Indice Página siguiente


La edad de la ingeniería maderera

Es posible cambiar de raíz y controlar las características del recurso renovable más importante de la humanidad en el sector de la construcción. Así como los metales y los plásticos sustituyeron a la madera en el pasado, ésta a su vez puede sustituirlos gracias al aumento del rendimiento, a su costo y abundancia. Este es el texto del discurso de fondo pronunciado en la Consulta Mundial sobre Paneles a base de Madera que se celebró en Nueva Delhi en febrero de 1975.

G.G. Marra

G.G. Marra es Vicedecano de Investigación de la Escuela de Ingeniería de la Universidad del Estado de Washington, Estados Unidos.

Ingeniería de los materiales es un término que se está generalizando en todas las actividades relacionadas con el control de las características de los materiales. Por lo tanto, la ingeniería de los materiales supone una síntesis de diversos elementos básicos y el conocimiento de las variables de la elaboración que, sumados, determinan las características de todos los materiales artificiales.

La clave de esta definición es la «síntesis». Su mérito principal reside en que permite producir una vasta gama de materiales cuyas características se pueden ajustar, una a una, a las exigencias predeterminadas de cada aplicación. Además, mediante el control del proceso de producción, se pueden obtener materiales más uniformes y que inspiran mayor confianza. Tienen gran valor pare la economía mundial aquellos materiales corrientes cuyas características se controlan así, a saber, los metales, los plásticos, la cerámica, y otros muchos.

Como la madera es un material producido por los procesos biológicos de la naturaleza, siempre se ha supuesto que sus características escapan al control del hombre; pero esta suposición ya no tiene validez y, por lo tanto, es preciso combatirla con firmeza, pare que la madera pase a ocupar el lugar que le corresponde en el seno de la familia de los materiales artificiales.

Méritos de la madera

Hay imperativos importantes de nuestra época que exigen que se reconozcan pronto los méritos especiales que tiene la madera en lo que se refiere al control de sus características. Estos imperativos tienen relación con el total de los recursos, agotables o no, que hay en el mundo y con las proyecciones de la demanda en el futuro.

Sin entrar en detalles, baste agregar que son muchos los grandes pensadores que abogan por la conservación, en una u otra forma, a fin de que todos puedan mantener o alcanzar un nivel de vida suficiente, ahora y en los siglos venideros. Con este razonamiento se llega a la conclusión de que, lisa y llanamente, los materiales hechos con recursos renovables tendrán que soportar un mayor peso y serán la base de las aspiraciones tecnológicas de las generaciones futuras. Tratándose de materiales de construcción, el único recurso de este tipo es la madera.

Hay otros fuertes imperativos relacionados con la energía y con el medio ambiente. En uno y otro cave se comprueba que la madera tiene mucho «espíritu de colaboración». El bosque es una fábrica que consume exclusivamente energía solar y, pare la ulterior elaboración de sus productos, se requieren cantidades de energía relativamente moderadas en comparación con otros materiales. Además, el bosque es una fábrica que crea un ambiente muy conveniente y, una vez más, su ulterior elaboración sólo produce repercusiones menores que se están eliminando poco a poco.

Dada la índole de estos imperativos, el reconocimiento de la capacidad de síntesis de la madera tiene lugar en un momento sumamente oportuno de la historia de la humanidad. La madera, no sólo servirá pare producir materiales nuevos y mejores, sino que lo hará en cantidades mucho mayores de lo que sería posible en otra forma. Cabe recordar que, si bien los bosques del mundo se pueden renovar a perpetuidad, la cantidad de madera que se puede cortar, sin desmedro de su productividad, en un momento dado, es finita. Es posible que esta afirmación sea más válida con respecto a algunos países que a otros, pero con el tiempo será igualmente válida pare todos. Por lo tanto, conviene considerar que el aumento necesario de la cantidad de productos de la madera tendrá que lograrse, en gran parte, dentro de los límites a que está sujeta actualmente la producción de madera en bruto.

