Standing with the principles of the 2003 CAP reform, i.e., decoupling of direct producer support, the EU is planning to reform the current CMO of cotton, along with those of olive oil, tobacco, and hops. The overall orientation for cotton is towards a mix of non trade-distorting (green box) and less trade-distorting (blue box) forms of support that will minimize the already marginal impact of EU cotton on the world market. Priority is given to producer income and not to product support through the transfer of a significant part of the current production-linked direct payment to a single farm payment scheme. As a result the support for cotton would be largely decoupled. That is, the largest part of current support will be decoupled based on historical references for the period 2000-2002 (reference period), but a specific coupled payment would also be maintained. This is expected to weaken, but definitely not eliminate, the link between eligibility for direct payment and production decision.
The decoupling of direct producer support and the introduction of the single payment scheme are essential elements in the process of reforming cotton regime aimed at moving away from a policy of price and production support to a policy of farmer income support. This policy switch is expected to increase the transfer efficiency of the direct payment as an income support mechanism, and eventually should lead to an improvement in the income situation of cotton producers. However, a complete integration in the single payment scheme of the current support scheme would bring a significant risk of production disruption to the cotton produce regions of the EU. Thus a part of the support should continue to be linked to the cultivation of cotton.
The new arrangements, which will apply as from the 2005-2006 crop year, would be budgetary neutral compared to past expenditure. The budget destined to cover the new cotton policy regime is established on the basis of the average expenditure on aid to this sector in the reference period (2000-2002), reduced by the amount that was received by the ginners but not necessarily transferred to the producers. The total amount to be reduced from the average budget spent on production aid during the reference period is €107.7 million. With a total average budget of €803 million, the total amount to be allowed for the new arrangements is €695.8 million. From this, €504 million will be distributed to Greece, €190.8 million to Spain, and the rest to Portugal.
This budget will be used to finance the single farm payment scheme and the area payment, which will be the new production aid scheme. The single farm payment scheme, which operates as a fully decoupled direct income aid, would account for 60 percent of total support payments. The budget available for the single farm payment scheme is in total €417.3 million, of which €302.4 million would be for Greece and €114.5 million for Spain. The single farm payment will take the form of new entitlements. The entitlements per producer will have to be calculated on a basis of the eligible area under cotton in the 2000-2001 to 2002-2003 crop years. In order to be eligible, land should be located on agricultural areas authorized by each Member State for cotton production, sown under authorized varieties and maintained at least until the boll opening under normal growing conditions. On average, this land amounts to 469 816 ha, of which 380 436 ha is in Greece and 89 023 ha is in Spain. This implies that the single farm payment in respect to eligible areas should be calculated on the basis of €795 per ha in Greece and €1 286 per ha in Spain.
The remaining 40 percent of the total budget will be used the new area payment to producers. This corresponds to €278.5 million, of which €202 million is in Greece and €76.3 million in Spain. The total budget available to the area payment has been fixed in order to (1) allow cotton production to continue, on a reduced area, with a gross margin similar to that of competing crops, (2) provide environmental compliance with EU legislation, (3) enhance the quality of cotton produced, and (4) ensure budget neutrality. As a result, the aid per hectare will vary according to the total area used by each Member State, which will depend on world prices.
The new area payment will be subject to a maximum area per Member State, which reflects the rates of past developments in cotton areas and the difference in the average overshoot of the NQG since 1995. For Greece, the maximum area is set at 340 000 ha, 11 percent less than the average eligible areas for the period 2000-2001 to 2002-2003. For Spain, the maximum area is set at 85 000 ha, 5 percent below the average eligible area for the period 2000-2001 to 2002-2003. Given these and the fixed budget available for the area payment scheme, the aid per hectare would be €594 in Greece and €898 in Spain. However, in the case the eligible area under cotton exceed the maximum area, the aid per hectare would be reduced proportionally.
