Description et analyse des captures et des rendements
des
principales espèces pélagiques
côtières
par
P. FREON1/, B. STEQUERT1/ et T. BOELY2/
1/ Océanographes biologistes de l'ORSTOM CRODT, B.P. 2241, Dakar, Sénégal.2/ Antenne ORSTOM COB, B.P. 337 29273, Brest, CEDEX France.
- la pèche sardinière dakaroise, de type semi-industriel;- les pèches artisanales, à la ligne ou aux filets (filets tournants, sennes de plage et filets dormants);
- la pèche des thoniers (canneurs essentiellement) lorsqu'ils effectuent leur approvisionnement en apprât vivant.
1. LA PECHE SARDINIERE DAKAROISE
1.1 Description
La pèche se pratique à partir du port de Dakar ou la totalité des prises est débarquée. La flottille est constituée de sardiniers de 25 m de long environ travaillant à l'aide d'une senne tournante coulissante (600 × 40 mètres) remontée par une poulie hydraulique. Les 'marées sont de courte durée, excédant rarement 24 heures (neuf heures en moyenne en 1977). Les raisons en sont la faible capacité de stockage (25 à 50 tonnes), le mode de conservation (eau réfrigérée par de la glace) et la structure du marché dakarois imposant des apports journaliers. De plus, les mauvaises conditions climatiques au nord de la presqu'île du Cap-Vert font que ces sardiniers n'opèrent que très rarement dans ce secteur. Ceci explique que leur zone d'action préférentielle se situe le long de la Petite Côte du Sénégal, entre Dakar et la Gambie, sur les fonds de 10 à 50 mètres (Fig. 1).
En 1977 par exemple, 80 pour cent de l'effort annuel a été applique dans le secteur de Dakar entre 14°- 30°N et 15°N, les pécheurs préférant diversifier leurs prises ou même voir diminuer leurs rendements et rester près du lieu de débarquement plutôt que de prospecter des zones plus éloignées pour suivre les déplacements d'une espèce. Ce trait caractéristique de la pèche dakaroise fait que la zone de pèche des sardiniers n'a pas varie de façon sensible depuis le début de l'exploitation en 1962, et nous autorise à utiliser dans nos calculs les prises et les efforts totaux de la flottille.
1.2 Composition des captures et variations saisonnières
Ainsi il a été possible de distinguer dans les captures des espèces de saison froide (S. aurita adulte et C. rhonchus) et des espèces de saison chaude (S. maderensis, Pomadasys spp. Chloroscombrus chrysurus); par contre les jeunes S. aurita (les juvéniles et les jeunes reproducteurs), sont pêchés toute l'année (Fig. 2b) et constituent l'essentiel des captures (Tableau 2).
La composition des apports a varié de façon significative ces quatre dernières années; la diminution des prises de S. aurita s'est accentuée ainsi que celle de Pomadasys jubelini, ceci au profit de S. maderensis et des espèces secondaires telles que Trachurus spp., Caranx carangus et Ethmalosa fimbriata.
Les prises annuelles sont passées de 2 000 tonnes au début de la pèche à 32 000 tonnes en 1973 (Boely et Chabanne, 1975) avec deux paliers successifs. Depuis 1973 et jusqu'en 1976, il semble que l'on ait atteint un nouveau palier puisque les tonnages se sont stabilisés entre 30 000 et 34 000 tonnes, ces tonnages accusent une baisse en 1977 (26 000 tonnes).
1.3 Etude des débarquements et des rendements
L'étude de la biologie et des migrations de S. aurita montre que les jeunes individus de l'espèce restent présents dans la zone de pèche sardinière jusqu'à leur première reproduction avant d'entamer leur cycle migratoire, alors que les individus adultes n'entrent dans la zone d'opération de la flottille qu'au cours de la saison froide (Boely et al., 1978b).
Aussi avons-nous sépare les jeunes individus (juvéniles + jeunes reproducteurs) des adultes et attribue aux premiers l'effort annuel alors que seul l'effort de saison froide a été applique aux seconds.
L'unité d'effort telle qu'elle a été définie par Boely et Chabanne (1975) a été utilisée, mais une normalisation des efforts de chaque bateau a été nécessaire à partir de 1974 avec l'apparition de sardiniers ayant des puissances de pêche différentes (Fréon, 1976). La prise par unité d'effort est exprimée en tonnes par dizaines d'heures de pèche d'un sardinier standard de 25 m (Tableau 3).
Sardinella aurita: individus jeunes
De 1966 à 1977 les pue présentent des variations de grande amplitude (5 à 12 tonnes/10 heures) qui sont en corrélation inverse avec les variations de l'effort de pèche (Fig. 4).
Sardinella aurita: individus adultes
Afin d'obtenir un indice d'abondance aussi représentatif que possible et non sous-estime par les périodes ou le poisson n'est pas disponible dans la pêcherie, nous n'avons utilisé dans nos calculs de pue que les efforts des mois durant lesquels ces grands individus ont été débarqués. Des fluctuations annuelles existent mais on peut observer une tendance à la baisse des rendements depuis 1968 (Fig. 4).
Sardinella maderensis
Contrairement à l'espèce précédente, pour ces dernières années, les rendements sont en très nette augmentation bien que l'effort s'accroisse rapidement. On observe généralement ce phénomène lors de l'installation d'une pêcherie, ce qui n'est plus le cas ici. Il résulterait plutôt de l'existence d'interactions entre pêcheries et espèces (Fréon et al., 1978a).
