![]() | FOOD AND AGRICULTURE ORGANIZATION OF THE UNITED NATIONS | ESN: FAO/WHO/UNU/ EPR/81/1 August 1981 |
![]() | WORLD HEALTH ORGANIZATION | |
![]() | THE UNITED NATIONS UNIVERSITY |
Item 2.1.1. of the Provisional Agenda
Joint FAO/WHO/UNU Expert Consultation on Energy and Protein Requirements
Rome, 5 to 17 October 1981
ADAPTATION TO DIFFERENT ENERGY INTAKES :
the mechanisms, extent and social consequences
by
W.P.T. James
Dunn Nutritional Laboratory
Cambridge
Since the last Committee considered the problem of energy requirements in 1971 there have been a number of studies which have highlighted the capacity of the body to adapt to and compensate for alterations in energy input. These studies deal particularly with adaptation to overfeeding: no new evidence has emerged on the range of physiological adaptations to underfeeding to alter the concepts delineated by Benedict et al. in 1919 and by Keys et al. in their classic Minnesotta semi-starvation study. There have, however, been many studies which give a clearer picture of the mechanisms underlying the fall in energy output.
The range of adaptation
The Keys' study showed that adult man responds to semi-starvation over a period of several months until he comes once more into a steady state on only half the usual intake: energy supply before and at the end of the 24 weeks' semi-starvation was 14.5 MJ (3,468 kcals) and 6.6 MJ (1,570 kcals). In the last 4 weeks of semi-starvation weight was stable to within 0.5 kg. No other study has demonstrated adaptation so effectively and no formal comparable studies have been undertaken in women or in children. Grande (1964) has emphasised that adaptation is normally considered to include those adjustments in behaviour and in biochemical mechanisms which do not impair the body's function. This point is considered in more detail in Waterlow's submission on adaptation to this Committee.
Validity of techniques being used
When assessing the range of adaptation which seems to be possible in man, one needs to recognize that many of the studies which purport to demonstrate that adults can live on astonishingly low intakes are not backed by any validation of the measurement technique. They should, on this basis, be judged with considerable scepticism. When Ashworth (1968) studied a group of Jamaican farmers who, on the basis of measured food intake, were subsisting on surprisingly low intakes, she took the precaution of admitting them to a metabolic ward where it was observed that 8 of the 10 lost weight when provided with the same amount of food as that estimated from a week's food intake. Measurements of metabolic rates under basal, resting and active conditions confirmed that their true energy requirements were higher than originally estimated. Thus one needs a measure of 24 hr energy expenditure to validate intake or some other method, e.g. 24 hr urinary N and K as undertaken by Isaksson (1980).
The techniques of measuring input and output are well established but are rarely independently validated. If values for energy intake, measured for example by a 7-day weighed food and drink technique, are equivalent on a group basis to the energy values for expenditure calculated from activity diaries and measurement of metabolic rates, then it is less likely that there is a systematic error in the behaviour of the group or in the techniques being used. Such a concordance in values was found by Norgan et al. (1974) when assessing one group of male and female villagers in New Guinea but not another.
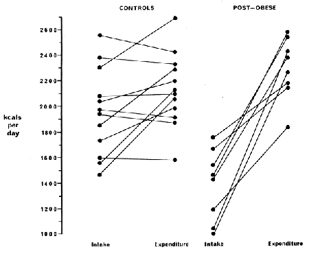
The higher energy intake than output in one grup but not another studied by the same investigators suggests that the behaviour of the group with the discrepant data was affected by the investigation; it is difficult then to assess whether excess walking to increase energy expenditure or reduced food consumption was primarily responsible. If the discrepancy is large, the low intake is most likely to be in error since otherwise the observed metabolic rates would demand that the subjects were normally very inactive and under almost basal conditions. An example of this is shown in a report recently published by York et al. where energy intakes are apparently equivalent to the basal metabolic rate. Fig. 1 also demonstrates this for a recently completed unpublished study by us where normal women were studied by three techniques, three weekly periods of weighed intakes measured every other week for 6 weeks, 2 activity diary weeks with numerous measurements of a minimum of 12 different states of activity, and continuous 24 hr urine collections for a fortnight to cover both food weighing and non-weighing periods to establish the validity of the techniques. These data were also collected on a series of “post-obese” women, i.e. those who had slimmed for 1–2 years to bring their weight down to near normal and then struggled to keep their reduced weight stable by restricting food intake below appetite. In the normal women intakes and outputs of energy matched but intakes were below output in the post-obese who also had higher urinary N and K. Thus the expenditure values are to be considered more reliable in this post-obese group. This example is given since there is little information provided in most studies on energy adaptation which allows an analysis of the validity of the measuring technique.
The response to semi-starvation
When energy intakes are reduced substantially, a number of mechanisms are normally considered to be affected and estimates of the changes are given in Table 1, which reproduces the summary of the physiological changes provided in the Minnesota monograph (Keys et al., 1950). It should be noted that physical activity has been calculated as the difference between intake and the sum of other measured components of energy output, and the specific dynamic action (SDA) is assumed to fall in proportion to the reduced energy intake. These assumptions are incorrect and will be considered in detail later.
Included in Table 1 are recalculated values from data provided by Norgan, Ferro-Luzzi and Durnin (1974) on New Guinea Kaula males. The same assumptions in calculating physical activity and SDA have been made in presenting their data for this table as were made in the Minnesota experiment. Energy turnover in the Norgan study is taken to be equivalent to the calculated energy expenditure and not to the lower figure of 8.1 MJ per day for energy intake. It is clear that the Kaul males are metabolizing very much more than the semi-starved volunteers in Minnesota and that their ‘basal’ metabolic rate was appreciably higher when expressed either in absolute terms or in relation to the fat free mass. On this basis it is doubtful whether the Kaul men could be considered to be adapted to restricted intakes although their data have been included amongst those groups quoted as seeming able “to exist in energy balance on astonishingly low energy intakes” (Durnin, 1979).