In order to enhance the quality of cotton produced, it is proposed that half of the area payment could be differentiated according to inter-branch scales, rewarding production deliveries in quantity and quality terms. This could result in some producers getting an amount of production aid per hectare higher than the unit amount due to their production of high quality cotton, while other less efficient producers could receive a lower amount, following a pre-specified frame of common criteria. Each inter-branch organization could be made up by cotton producers and at least one ginner, and it should cover an area of at least 20 000 ha. After approved by each Member State, it would be financed by its members and by a EU grant of €10 per hectare.
The proposed policy regime is analyzed in Figure 2, where current equilibrium is at point a with P being the minimum price and Q the actual production of cotton. This reflects the situation during the reference period where the NQG was violated in both Greece and Spain and the corresponsibility levy mechanism (depicted as before by the kinked demand curve) was activated to result in P instead of the guide (target) price PT. Under these circumstances, producers' surplus is equal to the area PaeO, the cost of support is equal to the area PahPW, and the deadweight loss is equal to the area afh. In the following analysis, this constitutes the benchmark for evaluating the proposed policy regime in terms of its impact on producers' income and on the TES.
However, before proceeding to these tasks, it is necessary first to convert all policy variables discussed previously from a per hectare to a per tonne basis in order to be compatible with Figure 2. The necessary calculations reported in Table 3 are based on an average yield of 3.2 t/ha during the reference period. Thus the per hectare direct income aid of €795 and €1 286 for Greece and Spain is respectively equivalent to €248.4 and €401.9 per tonne. Accordingly, the per hectare payment of €594 and €898 for Greece and Spain is respectively equivalent to €185.6 and €280.6 per tonne. Similarly, the amounts of eligible and maximum areas can be converted into output requirements using the same average yield estimates. Given that eligible land is determined by the average land cultivated with cotton during the reference period, it is assumed that the corresponding output level coincides with observed output, namely Q. On the other hand, the output corresponding to the maximum area, denoted by Qm in Figure 2, is calculated respectively as 89 percent and 95 percent of Q for Greece and Spain. Implicit in this calculation is the assumption of no yield effect from reducing the amount of land seeded with cotton.
Let then the per tonne equivalent of the single farm payment, which is 60 percent of the overall support, be Pc in Figure 2. Since the single farm payment is implemented in the form of entitlements corresponding to average production during the reference period, its budget cost is equal to the area Pabc. This is a fully decoupled income transfer to cotton growers and consists part of farm income under the proposed regime.
The new area payment, on the other hand, is viewed as an input subsidy that shifts the supply curve of land downwards and results in a decrease of the rental price of land. This will eventually increase the quantity of land used in cotton production. The area payment is a subsidy targeted to one factor of production while market price support (i.e., the present policy regime) may be viewed as a subsidy spread more or less evenly across all inputs. The area payment will have ceteris paribus less effect on output as long as the elasticity of supply of land is less than the elasticity of the supply of non-land inputs (OECD, 2001a). However, in the context of the proposed policy regime, the total budget for the area payment is fixed and corresponds to a quantity of land below the current equilibrium level. This differentiates the new area payment from a conventional input subsidy. Moreover, as the amount of land used in cotton production exceeds or falls short of the maximum area, the per unit area payment adjusts accordingly to retain the total cost of production aid constant.
This particular feature of the new area payment give rise to the effective (or policy induced) supply curve named S' in Figure 2. While an ordinary input subsidy will result in a parallel shift of the output supply curve, in the present case the shift is divergent for lower prices. This divergent shift ensures however that the total budget cost of the production aid scheme remains unchanged. At relatively low prices, farmers decide to cut down production and therefore, land sown with cotton and thus the per unit area payment increases because the fixed budget cost of the production aid should be divided into fewer hectares. At relatively high prices, farmers decide to increase production by increasing land use and consequently, the per unit area payment decreases to keep the total budget cost unchanged.
Among these prices, there is one denoted by
in Figure 2 that in the
presence of the area payment result in the amount of output Qm
corresponding to the maximum area. Then dg=Pc gives the per tonne
equivalent of the area payment corresponding to the maximum area assigned to
each Member State. The divergent shift of the effective supply curve S'
ensures that, as cultivated land exceeds (fall short) of the maximum area, the
per unit area payment decreases (increases) proportionally.
