par
A. Fontana
Antenne ORSTOM
COB, Brest, France
La flottille congolaise pêche traditionnellement du nord de l'Angola au sud Gabon. Cependant, depuis quelques années, en raison des événements politiques en Angola, l'aire d'exploitation des chalutiers ne s'étend plus que de Pointe Noire a la pointe Nyanga au sud Gabon.
Malgré la taille modeste de la flottille congolaise, il a toujours été extrêmement difficile d'obtenir des données 'fiables sur les variations de l'effort de pêche (nombre de jours de mer par exemple). Le fait de ne pas maîtriser ce paramètre interdit donc l'utilisation d'un modèle global pour déterminer le niveau d'exploitation optimum du stock démersal. Ce niveau a donc dû être détermine a partir d'un modèle analytique de RICKER. Les paramètres biologiques et dynamiques nécessaires a son élaboration ont été établis pour les espèces démersales suivantes: Pseudotolithus senegalensis, Pseudotolithus typus, Galeoides decadactylus, Pteroscion peli, Pentanemus quinquarius, Brachydeuterus auritus.
Les résultats obtenus à partir de la matrice de production relative aux cinq premières espèces montrent que:
- avec l'effort actuel, toute augmentation du maillage n'amèmerait à l'équilibre (3 ans) qu'une augmentation très faible de la production (+ 9 pour cent);Pour éviter cette chute brutale des captures, deux solutions peuvent être proposées:- la production maximale serait obtenue en multipliant l'effort de pêche par deux et en adoptant un maillage de 77 mm. L'augmentation de la production à l'équilibre serait de l'ordre de 46 pour cent. L'adoption d'un tel maillage se traduirait toutefois par une diminution immédiate des captures de l'ordre de 49 pour cent.
- soit passer entre 45 et 77 mm par deux ou trois maillages intermédiaires;Pour plusieurs raisons, cette deuxième solution paraît beaucoup plus réaliste et rentable à long terme (3 ans). L'espèce qui paraît la mieux adaptée pour jouer ce rôle "tampon" serait le pelon Brachydeuterus auritus. En effet:
- soit passer directement à 77 mm et réduire alors le rejet d'une ou certaines espèces.
- Brachydeuterus auritus est extrêmement abondant sur le plateau continental Congo-Gabon;Si l'on se réfère aux données de 1975-76, où les captures de P. senegalensis, P. typus, Galeoides, Pentanemus et Pteroscion représentaient 3 770 tonnes/an, en adoptant un maillage de 77 mm, la diminution immédiate des captures de ces espèces représenterait 1 847 tonnes (49 pour cent). Si dans le même temps, Brachydeuterus était entièrement conservé et commercialisé, les apports de cette espèce représenteraient 1 280 tonnes.
- sa valeur marchande est proche de celle des espèces nobles, et
- elle est jusqu'à présent rejetée en partie à la mer.
La diminution consécutive à l'adoption d'un maillage de 77 mm ne serait alors plus que de 15 pour cent. A l'équilibre, c'est-à-dire au bout de 3 à 4 ans environ, et si Brachydeuterus continuait à être conservé entièrement (ce qui est fort probable, puisqu'avec un maillage de 77 mm seuls les gros individus sont capturés) le gain en production serait de l'ordre de 100 pour cent pour un effort de pêche multiplié par deux. A l'équilibre la pue serait dans ces conditions identique à la pue actuelle.
Notons enfin que cette situation (maillage 77 mm - effort doublé) n'altérerait pas le potentiel de reproduction de chacune de ces espèces.
Dans le cas ou la pêche reprendrait dans la zone sud (essentiellement embouchure du fleuve Congo), cette réglementation ne pourrait être que bénéfique pour l'exploitation de Pseudotolithus elongatus. En effet, d'après les résultats de LE GUEN (1971), en doublant l'effort de pêche dans cette zone et en adoptant un maillage de 77 mm, la production augmenterait de 25 pour cent environ.
Fig. 1 Isoplèthes de rendement (P. senegalensis + P. typus + Galeoïdes + Pteroscion + Pentanemus).

Fig. 2 Isoplèthes de rendement (P. senegalensis + P. typus + Galeoïdes + Pteroscion + Pentanemus + Brachydeuterus).

Fig. 3 Isoplèthes de rendement économique (P. senegalensis + P. typus + Galeoïdes + Pteroscion + Pentanemus).

Table 1
DEMERSAL COMMUNITIES OF THE CONTINENTAL SHELF AND SLOPE OF
THE EASTERN TROPICAL ATLANTIC
(Longhurst, 1969)
Communauté à sciaenidés/Sciaenid community
Brachydeuterus auritus
Galeoïdes decadactylus
Vomer setapinnis
Pseudotolithus senegalensis
P. typus
Arius spp.