Caranx rhonchus
2. LES PECHES ARTISANALES SENEGALAISES
Elles sont très anciennes et peuvent être ramenées à deux grands types: la pèche au filet et la pèche à la ligne. Au Sénégal ces exploitations artisanales se font à partir de grands points de débarquement. Peur les petits poissons pélagiques, les centres de la cote sud pratique surtout la pèche au filet tournant (filets maillants encerclants et sennes tournantes coulissantes); au contraire, sur la cote nord la pèche à la ligne est prédominante (Fig. 1).
Ce secteur de la pèche est en pleine expansion en raison de l'augmentation du nombre d'embarcations et surtout du fait de leur motorisation importante depuis 1966. De plus, la technique de capture au filet a évolue avec l'apparition des sennes tournantes en 1972-1973.
2.1 La pèche à la ligne
L'évolution mensuelle des débarquements de cette espèce en 1976 est présentée dans le Tableau 5. La capture totale a été d'environ 2 000 tonnes dont près de 70 pour cent proviennent de Kayar durant la saison froide et plus particulièrement en mars-avril. A cette période des concentrations peuvent être localisées au sud de la fosse de Kayar. L'étude des rendements montre également que ces poissons se rencontrent un peu plus tard (juin) au niveau de Saint-Louis. Sur la cote sud, les prises sont moindres (moins de 100 tonnes) et la pèche débute plus tôt (février). Ces variations d'abondance dans les différents centres correspondent à une migration du poisson (Boely et al., 1978a)
2.2 La pèche au filet
2.2.1 Les filets maillants encerclants (Fréon et al., 1978b)
Les rendements moyens annuels par sortie en 1972-73 ont été peu différents pour les deux engins, toujours voisins de 950 kg (Fig. 6B). Par contre, la durée moyenne des sorties a été variable; 9 heures pour la pêche avec les filets à sardinelles contre 7,5 heures pour celle utilisant les filets à ethmalose qui sont employés plus près du lieu de débarquement. Au cours d'un cycle annuel (mi-mars 1972 à mi-mars 1973), les captures totales des filets maillants encerclants bases à M'bour ont été de 22 000 tonnes environ, dont 90 pour cent pour ceux à sardinelles. Durant la même période, à Joal, des filets à ethmalose étaient en activité de juin à octobre essentiellement et durant le reste de l'année seuls quelques filets à sardinelles étaient utilises. Les captures des premiers peuvent être estimées à 4 000 tonnes par an, celles des seconds à 2 500 tonnes.
2.2.2 Les sennes tournantes coulissantes (Fréon et Stequert, 1978)
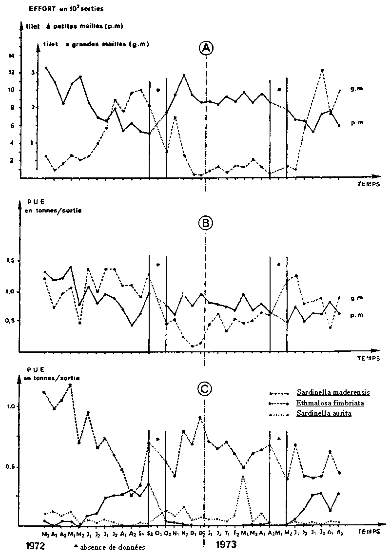
La composition des captures est très différente de celle des engins précédents surtout en raison du comportement propre à chacune des deux espèces de sardinelles: alors que S. maderensis se disperse horizontalement lorsqu'elle est encerclée, S. aurita plonge et échappe aux filets maillants. La senne tournante coulissante à donc permis de capturer plus facilement ces sardinelles rondes de plus grande valeur commerciale ainsi que de nouvelles espèces pélagiques côtières et en particulier Pomadasys spp., Caranx rhonchus, Cybium tritor, Brachydeuterus auritus, Chloroscombrus chrysurus, Sphyraena spp., Euthynnus alleteratus et Caranx carangus (Fig. 7). L'abondance des sardinelles étant maximale de mars à septembre c'est à cette période que l'effort de pèche sera le plus élevé (Fig. 8A et C).
Les prises de S. maderensis et de E. finbriata portent sur les mêmes classes d'âge que celles des filets maillants encerclants. Pour S. aurita, les jeunes reproducteurs sont les pieux représentes dans les débarquements annuels; seul le pic de décembre 1977 est du à la capture d'individus adultes (Tableaux 8 et 9, Fig. 8C). La composition de taille des espèces secondaires est très variée, de très gros individus étant parfois captures.
Les rendements sont élevés (en moyenne 3,3 tonnes par sortie); ils passent par un maximum en saison chaude ou les trois espèces de clupéidés sont abondantes (Tableau 9, Fig. 8B et C). En 1977, les captures de M'bour ont été de 16 000 tonnes; pour Joal, une première estimation donne le chiffre de 14 000 tonnes (Tableau 9).
En 1972-1973, au cours d'un cycle annuel, les prises totales des sennes tournantes ont été estimées à 300 tonnes pour M'bour et 1 500 tonnes pour Joal.