La sección de laminado de una fábrica de madera contrachapada en México - Son muy numerosas las variedades de tableros emparedados

Por lo tanto, el ímpetu principal de la edad de la ingeniería de los materiales de madera se orienta hacia el logro de los siguientes objetivos:

- Obtener materiales de madera que tengan características mejores.
- Obtener de los recursos forestales un mayor rendimiento cuantitativo en materiales de madera.

Para que la madera asuma esta función de mayor peso con dignidad y respeto, es preciso primero lograr su aceptación como material cuya uniformidad, fiabilidad y utilidad son de un nuevo orden. Este mensaje debe llegar, no sólo a los que se ocupan de la madera en la teoría o en la práctica, sino también a los más altos niveles que ocupan los formuladores de la política de los materiales y los profesores de la ciencia de los materiales. Con este objeto y abrigando estas esperanzas, se redactó este trabajo.

En retrospectiva, no es nueva la aplicación del concepto de síntesis a la madera. Las características de la madera en relación con la ingeniería fueron objeto de un tipo de síntesis, aunque sin darse cuenta, cuando se laminó la madera aserrada y se puso especial cuidado en elegir y localizar las diversas calidades de madera dentro del miembro. Con la aparición de los ensayos no destructivos de la madera aserrada, el concepto de síntesis aplicado a la madera laminada permite obtener actualmente características de ingeniería superiores al promedio de cada uno de los elementos de que se compone. Este resultado se logró gracias al conocimiento de la distribución de los esfuerzos, bajo carga, al conocimiento de las características de los elementos de madera y de los adhesivos y al conocimiento de las variables de la elaboración.

ELEMENTOS MADEREROS BÁSICOS

1. Trozas

8. Virutilla de madera, o excelsior

2. Madera aserrada

9. Hebras de madera

3. Tablas delgadas - chapas gruesas

10. Partículas de madera

4. Chapas

11. Haces de fibras

5. Hojuelas largas chapas cortas

12. Fibra de papel

6. Astillas

13. Polvo de madera

7. Hojuelas

14. Celulosa

Elementos madereros básicos ordenados, de mayor a menor, según sus dimensiones. De los 14 elementos señalados, 10 se pueden hacer con residuos o con trozos que no sirven pare aserrar ni pare hacer madera terciada, pero todos pueden contribuir al desarrollo de nuevos conceptos de productos. (Con la autorización de Forest Products Journal.)

Esta es en esencia la base de la síntesis, que contrasta con su aplicación a todos los demás materiales sólo en un aspecto: las dimensiones del elemento básico. El elemento básico madera es relativamente grande en comparación con los átomos y las moléculas que entran en juego en las operaciones de síntesis de otros materiales. En todos sus demás aspectos, las acciones y sus resultados tienen contrapartidas idénticas, incluso en cuanto a la profundidad de la actividad intelectual. En efecto, como todas las síntesis de elementos de madera suponen adhesivos y fuerzas moleculares de adhesión, salta a la vista que las consideraciones, a nivel atómico, son una parte de vital importancia de la acción con madera. Además, los fenómenos de difusión del calor en los líquidos y en los gases constituyen aspectos importantes pare comprender la reología del sistema durante la transformación del material cuando pasa del estado suelto al estado consolidado.

EXTENDEDORES DE COLA DE MADERA TERCIADA EN ASIA: LA OPINION DE UN VISITANTE

En la 28º reunión anual de la asociación de investigadores madereros de América, celebrada en junio de 1974, Joe E. Robertson, Vicepresidente de la Robertson Corporation, Brownstown, Indiana, presentó una ponencia con sus observaciones acerca del empleo de extendedores de la cola en las fábricas de madera terciada de Asia que había visitado en 1973. El texto completo de la ponencia apareció en el número de noviembre de 1974 de The forest products journal, publicación de la asociación. El autor visitó fábricas del Japón, República de Corea, Filipinas y península de Malasia. A continuación, se dan a conocer el resumen y las conclusiones de la ponencia.

