Table of Contents Next Page


The age of engineered wood

G.G. Marra

G.G. Marra is Assistant Dean for Research, College of Engineering, Washington State University, United States.

It is possible to radically alter and control the properties of man's most important renewable resources for construction. As metals and plastics replaced wood in the past, wood may now replace these materials on the basis of improved performance as well as cost and availability. This article was originally presented as the keynote address to the World Consultation on Wood-based Panels held in New Delhi in February 1975.

Materials engineering is a term now gaining widespread use in connexion with all activities related to the control of properties of materials. Hence, materials engineering implies a synthesis of various basic elements and a knowledge of processing variables, which together control the properties of all man-made materials.

The key word in this definition is "synthesis." Its special power lies in its potential for yielding a wide range of materials whose properties may be tuned individually to predetermined use requirements. Process control also leads to greater uniformity and reliability in the material. Typical materials of great value in the world's economy whose properties are thus controlled include all metals, plastics, ceramics, and many others.

Under control

Wood, as a material produced by the biological processes of nature, has always been assumed to be beyond the control of man in regard to its properties. This assumption is no longer valid and must be challenged vigorously in order for wood to take its rightful place in the family of man-made materials.

There are important imperatives of our times which dictate an early recognition of the special virtues of wood when considered from the standpoint of controllable properties. These imperatives are related to the total world inventory of depletable and nondepletable resources and the projected requirements for the future. Without going into details, it is enough to say that many leading thinkers are calling for some form of conservation in order to ensure the maintenance and/or the attainment of an adequate standard of living for everyone - now and for centuries to come. The simple and direct conclusion from this line of thought is that materials based on renewable resources must carry a larger burden in sustaining the technological aspirations of future generations. In the realm of structural materials this certainly means wood.

There are other strong imperatives that arise from considerations dealing with energy and the environment. Both of these find wood to be highly cooperative. The forest as a manufacturing plant uses solar energy exclusively, and later processing of the material consumes only moderate amounts of energy compared to other materials. Furthermore, the forest as a manufacturing plant provides a highly desirable environment; and again, later processing contributes only minor impacts and these are being gradually eliminated through gainful means.

THE VENEER LATHE SECTION OF A PLYWOOD MILL IN MEXICO The variety of wood sandwiches is endless.

Considering the nature of these imperatives, an appreciation of the synthesis capability of wood comes at a most opportune time in the history of mankind. Not only will wood provide new and improved materials, but it will do so in quantities substantially greater than might otherwise have been possible. It should be remembered that although the forests of the world are renewable in perpetuity, the amount that can be harvested under sustained yield conditions at any one time is finite. Although at present this statement may have more validity in some countries than in others, time drives toward equality in this respect. Hence, it is well to consider that the necessary gains in wood products may have to come largely from within present limits of forest output.

Therefore, the main thrust of the age of wood materials engineering is aimed at the following goals:

- To provide wood materials with improved properties.
- To provide large quantities of wood materials from the forest resource.

If wood is to assume its larger role with dignity and respect, it must first be accepted as a material having a new order of uniformity, reliability and utility. This message must reach beyond the practitioners and disciples of wood, to the highest levels of materials policy formulators, and materials science educators. Such is the purpose and the hope of this paper.

In retrospect, the application of the concept of synthesis to wood is not new. The engineering properties of wood were first subjected to a type of synthesis action, although unknowingly, when lumber was laminated and special attention was given to the selection and placement of various grades of lumber within the member. With the advent of nondestructive testing of lumber, the synthesis concept applied to laminated timber can now yield engineering properties in excess of the average for its individual elements. This result arose from a knowledge of the stress distribution under load conditions, a knowledge of the properties of the wood elements and the adhesive involved, and a knowledge of the processing variables.

