plus haut de 5 m au moins par rapport au point le plus saillant de l'obstacle. En réalité, il est souvent impossible d'éviter la présence d'obstacles. La première précaution que l'on puisse prendre consiste à installer l'éolienne de manière à ce qu'elle ne soit pas séparée du vent dominant d'aucun obstacle. Comme le vent s'élève pour contourner un obstacle, il y a lieu également d'éviter d'installer les éoliennes en présence d'obstacles à moins de 100 à 200 mètres en arrière dans la direction du vent.
FIGURE 126
Présentation courante des données à long
terme de la vitesse du vent sous la formé de moyennes mensuelles

Mesures et relevés de la vitesse du vent
Dans les régions où l'usage des éoliennes est d'ores et déjà bien établi, la détermination des caractéristiques d'une éolienne pour des conditions pompage bien définies est faite en tenant compte de l'expérience déjà acquise par les autres utilisateurs de cette énergie. Si l'exposition au vent du site choisi semble être différente du site voisin, les corrections peuvent être facilement introduites du fait de l'expérience déjà acquise. Normalement dans ces conditions, et si l'utilisation des pompes éoliennes est suffisamment répandue, les fournisseurs seront en mesure de préconiser le choix de l'équipement adapté à ce cas spécifique en se basant sur l'expérience déjà acquise.
En revanche, il est plus difficile d'installer pour la première fois des éoliennes dans une région déterminée; il faut dans ces conditions avoir des relevés suffisants du régime du vent local. Une source possible d'information serait les données climatiques enregistrées à la station météorologique ou à l'aéroport le plus proche. Cependant il faut introduire les corrections appropriées pour tenir compte de la différence entre les niveaux d'exposition respectifs du site envisagé et de la station de mesure. Normalement, la procédure à suivre afin d'obtenir ces données est de présenter une demande auprès de la direction des services météorologique ou bien de l'aviation civile. Malheureusement, la plupart des petites stations météorologiques rurales sont mal équipées au départ pour enregistrer les mesures de vitesse du vent et le plus souvent leurs anémomètres sont mal installés. Très souvent, les anémomètres sont en effet installés sur des poteaux de 2 m de haut entourés d'arbres ou de bâtiments. Or, ce genre de relevés est pratiquement inutile pour l'estimation de l'énergie éolienne. Malheureusement, ils sont généralement dûment enregistrés et intégrés dans la base des données nationales des services centraux. Il est évident que des mesures prises dans ces conditions faussent les données réelles relatives au régime du vent en vigueur, surtout lorsqu'il s'agit d'estimer l'énergie éolienne disponible. Par conséquent, en cas d'utilisation de données provenant d'une station météorologique rurale locale, il est vivement recommandé de visiter la station pour vérifier si les mesures sont faites correctement pour évaluer leur validité avant de s'en servi. Les données fournies par les aéroports internationaux (ou par les grandes stations météorologiques) sont normalement plus fiables, puisque les anémomètres sont généralement installés à la hauteur de 10 m recommandée par l'O.M.M. et loin de tout obstacle. Tel est particulièrement le cas dans les aéroports, où les caractéristiques du vent sont essentielles du point de vue de la sécurité du vol. La plupart des stations de ce type enregistrent de manière continue les données de vitesse et de direction du vent, soit sur papier enregistreur, soit sur bande magnétique.
La méthode la plus simple pour l'enregistrement des statistiques nationales de vitesse du vent est indiquée au tableau la figure 126. Ce tableau indique les vitesses moyennes observées aux Indes sur un certain nombre d'années, par mois et par station météorologique. La saison d'irrigation aux Indes correspond normalement à la période sèche de janvier à mai, l'examen du tableau de données permet d'identifier les emplacements où le régime du vent serait le plus favorable au cours de cette période, i.e. pour des moyennes mensuelles de la vitesse dépassant 2,5 à 3 m/s.
