- MAP OF KAINJI LAKE -

KAINJI LAKE RAINFALL PATTERN (mm)


- SUBMARINE PHOTOMETER - TRANSMISSION CURVES FOR FILTERS -

HOURLY GROSS INCREASE IN OXYGEN

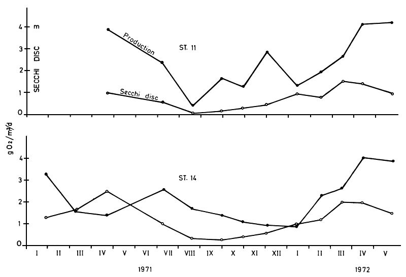
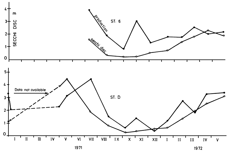
DAILY PRODUCTION PER UNIT AREA , Σ P, AND CORRESPONDING SECCHI DISC TRANSPARENCY

DAILY PRODUCTION PER UNIT AREA , Σ P, AND CORRESPONDING SECCHI DISC TRANSPARENCY

RELATION BETWEEN SECCHI DISC TRANSPARENCY AND PHOTOSYNTHETIC PRODUCTION PER UNIT AREA




SEASONAL VARIATIONS OF THE MAXIMUM RATES , P MAX , OF PHOTOSYNTHESIS

SEASONAL VARIATIONS OF THE MAXIMUM RATES , P MAX , OF PHOTOSYNTHESIS

SEASONAL CHANGES IN DEPTH DISTRIBUTION OF PHOTOSYNTHETIC RATES
(g O2 /m3/h )

SEASONAL CHANGES IN DEPTH DISTRIBUTION OF PHOTOSYNTHETIC RATES
(g 02/m3/h )

SOLAR RADIATION IN KAINJI, 1971–72
Nota : Values for 1971 computed from near values for Bida and Yelwa Data for March, April, October and November 1971 missing -

SEASONAL CHANGES IN SPECTRAL COMPOSITION OF SUBSURFACE LIGHT

↑= Peak of transmission for filters used, i. e
B - Blue , G - Green , R - Red
RELATION BETWEEN PRODUCTION PER UNIT AREA MEASURED IN SITU AND CALCULATED PRODUCTION

RELATION BETWEEN SECCHI DISC TRANSPARENCY AND DEPTH OF THE 1% TRANSMISSION LEVEL OF THE MOST PENETRATING COMPONENT IN THE SPECTRUM

VERTICAL DISTRIBUTION OF PHOTOSYNTHETICALLY ACTIVE PLANKTON DURING STRATIFlCATION

RANGE OF PRIMARY PRODUCTION IN A TROPICAL LAKE
( g C/m2/d )

RELATION BETWEEN PRIMARY PRODUCTION AND MEAN DEPTH

RELATION BETWEEN MORPHO - EDAPHIC INDEX AND PRIMARY PRODUCTION