PLYWOOD GLUE EXTENDERS IN ASIA a visitor's view

At the twenty-eighth annual meeting of the Forest Products Research Society of America in June 1974, Joe E. Robertson, Vice-president of the Robertson Corporation, Brownstown, Indiana, presented a paper based on his observations of the use of plywood glue extenders in Asian plants he visited in 1973. The full report was also published in the November 1974 issue of the Society's publication, The forest products journal. The author visited plants in Japan, the Republic of Korea, the Philippines and the Malaysian peninsula. Mr. Robertson's summary and conclusions follow.

The development of the plywood industry in Asian countries has been very rapid; it is a new industry generally less than 25 years old, The Asian plywood personnel in all countries were most hospitable, cooperative and eager to exchange information about new developments. The plants we visited were large and operated at a high rate of production with many employees and modern and efficient equipment.

One of the largest plywood plants in the world was visited in the Republic of Korea. Here 160000 four-by-eight panels were produced daily with the aid of 5500 employees; about half of these were young women.

Most of the Asian production was quarter-inch four-by-eight. Japanese produced panels were manufactured largely for Japanese markets, while about 70% of the production at the other plants visited was intended for United States markets. Logs were extremely large by United States standards and were mostly of lauan or similar woods. Logs originated in the Philippines, Malaysia and Indonesia.

General extender quality in Asia was found to be inferior to that in the United States. However, a number of reasons con tribute to the use of low-grade flours in many of the plants in several countries. For example, government purchasing policies and the existence of subsidies on certain cereal products for determined uses were undoubtedly factors in extender use. Also, effluent limitations are not as prevalent in Asia as in the United States. Glue technology is generally a little more advanced in the United States, where the saving of labour and supervision time is economically more important.

Great interest was expressed by the Asian plywood technicians in extender information, and they indicated that quality improvement in this field will take place as soon as change is practical.

The following conclusions may be drawn:

1. Philippine (Mindanao) extender quality was better than that found at most plants elsewhere in Asia (low-ash, soft-wheat extender being used).

2. Japanese extenders were of lowest quality, but it must be remembered that extender selection here is probably largely influenced by government policy, and that panel production is mainly for domestic consumption (low-grade clears were in general use).

3. Extender selections in the Republic of Korea were associated with the quality of finished panels. The better extenders were used in the glue mixes intended for the higher quality plywood. Quality ranged from high-quality soft-wheat flours to finely ground "feed. "

4. Asian quality control programmes are improving, and the writer anticipates a rapid upgrading of general extender quality.

5. The selection of higher quality special extenders will become more widespread as the Asian technicians recognize the contribution of proper, special extenders to resin conservation and the necessity for "no discharge" pollution control.

The basic wood element

This is the basic essence of synthesis and it contrasts with its application to all other materials in only one respect - the size of the basic element. The basic wood element is quite large compared with the atoms and molecules involved in synthesis operations of other materials. In all other respects, the actions and the results have identical counterparts, including the depth of intellectual activity. Indeed, since virtually all synthesis with wood elements involves adhesives and the molecular forces of adhesion, it is obvious that considerations at the atomic level are a vital part of the action with wood. In addition, diffusion phenomena for heat, liquids and gases are important aspects in understanding the arheology of the system during the transformation of the material from the loose to the consolidated state.

TABLE 1.-BASIC WOOD ELEMENTS

1. Logs

8. Excelsior

2. Lumber

9. Strands

3. Thin lumber/thick veneer

10. Particles

4. Veneer

11. Fibre bundles

5. Long flakes/short veneer

12. Paper fibre

6. Chips

13. Wood flour

7. Flakes

14. Cellulose

Basic wood elements arranged from largest to smallest. Of the elements shown, 10 can be produced from residue wood, or material unsuitable for lumber and plywood, and all can contribute to the development of new product concepts. (By permission of the Forest Products Journal)

Plywood as example

Continuing with the synthesis concept, plywood provides another outstanding example of a wood material produced by deliberate arrangement of the basic element, veneer. The result is an equalization of the properties in the two panel directions, and perhaps more importantly, structural wood in panel form. In the process of synthesis of plywood, one property was improved far beyond nature's best effort, namely, resistance to splitting. Dimensional stability was also greatly improved. Again, a knowledge of the wood element, the adhesive and the processing conditions was necessary to achieve this result-a true synthesis action that was not recognized as such at the time.