To evaluate the welfare implications of the area payment
scheme, which is a production-linked support, we should have some information
regarding the world price. Three alternatives are considered. First, let
the world price coincides with
. Then the area cdeO
corresponds to producers' surplus and the total budget cost of the area payment
scheme is equal to the area
. Second, if the
world price happens to be higher than
, the cultivated land will
exceed the maximum area. For example, at PW, producers'
surplus equals the area mneO and the total budget cost of the area
payment scheme is equal to the area mnkPW. Third, if
the world price happens to be lower than
, the cultivated land will
be less than the maximum area. For example, at
, the area rieO is
the measure of producers' surplus and the area
is the total budget cost of
the area payment scheme. Notice that by construction
.
Then, to compare farm income under the present and the
proposed policy regime, we should add the fully decoupled income aid, which is
equal to the area Pabc. That is, at
, total farm income with the
new policy regime is equal to the area cdeO+Pabc. Compared that with
PaeO, which is producers' income under the present policy regime, it can
be seen that there is a net gain to producers equal to the area abd. At
PW, total farm income with the new policy regime is equal to
the area mneO+Pabc and when it is compared to PaeO results in a
net gain to producers equal to the area abd+mndc. As expected, the gain
to producers due to the area payment increases with higher prices and this
increases farm income. At
,
total farm income with the new policy regime is equal to the area
rieO+Pabc and when it is compared to PaeO results in an area of
abd-cdir, which may be positive or negative. If this difference is
positive there still is a net gain to cotton growers, but if this difference
becomes negative producers will see their income reduced under the new policy
regime. Thus, for relatively low prices, there is a possibility that cotton
growers will be harmed from the new policy regime.
The budget cost of the proposed policy regime (single farm
payment plus area payment), i.e., Pabc +
cdg
, is definitely lower
than the budget cost of the present policy regime, i.e.,
Pah
, by the area
dbhg. As we have already mentioned, the cost of the proposed regime
remains unchanged regardless of the world price because the single farm payment
is independent from current production and the budget cost of the area payment
is fixed.
On the other hand, the deadweight loss associated with the
proposed policy regime is going to be lower than that of the present regime, at
least for prices greater than or equal to
. It is clear that under the
proposed regime deadweight loss result only from the coupled scheme of area
payment. At
the deadweight
loss is equal to the area dgf, at PW is equal to the
area lnk, and at
is
equal to the area ist. Compared that with the deadweight loss of the
present regime, i.e., afh, it can be seen that there is an increase in
TES as long as the observed price is greater than or equal to
. For the same to be true
for prices lower than
it
should be true that fust-ahui<0.
Simulation results over the reference period are used to provide quantitative estimates of these welfare changes. The reference period is chosen instead of a future period because of the high variability of the ginned cotton price, which makes forecasting of the world price of unginned cotton price rather uncertain and difficult. Using the reference period as a benchmark requires simulation of output levels at prices resulting from the proposed policy regime and at supply function parameters determined by the actual price and quantity data. Then, comparison of welfare measures under these two scenarios could provide some indications about the impact that the proposed policy regime might have had if it had been in effect during the reference period.
The following simulation results are based on a linear supply
function of the form
, where
a and b
are parameters. The law of supply requires b³0, but parameter
a can be negative, zero, or positive
depending upon the supply elasticity is less than, equal to, or greater than one
(Martin and Alston, 1997; Elbasha, 1997). A simple calibration technique is used
to calculate (rather than estimate) these supply function parameters for each
crop year of the reference period. In particular, it can be shown that b = (1/e)(P/Q) and
a = P(1-1/e), where e
is the elasticity of supply. Then, information on (observed) price and quantity
data and estimates of supply elasticity are sufficient to recover the supply
curve for each crop year. For any given value of supply elasticity, the
parameter values of a and b vary from year to year according to the observed
price and quantity data.
Even though there are several empirical studies reporting estimates of cotton supply elasticity for Greece, such information is to the best of our knowledge scarce in the case of Spain. Estimates of short- and long-run cotton supply elasticities for Greece are reported in Table 5. All estimates are less than one, indicating a price inelastic supply of cotton. Following Karagiannis and Pantzios (2002), a relative small (0.35) and a relatively large (0.70) value have been chosen for the simulation exercise to provide a kind of a lower and an upper bound of welfare changes. In the case of Spain, an elasticity of 1.2 used by Herruzo (1992) is considered as unrealistic and in the presence of no empirical evidence or more accurate estimates, the same set of elasticity values as for Greece is used.