2.2.3 Les sennes de plage
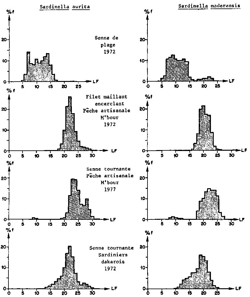
Les captures de ces très jeunes poissons ont été assez faibles en poids ces dernières années (50 à 500 kg par coup) mais portent sur des effectifs élevés. Le reste des prises est constitué d'une part de prédateurs de ces juvéniles (Euthynnus alleteratus, Cybium tritor, Sphyraena spp.) et d'autre part de jeunes reproducteurs d'espèces pélagiques côtières, pour l'essentiel des S. maderensis et des S. aurita de 18 à 25 cm. Actuellement ces sardinelles sont, toujours responsables de forts tonnages (10 tonnes et plus pour les grandes sennes). Bien qu'elles correspondent à des nombres d'individus moins élevés que les précédents, elles assurent la plus grande part des tonnages débarqués. Il est intéressant de noter que ce schéma était différent il y à 5 ou 6 ans, les captures en poids des juvéniles étant alors largement supérieures à celles des jeunes reproducteurs. En 1971 et 1972 par exemple, les résultats de 144 enquêtes détaillées sont présentés dans le Tableau 10. Les pourcentages en poids des prises par espèces sont très variables pour les sardinelles. Aussi en raison de ce qui précède, une étude ultérieure des débarquements par classe de taille sera nécessaire. La prise moyenne a été voisine de 2 tonnes/coup.
D'après les informations récentes dont nous disposons et connaissant le nombre de sénats de plage en activité au Sénégal (Bergerard et Samb, com. pers.), on peut estimer que la capture totale a été d'environ 5 000 tonnes en 1977.
2.2.4 Les filets dormants
M'bour fournit un bon exemple de l'importance relative de cette pêcherie et des espèces débarquées: en 1977, 260 tonnes ont été capturées (soit: un pour cent du total de la pèche de ce centre) comprenant en particulier 46 pour cent de S. maderensis, 13 pour cent de Caranx rhonchus, 9 pour cent de Cybium tritor et 7 pour cent de E. fimbriata.
2.3 Conclusion sur la pêche artisanale
- le premier correspond au remplacement des filets maillants encerclants par les sennes tournantes coulissantes à partir de 1973-74;- le deuxième événement est le développement d'autres centres de pèche; Joal est redevenu l'égal de M'bour; plus au sud, à Djiffère, une usine de farine de poisson est entrée en activité des février 1977 et sur la cote nord les sennes tournantes ont fait leur apparition depuis 1976.
- modification de la composition spécifique des captures, due en particulier au remplacement partiel de S. maderensis par S. aurita (Fig. 7);- augmentation des rendements par sortie; ils sont trois fois plus importants pour les sennes tournantes, amélioration qui dépasse les premières estimations effectuées (Grasset, 1972);
- extension de la zone de pèche à la côte nord et diminution des temps de trajet en mer (multiplication des grands centres de débarquement et acquisition de moteurs plus puissants);
- déplacements des opérations de pèche en fonction des migrations du poisson.
La pèche artisanale pélagique revêt donc une grande importance au niveau de la partie sud du Sénégal; depuis 1977, ses captures en poissons pélagiques côtiers sont environ le double de celles de la pêcherie sardinière dakaroise.
3. LA PECHERIE DES THONIERS.
Au début de chaque marée, les thoniers basés à Dakar, canneurs essentiellement, capturent de l'appât vivant constitue de petits poissons pélagiques. Cet appât est prélevé le plus souvent dans la baie de Gorée (Fig. 1) avant le départ en haute mer pour la pêche du thon.
La pèche au thon a débute en 1955 et a fait l'objet d'études permettant de connaître l'évolution du nombre de bateaux et de marées (Champagnat, 1968; Champagnat et Le Marrée, 1972; Pianet, com. pers.). Au départ, six thoniers seulement étaient en activité. Leur effectif s'est accru jusqu'en 1963-64 ou il atteignait 63 unités. De 1964 à 1967, celui-ci a diminué (une quarantaine de bateaux) pour remonter jusqu'à 64 unités en 1970. Depuis cette daté, le nombre de canneurs n'a cesse de diminuer pour se stabiliser autour de 25-30 unités depuis 1973-74.
La principale saison de pèche, telle qu'elle est pratiquée à partir de Dakar, ne dure que de sept à huit mois, autrefois en saison froide; elle se situe maintenant de mars à novembre (Pianet, com. pers.).
Les prises d'appât s'effectuent à l'aide d'une petite senne tournante (bolinche), le plus souvent de nuit au Lamparo. La principale caractéristique de cette pèche est que la prise d'appât par marée est peu variable quelle que soit l'abondance du poisson; en effet, le bateau ne quitte la baie que lorsqu'il a capture une quantité de poisson, comprise entre un minimum de 500 kg et un maximum de 1,5 tonne, indispensable à la pèche au thon. Ainsi, à partir d'enquêtes effectuées par le CRODT, on constate que les captures ont été en moyenne générale d'environ une tonne. Sur cette base de calcul et connaissant le nombre annuel de marées, nous avons évalue les prises de 1958 à 1977. Depuis 1963, elles varient entre 500 et 1 000 tonnes par an (Tableau 11).
Les poissons captures sont essentiellement des jeunes clupéidés et carangidés; à titre d'exemple, la composition spécifique pour 1977 a été calculée d'après les renseignements communiqués par les patrons de pèche après chaque marée (Tableau 12).
La taille des individus recherchés est toujours faible, les prises étant effectuées au détriment des jeunes classes d'âge (moins de un an). Ainsi, pour les sardinelles et les chinchards, le nombre dé poissons au kilogramme, se situe entre 20 et 80, ce qui correspond à des individus dont la taille (LF) est comprise entre 9 et 15 cm.