1. TENSILE STRENGTH Comparison of the tensile strength of wood elements, showing a nearly thousandfold depreciation from nature's molecular handiwork to man's rectangular element for engineering construction (Douglas fir)

2. Edge view of flakeboard before and after moisture stressing, showing large planes of weakness characteristic of this wood element (magnified X 5), BEFORE

The importance of this matter of synthesis, although somewhat academic, should not be underestimated. The opportunities for synthesis of wood materials are now greater than at any time in history because of the large number of basic wood elements now available. Laboratory studies running the full gamut from fundamental to applied can match the intricacies and scope of those of any other material.

2. Edge view of flakeboard before and after moisture stressing, showing large planes of weakness characteristic of this wood element (magnified X 5). AFTER

The probabilities of such efforts bringing forth many new materials of wide utility are exceedingly good. As will now be shown many of these new materials will come primarily as extensions of the forest resource. Since some of the major gains anticipated for wood will be in its expanded role as a structural material, this paper deals primarily with this aspect of the subject.

Lumber and veneer are only two of the basic wood elements now available with which to initiate innovative synthesis activities with wood. Table I shows a total of 14 basic wood elements, some of which are fairly recent inventions. Some of these elements are discoveries and some are inventions, but as a group they stand as a solid measure of technical and scientific progress in the field of wood. Doubtless, new elements will be added from time to time.

The elements are arranged in decreasing order of size, from logs-or roundwood - the largest, to cellulose, the smallest. Cellulose, although a major component of wood, is actually nonwood in the free state. It is included primarily to complete the predictive power of the table, and to suggest synthesis possibilities with other elements, perhaps in the form of a plastic overlay, bionic is omitted despite its experimental use as a plastic material, but may soon command joyous attention if future research can establish its potential as an effective, low-cost adhesive. Bark also is omitted, partly because it is nonwood by definition, and partly because current research suggests that it may merit its own table of basic elements for synthesis of a new family of - construction materials.

These elements have been described in a previous paper (Marra, 1972).

New elements

Some elements are recognized as common in the wood industry, others are rare or experimental. In addition to lumber and veneer, flakes, particles and fires are in major usage. Chips, normally an intermediate element in the generation of other elements, have been used experimentally as an element in their own right. Excelsior acquired element status when it was combined with inorganic binders to produce a board with acoustic and insulating qualities. Wood flour merits a place in the table on the basis of its use in molded shapes and a surfacing element in other board products. Strands were developed primarily as an orienting element, of which more will be said later. Two somewhat anomalous elements, thin lumber/thick veneer and long flakes/short veneer, offer a potential not yet well expressed. The first seems destined to serve as a laminating element to produce special lumber, while the second may find use in structural panels, either in oriented or random configuration.