En Asia, por lo general, la industria de la madera terciada se. ha desarrollado con mucha rapidez en los últimos 25 años solamente. El personal asiático especializado en madera terciada fue muy acogedor, y se mostré deseoso de colaborar e intercambiar información acerca de las últimas novedades. Se trataba de fábricas grandes, con mucho personal y maquinaria moderna de alto rendimiento, que aprovechaban su capacidad instalada en gran medida.

Una de las más grandes fábricas de madera terciada que se visitaron se encuentra en la República de Corea. Su producción diaria era de 160000 planchas de 4 × 8 con 5500 trabajadores, mujeres jóvenes, casi la mitad.

La madera terciada que se produce en Asia es, en su mayor parte, de ¼ de pulgada (1 pulgada = 2,5 cm), y de 4 × 8 pies (1 pie = 0,30m). El Japón produce principalmente pare el mercado interno; en cambio, las otras plantas visitadas exportan a los Estados Unidos alrededor del 70% de su producción. Se emplean trozas, de diámetro muy grande, en comparación con las normas de los Estados Unidos, en su mayoría de lauán o maderas semejantes, provenientes de las Filipinas, Malasia e Indonesia.

Se observó que en Asia se emplean, en general, extendedores de calidad inferior a los de los Estados Unidos, por diversas razones. En muchas fábricas de varios países se emplean harinas de baja calidad debido, por ejemplo, a la política de compra del gobierno y a los subsidios de que gozan algunos cereales destinados a determinadas aplicaciones. Además, en Asia los reglamentos sobre los efluentes no son tan frecuentes como en los Estados Unidos. Por lo general, en los Estados Unidos la tecnología de las colas es algo más avanzada, y es económicamente más importante ahorrar mano de obra y tiempo de supervisión.

Los técnicos de las fábricas de madera terciada de Asia manifestaron mucho interés por obtener información sobre extendedores y expresaron que mejorarían la calidad tan pronto como fuera posible.

Se sacaron las siguientes conclusiones:

1. Los extendedores empleados en las Filipinas (Mindanao) eran de mejor calidad que los de la mayoría de las demás fábricas de Asia (harina de trigo blanco, con un escaso residuo de ceniza).

2. Los extendedores empleados en el Japón eran los de calidad más baja, debido en gran parte a la política del gobierno y a que el producto se destine principalmente al consumo interno (corrientemente se emplean chapas sin nudos, pero de baja calidad).

3. En la República de Corea la calidad del extendedor empleado está en relación con la del producto acabado, o sea, se emplean los mejores en las colas con que se trace la madera terciada de calidad superior. La calidad de los extendedores fluctúa entre la harina de trigo blando de alta calidad y los cereales forrajeros muy molidos.

4. Como en Asia estén mejorando los programas de control de calidad, el autor prevé un rápido mejoramiento de la calidad de los extendedores empleados en general.

5. El empleo de extendedores especiales de mejor calidad se generalizaré a medida que los técnicos de Asia vayan comprendiendo su importancia pare ahorrar resina y la necesidad de ajustarse a los reglamentos de control de la polución, que exigen reducirla a cero.

Ejemplo de madera terciada

Abundando sobre el concepto de síntesis, la madera terciada ofrece otro ejemplo sobresaliente de material de madera en el que, mediante la disposición deliberada de su elemento básico, la chapa, se logra obtener un panel cuya resistencia es igual en ambos sentidos y, algo que quizás sea aún más importante, material de construcción de madera en forma de panel. Gracias al proceso de síntesis, la madera terciada tiene una propiedad mucho mejor que los mejores logros de la naturaleza, a saber, la de no rajarse. Es también mayor su estabilidad dimensional. También en este cave, pare lograr el resultado, o sea esa verdadera acción de síntesis que en otra época no se había descubierto, es preciso conocer: el componente de madera, el adhesivo y las condiciones de la elaboración.