La figure 127 indique une autre méthode courante de présentation des données de vitesse du vent. Elle consiste à établir un diagramme connu sous le nom de "rose des vents", représentant à la fois la direction et l'intensité du vent. La valeur inscrite au centre correspond au pourcentage de temps calme (défini par une vitesse du vent inférieure à 4,8 km/h ou bien 3 miles/h), tandis que les "pétales" de la rose sont orientés suivant les points cardinaux (nord, nord-nord-ouest, nord-ouest, ouest-nord-ouest, ouest, etc.). Sur cet abaque on peut lire le temps exprimé en pour-cent durant lequel le vent souffle dans la direction concerné" (l'équidistance des cercles concen-triques correspond à des écarts de 5%). De même, on peut lire les vitesses moyennes (indiquées en l'occurrence par tranche de 5-13, 14,5-24, 27-61 et plus de 62 km/h). L'exemple représenté correspond à un vent manifestement nord-est et sud-ouest dominant. Les roses des vents servent surtout à faire la comparaison entre différents sites, mais elles sont difficiles à utiliser pour estimer l'énergie éolienne disponible; à cet effet, les données brutes de vitesses du vent ou même les moyennes mensuelles sont plus utilisées.
Si l'on ne dispose pas de relevés de vitesses du vent provenant d'une station météorologique assez proche ou représentative, il faut alors installer un anémomètre et faire des relevés durant un an au moins et de préférence pendant deux à trois ans. Evidemment cette recommandation est moins stricte pour les installations à éolienne de petite taille, mais elle s'adresse plutôt aux institutions engageant des investissements importants pour l'utilisation de l'énergie éolienne. Il faut en principe environ trois années de relevés pour obtenir des moyennes suffisamment représentatives. Car les vitesses moyennes mensuelles du vent peuvent varier dans une proportion de 10 à 20% environ d'une année à une autre. Cette condition est bien sûr d'autant plus stricte dans les régions supposées être d'un intérêt marginal du point de vue de l'utilisation des pompes éolien-nes. On verra dans la section suivante que les pompes éoliennes de fabrication industrielle commencent à être compétitive à partir des vitesses du vent supérieures à 2,5 m/s. Par conséquent, dans les régions manifestement venteuses, le vent souffle certainement à des vitesses moyennes de plus de 4m/s. On peut se contenter donc d'avoir une estimation rapide de la vitesse du vent afin de commander l'éolienne sans crainte d'erreur graves. En effet, dans ces conditions, il est sans doute mutile de supporter les frais liés à l'exécution au préalable des mesures précises de la vitesse sur une longue période. De toute façon, il est toujours possible de procéder à des rajustements ultérieurs si la précision s'avère insuffisante. Il suffit d'ailleurs de modifier simplement la course du piston ou les dimensions de la pompe utilisée. Le choix des éoliennes qui suivent serait plus facile du fait de l'expérience déjà acquise avec les premières. Par contre, si le vent est effectivement trop faible, aucun ajustement de la course du piston ou des dimensions de la pompe ne pourrait être suffisant pour corriger complètement l'erreur d'appréciation éventuellement commise.