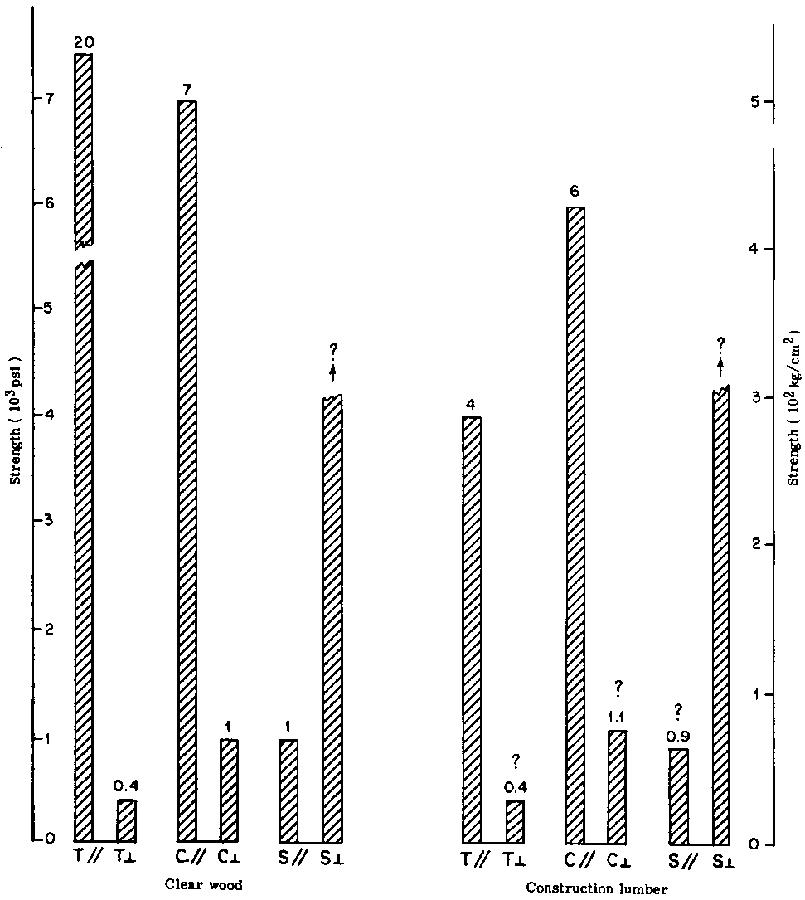
3. How to improve on nature

Comparisons of strength properties of wood (Douglas fir) in tension (T), compression (C) and shear (S) in directions parallel (//) and perpendicular (1) to grain illustrate nature's finest contribution as well as its major fault. Comparison of clear wood and construction lumber illustrates the further impact of man's manipulation. Note that suffers most, while other properties change very little, or possibly gain. The question marks indicate lack of knowledge of specific values for these properties.

An additional element not shown in the table is one known as "wafers," which are actually very thick flakes. Perhaps they are best described as being a cross between chips and flakes, except that they display an obvious length dimension along the grain.

Their primary virtue is that they reduce adhesive usage through reduced surface area and, for the same reason, they minimize reduction energy.

Returning to the table, it is necessary to mention that logs as an element for synthesizing purposes are not very adaptable since they do not combine well either with themselves or with other elements. Pushed to a crude extreme (perhaps not so crude), logs bonded together with bolts provide a coherent and aesthetic lattice in such applications as railroad trestles. Nevertheless, logs are discounted as an element in this analysis of the concept applied to wood.

The most important factor arising from the table is the potential for combining various elements to produce new materials. The most common combinations, such as plywood, paper and particle board, are now solidly entrenched in our technology.

This potential for new materials can be assessed by assuming that a unique combination of elements is a noteworthy innovative event as soon as it occurs, either experimentally or industrially. These events can be called "product concepts" and one such event can often spawn a galaxy of related products, all based on the same concept.

The possible combinations

Assuming further that these product concepts can arise from combinations of one, two and three elements, then the total number of such events is seen to be mathematically limited. Eliminating logs, and adding three common nonwood elements, metals, plastics and minerals, the total number of possible combinations, including considerable apparent redundancy, is 4913. However, some redundancy is justified on the basis of orientation of elements which produces such drastic changes in properties. Also different proportions of elements, different sizes of element and different internal construction lead to generically different products. Hence a conservative estimate of the number of valid possibilities for product concepts may lie in the order of 3000.

A survey of all existing products known to be either in commercial use or in experimental stages has revealed that only about 64 have been discovered or utilized to date. It is interesting that lumber, the mainstay of the wood industry, does not qualify as a concept in this definition. Hence, roughly 98% of the possible product concepts are yet to be developed. Wafers add greatly to the count of possible product concepts, as will any future invention of new basic elements.