No conviene subestimar la importancia de este asunto de la síntesis, aunque sea relativamente académico. Las oportunidades de síntesis de los materiales de madera son ahora mayores que en ninguna otra época de la historia, gracias al número de elementos básicos de madera de que se dispone. Los estudios de laboratorio, que abarcan toda la gama desde los fundamentales a los aplicados, se pueden comparar, por lo intricados que son y por el alcance que tienen, con los de cualquier otro material. Son muy grandes las probabilidades de que estos esfuerzos permitan sacar a la luz nuevos materiales de gran utilidad. Como se explica a continuación, muchos de estos materiales principalmente elevarán el rendimiento del recurso forestal. Como muchas de las nuevas funciones previstas de la madera consistirán en su mayor importancia como material de construcción, el presente trabajo tratará principalmente de este aspecto del tema.

Comparación de la resistencia a la tracción de los elementos madereros, en la que se puede observar una depreciación de casi mil veces entre la estructura molecular natural y el elemento rectangular artificial empleado en construcciones y obras de ingeniería (abeto de Douglas).

1. Resistencia a la tracción

2. Tablero de hojuelas, visto de canto, antes y después de sufrir las tensiones de la humedad, en el que se pueden apreciar grandes pianos de debilidad, característicos de este elemento maderero (aumento: cinco veces).

Antes

Despues

La madera aserrada y las chapas son sólo dos de los elementos básicos de madera con que se cuenta en la actualidad pare iniciar con la madera actividades innovadoras de síntesis. En el Cuadro aparecen en total 14 elementos básicos de madera que, en parte, constituyen innovaciones relativamente recientes. Algunos de estos elementos constituyen descubrimientos y otros invenciones, pero en su conjunto dan la medida del gran progreso técnico y científico logrado en el sector de la madera. No hay dude de que aparecerán nuevos elementos de vez en cuando.

Los elementos se colocaron en orden de mayor a menor según su tamaño desde la troza o rollizos, que es el más grande, hasta la celulosa, que es el más pequeño. La celulosa, a pesar de ser uno de los principales componentes de la madera, en estado libre en realidad no es madera. Se incluye principalmente pare completar la capacidad previsiva del cuadro y señalar posibilidades de síntesis con otros elementos pare obtener quizá formas como las de las transparencias plásticas. La lignina se omite, a pesar de que experimentalmente se emplea como material plástico y posiblemente pronto atraerá la atención y despertará entusiasmo, si la investigación en el futuro logra establecer su potencial como adhesivo eficaz y barato. Se omite también la corteza, en parte porque por definición no es madera, y en parte porque las actuales investigaciones parecen indicar que merece su propio cuadro de elementos básicos de cuya síntesis nacerá una nueva familia de materiales de construcción.

Estos elementos se dieron a conocer en un trabajo anterior (Marra, 1972).

Nuevos elementos

Algunos son comunes a la industria maderera y otros, raros o experimentales. Además de la madera aserrada y de las chapas, se emplean mucho las hojuelas, las partículas y las fibras. Las astillas, que generalmente son un elemento intermedio de la generación de otros elementos, se han empleado experimentalmente como elemento propiamente tal. El excelsior o virutilla de madera pasó a la categoría de elemento cuando se combinó con aglutinantes inorgánicos pare producir tableros con propiedades acústicas y aislantes. La harina de madera merece ocupar un lugar en el cuadro en razón de su empleo en perfiles moldeados y como elemento de la superficie en otros tableros. Las hebras se idearon principalmente como elemento orientado, como se explicará más adelante. Hay dos elementos relativamente anómalos, las tablas delgadas o chapas gruesas y las hojuelas largas o chapas cortas, que tienen un potencial que aún no se ha expresado bien. El primero, al parecer, está destinado a servir de elemento de laminación especial en la madera maciza, y el segundo, quizá, se empleará pare hacer paneles de construcción, orientado o dispuesto al azar.