FIGURE 127
Rose des vents

La méthode la plus simple pour la mesure des vitesses moyennes du vent consiste à installer un anémomètre à croix à coquille. Cet anémomètre totalise simplement les distances parcourues par le vent (en kilomètre ou en miles), tout comme Podomètre d'un véhicule totalise les distances parcourues. En notant l'heure de chaque relevé et, la vitesse moyenne est obtenue en faisant le rapport de la différence de deux lectures successives de l'anémomètre par l'intervalle de temps correspondant. Un anémomètre mécanique à croix à coquille spécialement conçue pour les besoins des services météorologiques coûte près de 300 $E.-U. (sans compter le prix du mât, que l'on peut réaliser au moyen d'un tuyau de 5 cm de diamètre et de haubans). En principe, il faut faire trois lectures par jour, le matin de bonne heure, à midi et dans la soirée, et ce afin d' enregistrer les variations journalières de la vitesse du vent. Cette manière de procéder permettrait en outre de distinguer les vitesses moyennes du vent dans la matinée, l'après-midi et la nuit. Au cas où il est difficile de faire 3 lectures par jour, il faut au moins faire une lecture le matin de bonne heure et une autre dans la soirée afin de calculer les moyennes diurnes et nocturnes de la vitesse du vent. A la limite, des relevés faites une fois par jour ou même une fois par semaine seraient bien sûr beaucoup plus préférables à l'absence complète de mesures. Cependant ces mesures trop espacées dans le temps doivent être régulièrement enregistrées et faites sans erreur, bien que leur intérêt soit très limité, et qu'ils ne donnent en aucun cas les distributions diurnes de la vitesse.
L'analyse de données brutes enregistrées d'une manière continue constitue un travail considérable. Pour cela, suite à l'intérêt de plus en plus important accordé à l'énergie éolienne, plusieurs types d'enregistreurs électroniques sont déjà mis sur le marché. Ils permettent d'enregistrer les données de la vitesse et du vent d'une manière beaucoup plus exploitable par les "prospecteurs d'énergie éblienne". Une des techniques couramment utilisées consiste à enregistrer la fréquence de mesure d'une vitesse du vent dans des intervalles de vitesse préalablement définis, par exemple, de 0 à 5 km/h, de 5 à 10 km/h, de 10 à 15 km/h et ainsi de suite. Si l'on veut obtenir des résultats plus précis, des intervalles plus serrés peuvent alors être adoptés, afin d'améliorer la résolution. Mais cela exige évidemment un enregistreur plus sophistiqué, et un travail d'analyse des résultats plus important.
Tout effort visant à améliorer les performances d'une éolienne pour un régime de vent donné doit toujours commencer par le tracé ou l'obtention d'un histogramme des fréquences de vitesses, représentant les vitesses du vent en fonction du temps exprimé en pour-cent (voir figure 128). Cet histogramme est établi à partir de données horaires de vitesse du vent, en faisant le cumul horaire annuel, en moyenne, où la vitesse du vent se trouvait à l'intérieur de chacune des tranches préalablement définies. Par exemple, à la figure 128, les tranches correspondent à un intervalle de 1,6 km/h (1 mile/h), et l'on voit qu'il y a eu 5 lectures horaires à O km/h, 100 lectures horaires de 1,6 km/h (1 mile/h), etc. II est évident qu'un enregistreur électronique qui mesure et enregistre automatiquement la fréquence des vitesses du vent à l'intérieur de tranches préalablement déterminées facilite considérablement le travail.
Il est également très courant de présenter les données sous la forme de courbes de vitesse en fonction de la fréquence. Il s'agit en fait d'histogrammes fréquence-vitesse à haute résolution. Le régime des vents à un site donné serait représenté par la courbe vitesse-fréquence, dont la forme est pratiquement indépendante des années (i.e. la même courbe serait valable d'une année à l'autre). La synthèse des courbes de vitesse en fonction de la fréquence peut être effectuée selon le modèle mathématique établi en utilisant la fonction de distribution de probabilités de Weibull. Ce modèle permet, à condition de choisir correctement certains paramètres, d'avoir une bonne corrélation avec les courbes vitesse-fréquence du vent obtenues d'une manière empirique. Le travail d'analyse à entreprendre sort du cadre du présent bulletin, et cette question est traitée en détail dans plusieurs références, notamment [45].