4. CONCLUSION ET EVALUATION GENERALES DES CAPTURES SENEGALAISES
Il résulte de cette analyse que si les différents types de pèche pratiquée au Sénégal sont bien connus en ce qui concerne le mode de pèche et les espèces capturées, on ne dispose pas de séries chronologiques concernant les prises et les efforts, exception faite pour la pêcherie sardinière dakaroise. Or l'évaluation des stocks de la région sénégambienne nécessite impérativement la connaissance de ces données sur plusieurs années, au minimum en ce qui concerne les prises. Aussi, afin de combler cette lacune des estimations de captures ont-elles été effectuées pour les années 1964 et 1977 à partir des éléments suivants:
- données partielles de prise (CRODT et Projet FAO pour 1977, Tableaux 11, 12 et 13);- données de rendement des sardiniers dakarois de 1964 à 1977 (CRODT): - données d'effort des thoniers-canneurs de 1964 à 1977 (CRODT):- évaluation du parc piroguier sénégalais de 1964 à 1977 (DOPM-CRODT).
Les autres espèces ne sont capturées qu'en faible quantité et essentiellement par les sardiniers dakarois (Tableau 2). Les chiffres sont présentés dans le Tableau 6; on devra les considérer comme des premières approximations et non comme des résultats scientifiques précis. Ce tableau montre une évolution relativement régulière des prises de S. aurita, de 8 000 tonnes en 1964 à 45 000 tonnes environ en 1977. Durant la même période les captures de S. maderensis ont augmente beaucoup moins vite, passant de 19 000 tonnes à 34 000 tonnes environ. Les prises de C. rhonchus ont toujours été de moindre importance; leur évolution semble être moins régulière; elles ont été comprises entre 2 500 tonnes (1972) et 5 100 tonnes (1977) environ.
Il résulte de cette analyse que l'impact des pèches sénégalaises sur les stocks de la région sénégambienne n'est pas négligeable, en particulier en ce qui concerne les deux espèces de sardinelles. Ces dernières années environ un quart à un tiers du poids total des captures de ces sardinelles dans la zone sénégalo-mauritanienne provient des pêches sénégalaises, ce qui représente une plus grande proportion d'individus lorsque l'on sait que les prises portent essentiellement sur des juvéniles et des jeunes reproducteurs (Fig. 3) dont le poids individuel moyen est environ deux fois plus faible que celui des adultes constituant l'essentiel des captures des flottes étrangères.
BIBLIOGRAPHIE
Boely, T., 1971, La pêche industrielle de Sardinella aurita dans les eaux sénégalaises de 1966 à 1970. Doc. Sci. Provis. Cent. Rech. Océanogr. Dakar-Thiaroye ORSTOM, (31): 34 p.
Boely, T. et T. Chabanne, 1975, Les poissons pélagiques côtiers au Sénégal. La pèche sardinière à Dakar: état actuel et perspectives. Bull. Int. Fondam. Afr. Noire (A. Sci. Nat.), 4: 859-86
Boely T. et C. Champagnat, 1969, La pèche industrielle au Sénégal des poissons pélagiques côtiers 1967-68. Doc. Sci. Provis. Cent. Rech. Océanogr. Dakar-Thiaroye ORSTOM, (22): 9 p.
Boely, T., J. Chabanne et P. Fréon, 1978, Schémas des cycles migratoires, lieux de concentration et période de reproduction des principales espèces de poissons pélagiques côtiers dans la zone sénégalo-mauritanienne. En Rapport du Groupe de travail ad hoc sur les poissons pélagiques côtiers ouest-africains de la Mauritanie au Libéria (26° à 5°N). COPACE/PACE/SER., (78/10)
Boely, T., C. Champagnat et F. Conand, 1969, Reproduction et cycle biologique de Sardinella aurita (c. et v.) des cotes sénégalaises. Doc. Sci. Provis. Cent. Rech. Océanogr. Dakar-Thiaroye ORSTOM, (21): 13 p.
Boely, T. et al., 1978, Cycle sexuel et migration de Sardinella aurita sur le plateau ouest-africain des îles Bissagos à la Mauritanie. Document présente au ICES Symposium sur le courant des Canaries: upwelling et ressources vivantes, Las Palmas, Gran Canaria, 11-14 avril, 1978. Doc. (92)
Champagnat, C., 1966, Indice relatif d'abondance saisonnière des sardinelles de la Petite Cote du Sénégal. Doc. Sci. Provis. Cent. Rech. Océanogr. Dakar-Thiaroye ORSTOM, (001): 11 p.
Champagnat, C., 1968, Les campagnes thonières de "pêche fraîche" à Dakar (1955-1967). Doc. Sci. Provis. Cent. Rech. Océanogr. Dakar-Thiaroye ORSTOM (015): 51 p.
Champagnat, C. et R. Le Marrée, 1972, La pèche thonière à Dakar en 1970 et 1971. Doc. Sci. Provis. Cent. Rech. Océanogr. Dakar-Thiaroye ORSTOM, (041): 51 p.
Conand, C., 1977, Contribution à l'étude du cycle sexuel et de la fécondité de la sardinelle ronde, Sardinella aurita: pèche sardinière dakaroise en 1975 et premier semestre 1976, Cah. ORSTOM (Ser. Océanogr.), 15(4): 15(4): 301-12
Conand, F., 1977, Oeufs et larves de la sardinelle ronde (Sardinella aurita) au Sénégal: distribution, croissance, mortalité, variations d'abondance de 1971 à 1976. Cah. ORSTOM (Ser. Océanogr.), 15(3): 201-13
Fréon., P., 1976, Les poissons pélagiques côtiers au Sénégal: recueil de statistiques de la pèche des sardiniers dakarois en 1976. Arch. Cent. Rech. Océanogr. Dakar-Thiaroye, (44): 40 p.