Table.2 reproduces a table given by Durnin (1979) to indicate some of the populations whom he describes as living on low energy intakes. The references are not given in this article but the Jamaican data relate to Ashworth's studies and the New Guinea data to Durnin's own data from Norgan et al. (1974). The data on the New Guinean coastal women, i.e. the Kaul women, suggest that their energy intakes, as quoted by Durnin (1979), were indeed low and in the same range as those found in the other studies shown in Table 2. Since Durnin's own investigations can be considered as some of the best work conducted on energy balance in free-living individuals on ‘low’ intakes, it would seem reasonable to examine these data in detail.
Table 3 compares the energy intake and expenditure values as given by Norgan et al. (1974). The slightly different size of the groups listed in the intake and expenditure columns does not affect the comparison because the authors themselves note that there was an appreciable discrepancy between intake and output. This discrepancy they discuss in detail without coming to a conclusion. The possibility of the lying metabolic rates being enhanced by anxiety is one possibility suggested by the authors since the subjects were measured lying on a table in a village laboratory. However, the villagers were accustomed to the investigators undertaking the practical work and both investigators are renowned for their quiet and tactful approach. The explanation may well be wrong, therefore, particularly as data for other groups proved to be consistent. By recalculating the authors' data on lying metabolic rates and expressing it as a 24 hr value it seems much more probable that the food intake data are in error. Even adjusting for body weight differences the recalculated intake of the women at 48 kg rather than at 45.5 kg still amounts to only 6.2 MJ.d-1 compared with a lying metabolic rate of 6.5 MJ. The individuals were described as moderately active and the energy cost of the various activities measured was appreciable, so it would be unrealistic to expect the intake values to be as low as they are. If the theoretical BMR is taken instead of the lying metabolic rate, then this amounts to 4.76 MJ.d-1 for the Kaul women which is indeed appreciably lower than the lying metabolic rate. Nevertheless this difference between lying metabolic rates measured quietly after food during the day and the theoretical BMR is of the same magnitude as the difference observed between the measured BMR and lying RMR at home in the group of 12 Cambridge women studied by ourselves. If this argument is ignored and one still assumes that the theoretical BMR was in practice operating, then further problems arise. Allowing 0.62 MJ for the SDA at 10% intake then leaves only 1.16 MJ for the physical activity. Sitting activities measured on numerous occasions used up 4.54 kJ/minute, i.e. a rate equivalent to the expenditure when measured during lying and in excess of 3.3 kJ/min. for the theoretical BMR. If a third of the 24 hrs was spent in bed at this theoretical basal rate and the energy cost of the rest of the day, i.e. 16 hours, is calculated at only a sitting metabolic rate, then a sedentary output of 5.94 MJ is obtained which leaves only 206 kJ for all major physical activity in a day. All these conclusions point to there being a systematic error in the intake measurement rather than a systematic error in measuring energy expenditure.
Table 3 includes values for energy output measured in normal weight Cambridge women using comparable techniques to those of Durnin's group. Data from Durnin's studies on women in Britain would have been included but I was not able to find data which gave energy intakes and outputs as well as body compositional data. It is clear from the comparison of New Guinea and Cambridge women that there is nothing remarkable about the data on energy output in the Kaul women, particularly when these are expressed in terms of fat free mass. On a fat free mass basis the observed metabolic rates at rest during the day are the same in the Cambridge and the Kaul women.
A further example of the discrepancy between energy intake and output measurements in developing countries has been published recently by Bleiberg et al. and their data on farmers in the Upper Volta are shown in Table 4. Again, there is a discrepancy between intake and output. In this case differences are seen only in the women and not in the men.
I conclude that the observed ‘low’ intakes in developing countries or in some groups in developed countries may well be spuriously low, and that too great an emphasis has been given to these values. Intakes may be lower in these countries than in affluent societies but any differences are readily explained by differences in body size and by physiological adaptation. These factors are rarely considered critically when attempts are made to evaluate the energy metabolism of individuals on supposedly low intakes.
Body size
One principal reason for the low intakes of adults in developing countries is that body size is appreciably lower than in Europe or North America. This simple fact accounts for 50–65% of the apparent discrepancy in intakes between individuals in Europe and Africa or Asia.
Metabolic adaptation to low intakes
The best evidence still comes from the Minnesota experiments, but the mechanism underlying these adaptations is now becoming clearer. Table 5 summarizes the change in total energy output and the proportion of the reduced basal metabolic rate (BMR) which can be ascribed to the loss of metabolizing tissue and that due to the decline in the metabolic activity of the tissue itself. Women in states of total starvation lose less total body nitrogen but this loss is from a smaller total body N pool and in relative terms they may therefore not show a difference in the decline in basal metabolism. Table 6, taken from Apfelbaum (1973) shows that the range of adaptation is similar in men and women and that the extent of adaptation in lean and obese individuals seems to be comparable. Table 5 indicates that with the loss in weight on semi-starvation, there is not only a loss of fat but also a fall in the mass of active tissue. In the later stages of semi-starvation, i.e. at a stage when the subjects are once more in energy balance, there has been a substantial fall in metabolic rate but two thirds of the fall can be ascribed to a loss of active tissue. Changes in the metabolic efficiency of the tissues are apparent, however, within the first two weeks and there is no evidence of any further change in efficiency, even when the study is prolonged from 2 to 24 weeks.