FIGURE 128
Histogramme des
fréquences de vitesse du vent

FIGURE 129
Caractéristiques fournies par les constructeurs des pompes éoliennes "Kijito" fabriquées au Kenya sur le modèle de la pompe éolienne IT (voir également figure 116)

Par conséquent, une courbe de distribution horaire des fréquences de la vitesse du vent, pour un site déterminé, constitue en règle générale, la meilleure source d'information disponible. Il est plus approprié en principe, d'utiliser conjointement les données indiquant les vitesses moyennes mensuelles et le pourcentage du temps calme par mois. Pour l'irrigation par pompage, il est essentiel d'étudier le régime des vents pendant le mois de pointe correspondant aux besoins en eau les plus importants. L'analyse à partir des moyennes annuelles serait par conséquent insuffisante.
Performances des pompes éoliennes d'après les catalogues des constructeurs
Le moyen le plus direct pour avoir une idée des performances attendues d'une pompe éolienne serait d'examiner les données fournies dans les catalogues des constructeurs. A titre d'exemple, le tableau de la figure 129 donne les caractéristiques et les courbes de performance relatives à la gamme "Kijito" de pompes éoliennes (construites sur le modèle de la "pompe éolienne IT"), fabriquées au Kenya (Figure 116). Le tableau indique les débits moyens journaliers obtenus pour différentes hauteurs de pompage pour les quatre modèles de pompes Kijito, et pour trois vitesses moyennes différentes correspondantes à un vent faible (de 2 à 3 m/s), moyen (de 3 à 4m/s) et fort (de 4 à 5m/s). Tandis que les courbes reproduisent ces mêmes caractéristiques uniquement pour les vitesses correspondantes à un vent modéré. Il est important de signaler la forte sensibilité des pompes éoliennes à la vitesse du vent. Ainsi, les performances de la plus petite machine, munie d'un rotor de 12 pieds (3,7 m) et avec une vitesse de vent de 5 m/s seront voisines des performances de la machine la plus importante (rotor de 24 pieds ou de 7,3m), pour une vitesse de vent de 3m/s. En effet, du fait de la relation du troisième degré liant l'énergie fournie à la vitesse du vent, l'énergie potentielle par unité de section d'un vent soufflant à 5m/s est égale à 4,6 l'énergie potentielle de la même section dans un vent de vitesse à 3m/s.
Les inconvénients liés à l'adoption des performances indiquées par les constructeurs sont ceux relatifs à l'inexactitude, le manque fiabilité, et même l'insuffisance des données figurant dans ces brochures. Par exemple, les vitesses du vent correspondant à un débit donné ne sont pas toujours clairement indiquées. En outre, les constructeurs surestiment (parfois exprès) les performances indiquées aux des vitesses moyennes du vent afin de rendre les caractéristiques plus impressionnantes. D'autre part, ils suggèrent des règles empiriques qui ne sont pas toujours appropriées pour la détermination des caractéristiques des éoliennes aux vitesses du vent les plus fréquentes.
La grande lacune dans le suivi des performances des pompes éoliennes est le manque d'intérêt accordé par les utilisateurs au relevé des caractéristiques des éoliennes dans les conditions de fonctionnement réelles. Ceci rend pratiquement impossible la vérification des caractéristiques fournies par les constructeurs, bien que ce suivi ne requiert qu'un anémomètre à croix et un débitmètre afin de mesurer la vitesse du vent et le débit d'eau délivrée à des intervalles temps prédéterminés (par intervalles de 10 mn ou de 24 heures -à court et à long terme - selon la périodicité recommandée). Les valeurs moyennes de la vitesse du vent et du débit d'eau ainsi obtenues sont représentées graphiquement sous la forme d'un diagramme de dispersion en escalier. Lorsque le nombre de mesures devient assez grand, le diagramme en escalier prend à la limite la forme d'une courbe représentant les performances de l'éolienne. Les utilisateurs des pompes éoliennes à grande échelle notamment les organismes publics ont tout intérêt à vérifier la validité des performances annoncées par les constructeurs, par exemple en utilisant la méthode simple décrite ci-dessus. Dans la plupart des cas, les performances médiocres peuvent résulter tout simplement du choix inopportun d'un type de pompe ou d'une course de piston inadéquate. En effet, le rendement pourrait être nettement amélioré soit par une simple modification de la course du piston ou bien par le choix d'une pompe de capacité adéquate.