Fréon, P. et B. Stequert, 1978, Les poissons pélagiques côtiers au Sénégal: recueil de statistiques de la pèche au filet tournant à M'bour en 1977. Arch. Cent. Rech Océanogr. Dakar-Thiaroye, (61): 34 p.
Fréon, P., B. Stequert et T. Boely, 1978, La pèche des poissons pélagiques côtiers des îles Bissagos au nord dé la Mauritanie: description et interactions des pêcheries. Document présente au ICES, Symposium sur le courant des Canaries: upwelling et ressources vivantes, Las Palmas, Gran Canaria, 11-14 avril, 1978. Doc. (93)
Fréon, P. et al., 1978, Les poissons pélagiques côtiers au Sénégal: recueil des statistiques de la pèche artisanale aux filets maillants encerclants à M'bour (1972-73). Arch. Cent. Rech. Océanogr. Dakar-Thiaroye, (en préparation)
Scheffers, W.J., 1973, Etude de Ethmalosa fimbriata (Bowdich) dans la région sénégambienne 2ème note. La pêche et le stock des ethmaloses dans le fleuve Sénégal et la région de Saint-Louis. Doc. Sci. Provis. Cent. Rech. Océanogr. Dakar-Thiaroye ORSTOM, (045): 21 p.
Scheffers, W.J., 1976, The fishery resources of the Gambia. Project Technical Paper No. 1. Rome, FAO, GAM/72/006/Tech. 1:24 p.
Tableau 1 - Evolution de la flottille sardinière dakaroise (effectif) de 1962 à 1977
|
ANNEES |
NOMBRE DE |
|
1962 à 1965 |
1 |
|
1966 |
1 à 2 |
|
1967 à 1968 |
2 à 3 |
|
1969 |
3 à 4 |
|
1970 |
2 à 5 |
|
1971 à 1972 |
3 à 5 |
|
1973 |
3 à 14 |
|
1974 |
8 à 15 |
|
1976 |
8 à 11 |
|
1977 |
6 à 9 |
|
1978 |
9 à 11 |
Tableau 3 - Evolution de l'effort de pèche des sardiniers dakarois de 1966 à 1977 (exprime en dizaines d'heures de pèche d'un bateau type).
|
Années (n) |
Effort total année (n) |
Effort de saison froide déc. (n-1) à mai
(n) |
Effort de saison chaude juin (n) à nov.
(n) |
|
1966 |
328 |
155 |
171 |
|
1967 |
271 |
144 |
129 |
|
1968 |
578 |
260 |
(280) |
|
1969 |
1 024 |
442 |
592 |
|
1970 |
1 125 |
536 |
584 |
|
1971 |
827 |
452 |
366 |
|
1972 |
1 064 |
477 |
528 |
|
1973 |
1 679 |
629 |
923 |
|
1974 |
1 8131/ |
1 1121/ |
8141/ |
|
1975 |
1 808 |
9411/ |
8231/ |
|
1976 |
1 8991/ |
1 0181/ |
8431/ |
|
1977 |
1 5091/ |
8491/ |
7301/ |
( ) Estimation
1/ Effort de pèche normalise
Tableau 5 - Débarquements de Caranx rhonchus captures en 1976 par la pèche artisanale à la ligne (Bergerard et Samb, com. pers.).
|
MOIS |
JANV. |
FEVR. |
MARS |
AVRIL |
MAI |
JUIN |
JUIL. |
AOUT |
SEPT. |
OCT. |
NOV. |
DEC |
TOTAL |
|
SAINT-LOUIS |
2,2 |
0,1 |
0,7 |
0,3 |
8,3 |
145,7 |
10,6 |
0,8 |
- |
- |
0,4 |
0,2 |
169,3 |
|
KAYAR |
118,0 |
99,3 |
449,6 |
397,2 |
134,3 |
25,3 |
49,6 |
29,3 |
13,9 |
4,0 |
3,8 |
42,9 |
1 367,2 |
|
DAKAR |
41,0 |
84,2 |
108,7 |
40,6 |
48,7 |
27,0 |
10,2 |
0,9 |
0,6 |
2,4 |
- |
12,9 |
377,2 |
|
TOTAL |
161,2 |
183,6 |
559,0 |
438,1 |
191,3 |
198,0 |
70,4 |
31,9 |
14,5 |
6,4 |
4,2 |
56,0 |
1 913,7 |
|
QUINZAINES |
FILETS A SARDINELLES |
||||||
|
SORTIES |
Prises (qx) et pue (qx/sortie) |
||||||
|
S. aurita |
S. maderensis |
E. fimbriata |
|||||
|
Prises |
PUE |
Prises |
PUE |
Prises |
PUE |
||
|
MARS II 72 |
1275 |
1475 |
1.2 |
15069 |
11.8 |
20 |
0.0 |
|
AVRIL I 72 |
1099 |
1443 |
1.3 |
11266 |