Otro elemento que no figura en el cuadro son las denominadas «obleas» que son en realidad unas hojuelas muy gruesas. Quizá se pueda definir como un híbrido que se sitúa entre la astilla y la hojuela, salvo el hecho de ser más largo en el sentido del hilo. Su principal mérito consiste en que requiere una menor cantidad de adhesivo por su menor superficie total y, por ende, reduce al mínimo la energía de reducción.

3. Cómo ayudar a la naturaleza

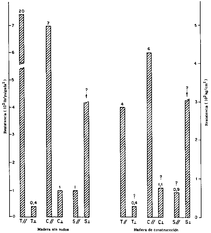
Comparación de la resistencia de la madera del abeto de Douglas a la tracción (T), a la compresión (C) y al cizalle (S), en sentido paralelo (//) y perpendicular (1) al hilo, ejemplo del aporte más precioso de la naturaleza y de su principal defecto. Comparando la madera sin nudos con la madera de construcción, se puede apreciar el ulterior impacto de la manipulación por parte del hombre. Obsérvese que T// es la que más sufre y que, en cambio, la resistencia a los demás esfuerzos disminuye muy poco, e incluso aumenta. Los signos de interrogación significan que no se conoce el valor especifico de este tipo de resistencia.

Volviendo al cuadro, cabe señalar que las trozas son un elemento no muy adaptable pare los efectos de la síntesis, porque no se combinan bien, ni entre sí ni con otros elementos. En su forma más rudimentaria (quizá no tan rudimentaria), los troncos sujetos con pernos forman un enrejado coherente muy estético en aplicaciones tales como, por ejemplo, puentes de ferrocarril. A pesar de lo dicho en el presente análisis del concepto aplicado a la madera, se descartan los troncos.

El factor más importante que se desprende del cuadro es la posibilidad de combinar elementos diversos pare obtener nuevos materiales. Las combinaciones más corrientes, tales como la madera terciada, el papel y los tableros de partículas, se encuentran hoy en día sólidamente atrincheradas en nuestra tecnología.

El potencial de los nuevos materiales se puede evaluar suponiendo que una combinación específica de elementos constituye un acontecimiento innovador valioso apenas se produce experimental o industrialmente. Estos acontecimientos, que se pueden denominar «conceptos de productos», suelen engendrar una galaxia de productos afines, que se basan todos en un mismo concepto.

Combinaciones posibles

Ahora bien, si se tiene en cuenta que estos conceptos de productos pueden surgir de la combinación de uno, dos o tres elementos, el número total de acontecimientos de este tipo se considera matemáticamente limitado. Eliminando los troncos y agregando los tres elementos comunes que no son de madera, a saber, los metales, los plásticos y los minerales, el total de combinaciones posibles, incluido un gran exceso aparente, es de 4913. Sin embargo, se justifica algo de exceso, dado que la orientación de los elementos provoca cambios tan drásticos de las características. Además, cambiando las proporciones de los elementos, su tamaño y su construcción interna, se obtienen productos generalmente diferentes. Por lo tanto, una estimación cautelosa del número de posibilidades válidas de conceptos de productos puede ser del orden de 3000.

Un estudio de todos los productos comerciales o en etapa experimental, conocidos actualmente, reveló que hasta la fecha sólo se han descubierto o utilizado alrededor de 64. Cabe observar que la madera aserrada, principal producto de este sector de la industria de acuerdo con esta definición, no reúne los requisitos de un concepto. Por lo tanto, aproximadamente el 98% de los conceptos de productos posibles están aún por formarse. Las obleas hacen aumentar mucho el número de conceptos posibles, lo mismo que cualquier otro elemento básico nuevo que se invente.

