CCP:TE 05/CRS 3 |
COMMITTEE ON COMMODITY PROBLEMS |
INTERGOVERNMENTAL GROUP ON TEA |
Sixteenth Session |
Bali, Indonesia, 20 – 22 July 2005 |
UPGRADING IN THE INTERNATIONAL TEA SECTOR: A VALUE CHAIN ANALYSIS – REFERENCE TABLES |
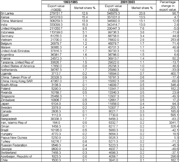
Table 1. Global Tea Trade – Top 40 exporting countries
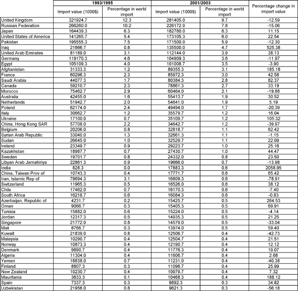
Table 2. Global Tea Trade – Top 50 importing countries

Table 3. Value of tea imports to the EU, by market category – 1993/1995 and 2001/2003

HS codes: 090210: Green tea in packings <= 3 kg; 090220: Green tea in packings > 3 kg; 090230: Black tea in packings <= 3 kg; 090240: Black tea in packings > 3 kg; 210120: Extracts, essences, concentrates and preparations of tea or mate
Table 4. Upgrading performance for selected countries - Black Tea (HS: 090230)

HS codes: 090230: Black tea in packings <= 3 kg
Mi: market share (%)
Uv: unit value ($US/kg)
Quad: quadrant number (see figure 1)
Table 5. Upgrading performance for selected countries - Black Tea (HS: 90240)

HS codes: 090240: Black tea in packings > 3 kg
Mi: market share (%)
Uv: unit value ($US/kg)
Quad: quadrant number (see figure 1)
Table 6. Upgrading performance for selected countries – Green Tea (HS: 090210)

HS codes: 090210: Green tea in packings <= 3 kg
Mi: market share (%)
Uv: unit value ($US/kg)
Quad: quadrant number (see figure 1)
Table 7. Upgrading performance for selected countries – Green Tea (HS: 090220)

HS codes: 090220: Green tea in packings > 3 kg
Mi: market share (%)
Uv: unit value ($US/kg)
Quad: quadrant number (see figure 1)
Table 8. Upgrading performance for selected countries – Instant tea or mate (HS: 210120)

HS codes: 210120: Extracts, essences, concentrates and preparations of tea or mate
Mi: market share (%)
Uv: unit value ($US/kg)
Quad: quadrant number (see figure 1)
References:
Aiginger, K. “Europe’s position in quality competition: Background report for the European competitiveness report 2000.” Enterprise Papers No4. Luxembourg: European Communities. 2001.
Anderton, R. “Extra-euro area manufacturing import prices and exchange pass-through.” Working paper No.219. European Central Bank. 2003.
Celi, G., and A. Smith. “Quality differentiation and the labour market effects of international trade.” Brighton: University of Sussex. 2003.
Gibbon, P. “Commodities, donors, value-chain analysis and upgrading.” Paper prepared for UNCTAD. Danish Institute for International Studies. 2003.
Kaplinsky, R., and J. Readman. “Globalisation and upgrading: what can (and cannot) be learnt from international trade statistics in the wood furniture sector.” Institute of development studies, University of Sussex, and Centre for research in innovation management, University of Brighton. 2004.
Schott, P.k. “Across-product versus within-product specialization in international trade.” Yale school of management. 2002.
Stout, D. et al. “International price competitiveness, non-price factors and economic performance.” National Economic Development Office: London. 1970.