Ilisha africana
Pteroscion peli
Drepane africana
Pomadasys africana
Dasyatis margarita
Cynoglossus browni
Pentanemus quinquarius
Sphyraena spp.
Ephippion guttifer
Chloroscombrus chrysurus
Lagocephalus laevigatus
Gerres melanopterus
Espèces eurybathiques ou de la thermocline/Eurybathic or thermocline species
Trichiurus lepturus
Cynoglossus canariensis
Paragaleus gruveli
Scoliodon terranovae
Platycephalus gruveli
Torpédo torpedo
Communauté à lutjanidés/Lutjanid community
Lethrinus atlanticus
Lutjanus goreensis
Lutjanus agennes
Balistes forcipatus
Chaetodon heofleri
Acanthurus monroviae
Ostracion tricornis
Communauté à sparidés (élément côtier)/Sparid community (shallow element)
Cheilomycterus antennatus
Pagrus ehrenbergi
Dentex canariensis
Balistes capriscus
Dactylopterus volitans
Communauté à sparidés (élément profond)/Sparid community (deep element)
Priacanthus arenatus
Fistularia villosa
Pseudupeneus prayensis
Epinephelus aeneus
Pagellus coupei
Raia miraletus
Dactylopterus volitans
Sardinella aurita
Torpédo torpedo
Mustelus mustelus
Boops boops
Scomber japonicus
Trachurus spp.
Pentheroscion mibizi
Brotula barbata
Uranoscopus albescens
Lepidotrigla cadmani
L. laevispinis
Dentex angolensis
Dentex congoensis
Squatina aculeata
Paracubiceps ledanoisi
Smaris macrophthalmus
Saurida parri
Eucitharus linguatula
Sphyraena spp.
Lagocephalus laevigatus
Syacium micrurum
Neanthias accraensis
Communauté de la partie profonde du plateau/Deep shelf community
Peristedion cataphractum
Antigonia capros
Zenopis sp.
Synagrops microlepis
Bembrops heterurus
Pterothrissus belloci
Monolene microstoma
Chlorophthalmus spp.
Communauté de la pente continentale/Continental slope community
Chauna pictus
Benthodesmus tenuis
Setarches guentheri
Epigonus telescopus
Galeus polli
Moridae
Macrouridae
Etmopterus pusillus
Halosaurus oweni
Cyttus roseus
Merluccius spp.
Hoplostethus spp.
Trigla lyra
Dibranchus atlanticus
Gonostomatidae
Hypoclidonia bella
Chascanopsetta sp.
Table 2
ENVIRONMENTAL CONDITIONS AND DEMERSAL COMMUNITIES OF THE CONTINENTAL SLOPE AND SHELF OF THE EASTERN TROPICAL ATLANTIC (Williams, 1968; Table 989)
|
Conditions de milieu dans les diverses communautés
de poissons (Guinée I et II)/ |
|||
|
|
GUINEE/GUINEAN I |
GUINEE/GUINEAN II |
|
|
Sous-communauté profonde à sciaenidés/Offshore sciaenid
subcommunity |
|
|
|
|
|
Température °C/Température °C |
15.75-28.83 |
18.71-29.58 |
|
Salinité /Salinity |
27.72-35.93 |
27.88-36.10 |
|
|
Oxygène ml/l/Oxygen ml/l |
1.46-4.90 |
2.20-4.87 |
|
|
Nature des fonds/Bottom deposits |
Meubles/Soft |
Meubles/Soft |
|
|
Sous-communauté côtière à sciaenidés/Shallow
sparid subcommunity |
|
|
|
|
|
Température °C/Température °C |
17.40-25.22 |
17.50-28.34 |
|
Salinité /Salinity |
33.66-36.29 |
32.94-36.12 |
|
|
Oxygène ml/l/Oxygen ml/l |
2.21-4.59 |
1.97-4.59 |
|
|
Nature des fonds/Bottom deposits |
Durs/Hard |
Durs/Hard |
|
|
Sous-communauté profonde à sparidés/Deep sparid
subcommunity |
|
|
|
|
|
Température °C/Température °C |
13.61-27.14 |
11.70-28.34 |
|
Salinité /Salinity |
33.66-36.29 |
32.51-36.18 |
|
|
Oxygène ml/l/Oxygen ml/l |
0.59-4.70 |
1.24-4.62 |