It should be noted and emphasized that the majority of these basic elements can be produced from residue wood, or from timber unsuitable for lumber or plywood. Furthermore, the smaller elements suggest an obvious route for recycling wood of virtually any form. It is because of this fact that the second goal of wood materials engineering can be achieved: namely, to provide larger quantities of wood materials from the forest resource. Conservative estimates indicate that a doubling of the material from the forest resource can be realized with wider application of current technology. From this analysis it seems safe to say that the age of wood lies ahead of us, not behind us, and that it rests in the realm of materials engineering in the truest sense of this term. It is an even brighter future than that envisioned by Egon Glesinger some decades ago (Glesinger, 1949).

The peak engineering properties of wood stem from its highly organized fibrous structure. This structure also produces the anisotropic nature of wood in which peak properties become inextricably associated with exceedingly weak properties. This wide discrepancy in properties in orthogonal directions is the bane of engineers attempting to carry out critical design functions with wood.

Figure 1 shows the peak property tensile strength parallel to the grain, from its molecular origin to the greatly depreciated value with which engineers are forced to work. The species chosen for this discussion is Douglas fir, a choice construction species in the United States. It is interesting that the major loss is above the fibre level, where man's need for long rectangular shapes converts natural characteristics such as knots and cross-grain into natural defects. In addition, variability takes a heavy toll in the statistical calculation of the allowable working stress.

4. Two important variables

The relationship of specific gravity and resin content to strength illustrates two powerful processing variables which must always be specified in the synthesis of wood composition materials.

Particle board

The foregoing strongly suggests that the place to start the application of materials engineering principles to wood is at the level of the fibre and above. This coincides with a critical point in the growth of the particle board industry-a worldwide phenomenon scarcely 30 years old. Like laminated lumber and plywood before it, particle board began as a synthesis operation, again unrecognized as such, but went on to register many technical innovations, improvements and modifications through control of processing variables. A new genus of man-made materials was born and its growth can now be fostered best by systematic application of principles similar to those employed by metallurgists, ceramists and polymer chemists. Major gains can be scored, not only through synthesis, but also, for example, through studies of fracture mechanics. Such knowledge would be useful both for improving the initial particle-generating operation and for understanding the internal structure of the material (Figure 2).

Figure 3 illustrates the anisotropic nature of wood from the standpoint of certain engineering properties. Again, the largest discrepancy is tensile strength between parallel-to-grain and perpendicular-to-grain directions, almost a fiftyfold difference in the case of clear wood of Douglas fir. The defects present in construction lumber produce a drastic reduction in tensile strength parallel to grain, but, despite the lack of accurate data, there are apparently only minor changes in other properties.

A technical conflict

Although strength is not the only criterion of progress in wood materials engineering, it is immediately evident that a major technical conflict exists in dealing with the organized structure of wood. Two key problems, anisotropy and variability, yield to homogenization of the structure in direct proportion to the size of element. Laminated lumber and veneer, for example, retain anisotropy while gaining a measure of uniformity (i.e., reduced variability). Smaller elements randomly disposed produce two-dimensional isotropy and an even greater degree of uniformity. Knots and cross-grain drop out completely as factors affecting strength. At the fibre level, even species differences begin to fade. The achievement of three-dimensional isotropy remains as an interesting challenge for future materials engineers.

Isotropy and uniformity are technical improvements of great significance, but this gain is achieved at the expense of the peak properties of solid wood. Some strength can be regained through higher resin content, or higher density, or both. As shown in Figure 4, all strength properties are greatly dependent on these two factors. Perhaps the most direct way of restoring strength is through orientation of the elements. Orientation has been under investigation in the United States and Europe for a number of years and has recently been inaugurated as a commercial process in both continents. It is the most exciting new development in the wood industry since the development of particle board itself.