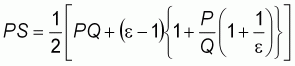
For an inelastic linear supply function, as that implied by the available cotton supply elasticity estimates, producers' surplus is determined by the area between the horizontal axis, the supply curve and the price line (Martin and Alston, 1997; Elbasha, 1997). In this case, the supply curve intercepts the horizontal axis resulting in a negative intercept term (a<0). Formally, producers' surplus (PS) is defined as:
(1)

Thus the area below the horizontal axis is not considered as part of producers' surplus. Producers' surplus changes regarding Figure 2 have taken this into account.
Given the observed price and quantity data (reported in the first two columns of Table 6) and the estimates of supply elasticity, the supply curve denoted by S in Figure 2 can be recovered and estimates of PS under the present policy regime can be obtained. The latter are reported in the first column of Table 7. Then, the deadweight loss (DWL) of implementing the present policy regime is calculated by the difference between taxpayers' cost and PS; these results are reported in the second column of Table 7. Finally, TES of the present policy regime, expressed in percentage terms, is given by the ratio of changes in PS to taxpayers' cost, and is reported in the third column of Table 7.
However, further complications arises in the case of welfare measures under the proposed policy regime because it is more difficult with the given information to recover the effective supply curve denoted by S' in Figure 2. Instead it is easier to obtain estimates of PS under the proposed policy regime because the PS evaluated relative to S rather than S'. For any given world price, part of PS can be calculated by using P = a + bQ to predict QW and (1). To this it should be added however the income transfer via the area payment scheme, net of deadweight loss, and the fully decoupled income aid. Even though the latter is straightforward, the deadweight loss associated with the area payment should be calculated.
In that respect we proceed as follows: for each crop year it is known that AT*Q'=B, where AT stands for the per tonne equivalent of area payment, Q' is the quantity supplied in the presence of area payment, and B is the fixed cost of the area payment support. In addition, Q' = QW + DQ, where DQ is the additional output induced by the area payment. Then,
(2)

consists of an equation with two unknowns, namely AT and DQ. However, from Figure 2 it is clear that
(3)

The system of equations (2) and (3) is solved simultaneously to determine AT and DQ and then Q'. These results are reported in the fourth and the fifth columns of Table 6 and the corresponding PS, DWL and ITE measures are reported in the fourth, fifth and sixth columns of Table 7.
Calculation of Q' is also essential for recovering the
effective supply curve S'. The pairs of the relevant world prices and
Q's correspond to point such as k, g or s in Figure
2. As long as the effective supply curve S' is also approximated by a
linear curve, an additional point, other than as k, g or s,
is sufficient for recovering its exact equation. In this instance, point
e (where the supply curve S intersects the horizontal axis) is
useful given that B is by definition fixed. The latter implies that the
distance ez can easily be calculated. Then, the recover of the linear
effective supply curve S' is straightforward. This in turn allows
calculation of
, which are
reported in the last column of Table 6.
The simulation results are reported in Tables 6 and 7. As was expected, the proposed policy regime would have resulted in a lower production in both countries. Depending on the elasticity of supply and the crop year, the difference in quantity supplied between the two policy regimes is in the range of 9.4 percent to 25.8 percent for Greece and in the range of 10.9 percent to 27.6 percent for Spain. On average (over the reference period), the predicted reductions in Greek cotton production are in accordance with the EU calculations when the elasticity of supply is 0.35, while for Spain they are greater than the EU calculations for both values of supply elasticity used. In any case, however, the percentage reduction in quantity supplied is positively related to the magnitude of supply elasticity.