Mechanisms for adaptation in BMR to low intakes
Thyroidal changes have been examined in detail (Jung et al., 1980a) and certainly seem to play a part in lowering the basal metabolic rate. A fall in circulating plasma T3 levels is characteristic, but it is possible to differentiate between the thyroidal changes and metabolic rate changes either by using a β-adrenergic blocker, propranolol, which reduces metabolic rate immediately by about 8% (Jung et al., 1980b), or by maintaining the metabolic rate despite semi-starvation with L-dopa as a peripheral adrenergic agonist (Shetty et al., 1979; Jung et al., 1980c). There seems to be a catecholamine mediated component to the BMR which shuts down during semi-starvation. This is suggested because reintroducing the propranolol during semi-starvation fails to reduce the BMR any further. These studies have been conducted in both obese and lean women who received over 1.3 g protein/kg ideal body weight and did not go into detectable negative nitrogen balance (Shetty, 1980) during the 10–20 days of the semi-starvation study. On the basis of these arguments one can envisage the BMR as capable of falling by about 35% on prolonged semi-starvation, the early 15% representing a change in metabolic efficiency, half of which can be ascribed to catecholamine mediated changes in metabolism and the other half probably to changes in the thyroidal drive on cellular metabolism. Any change in excess of 15% of the BMR seems to depend on loss of body protein.
It is possible that this figure of 15% for the change in the metabolic efficiency of the tissues is an underestimate, since the metabolic rates have been expressed in terms of the total mass of active tissue. It is likely (though not proven) that muscle mass was particularly depleted in the Minnesota experiments so the loss of this tissue with its relatively low activity could minimize the extent of metabolic adaptation observed, for example, in the liver. Nevertheless, on a whole body basis the energetic changes in basal metabolism on semi-starvation are modest, unless the underfeeding is prolonged or profound. In children with kwashiorkor Ablett and McCance (1971) found the resting metabolic rates to be 25% below normal.
Specific dynamic action of food
Keys and his colleagues assumed that the SDA would remain at about 10% of the intake on semi-starvation and did not measure it directly. Apfelbaum, however, has shown that in absolute terms a standard 710 kcal meal given before and after a 15-day restricted diet in obese patients did not give the same response; there was a fall in SDA (Table 6) which amounted to about a 30% reduction, i.e. a fall of the same order as that seen in the BMR. Very few other studies have been conducted on postprandial thermogenesis under semi-starvation conditions, although Ashworth in her studies on malnourished children found approximately equivalent responses when the malnourished children were not growing (Ashworth, 1969).
Mechanisms underlying S.D.A.
The fundamental biochemistry involved in the postprandial response to food is rarely considered when trying to evaluate the response in oxygen uptake after a meal. The storage of substrates requires energy but the cost varies depending on the metabolic routes involved (Flatt, 1978). Thus ingested carbohydrate may be stored as glycogen at a metabolic cost of about 5% of the energy ingested, whereas its storage as fat involves a much greater ‘loss’ of energy amounting to about 18% of its energy content. Fat may, however, be absorbed at almost negligible cost since the 2-monoglyceride is absorbed substantially intact and the cost of about 3% relates simply to the cost of reesterifying the free fatty acids first in the intestinal mucosa and then in the adipocyte. The greater response in oxygen uptake after a protein-rich meal almost certainly relates to the extra catabolism of aminoacids induced by the increase in their plasma and cellular concentration after a meal. The increased aminoacid metabolism requires oxygen but the P/O ratio for aminoacids is substantially lower than for fats (McGilvery, 1979). With an ATP turnover essentially geared to energy demand, there will therefore be a small ATP contribution from protein catabolism which will reduce the need for carbohydrate or fat oxidation with its higher P/O ratio. The oxygen uptake can therefore be expected to rise appreciably after a protein meal without it signifying any change in ATP turnover.
These energetic considerations may then be applied to help explain any fall in the metabolic response to food on semi-starvation. If the response to protein is considered first then clearly a lower total input of food will demand a lower storage cost. A lower rate of aminoacid catabolism, well recognized as accompanying undernutrition, could also reduce the oxygen response but any unoxidized aminoacid is likely to be synthesized into protein (some allowance needing to be made for an increase in aminoacid pool size). The energy cost of protein synthesis will therefore increase the metabolic rate and it is not possible to distinguish from oxygen uptake and R.Q. whether protein is being synthesized or catabolized. It is unlikely that on this basis of storage or oxidation that SDA to protein will vary on semi-starvation and this is what we have found (Table 7).
Other mechanisms do exist, however, for altering the metabolic response to food. If carbohydrate is stored as glycogen rather than as triglyceride, then the energy cost would be less. We have found no change in the metabolic response to starch in normal weight women before and after a brief period of semi-starvation (Table 7). More prolonged studies with more subjects may have shown a change but the overall metabolic significance of the change is small. Clearly a well fed individual ingesting carbohydrate is more likely to synthesize triglyceride at greater energetic cost than glycogen storage whereas a starved glycogen depleted individual is likely first to store ingested carbohydrate as glycogen, thereby showing less of a metabolic response and conserving metabolically useful energy. I know of no data to substantiate this theory.
An altered metabolic response to fat on semi-starvation has not been described but Table 8 provides the results of a fat supplementation study of normal women on a normal intake and when semi-starving. The data are based on duplicate 24 hr whole body calorimeter readings before and after a supplement of 4.2 MJ fat was included in the diet. Clearly there is a mechanism for adjusting the metabolic response to fat which is dependent on the prevailing energy intake. On low intakes the metabolic response approximates to the theoretical energy cost for fat absorption and storage. We consider, at present, that this response to dietary fat may be characteristic of a flexible thermogenic mechanism based on brown adipose tissue metabolism, the activity of which requires fatty acids as a fuel (James and Trayhurn, 1981). The supply of fatty acids for combustion depends in experimental animals on the inflow of circulating triglyceride but this has not yet been clearly established: in animal experiments changes in dietary fat produce profound changes in the metabolic activity of brown adipose tissue.