10.3 |
0 |
0.0 |
|
AVRIL II 72 |
866 |
806 |
1.0 |
9699 |
11.2 |
0 |
0.0 |
|
MAI I 72 |
1077 |
1406 |
1.3 |
13690 |
12.7 |
0 |
0.0 |
|
MAI II 72 |
1147 |
233 |
0.2 |
8571 |
7.5 |
0 |
0.0 |
|
JUIN I 72 |
861 |
623 |
0.7 |
9000 |
10.5 |
0 |
0.0 |
|
JUIN II 72 |
693 |
340 |
0.5 |
5336 |
7.7 |
0 |
0.0 |
|
JUIL. I 72 |
650 |
525 |
0.8 |
5745 |
8.8 |
0 |
0.0 |
|
JUIL. II 72 |
783 |
461 |
0.6 |
6344 |
8.1 |
10 |
0.0 |
|
AOUT I 72 |
528 |
105 |
0.2 |
3525 |
6.7 |
4 |
0.0 |
|
AOUT II 72 |
606 |
19 |
0.0 |
2353 |
3.9 |
62 |
0.1 |
|
SEPT. I 72 |
520 |
218 |
0.4 |
2750 |
5.3 |
47 |
0.1 |
|
SEPT. II 72 |
496 |
41 |
0.1 |
4888 |
9.9 |
0 |
0.0 |
|
OCT. I 72 |
ABSENCE DE DONNEES |
||||||
|
OCT. II 72 |
743 |
1085 |
1.5 |
4437 |
6.1 |
0 |
0.0 |
|
NOV. I 72 |
944 |
775 |
0.8 |
4769 |
5.1 |
16 |
0.1 |
|
NOV. II 72 |
1183 |
1862 |
1.6 |
9954 |
8.4 |
0 |
0.0 |
|
DEC. I 72 |
920 |
509 |
0.6 |
6226 |
6.8 |
0 |
0.0 |
|
DEC. II 72 |
858 |
608 |
0.7 |
7845 |
9.1 |
0 |
0.0 |
|
JANV. I 73 |
872 |
597 |
0.7 |
6477 |
7.4 |
0 |
0.0 |
|
JANV. II 73 |
833 |
582 |
0.7 |
5834 |
7.0 |
0 |
0.0 |
|
FEV. I 73 |
928 |
352 |
0.4 |
6756 |
7.3 |
0 |
0.0 |
|
FEV. II 73 |
873 |
785 |
0.9 |
5365 |
6.1 |
0 |
0.0 |
|
MARS I 73 |
978 |
4348 |
4.4 |
5095 |
5.2 |
0 |
0.0 |
|
MARS II 73 |
866 |
421 |
0.5 |
5409 |
6.2 |
3 |
0.0 |
|
AVRIL I 73 |
957 |
939 |
1.0 |
6566 |
6.9 |
0 |
0.0 |
|
AVRIL II 73 |
870 |
0 |
0 |
5984 |
7.1 |
0 |
0.0 |
|
MAI I 73 |
ABSENCE DE DONNEES |
||||||
|
MAI II 73 |
787 |
135 |
0.2 |
3569 |
4.5 |
0 |
0.0 |
|
JUIN I 73 |
659 |
158 |
0.2 |
4693 |
7 |
20 |
0.0 |
|
JUIN II 73 |
648 |
52 |
0.1 |
3322 |
5.1 |
3 |
0.0 |
|
JUIL. I 73 |
514 |
233 |
0.5 |
2936 |
5.7 |
8 |
0.0 |
|
JUIL. II 73 |
718 |
59 |
0.1 |
4265 |
6.0 |
15 |
0.0 |
|
AOUT I 73 |
771 |
358 |
0.5 |
5874 |
7.6 |
303 |
0.4 |
|
AOUT II 73 |
594 |
55 |
0.1 |
3658 |
6.2 |
0 |
0.0 |
|
SEPT. I 73 |
540 |
11 |
0.0 |
2210 |
4.1 |
37 |
0.1 |
|
QUINZAINES |
FILETS A ETHMALOSE |
||||||
|
SORTIES |
Prises (qx) et pue (qx/sortie) |
||||||
|
S. maderensis |
S. aurita |
E. fimbriata |
|||||
|
Prises |
PUE |
Prises |
PUE |
Prises |
PUE |
||
|
MARS II 72 |
69 |
1 |
0.0 |
0 |
0.0 |
591 |
8.6 |
|
AVRIL I 72 |
23 |
3 |
0.1 |
0 |
0.0 |
41 |
1.8 |
|
AVRIL II 72 |
41 |
4 |
0.1 |
0 |
0.0 |
284 |
6.9 |
|
MAI I 72 |
65 |
13 |
0.2 |
1 |
0.0 |
370 |
5.7 |
|
MAI II 72 |
51 |
5 |
0.0 |
0 |
0.0 |
88 |
1.7 |
|
JUIN I 72 |
63 |
3 |
0.0 |
0 |
0.0 |
856 |
13.5 |
|
JUIN II 72 |
100 |
0 |
0.0 |
0 |
0.0 |
989 |
9.9 |
|
JUIL. I 72 |
144 |
19 |
0.1 |
0 |
0.0 |
1874 |
13.0 |
|
JUIL. II 72 |
221 |
0 |
0.0 |
0 |
0.0 |
2703 |
12.2 |
|
AOUT I 72 |
182 |
62 |
0.3 |
0 |
0.0 |
1967 |
10.8 |
|
AOUT II 72 |
237 |
0 |
0.0 |
0 |
0.0 |
2657 |
11.2 |
|
SEPT. I 72 |
246 |
40 |
0.2 |
0 |
|
2106 |
8.6 |
|
SEPT. II 72 |
196 |
0 |
0.0 |
0 |
0.0 |
2490 |
12.7 |
|
OCT. I 72 |
ABSENCE DE DONNEES |
||||||
|
OCT. II 72 |
76 |
40 |
0.5 |
7 |
0.1 |
231 |
3.0 |
|
NOV. I 72 |
173 |
2 |
0.0 |
7 |
0.0 |
254 |
1.5 |
|
NOV. II 72 |
68 |
10 |
0.1 |
0 |
0.0 |
105 |
1.5 |
|
DEC. I 72 |
12 |
2 |
0.2 |
0 |
0.0 |
2 |
0.2 |
|
DEC. II 72 |
6 |
0 |
0.0 |
2 |
0.3 |
0 |
0.0 |
|
JANV. I 73 |