TABLEAU 19
Débit d'une pompe éolienne calculé partir des données de la vitesse du vent classées par tranches et les performances
correspondantes
|
Vitesse du vent |
Durée annuelle (heures) |
Débit pompé (m3/h) |
Débit total (m3) |
|
|
mille/h |
m/s |
|||
|
7 |
3,15 |
600 |
0,3 |
180 |
|
8 |
3,6 |
500 |
1,4 |
700 |
|
9 |
4,05 |
500 |
2,3 |
1150 |
|
10 |
4,5 |
400 |
3 |
1200 |
|
11 |
4,95 |
500 |
3,7 |
1850 |
|
12 |
5,40 |
450 |
4,2 |
1890 |
|
13 |
5,85 |
450 |
4,7 |
2115 |
|
14 |
6,30 |
300 |
5,2 |
1560 |
|
15 |
6,75 |
300 |
5,7 |
1710 |
|
> 15 |
1700 |
6 |
10200 | |
|
Total |
5700 |
Total annuel |
22555 m3 | |
FIGURE 130
Exemple du mode
de calcul de l'énergie
fournie par une éolienne à partir de la courbe de distribution de la vitesse
du vent (a), multipliée par la
caractéristique (b) de performance de l'éolienne de façon à obtenir
l'énergie fournie (c)

Principes généraux
La détermination des caractéristiques d'une pompe éolienne destinée à l'irrigation par pompage devrait être faite en fonction des prévisions du débit moyen nécessaire semaine par semaine ou mois par mois. On peut à cet effet utiliser à la fois les données disponibles pour les performances de la pompe éolienne aux différentes moyennes horaires de la vitesse du vent, et les données tirées de l'histogramme de distribution de la vitesse du vent (ou bien les données numériques relatives au nombre d'heures par mois durant lesquelles la vitesse du vent appartenait aux tranches définies au préalable). Le tableau 19 illustre cette méthode. En même temps ce tableau indique le débit délivré par une pompe éolienne pour certaines vitesses du vent, ainsi que la moyenne statistique des intervalles de temps où la vitesse du vent est comprise entre deux valeurs bien définies (ou bien dans une "tranche" de vitesses). Par coséquent, Va débit. total. correspondant à chaque. tranche de Vitesse serait. obtenu en multipliant le débit horaire pour chaque vitesse par le nombre d'heures y relatif. La somme des débits relatifs à chaque tranche donne le débit total annuel. Il est important de faire ce calcul mois par mois. En effet, la valeur moyenne de la vitesse du vent au cours du mois le moins venteux vaut seulement 60 à 70% de la moyenne annuelle dans la plupart des cas. De même, l'énergie éolienne disponible au cours de ce même mois serait de l'ordre de 20% de l'énergie correspondante à la vitesse moyenne annuelle. Les résultats obtenus à partir des valeurs moyennes annuelles sont souvent corrigés par un coefficient de sécurité important afin de prendre en considération le régime du vent au mois le moins venteux (du fait que l'irrigation est surtout nécessaire durant le mois le moins venteux, ou bien pendant le mois où la vitesse moyenne du vent est inférieure à la moyenne annuelle).