We may conclude that there is a minimum SDA below which it is not possible to go and this probably amounts to about 5% of the energy cost of the meal. This is the postprandial response which one might expect in semi-starvation but there are few reliable data on this.
Physical activity
Key's data (Table 1) indicate that there is a marked fall in physical activity on semi-starvation but the Table exaggerates the change because the cost of physical activity is measured by difference. Nevertheless the authors record that the semi-starved volunteers slowed down markedly and minimized the amount of energy expended in movement. Rutishauser and Whitehead (1972) also found that children who were undernourished spent very much less time in physical activity than European children on a higher energy intake. There are few studies which document the variation in spontaneous physical activity in response to altered intakes but such a relationship is likely.
Other thermogenic mechanisms
These have never been quantitated in semi-starving subjects, but thermogenesis induced by cold, caffeine and cigarettes (nicotine) are other components of energy expenditure. Cold-induced thermogenesis interacts with dietary thermogenesis (Dauncey, 1981) but whether it alters in semi-starvation is unknown. The interaction of exercise and dietary thermogenesis is another component of energy output which may adjust in response to changes in intake but most information has been obtained in overfeeding studies.
The cellular basis of greater metabolic efficiency during semi-starvation
The mechanisms whereby thyroidal hormones alter metabolic activity are unknown although changes in protein turnover, glucose and fatty acid turnover and in transmembrane sodium pumping have been described under conditions where marked changes in thyroidal hormone activity have been induced. When one considers semi-starvation, however, as distinct from hypothyroid or thyrotoxic states, then discriminating changes is much more difficult. Garlick et al. (1980) failed to show a fall in protein turnover in obese individuals maintained on a very low energy intake for three weeks providing a minimum intake of 50 g protein was maintained.
The mechanisms for any catecholaminergic regulation of metabolism may be diverse since catecholamines have been shown to affect sodium pumping, lipolytic and glycolytic rates as well as the more specific mechanisms involved in brown adipose tissue thermogenesis. The metabolic basis for altered thermogenesis in semi-starvation remains therefore obscure.
The consequences of semi-starvation
Rutishauser and Whitehead's (1972) observations on normal Ugandan children suggest that if a reduction in physical activity is a marked feature of children on an inadequate diet, then this will reduce the exploratory activity which is essential to a child's learning. The mental consequences of malnutrition will not be discussed here as they are well documented elsewhere. In adults a limitation in physical activity may also be disadvantageous if an adult's livelihood depends on his labouring. In conditions of undernutrition the evidence on farming practices in the Gambia and other parts of Africa suggest that planting and harvesting will be continued when required despite an inadequate food intake and weight loss. When deprivation is more extreme, however, then work is affected as shown by the German experience where factory output could be seen to respond to the provision of food for the workers.
One consequence of semi-starvation which is not often considered is the tendency after semi-starvation to put on greater amounts of body fat. The refeeding experiments which followed the 24 weeks of semi-starvation was accompanied by a greater efficiency of metabolism and greater gains in body fat. When the men were restudied after having had an unrestricted diet, they had not only put on more weight than the original weight but even at equivalent weights their fat free mass was less than that at the beginning of the study and their body fat content was greater. Successive fasts seem to lead to even greater efficiency in metabolism. (Taylor et al., 1945). The reasons for the greater deposition of fat after semi-starvation is unknown but may relate to an inappropriate supply of all the nutrients needed to deposit lean tissue, e.g. trace elements, or to atrophy of a thermogenic organ such as brown adipose tissue, or to other unknown mechanisms.
Response to overfeeding
Since the last Committee report there has been a substantial increase in our understanding of the degree to which adults can respond to overfeeding by increasing their metabolic rate. Nevertheless there is an increasing tendency to misquote earlier studies, some of which will therefore be considered here. It has been claimed that some adults can vary their food intake over a wide range and yet show only modest changes in weight. The classic descriptions are those of Neumann in 1902 and Gulick in 1922. Neumann monitored his own body weight for a year and varied his calorie intake so that in three major periods during the year he was on 1,766 calories, 2,199 calories and 2,403 calories per day. On this variable intake his weight remained essentially constant. It should be noted, however, that the capacity to maintain weight stability was displayed with energy intakes which were only increased or decreased by about 15%. Gulick made a much more detailed study monitoring not only his food intake but recording very accurately the degree to which his physical activity changed over a period of 370 days. During this time he varied his intake from 1,974 to 4,113 calories per day. He was able to maintain his weight on 2,750, 3,200 or 3,500 kcals per day and not at the extremes of intake. The experiment was also designed so that Gulick could find the minimum amount of food required to maintain an approximately normal body weight. On an intake of 2,750 calories he had an average weight of 62.4 kg over a period of 2 months from March to May 1916. He then increased his food intake to 3,480 calories per day. His weight increased and by the first two weeks of June he had pushed himself up to 3,806 calories a day and his weight on average had now gone up to 64.9 kg. Not mentioned by most reviewers is the fact that by October he was 70.8 kg on 3,376 calories and by the following year he had gained further on 4,113 calories to achieve a weight of 74.3 kgs. Although it is claimed that he was unable to show any change in activity or basal metabolic rate, detailed examination of the paper shows that in practice a metabolic rate measurement was only undertaken when he was on a high diet.