For both Greece and Spain, the predicted per tonne equivalent unit area payment varies around the EU calculations when the elasticity of supply is assumed to be 0.35. In all but one case it is greater when the elasticity of supply is assumed to be 0.70. Whenever it is estimated to be greater (lower) than the benchmark proposed by EU, production of cotton would have been lower (greater) than that corresponding to the maximum area, for the observed yields. On the other hand, in all but one case, is found to be greater than the corresponding world price. This gives rise to the third case considered in the analytical framework section, where the outcome with respect to producers' surplus is ambiguous. However, as the results in Table 7 indicate, in all but one of these cases there is an increase in producers' surplus.
According to the simulation results, in all but two cases (one for each country) cotton growers would have been better off with the proposed policy regime (see Table 7). This means that their calculated producers' surplus is greater under the proposed policy regime. Exceptions are the 2002/03 crop year for Greece and the 2001/02 crop year for Spain, when the supply elasticity is assumed to be 0.35. In the former case, cotton producers are expected to lose a small portion (4 percent) of their income measured in terms of producers' surplus. In the latter case, on the other hand, the change in producers' surplus is equal to zero and thus their income is essentially the same under the two policy regimes. Nevertheless, by taking an average over the reference period (2000-2003), cotton producers in both countries would have been better off. For the values of supply elasticity assumed, the magnitude of the average change in producers' surplus is 3.6 percent and 12.1 percent in the case of Greece, and 6.1 percent and 16.8 percent in the case of Spain. These results confirm the EU expectation that the proposed policy regime will enhance farm income of cotton producers. From the results reported in Table 7, it is also clear that the changes in producers' surplus are positively related to the elasticity of supply.
On the other hand, there would be a substantial reduction in deadweight loss with the proposed policy regime. According to the results reported in Table 7, the calculated deadweight loss under the proposed policy regime is expected to be only one fifth of that accruing under the present policy regime. This is related to both the lower level of support and the decrease in cotton production. In absolute terms, the reduction of deadweight loss allows significant savings in taxpayers' cost of farm support under the proposed policy regime. However, it should be noticed that the deadweight loss associated with the area payment scheme couldn't be eliminated since it is a production-linked measure. In contrast, the deadweight loss of the fully decoupled income aid is by definition equal to zero.
In addition, there would be a substantial increase in TES with the proposed policy regime. According to the results reported in Table 7, the TES of the present policy regime over the reference period is in the range of 75.9 to 91.2 percent in the case of Greece, depending upon the values of the supply elasticity and the crop year, and in the range of 73.9 to 89.3 percent in the case of Spain. These estimates increase to the range 93.5 to 98.2 percent for Greece and 92.6 to 97.6 percent for Spain under the proposed policy regime. It should be noticed that in the calculation of the TES under the proposed policy regime both the income and the production aid have been taken into account. In this case then the overall TES may be viewed as a weighted average of the TES of the single farm payment and the area payment, with the former being by definition equal to 100 percent. This partly explains the increase in TES under the proposed policy regime.
Estimates of the PES for the two policy regimes are reported in Table 8. Based on the above discussion, it is clear that the PSE under the proposed policy regime will be greater, with of course the two exceptions referred to previously. The results in Table 8 confirm this assertion. This should be expected, even though taxpayers' costs are lower under the proposed policy regime, because the estimated deadweight loss under the present policy regime is significantly higher. But the PSE does not equal the sum of production and income aid because of the deadweight loss accruing from the area payment scheme.
Finally, the rate of decoupling under the proposed policy regime has been calculated using Cahill's (1997) methodology. The relevant figures are reported in the last column of Table 8. Following Cahill (1997), the rate of decoupling (DR) is defined as:
(4)

where Q1 refers to output supply if the proposed policy regime had a fully coupled form, Q2 to output supply when there is no policy intervention to compensate for the removal of market price support and Q3 to output supply under the proposed policy regime. For the purposes of this study, these output quantities refer to the reference period and are taken from the simulation results. In terms of Figure 2, Q1 = Q, Q2 = QW, and Q3 = Q'. From the estimates reported in Table 8, it can be seen that DR ranges from 0.48 to 0.60 in the case of Greece, depending upon the value of supply elasticity and the crop year, and from 0.46 to 0.58 in the case of Spain. These results indicate that the proposed policy regime is only partially decoupled.