Cabe observar e insistir en que la mayoría de estos elementos básicos se pueden hacer con desechos de madera o con aquellos troncos que no sirven pare la producción de madera aserrada o terciada. Además, los elementos mas pequeños señalan la ruta lógica del reciclado de la madera virtualmente en cualquiera de sus formas. En base a este hecho, se puede alcanzar la segunda mete de la ingeniería de los materiales de madera, a saber, la de la obtención de los recursos forestales de un mayor rendimiento en materiales de madera. Estimaciones cautelosas señalan que se puede obtener de los recursos forestales el doble de materiales aplicando en mayor medida la tecnología actual.

4. Dos importantes variables

Gravedad específica

Contenida de resina (%)

La relación entre la gravedad especifica, el porcentaje de resina y la resistencia constituyen un ejemplo de dos importantes variables de elaboración, que siempre hay que especificar en la síntesis de los elementos de madera.

En base a este análisis, se puede afirmar, sin temor a equivocarse, que la edad de la madera la tenemos por delante, no se ha dejado atrás, y que la madera es objeto de la ingeniería de los materiales en el sentido más propio de este término. El futuro es mucho más brillante de lo que vislumbraba Egon Glesinger hace más de 20 años (Glesinger, 1949).

Las principales características de ingeniería de la madera obedecen a su estructura fibrosa, altamente organizada. A esta estructura se debe también el carácter anisotrópico de la madera, en virtud del cual sus características positivas se encuentran inseparablemente unidas a características sumamente negativas. Esta gran discrepancia de las características en sentido ortogonal es el suplicio de los ingenieros proyectistas que tratan de emplear madera en funciones críticas.

En la Figura 1 aparece la característica principal, la resistencia a la tracción al hilo, desde la molécula inicial hasta aquella tan disminuida con la que los ingenieros se ven obligados a trabajar. La especie elegida pare este estudio es el abeto de Douglas, del que se obtiene madera de alta calidad pare construcción en los Estados Unidos. Es interesante observar que la mayor pérdida de resistencia se produce por encima del nivel de fibra, debido a que las piezas rectangulares largas que necesita el hombre transforman características naturales, tales como los nudos y las fibras desviadas, en defectos naturales. Además, la variabilidad trace disminuir mucho el esfuerzo admisible según el cálculo estadístico.

Tableros de partículas

En vista de lo que precede, al parecer, el punto más indicado pare comenzar a aplicar a la madera los principios de la ingeniería de los materiales se sitúa al nivel de la fibra y más arriba. Esto coincide con un punto critico del crecimiento de la industria de los tableros de Partículas, fenómeno de alcance mundial que se observe desde trace apenas 30 años. Lo mismo que la madera aserrada laminada y la madera terciada antes, los tableros de partículas comenzaron como una operación de síntesis, tampoco reconocida como tal en este cave, que produjo muchas innovaciones, mejoras y modificaciones técnicas gracias al control de las variables de los procesos. Nació un nuevo género de materiales artificiales, que ahora se puede fomentar mejor aplicando sistemáticamente principios semejantes a los de la metalurgia, la cerámica y la química de los polímeros.

Se pueden obtener grandes ventajas, no sólo mediante la síntesis, sino también por ejemplo estudiando la mecánica de las fractures. Conocimientos de este tipo serían útiles tanto pare mejorar la operación inicial de fabricación de las partículas como pare comprender la estructura interna del material (Figure 2).

En la Figura 3 se ilustra el carácter anisotrópico de la madera desde el punto de vista de su resistencia en ciertas aplicaciones. Una vez más, la mayor discrepancia se presenta en la resistencia a la tracción en el sentido del hilo y perpendicularmente al mismo, ya que la diferencia, en la madera sin nudos del abeto de Douglas, es de casi 50 veces. Los defectos, en la madera aserrada de construcción, hacen disminuir drásticamente la resistencia a la tracción al hilo pero, si bien no se dispone de datos exactos, aparentemente ocasiona sólo pequeños cambios de las demás características.