Miller and Mumford (1967) overfed 49 subjects with a variety of foods and Figure 2 reproduces what they claim to be their results. Unfortunately Miller in his papers never provides formal evidence on any of his experiments which allows one to assess the validity of his techniques or the degree of individual variability which he claims is present. One therefore has recourse to his Ph.D. students' theses for further details. Even here, however, detailed analysis is difficult because no details are given of the amount of food ingested by each student, nor were values for the digestible energy intake given in Stock's thesis which deals with the low protein and high protein overfeeding experiments. Fig. 1 reproduces the only graph where data on intake and output are both available. Stock claims that the BMR does not change (Table 9) but that there is a marked interaction between postprandial thermogenesis and exercising which explains the ability to buffer excess energy intakes (Fig. 3). Stock also notes that a 2-week period of substantial overfeeding is needed to achieve adaptation. Garrow has also concluded that substantial overfeeding is needed before any increase in BMR becomes apparent. Stock's studies were made with direct measurements of oxygen consumption for half the day-time; night-time measurements were also taken so that the data could be calculated for 24 hr energy output. The interaction of meals with exercise (Fig. 3) is striking. If true, then this would reflect a remarkable capacity to dissipate heat, but there are no data which confirm this except in the form of a Lancet letter from Miller and Wise (1975). This other study is the only one from the Miller group where a positive interaction between exercise and diet has been obtained. Other studies listed in Wise's Ph.D. thesis do not confirm the published findings and there remains considerable doubt in the literature about the interaction of diet and physical exercise despite Stock's claim that even mild degrees of exercise enhance the thermogenesis from a meal.
Some short-term overfeeding studies do show a small increase in BMR e.g. Goldman et al. (1973), but the best studies on metabolic adaptation to overfeeding are those conducted by Sims in Vermont prisoners and volunteers (Sims, 1976). In some of these overfeeding studies with mixed meals there is a remarkable change in energy homeostasis. The men chosen for the study were thin individuals without a family history of obesity. Continuous monitoring of food intake and physical activity over a 40-week study period showed that some men initially ingested approximately 3,000 kcals but after overfeeding for months with 6–8,000 kcals daily they had gained only 6 kg and now required 5,750 kcals to maintain this excess weight. This adaptation occurred despite the men having initially engaged in quite strenuous physical activity on the 3,000 kcals diet but then reducing their exercise to an absolute minimum in an unsuccessful attempt to become obese. On this basis the data imply that some feature of metabolism is so flexible that an effective doubling of metabolic activity is possible. Malabsorption was excluded in these long-term studies by Sims but unfortunately there was no confirmatory data with measurements of energy expenditure such as those presented by Stock in his month-long overfeeding studies (Fig. 2). Sims' overfeeding studies therefore need checking by whole body calorimetry.
The importance of the nutrient content of the diet in overfeeding studies
Mention has already been made of the thermogenesis noted after a week's overfeeding with fat (Table 8). A different response is found in obese patients who have a low thermogenic response whether or not they are semi-starving. Dietary fat overfeeding is therefore one way of displaying a difference in the metabolism of lean and obese individuals. Overfeeding fat on its own may, however, be very different from overfeeding a mixed diet with a high fat content. Fig. 4 taken from Goldman et al. (1973) shows that the accumulated weight in 4 male subjects was appropriate for the excess fat energy ingested over an 80-day period. This does not conflict with a 10–15% thermogenic response shown in Table 8, since it is difficult to discriminate the effects of this degree of thermogenesis on weight gain. Overfeeding with a mixed diet, which is high in fat, leads to an increase in metabolism of up to 25% of the intake (James and Trayhurn, 1981) when this is monitored on the first day of overfeeding. The Sims' study suggests that much greater responses are seen when overfeeding is prolonged. Norgan and Durnin (1980), however, found only small increases in metabolic rate in a six-week overfeeding study and appreciable weight gains. Detailed long-term studies of pure carbohydrate and pure protein overfeeding have not been reported.
In conclusion, it would seem that objective measurements of metabolic rates on overfeeding have not demonstrated an increase in metabolism in excess of 25% of the additional intake except in Stock's Ph.D. thesis data shown in Figs. 2 and 3. Sims' prolonged overfeeding studies do, however, suggest that a great increase in metabolic rates must occur but no evidence has yet been obtained which would allow an analysis of the components of energy output involved in this adaptation.
| Minnesota Experiment | New Guinea Kaul males | ||
| Control Data | After 24 wks semi-starvation | ||
| Body Weight (kg) | 70 | 53.2 | 56.3 |
| Body fat (kg) | 9.9 | 3.3 | 5.6 |
| Fat Free Mass (kg) | 60.1 | 49.9 | 50.7 |
| Daily Energy Output | |||
| MJ.d-1 | 14.51 | 6.57 | 9.82 ± 1.64 |
| kcal.d-1 | 3468 | 1570 | 2347 ± 392 |
| Basal Metabolic Rate | |||
| MJ.d-1 | 6.67 | 4.03 | 6.89 |
| kcal.d-1 | 1595 | 964 | 1646 |
| Estimated Specific Dynamic Action | |||
| MJ.d-1 | 1.09 | 0.49 | 0.98 |
| kcal.d-1 | 260 | 118 | 235 |
| Estimated Physical Activity | |||
| MJ.d-1 | 6.75 | 2.04 | 1.95 |
| kcal.d-1 | 1613 | 488 | 466 |
Data for New Guinea Kaul men taken from Norgan, Ferro-Luzzi and Durnin Tables 8 and 9, where lying values taken as equivalent to basal metabolic rate. Specific dynamic action calculated assuming equal to 10% energy intake and cost of physical activity calculated by difference as suggested by Taylor and Keys. Energy turnover presumed to be that of energy expenditure and not the lower value for intake measured by Norgan et al. but taken in Minnesota experiments to be equal to intake since this is precisely controlled and weight steady under both conditions of measurement. Most of the Minnesota data is taken from Table 181 with values for body fat taken from Table 457.