Geometric power

Comparison of properties of board materials produced from Douglas fir flakes, particles and fibres, showing the power of geometry in influencing the performance of the wood element. The solid wood value represents a goal hopefully to be achieved by future research.

Problems of strength

The application of orientation confers strength at little or no cost and it can be controlled to any degree desired. Isotropy is lost, but control of wood variability is retained. Orientation combined with high resin content and high density produce strengths approaching those of solid wood. A continuing objective of wood materials engineering is to find ways of reducing both resin content and density while maintaining high strength.

Materials with high-strength properties can be produced in sheet form to serve as plywood-type panels, or the sheet can be ripped to serve as lumber-type members of practically unlimited length. The fact that this goal can be achieved with wood otherwise unsuitable for the more conventional lumber and plywood materials adds greatly to the technical triumph.

Important refinements in controlling the properties of wood materials come from the geometry of the wood element. Figure S shows typical strengths achieved by three elements, flakes, particles and fibres, compared to solid wood of Douglas fir, the strength of which may represent a goal of sorts. For example, flakes produce high modulus of rupture and modulus of elasticity, but low values in tension perpendicular to the surface. Particles, on the other hand, produce high values in tension perpendicular to the surface, but low values in the other two properties. These and other elements combined in layers, as illustrated in Figure 6, provide an effective means of bringing the best feature of each to bear in the same product.

Ingredients and tools

From the foregoing it is evident that the ingredients and tools for the synthesis of wood materials are now at hand and have, in fact, already been utilized to some degree. It is fortunate indeed that in all areas where some form of synthesis is practiced, wood technologists, engineers and other scientists have been directly involved. They have staffed quality control laboratories and in many respects have served unknowingly as materials engineers. Their work has included the maintenance of product properties and the development of information relative to new raw material sources-a task that becomes ever more important as conventional timber sources become stretched to their limit.

It is evident also that all work to date has served only to expose the tremendous opportunities that lie in the future. More intensive application of synthesis techniques will bring many of these to fruition in time for wood to play a new role in the total materials picture.

It has been shown that materials engineering is a discipline, the principles of which can readily be applied to wood in the development and improvement of new materials of biological origin. The many basic wood elements combined with a host of processing variables provide a wide latitude for the synthesis and study of at least several thousand new product concepts. In some cases, engineering properties will exceed the best that nature provides in the raw timber.

6. Layering technique illustrated with flakes particles. Left: particle surfaces, flake core.

6. Layering technique illustrated with flakes particles; Right: flake surfaces, particle core.

Improved performance

The technical triumphs thus achieved will place wood among the honoured members of the family of manmade materials. From this position, wood will be better able to fulfil the needs of people in an advancing technological age. As a material based on a renewable resource, the new products will carry a larger burden as they replace materials based on depletable resources. This may be considered a substitution of one for the other. However, historically, materials such as metals and plastics actually replaced wood in many instances, doing so either on the basis of scarcity of wood, or because of certain technical deficiencies of wood. Hence, the return of wood, so to speak, must be on the basis of improved performance - a requirement now technically possible.

Technical triumph notwithstanding, the greatest gain to be achieved by the age of wood materials engineering is neither technical nor intellectual. It will be the new capability provided for reordering the consumption patterns of materials, so as to ensure for future generations an adequate supply of materials derived from depletable resources. Some of these, already in short supply, provide unique properties and serve critical functions in everyone's life. Consider, for example, a world without stainless steel. Wood cannot replace stainless steel, but it can replace other forms of iron where these are being used for purposes for which wood can serve as well.

For this reason, it seems incumbent upon those nations with substantial timber resources to foster accelerated support for programmer based on the new concepts of wood materials engineering. The immediate economic gains will be more than matched by improved living conditions for all future generations-and a new age of wood will have arrived.

References

GLESINGER, EGON. 1949, The coming age of wood. New York, Simon & Schuster.

MARRA, G.G. 1972, The future of engineered wood materials. Forest Products Journal, 22(9).


Top of Page Next Page