Un conflicto técnico

A pesar de que la resistencia no es el único criterio aplicable al progreso de la ingeniería de los materiales de madera, es evidente el hecho de que hay un gran conflicto técnico tratándose de la estructura organizada de la madera. Dos problemas graves, la anisotropía y la variabilidad, se resuelven mediante la homogeneización de la estructura porque son inversamente proporcionales a las dimensiones del elemento. La madera maciza laminada y las chapas, por ejemplo, siguen siendo anisotrópicas, pero tienen un mayor grado de uniformidad (o sea, una menor variabilidad). Los elementos más pequeños dispuestos al azar provocan una isotropía bidimensional, y el grado de uniformidad es aún mayor. Los nudos y las fibras desviadas desaparecen completamente como factores que influyen en la resistencia. A nivel de fibra, comienzan a esfumarse incluso las diferencias entre especies. El logro de una isotropía tridimensional sigue siendo un desafío interesante pare los futuros ingenieros de materiales.

La isotropía y la uniformidad son progresos técnicos de gran significación, si bien se logran a expenses de las características de resistencia más importantes de la madera maciza. Se puede recuperar algo de dicha resistencia aumentando el contenido de resinas o la densidad, o ambas cosas. Como puede observarse en la Figura 4, todas las características de resistencia dependen en gran parte de estos dos factores. Quizás la forma más directa de recuperar la resistencia consiste en la orientación de los elementos. En los Estados Unidos y Europa desde trace varios años se han estado haciendo investigaciones sobre la orientación, y trace poco se inauguraron como procesos comerciales en ambos continentes. Se trata del invento más interesante de la industria maderera desde que aparecieron los tableros de partículas.

5. INFLUENCIA DE LA GEOMETRIA

Figure 1

Figure 2

Figure 3

Comparación de las características de tableros producidos con hojuelas, partículas y fibras del abeto de Douglas, en que se observa la influencia de la geometría sobre la resistencia del elemento maderero. El valor correspondiente a la madera maciza es un objetivo que se espera alcanzar, gracias a la investigación, en el futuro.

La orientación trace aumentar la resistencia, cuesta poco o nada y se puede controlar en el grado deseado. La isotropía se pierde, pero se conserve el control de la variabilidad de la madera. La orientación sumada a una gran cantidad de resina y a una densidad elevada produce resistencias casi iguales a las de la madera maciza. Sigue siendo un objetivo de la ingeniería de los materiales de madera el descubrir la manera de aminorar la cantidad de resinas y la densidad sin desmedro de la resistencia.

Se pueden producir materiales con características de gran resistencia, en forma de planchas, que se pueden emplear como madera terciada, o dividir pare hacer miembros como los de madera maciza de longitud prácticamente ilimitada. El hecho de que esto se pueda lograr con maderas que no sirven pare producir los materiales clásicos, o sea, madera maciza y terciada, trace que sea más grande este triunfo de la técnica.

Refinamientos importantes de control de las características de los materiales de madera se logran en base a la geometría de los elementos de madera. En la Figura 5 pueden observarse algunas resistencias típicas que se logran con tres elementos, a saber: hojuelas, partículas y fibras, comparadas con la madera maciza del abeto de Douglas, cuya resistencia podría servir pare hacer la comparación. Por ejemplo, las hojuelas producen un alto módulo de ruptura y de elasticidad, pero una baja resistencia a la tracción perpendicular a la superficie. Las partículas, por su parte, producen una alta resistencia a la tracción perpendicular a la superficie, pero valores bajos con respecto a las otras dos características. La combinación de éstos y otros elementos en capes, como se ilustra en la Figura 6, constituye un método eficaz pare reunir, en un solo producto, las mejores características de cada uno.