| Group | Energy | kcal/day |
| MJ | ||
| US female factory workers | 5.6 | 1,330 |
| US female factory workers | 7.4 | 1,770 |
| Indian female college students | 6.1 | 1,450 |
| Ethiopian men | 7.5 | 1,800 |
| Ethiopian women | 5.0 | 1,200 |
| Jamaican men (farmers) | 7.2 | 1,730 |
| Jamaican women (farmers) | 6.0 | 1,440 |
| New Guinean coastal men | 8.1 | 1,940 |
| New Guinean coastal women | 5.9 | 1,420 |
| Puerto Rico rural women | 5.2 | 1,240 |
Reproduced from Durnin, 1979
| Weight n | Estimated Intake | Estimated Output | Lying Metabolic rate | Fat Free Mass | Estimated RMR per Kg FFM | |
| MJ.d-1 | MJ.d-1 | MJ.d-1 | Kg | kJ.d-1 | ||
| Kaul women | ||||||
| †48.1 40 | 7.66 ± 1.08 | 6.54 | 37.5 | 174.4 | ||
| *45.5 34 | 5.87 ± 1.51 | |||||
| Cambridge women | ||||||
| 55.1 12 | 8.17 ± 1.43 | 8.89 ± 1.20 | 6.38 | *37.8 | 168.7 | |
* Non-pregnant, non-lactating women with weight calculated from authors' Table 4.
† Both intake and output measurements were made on this group but no separate details of the intake of this particular group were given. The lying metabolic rates were not measured under basal conditions but on a table in the village laboratory - presumably sometimes after a meal.
FFM = Fat free mass calculated from Table 1 by taking the value of 22% for the body fat content of all Kaul women.
Data from Norgan et al. 1974 on New Guinea women and unpublished data from Davies, Ravenscroft, Crisp and James on Cambridge women. In the Cambridge study, the lying metabolic rate is the average value of a series of measurements made in the home in the morning and afternoon with no restriction on meals. Fat free mass in the Cambridge women taken from body fat estimated from the sum of the 4 standard skinfold thickness measurements and equations from Durnin and Womersley (19 ).
| Number | Age | Height | Weight | Energy Intake | Energy Output | |
| Years | m | kg | MJ.d-1 | MJ.d-1 | ||
| Male | 11 | 45 | 1.69 | 56.5 | 9.0 ± 0.77 | 8.9 ± 0.39 |
| Female | 14 | 31 | 1.58 | 49.9 | 6.2 ± 0.35 | 8.11 ± 0.21 |
Mean ± SEM
Taken from Bleiberg et al., 1981
| Exp. 1 (n=12) | 2 (n=14) | 3 (n=12) | ||||
| Day | 0 | 14 | 0 | 19.20 | 0 | 168 |
| BMR MJ.d-1 | 7.29±0.40 | 5.73 | 6.62±0.66 | 5.49 | 6.59 | 4.20 |
| kcal.d-1 | 1,742±96.5 | 1370 | 1,582±158 | 1311 | 1575 | 1004 |
| Body weight kg | 71.6±9.2 | 65.4 | 69.1±10.1 | 62.4 | 67.5 | 51.7 |
| Active Tissue Mass kg | 44.9±5.1 | 42.2 | 43.4±4.9 | 40.8 | 38.8 | 28.7 |
| BMR kJ.kg-1 | 162.3 | 135.9 | 152.5 | 134.5 | 169.8 | 146.4 |
| Decrease Active tissue kg (%) | 2.7 | (6.0) | 2.6 | (6.0) | 10.1 | (26.0) |
| Decrease BMR kJ per kg active tissue (%) | 26.4 | (16.3) | 18 | (11.8) | 23.4 | (13.8) |
| Decrease BMR kJ.d-1 | 1,556 | (21.4) | 1,134 | (17.1) | 2,389 | (36.3) |
Data for Experiments 1 and 2 taken from Grande, Anderson and Keys, J.Appl.Physiol., 1958, 12, 230–238 and not as reproduced with slightly different numbers in Grande, F.
Data for Experiment 3 taken from Table 166, Minnesota Experiment, and assuming energy equivalent of oxygen 4.8 kcal/litre.
Active tissue = body weight minus sum of fat, bone mineral and extracellular fluid derived by a formula from measures of total body water and extracellular fluid volume.