Les diagrammes de figure 130 offrent une méthode graphique pouvant convenablement remplacer celle du tableau 19. Dans ce cas, on multiplie le nombre d'heures obtenu pour une vitesse donnée, à partir de l'histogramme des fréquences de la vitesse du vent (de préférence mensuel) représenté en (a), par la puissance correspondante à cette même de vitesse de la pompe éolienne (indiquée à la figure 130 b). Dans notre exemple, une pompe éolienne qui doit démarrer à une vitesse nominale de 2m/s fournit une puissance de 3 kw à la vitesse nominale de 5 m/s, et qui sera complètement ferlée (freinée) à la vitesse de 9 m/s. L'histogramme des performances de la pompe éolienne, établi pour les mêmes tranches de vitesse du diagramme (a) pourrait être obtenu à partir de la courbe caractéristique des performances de la pompe éolienne. Enfin, la puissance obtenue à partir de l'histogramme (b) est multipliée par les durées tirées de l'histogramme (a) afin d'obtenir l'histogramme des performances globales c). La procédure à suivre pour multiplier deux histogrammes est la suivante: si le nombre d'heures pour la première tranche de vitesse de (a) est de 100 heures et si la première valeur de l'histogramme (b) est 0 kw alors leur produit reporté sur l'histogramme (c) est égal à 0 kwh; la deuxième valeur est égale à 600 x O = 0, la troisième à 750 heures x 0,5 kw = 375 kwh, la quatrième à 800 heures x 1,5 kw = 1200 kwh, etc.
Méthode empirique simple
La validité des résultats obtenus à partir des méthodes ci-dessus dépend essentiellement de la qualité des données de la vitesse du vent et des performances disponibles. Malheureusement, dans la plupart des cas la fiabilité de ces données n'est pas toujours bonne. Par suite, si l'on ne dispose que de données approximatives, il vaut mieux recourir à une règle empirique simple plutôt que d'utiliser des méthodes de calcul sophistiquées (ces méthodes empiriques sont d'ailleurs toujours utiles, car elles permettent de vérifier rapidement les résultats obtenus avec les autres méthodes). Cette méthode à été proposée pour la première fois en (45) et (50), représente une méthode d'estimation rationnelle.
Dans la règle empirique en question le rendement du système à pompe éolienne est pris en moyenne égal à 17%. Ce rendement correspond au taux de transformation de l'énergie éolienne en puissance hydraulique, ce qui constitue dans la plupart des cas, une bonne approximation, (les pertes d'un système à pompe éolienne et le rendement global pouvant être atteint seront traités en détail dans la section suivante du présent chapitre). La puissance hydraulique moyenne fournie par une pompe éolienne d'un rendement moyen de 17% environ serait égale à :

Comme la densité de l'air au niveau de la mer est égale à 1,2 kg/m3 environ, il s'ensuit que:

Si l'on multiplie 0,1V3 par le nombre d'heures de l'intervalle de temps correspondant à la vitesse moyenne du vent choisie, on obtient l'énergie hydraulique fournie. Par exemple, si V est la vitesse moyenne journalière du vent (par 24 heures), l'énergie hydraulique produite par jour sera donc égale à:

Si cette valeur est multipliée par la superficie du rotor exprimée en mètres carrés, on obtient l'énergie hydraulique journalière. En divisant ce résultat exprimé en wattheures/j par 2,725 on obtient le volume d'eau par la charge en mètre, exprimé en "mètres cubes-mètre", ou en m3.m. Bien qu'il s'agisse d'une unité non usuelle de l'énergie, néanmoins elle permet d'obtenir très facilement le volume d'eau quotidien pouvant être pour une hauteur de pompage donnée; par exemple:

C'est-à-dire 36,7 m3/jour sous une hauteur d'élévation de 10 m, soit 3,67 m3/jour sous une hauteur de 100 m etc.
Rendement global du système
Le tableau 20 donne des valeurs indicatives du rendement des ces pompes. On peut aussi noter que 7 à 27% de l'énergie éolienne potentielle (à la vitesse moyenne du vent) est convertie en énergie hydraulique. Comme la vitesse du vent varie continuellement, l'énergie éolienne effective du vent est nettement supérieure à celle déduite en faisant l'approximation d'une vitesse moyenne constante. L'écart entre l'énergie disponible réelle et celle obtenue à partir de la vitesse moyenne peut être estimé à partir de la courbe de distribution des vitesses. Mais d'une manière générale, l'énergie éolienne réelle pourrait atteindre le double de celle obtenue à partir de la vitesse moyenne. Pour cette raison on utilise un coefficient de "rendement" de 180 à 250% pour corriger la sous estimation de l'énergie résultante de la prise en compte de la vitesse moyenne du vent.