23 |
0 |
0.0 |
0 |
0.0 |
0 |
0.0 |
|
JANV. II 73 |
29 |
0 |
0.0 |
0 |
0.0 |
0 |
0.0 |
|
FEV. I 73 |
16 |
0 |
0.0 |
0 |
0.0 |
0 |
0.0 |
|
FEV. II 73 |
33 |
0 |
0.0 |
0 |
0.0 |
0 |
0.0 |
|
MARS I 73 |
30 |
0 |
0.0 |
0 |
0.0 |
0 |
0.0 |
|
MARS II 73 |
51 |
112 |
2.2 |
7 |
0.1 |
42 |
0.8 |
|
AVRIL I 73 |
30 |
1 |
0.0 |
0 |
0.0 |
69 |
2.3 |
|
AVRIL II 73 |
14 |
0 |
0.0 |
0 |
0.0 |
29 |
2.1 |
|
MAI I 73 |
ABSENCE DE DONNEES |
||||||
|
MAI II 73 |
27 |
0 |
0.0 |
0 |
0.0 |
295 |
10.9 |
|
JUIN I 73 |
24 |
0 |
0.0 |
0 |
0.0 |
307 |
12.8 |
|
JUIN II 73 |
137 |
0 |
0.0 |
0 |
0.0 |
1092 |
8.0 |
|
JUIL. I 73 |
218 |
0 |
0.0 |
3 |
0.0 |
1785 |
8.2 |
|
JUIL. II 73 |
308 |
0 |
0.0 |
0 |
0.0 |
2667 |
8.7 |
|
AOUT I 73 |
166 |
0 |
0.0 |
0 |
0.0 |
704 |
4.2 |
|
AOUT II 73 |
247 |
0 |
0.0 |
0 |
0.0 |
2233 |
9.0 |
|
SEPT. I 73 |
182 |
0 |
0.0 |
0 |
0.0 |
524 |
2.9 |
Tableau 10 - Rendements moyens et composition spécifique des captures de quelques sennes de plage en baie de Gorée en 1971 et 1972
|
ANNEES |
1971 |
1972 |
|
NOMBRE DE COUPS |
64 |
80 |
|
PRISE MOYENNE |
1,7 |
1,8 |
|
Sardinella aurita |
79% |
18% |
|
Campagnes |
Captures estimées |
|
1958-59 |
199 |
|
1959-60 |
186 |
|
1960-61 |
342 |
|
1961-62 |
384 |
|
1962-63 |
469 |
|
1963-64 |
751 |
|
1964-65 |
482 |
|
1965-66 |
479 |
|
1966-67 |
618 |
|
1968 |
788 |
|
Années |
Captures obtenues |
|
1969 |
600 |
|
1970 |
469 |
|
1971 |
567 |
|
1972 |
442 |
|
1973 |
487 |
|
1974 |
538 |
|
1975 |
492 |
|
1976 |
4001/ |
|
1977 |
509 |
1/ Estimation
Tableau 12 - Composition spécifique des captures d'appât vivant par les thoniers-canneurs en 1977.
|
ESPECES |
Total des captures (tonnes) |
POURCENTAGES |
|||||||||||
|
Jan. |
Fév. |
Mars |
Avr. |
Mai |
Juin |
Juil. |
Août |
Sept. |
Oct. |
Nov. |
Déc. |
||
|
Sardinella |
268 |
- |
58 |
- |
43 |
32 |
39 |
95 |
80 |
40 |
14 |
80 |
- |
|
Sardinella |
160 |
- |
- |
- |
36 |
42 |
28 |
5 |
15 |
55 |
72 |
20 |
- |
|
Caranx |
19 |
|
42 |
54 |
21 |
3 |
- |
- |
- |
4 |
7 |
- |
- |
|
Brachydeuterus |
4 |
|
- |
36 |
- |
- |
- |
- |
- |
1 |
5 |
- |
- |
|
Engraulis |
54 |
- |
- |
10 |
- |
22 |
33 |
- |
- |
- |
- |
- |
- |
|
Autres |
6 |
- |
- |
- |
- |
1 |
- |
- |
5 |
- |
2 |
- |
- |
|
Total des captures |
511 |
- |
1 |
3 |
43 |
93 |
100 |
84 |
77 |
58 |
38 |
14 |
- |
|
Années |
Types de pêche |
||||
|
Pèche sardinière dakaroise |
Pèche artisanale aux filets tournants |
Pèche artisanale aux filets dormants |
Pèche à la senne de plage |
Pèche d'appât par les thoniers |
|
|
1964 |
2 844 |
- |
- |
- |
1/ |
|
1965 |
3 291 |
- |
- |
- |
1/ |
|
1966 |
4 247 |
- |
- |
- |
1/ |
|
1967 |
4 237 |
- |
- |
- |
1/ |
|
1968 |
7 062 |
- |
- |
- |
1/ |
|
1969 |
9 698 |
- |
- |
- |
60 |
|
1970 |
9 389 |
- |
- |
- |
50 |
|
1971 |
9 442 |
- |
- |
- |
320 |
|
1972 |
17 255 |
- |
- |
1/ |
80 |
|
1973 |
17 593 |
3 500 |
- |
1/ |
190 |
|
1974 |
17 792 |
- |
- |
- |
130 |
|
1975 |
12 432 |
- |
- |
- |
220 |
|
1976 |
14 800 |
330 (côte nord) |
- |
- |
250 |
|
1977 |
13 146 |
30 000 |
20 |
2 000 |
310 |
1/ Données de base partielles disponibles
- Absence de données de prises ou données très fragmentaires.