| Authors | Year | Subjects | Restricted diet | Weight loss percent | Decrease in basal VO2 percent | ||
| Number | Type | Kcal/day | Span of time | ||||
| SPONTANEOUSLY RESTRICTED DIETS | |||||||
| Magnus-Levy | 1906 | 1 | M N? | 31 | 44 (1) | ||
| Zuntz and Loewy | 1916 | 1 (2) | M N | 1 year | 10.2 | 14.6 | |
| 1 (3) | M N | 2 years | 12 | 18 | |||
| Moller | 1924 | 4 | F N | 8.8 to 14.5 kg | 18.1 to 31.6 (4) | ||
| Labbe and Stevenin | 1925 | 8 | F N | 17.5 (4) | |||
| Mason | 1927 | 5 | F N | 21 to 40 | 15 to 21 (4) | ||
| Berkmann | 1930 | 117 | M N | 13.5 kg | 25 (4) | ||
| Laroche | 1941 | 3 | M U | 1,200 | several months | 30 | 7 (4) |
| E. Apfelbaum | 1946 | 60 | U | 800 | 2 years | 30 to 50 | 50 to 60? (4) |
| M. Apfelbaum | 1965 | 3 | F U | 900 | several months | 45 | 39 (4) |
| EXPERIMENTAL SPONTANEOUS DIETS | |||||||
| Benedict | 1903 | 1 | M N | 0 | 31 days | 21.9 | 25.1 |
| Geyelin | 1912 | 1 | M (5) | 43 | 46 | ||
| Jansen | 1917 | 2 | M N (6) | 1,600 | (6) | 10 | 20 |
| 10 | M N | 1,535 | 13 weeks | 12.2 | 19 to 20 (8) | ||
| Benedict | 1919 | 12 | M N | 1,375 | 3 weeks | 5.6 | 18 |
| Labbe and Stevenin | 1922 | 1 | M N | 0 | 6 weeks | 26.7 | 57.7 |
| Boothby | 1931 | 1 | M N | 800 | 2 weeks (9) | 7.5 | 13.2 |
| Keys | 1950 | 32 | M N | 1,570 | 24 weeks | 24.2 | 39 |
| THERAPEUTIC RESTRICTED DIETS | |||||||
| Evans and Strang | 1928 | 5 | F O | 600–650 | 17 weeks | 18.5 | 14.1 |
| Lyon | 1932 | 1 | F O | 1,000 | 10 weeks | 15.8 | |
| 1 | F O | 1,000 | 24 weeks | 28.1 | |||
| Master | 1935 | heart dis | 800 | several weeks | 20 to 30 | ||
| Duvoir | 1942 | 1 | M O | 4 months | 45 | 27 (4) | |
| Tremolieres and Martineau | 1963 | 7 | F O | 700 | 3 to 6 weeks | 6.6 | 10.8 |
| Apfelbaum et al. | 1969 | 15 | F O | 220 | 3 weeks | 9.7 | 18.9 |
| Apfelbaum et al. | 1969 | 8 | F O | 220 | 6 weeks | 13.2 | 24.6 |
| Bray | 1969 | 6 | F O | 450 | 3 weeks | 6.5 | 15 |
(1) Decrease in basal VO2 referred to the post refeeding value;
(2) The subject was Zuntz in person;
(3) The subject was Loewi in person;
(4) Decrease referred to (Boothby et al. 1936);
(5) Diabetic;
(6) Normal subjects with an experimental restricted diet of 1,600 Kcal for 6 days succeeding to a 3-year unquantifiable restricted diet;
(7) Ambulatory subjects having gone off their diet on Sundays and holidays;
(8) 19% with Benedict's apparatus, 20% in metabolic-room;
(9) Preceded by a 1-month restricted diet.
| Weight Maintenance | Energy Restriction | ||||
| Baseline diet (kJ) | 9550 ± 1063 | 4775 ± 532 | |||
| Carbohydrate test meal (kJ) | 1592 ± 177 | 1592 ± 177 | |||
| Protein test meal (kJ) | 1203 ± 134 | 1203 ± 134 | |||
| Increase in energy expenditure | kJ | As a % of test meal | kJ | As a % of test meal | |
| - following carbohydrate test meal | 65±35 | 4.2±2.1 | 162±62 | 9.8±3.6 | |
| - following protein test meal | a) | 256±84 | 21.2±6.2 | 275±58 | 22.3±6.4 |
| b) | 240±90 | 19.9±6.9 | 267±62 | 21.7±6.5 | |
Calculated
Paired t tests revealed no significant differences as a result of energy restriction.
Four subjects tested on weight maintenance and three continued semi-starvation regime.
Unpublished data from C. Zed
| Number | Baseline diet | Fat Supplement | Increase in energy expenditure following fat supplement | Increase as a percentage of fat supplement |
| MJ/day | MJ/day | kJ/day | % | |
| 8 | 10 | 4.2 | 548 ± 164 (range 332–775) | 13.1 ± 4.0 (range 8.0–18.6) |
| 5 | 5 | 4.2 | 255 ± 160 (range 79–460) | 6.1 ± 3.8 (range 1.9–11.0) |
paired t test on those 5 subjects tested both on a baseline diet and when semi-starving, t = 2.255, p < .05 (1 tailed test)
TABLE 9
The effect of prolonged overeating on B.M.R. and the interation of food and exercise
(a) B.M.R. changes on overfeeding
| Subject | B.M.R. before | After overfeeding | % change |
| kcal.hr-1 | |||
| 29 | 65 | 70 | + 7.7 |
| 35 | 60 | 55 | - 8.3 |
| 39 | 52 | 55 | + 5.8 |
| 40 | 76 | 70 | - 7.9 |
| 41 | 68 | 73 | + 7.4 |
| 42 | 57 | 57 | 0 |
| (b) | Fasting | Postprandial rise 1 hour after a meal |
| kcal.min-1 | ||
| Resting | 1.12 | 0.28 |
| Exercising | 4.63 | 0.60 |
Each value is the mean of 24 determinations on six subjects. No variance values are given.
From Stock (1970)
FIGURE 1

FIGURE 2

Mean weekly intakes and expenditures in kilo-calories per day. (Experiment IV)
Reproduced from page 88 of Stock's thesis where it is claimed that no discernable change in total body potassium, total body water, 24 hr creatinine, subcutaneous fat or pedometer readings of spontaneous physical activity occurred, but no data are presented to substantiate the claim. Weeks 1 and 5 were control periods before and after the 3 week overfeeding study.
FIGURE 3

Thermic responses to meals of different size. (Experiment III)
From Stock 1970 Ph.D. Thesis
FIGURE 4

Figure 1. (Group V) Change in body weight vs days of overfeeding fat (83 days) and daily excess kcalories vs days of overfeeding fat.
From Goldman et al., 1975
REFERENCES
Ablett, J.G. and McCance, R.A. (1971) Energy expenditure of children with kwashiorkor. Lancet, ii, 517–519.
Apfelbaum, M. (1973) Influence of level of energy intake on energy expenditure in man: effects of spontaneous intake, experimental starvation and experimental overfeeding. In: Obesity in Perspective, ed. G.A. Bray, Fogarty Conference, DHEW Publication N1H 75/708, pp.145–155.