De lo que precede es evidente que los ingredientes y las herramientas necesarios pare la síntesis de los materiales de madera están a la mano y, de hecho, ya se han utilizado en cierto grado. Es una suerte en realidad el que, en todas las áreas en las que se procede a la síntesis en alguna forma, han participado directamente tecnólogos de la madera, ingenieros y hombres de ciencia. Ellos componen el personal encargado del control de la calidad en los laboratorios y, en muchos caves, sin darse cuenta han actuado como ingenieros de materiales. Su labor abarca el mantenimiento de las características de los productos y el suministro de información sobre nuevas fuentes de materia prima, función cuya importancia aumenta a medida que se llega al límite de la utilización de las fuentes de madera clásicas.

6. Ejemplo de técnica deformación de las capas, empleando hojuelas y partículas. A la izquierda: caras de tableros de partículas, alma de tablero de hojuelas; a la derecha: caras de tableros de hojuelas, alma de tablero de partículas.

Es también obvio que la investigación realizada hasta la fecha sólo ha servido pare poner de manifiesto las inmensas oportunidades que habrá en el futuro. Una aplicación más intensa de las técnicas de sintesis permitirá aprovecharlas oportunamente pare que la madera desempeñe una nueva función dentro del cuadro global de los materiales.

Se ha demostrado que la ingeniería de los materiales es una discipline cuyos principios se pueden aplicar directamente a la madera pare crear nuevos materiales de origen biológico o mejorar los actuales. Los muchos elementos básicos de la madera, combinados con un gran número de variables de elaboración, ofrecen un vasto campo a la síntesis y al estudio de, por lo menos, varios miles de nuevos conceptos de productos. En algunos caves, sus características de ingeniería serán superiores a las mejores de la madera bruta tal como se encuentra en la naturaleza.

Mejora de las características

Los triunfos técnicos así alcanzados colocarán a la madera entre los miembros de honor de la familia de materiales artificiales. Desde esta posición, la madera podrá satisfacer mejor las necesidades de la población, en una era de progreso tecnológico. Como materiales derivados de un recurso renovable, los nuevos productos tendrán que soportar un mayor peso, ya que reemplazarán a los materiales derivados de los recursos agotables. Se puede considerar esto como una sustitución de unos por otros. En efecto, a través de la historia, materiales tales como los metales y los plásticos han reemplazado realmente a la madera en muchos casos, ya sea por escasear ésta o por adolecer de algunas deficiencias técnicas. Por ende, el regreso de la madera, por así decirlo, deberá basarse en el mejoramiento de sus características, exigencia técnicamente posible ahora.

No obstante los triunfos técnicos, la mayor ventaja que se logrará, en la era de la ingeniería de los materiales de madera, no es ni técnica ni intelectual, ya que consistirá en la capacidad de reestructurar el consumo de materiales, a fin de que las generaciones futuras dispongan de una cantidad suficiente de aquellos que se derivan de los recursos agotables, algunos de los cuales, ya escasos, tienen características únicas y desempeñan funciones decisivas en la vida de cada persona. Baste pensar, por ejemplo, en un mundo sin acero inoxidable. Es cierto que la madera no puede reemplazar al acero inoxidable, pero sí puede reemplazar al hierro en algunas aplicaciones.

Por este motivo, parece que corresponde a aquellos. Estados que tienen grandes recursos madereros patrocinar sin pérdida de tiempo programas que se basen en los nuevos conceptos de la ingeniería de los materiales de madera. Así, no sólo se obtendrán ventajas económicas inmediatas, sino que las generaciones futuras podrán mejorar sus condiciones de vida con el advenimiento de una nueva edad de la madera.

Bibliografía

GLESINGER, EGON. 1949 The coming age of wood, Nueva York, Simon & Schuster.

MARRA, G.G. 1972 The future of engineered wood materials. Forest Products Journal, 22(9).


Inicìo de página Página siguiente