Tableau 14 - Captures (tonnes) de Sardinella maderensis par les divers types de pèche pratiques à partir du Sénégal (enquêtes du CRODT)
|
Années |
Types de pêche |
||||
|
Pèche sardinière dakaroise |
Pèche artisanale aux filets tournants |
Pèche artisanale aux filets dormants |
Pèche à la senne de plage |
Pèche d'appât par les thoniers |
|
|
1964 |
1 219 |
- |
- |
- |
1/ |
|
1965 |
1 411 |
- |
- |
- |
1/ |
|
1966 |
2 198 |
- |
- |
- |
1/ |
|
1967 |
1 170 |
- |
- |
- |
1/ |
|
1968 |
1 795 |
- |
- |
- |
1/ |
|
1969 |
4 779 |
- |
- |
- |
300 |
|
1970 |
4 254 |
- |
- |
- |
300 |
|
1971 |
2 038 |
- |
- |
- |
120 |
|
1972 |
4 468 |
- |
- |
1/ |
260 |
|
1973 |
8 613 |
23 000 |
- |
1/ |
120 |
|
1974 |
9 982 |
|
- |
- |
180 |
|
1975 |
9 495 |
- |
- |
- |
120 |
|
1976 |
11 929 |
140 (côte nord) |
- |
- |
60 |
|
1977 |
9 252 |
21 000 (côte sud) |
130 |
2 500 |
110 |
1/ Données de base partielles disponibles
- Absence de données de prises ou données très fragmentaires.
Tableau 15 - Captures (tonnes) de Caranx rhonchus par les divers types de pêche pratiqués à partir du Sénégal (enquêtes du CRODT).
|
Années |
Types de pêche |
|||||
|
Pêche sardinière dakaroise |
Pêche artisanale aux filets tournants |
Pêche artisanale aux filets donnants |
Pêche artisanale à la ligne |
Pêche à la senne de plage |
Pêche d'appât par les thoniers |
|
|
1964 |
320 |
- |
- |
- |
- |
1/ |
|
1965 |
307 |
- |
- |
- |
- |
1/ |
|
1966 |
810 |
- |
- |
- |
- |
1/ |
|
1967 |
795 |
- |
- |
- |
- |
1/ |
|
1968 |
1 147 |
- |
- |
- |
- |
1/ |
|
1969 |
1 353 |
- |
- |
- |
- |
9 |
|
1970 |
1 557 |
- |
- |
- |
- |
40 |
|
1971 |
127 |
- |
- |
1/ |
1/ |
2 |
|
1972 |
1 161 |
- |
- |
1/ |
1/ |
30 |
|
1973 |
1 260 |
0,40 |
- |
1/ |
- |
35 |
|
1974 |
1 803 |
- |
- |
1/ |
- |
27 |
|
1975 |
1 625 |
- |
- |
1/ |
- |
42 |
|
1976 |
1 907 |
200 |
- |
2 000 |
- |
24 |
|
1977 |
1 656 |
600 |
30 |
200 |
150 |
19 |
1/ Données de base partielles disponibles
- Absence de données de prises ou données très fragmentaires.
Tableau 16 - Estimations des captures (tonnes) des pêches sénégalaises
|
Années |
Sardinella |
Sardinella |
Caranx |
Total des |
|
1964 |
8 000 |
19 000 |
3 600 |
30 600 |
|
1965 |
8 000 |
20 000 |
3 500 |
31 500 |
|
1966 |
9 000 |
20 000 |
3 900 |
32 900 |
|
1967 |
10 000 |
16 000 |
3 900 |
29 900 |
|
1968 |
12 000 |
18 000 |
4 100 |
34 100 |
|
1969 |
15 000 |
27 000 |
3 100 |
45 100 |
|
1970 |
15 000 |
25 000 |
4 500 |
44 500 |
|
1971 |
16 000 |
26 000 |
2 900 |
44 900 |
|
1972 |
23 000 |
30 000 |
2 500 |
55 500 |
|
1973 |
28 000 |
31 000 |
4 100 |
63 100 |
|
1974 |
35 000 |
33 000 |
4 700 |
72 700 |
|
1975 |
40 000 |
28 000 |
4 700 |
72 700 |
|
1976 |
45 000 |
33 000 |
5 100 |
83 100 |
|
1977 |
45 000 |
34 000 |
5 100 |
84 100 |
Pour Sardinella aurita, S. maderensis et Caranx rhonchus, d'après les données partielles de prise et d'effort récoltées par le CRODT et le Projet FAO (pour 1977), les données de rendement des sardiniers dakarois, les données d'effort des thoniers-canneurs et les données de la DOPM concernant l'évolution du parc piroguier sénégalais de 1964 à 1977.
Fig. 7 - Proportions des principales espèces pour chacun des grands types de pèche au filet à M'bour
A - Filet maillant encerclant en 1972-73 au cours d'un cycle annuel

B - Senne tournante en 1977

Fig. 8 - Evolution par quinzaine des efforts et des différentes pue pour la pèche artisanale à la senne tournante à M'bour en 1977. A - Variations de l'effort; B - Variations de la pue globale; C - Variations de la pue pour les principales espèces