Ashworth, A. (1968) An investigation of very low calorie intakes reported in Jamaica. Brit.J.Nutr., 22:341–355.
Ashworth, A. (1969) Metabolic rates during recovery from protein-calorie malnutrition: the need for a new concept of specific dynamic action. Nature, 223: 407–409.
Benedict, F.G., Miles, W.R., Roth, P. and Smith, H.M. (1919) Human vitality and efficiency under prolonged restricted diet. Carnegie Institute of Washington Publication, 280.
Bleiberg, F., Brun, T.A., Goihman, S. and Lippman, D. (1981) Food intake and energy expenditure of male and female farmers from Upper-Volta. Brit.J.Nutr., 45: 505–515.
Dauncey, M.J. (1981) Influence of mild cold on 24 h energy expenditure, resting metabolism and diet-induced thermogenesis. Brit.J.Nutr., 45:257–267.
Durnin, J.V.G.A. (1979) Energy balance in man with particular reference to low intakes. Biblthca Nutr.Dieta, 27:1–10.
Flatt, J.P. (1978) The biochemistry of energy expenditure. In: Recent Advances in Obesity Research, Vol. II, ed. G.A. Bray. Newman Publishing Ltd., London, pp.211–228.
Garlick, P.J., Clugston, G.A. and Waterlow, J.C. (1980) Influence of low energy diets on whole body protein turnover in obese subjects. Am.J.Physiol., 238:E235–E244.
Goldman, R.F., Haisman, M.F., Bynum, G., Danforth, E.Jr., Horton, E.S. and Sims, E.A.H. (1975) Experimental obesity in man: metabolic rate in relation to dietary intake. In: Obesity in Perspective, Fogarty Intern.Center Series on Prev.Med., National Institute of Health, Bethesda, pp.165–186.
Grande, F. (1964) Man under caloric deficiency. In: Handbook of Physiology - Adaptation to the Environment, Ch.59, Am.Physiol.Soc., Washington, pp.911–937.
Grande, F., Anderson, J.T. and Keys, A. (1958) Changes of basal metabolic rate in man in semi-starvation and refeeding. J.Appl.Physiol., 12:230–238.
Gulick, A. (1922) A study of weight regulation in the adult human body during overnutrition. Am.J.Physiol., 60:3.
Isaksson, B. (1980) Urinary nitrogen output as a validity test in dietary surveys. Am.J.Clin.Nutr., 33:4–12.
James, W.P.T. and Trayhurn, P. (1981) Thermogenesis and obesity. Brit.Med.Bull., 37, 1:43–48.
Jung, R.T., Liddell, F., Shetty, P.S. and James, W.P.T. (1980c) The effect of levodopa with carbidopa (SinemetR) on the metabolic response to semi-starvation. Int.J.Obesity, 4:221–226.
Jung, R.T., Shetty, P.S. and James, W.P.T. (1980a) Nutritional effects on thyroid and catecholamine metabolism. Clin.Sci., 58: 183–191.
Jung, R.T., Shetty, P.S. and James, W.P.T. (1980b) The effect of beta-adrenergic blockade on metabolic rate and peripheral thyroid metabolism in obesity. Eur.J.Clin.Invest., 10: 179–182.
Keys, A., Brozek, J., Henschel, A., Mickelsen, O. and Taylor, H.L. (1950) The Biology of Human Starvation. Vol.I. University of Minnesota Press.
McGilvery, R.W. (1979) Biochemistry: a functional approach. W.B. Saunders Co., London.
Miller, D.S. and Mumford, P. (1967) Gluttony. 1. An experimental study of over-eating on low or high protein diets. Am.J.Clin.Nutr., 20:1212–1222.
Miller, D.S. and Wise, A. (1975) Exercise and dietary-induced thermogenesis. Lancet, i, 1290.
Neumann, R.A. (1902) Experimentelle Beitrage zur Lehre von dem taglichen Nahrungsbedarfdes Menschen unter besonderer Berucksichtigung der notwendigen Eiweissmenge. Arch.Hyg., 45:1.
Norgan, N.G. and Durnin, J.V.G.A. (1980) The effect of 6 weeks of overfeeding on the body weight, body composition and energy metabolism of young men. Am.J.Clin.Nutr., 33:978–988.
Norgan, N.G., Ferro-Luzzi, A. and Durnin, J.V.G.A. (1974) The energy and nutrient intake and the energy expenditure of 204 New Guinea adults. Phil.Trans.Roy.Soc.Lond.B., 268:309–348.
Rutishauser, I.H.E. and Whitehead, R.G. (1972) Energy intake and expenditure in 1–3 year-old Ugandan children living in a rural environment. Brit.J.Nutr., 28:145–152.
Shetty, P.S. (1980) Studies on protein and energy restriction and dietary thermogenesis in obesity and chronic undernutrition. Ph.D. Thesis, Cambridge.
Shetty, P.S., Jung, R.T. and James, W.P.T. (1979) Effect of catecholamine replacement with levodopa on the metabolic response to semi-starvation. Lancet, i: 77–79.
Sims, E.A.H. (1976) Experimental obesity, dietary-induced thermogenesis and their clinical implications. Clinics in Endocrin. and Metabol., 5,2:377–395.
Stock, M.J. (1970) The control of energy balance. Ph.D. Thesis, University of London.
Taylor, H.L., Brozek, J., Henschel, J., Mickelsen, O. and Keys, A. (1945) The effect of successive fasts on the ability of men to withstand fasting during hard work. Am.J.Physiol., 143:148–155.
Wise, A. (1974) Ph.D. Thesis, University of London.
York, D.A., Morgan, J.B. and Taylor, T.F. (1980) The relationship of dietary induced thermogenesis to metabolic efficiency in man. Proc.Nutr.Soc., 30:57A.