Botros, G.A., 1971 Fishes of the Bed Sea. Oceanogr.Mar.Biol., 9:221–348
Gushing D.H., 1971 Survey of resources in the Indian Ocean and Indonesian area. Indian Ocean Fishery Commission. Home, FAO, IOFC/DEV/71/2j 123 p.
FAO/UN, 1966 Report to the Government of Jordan on a survey of the status of marine fisheries. Based on the work of Y.C. Gilberg, FAO/TA Fisheries Expert. Rep.FAO/UNDP(TA), (2222): 19 P.
FAO/UN, 1967 FAO Mediterranean Development Project, Jordan. Country report. Rome, FAO 232 p.

Fig. 1 MAP OF THE GULF OF AQABA SHOWING TOE COASTLINE IN JORDAN AND THE SECTORS CHOSEN FOR THE SURVEY.

Fig. 2 MAP OF THE AQABA SOUTH COAST (a, b, c) SHOWING SECTORS 3 to 8, CENTRES OF OBSERVATION AND PREDOMINANT BIOTA IN THE COASTAL SHALLOW REGION.

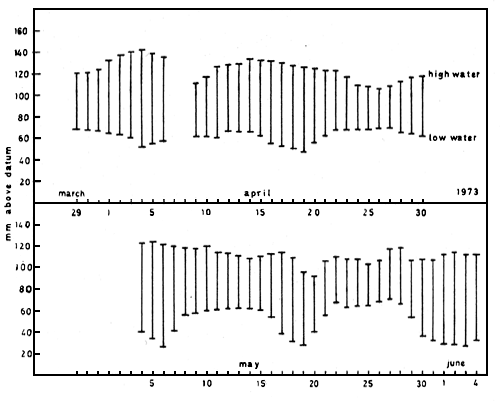
Fig. 3 AVERAGE DAILY TIDAL RANGES DURING 29 MARCH TO 4 JUNE 1973. (The levels are based on an arbitrary datum)

Fig. 4 PATTERN OP SPRING AND NEAP TIDES (The levels are based on an arbitrary datum)

Fig. 5 TEST PIT NO. 1 AT LOW TIDE PHASE

Fig. 6 TEST PIT NO. 2 AT LOW TIDE PHASE

Fig. 7 TEST PIT NO. 2 AT HIGH TIDE PHASE

Fig. 8 TEST POND SHOWING THE SMALL PIT DUG AT THE BOTTOM

Fig. 9 TYPICAL INTERTIDAL ROCK POOLS

Fig. 10 ROCKS WITH OYSTER SETTLEMENT IN SECTOR 1

Fig. 11 ROCKS WITH HEAVY SETTLEMENT OP BARNACLES AND PEW OYSTERS IN SECTOR 4.

Fig. 12 CEMENT STRUCTURE IN SECTOR 1, SHOWING THE OYSTERS USED FOR STUDYING RATE OF GROWTH

Fig. 13 STRINGS OP OYSTER SHELLS AND ASBESTOS SHEETS EXPOSED AT THE INTERTIDAL REGION IN SECTOR 1.

Fig. 14 ASBESTOS SHEETS FIXED IN SECTOR 1, SHOWING SETTLEMENT OF OYSTER SPAT

Fig. 15 TENTATIVE LAYOUT PLAN FOR THE AQUARIUM AT AQABA