Ce tableau montre que la valeur du rendement global de 17% recommandée comme règle empirique pour le calcul de l'énergie par l'expression 0,1 V3 varie de plus ou moins 10% de l'énergie totale disponible selon les cas, en fonction du type des pompes et du régime des vents. C'est pour cette raison que le coefficient de la règle empirique est pris de 0,1. Par conséquent l'énergie réelle utilisable varie d'une manière générale entre 0,6 et 1,6 de la valeur l'énergie calculée à partir de la règle empirique, i.e. avec un coefficient de 0,1, et pour la vitesse moyenne du vent.
TABLEAU 20
Facteurs affectant le
rendement d'une installation d'une
pompe éolienne
|
Facteur |
Rendement courant |
|
rotor/arbre |
25-30 |
|
arbre/pompe |
92-97 |
|
pompe |
60-75 |
|
régime de vent et coefficient de captage de l'énergie |
30-50 |
|
énergie éolienne réelle/énergie éolienne calculée d'après la vitesse moyenne |
180-250 |
|
Rendement global de la transformation en énergie, à la vitesse moyenne du vent |
7-27 % |
Régime du vent correspondant au fonctionnement économique
La méthode pratique de comparaison des coûts des éoliennes consiste à évaluer les frais d'installation globaux au prorata de la superficie unitaire du rotor (par exemple en $ par m2 de rotor). Comme l'énergie fournie est fonction à la fois du régime des vents, du rendement de l'installation, et de la superficie du rotor, le coût unitaire par mètre carré de superficie du rotor pourrait donner une indication du coût de l'énergie pour un régime de vent donné. Ceci serait d'autant plus vrai à condition de supposer que le rendement du système est uniforme pour tous les régimes de fonctionnement. Sinon, on doit prendre les valeurs limites supérieures et inférieures du rendement, tel qu'indiqué dans la section précédente.
Les prix des pompes éoliennes sont étroitement liés à la superficie du rotor. Ainsi, les prix des pompes éoliennes de fabrication industrielle (transport et installation non compris) sont d'environ 200 à 400 $/E.-U. par m2. Tandis que les prix unitaires par m2 de rotor des générateurs éoliens sont généralement trois fois plus élevés (pour les machines plus petites) ou deux fois plus élevés pour les machines de taille plus importante. Par contre, les pompes éoliennes fabriquées dans les pays en voie de développement sont nettement moins chères. A titre d'exemple; le coût unitaire de la version pakistanaise "Tawana" de la pompe éolienne IT est de 130 $/m2 environ (en 1985). Les pompes éoliennes, de fabrication artisanale tel que celles utilisées en Thaïlande, sont encore bien moins chères. En tout cas, le coût dépend très fortement du coût de la main-d'oeuvre nécessaire à la fabrication.
Compte tenu de ces coûts et des performances indiquées précédemment, il apparaît qu'aux prix actuels, la plupart des pompes éoliennes ne devraient être utilisées qu'avec des vents de vitesses moyenne d'environ 2,5 à 3 m/s minimum. Tandis que les générateurs éoliens ne seront économiquement rentables qu'à partir d'une vitesse moyenne d'environ 3,5 à 5 m/s. D'autre part, du fait de la relation du troisième degré entre la vitesse du vent et la puissance fournie, le rendement des éoliennes serait certainement plus fort aux vitesses élevées du vent. En conclusion, les éoliennes constituent une alternative particulièrement intéressante dans tous les cas où le régime des vents est caractérisé par des vitesses voisines de (ou supérieure à) 5 m/s.