|
|
Nature des fonds/Bottom deposits |
Durs ou meubles/Hard or soft |
Durs ou meubles/Hard or soft |
|
|
Communauté profonde/Deep community |
|
|
|
|
|
Température °C/Température °C |
13.40-15.84 |
11.70.16.55 |
|
Salinité /Salinity |
35.30-35.60 |
33.73-35.86 |
|
|
Oxygène ml/l/Oxygen ml/l |
1.73-3.04 |
1.36-3.11 |
|
|
Nature des fonds/Bottom deposits |
Durs ou meubles/Hard or soft |
Durs ou meubles/Hard or soft |
|
|
Communauté de la pente continentale/Continental slope community |
|
|
|
|
|
Température °C/Température °C |
8.95-10.38 |
8.15-15.70 |
|
Salinité /Salinity |
34.69-35.03 |
33.73-35.86 |
|
|
Oxygène ml/l/Oxygen ml/l |
1.61-2.42 |
1.07-2.24 |
|
|
Nature des fonds/Bottom deposits |
Meubles/Soft |
Meubles/soft |
|
Table 4 PRESENT KNOWLEDGE OF BIOLOGICAL PARAMETERS
Table 6
INDUSTRIAL AND ARTISANAL FISHERIES: DESCRIPTION
|
ZONE |
FISHING COUNTRY |
FISHERY |
GEAR |
NUMBER IN 1977 |
BATHYMETRIC DISTRIBUTION |
|
34.3.4. |
|||||
|
1) IVORY COAST
|
IVORY COAST
|
- TRAWLERS
|
150-600CV |
11 |
10-50m |
|
600-1000CV (seasonal) |
8 |
50-120m |
|||
|
- SHRIMPERS |
160-4000V |
9 |
20-60m |
||
|
- ARTISANAL (limited) |
Seine |
|
|
||
|
2) GHANA
|
GHANA
|
- TRAWLERS
|
8-12m (60 à 80 CV) |
126 |
0-30m |
|
18-30 m |
18 |
10-60m |
|||
|
(>30m) |
(16)1/ |
From GHANA |
|||
|
- ARTISANAL (major)
|
Beach seine |
|
0-15m |
||
|
Lines |
|
Shelf-wide |
|||
|
(TOGO) |
(TRAWLERS) |
|
|
|
|
|
3) TOGO
|
TOGO
|
- TRAWLERS |
300 CV (23m) |
2 |
10-50m |
|
- ARTISANAL (major)
|
Beach seine major |
|
0-10m |
||
|
Lines |
|
5-80m |
|||
|
4) BENIN
|
BENIN
|
- TRAWLERS |
400 CV |
7 |
10-80m |
|
- ARTISANAL (major) |
|
|
|
||
|
34.3.5. |
|||||
|
1) NIGERIA
|
NIGERIA
|
- TRAWLERS |
180-500CV (15-20m) |
30 |
0-50m |
|
- SHRIMPERS |
(20-30m) |
30 |
0-50m |
||
|
- ARTISANAL (major) |
Seine |
|
0-10m |
||
|
CAMEROON |
- SHRIMPERS |
|
|
30-70m |
|
|
2) CAMEROON
|
CAMEROON
|
- TRAWLERS
|
25-50T x |
1 |
10-50m |
|
50-100T (370 CV) |
7 |
10-50m |
|||
|
100-250T x (400 CV) |
10 |
10-50m |
|||
|
- SHRIMPERS |
50-100T x (370 CV) |
17 |
30-70m |
||
|
- ARTISANAL (lagoons) |
Seine (juvenile shrimp) |
|
0-10m |
||
|
3) EQUATORIAL GUINEA |
|
- ARTISANAL |
no data |
|
|
|
4) SAO TOME PRINCIPE |
|
- ARTISANAL |
no data |
|
|
|
34.3.6 |
|||||
|
1) GABON
|
GABON
|
- SHRIMPERS |
150-200 CV |
3 |
10-50m |
|
- ARTISANAL (small-scale) |
|
(14)2/ |
50-120m |
||
|
CONGO |
- TRAWLERS |
cf. CONGO |
|
|
|
|
SPAIN |
- SHRIMPERS |
|
|
200-500m |
|
|
2) CONGO
|
CONGO
|
- TRAWLERS |
160-575 CV |
8 |
10-100m |
|
- ARTISANAL (small-scale) |
Lines, set nets |
|
0-75m |
||
|
SPAIN |
- SHRIMPERS |
|
|
200-500m |
|
1/ Occasonally
2/ Fleet counted
Table 7
INDUSTRIAL FISHERIES - INVENTORY 0F AVAILABLE DATA
|
DIVISION/COUNTRY |
DATA TYPE |
LEVEL |
PERIOD - BASE |
RATE OF COVERAGE |
|
34.3.4 |
||||
|
1 - IVORY COAST
|
- CATCH |
· total |
(1950-1965)1/, 1966-77 monthly |
|
|
· by species (15) |
(1950-1965)1/, 1966-77 monthly by areas |
|
||
|
- EFFORT |
· global |
1958-77. 400 hp trawler fishing hours |
100% |
|
|
· by depth and by area |
1966-77. 10-20m, 20-50m, + 50m |
50% |
||
|
- DISTRIBUTION FREQUENCY |
· transects |
1966-67 (4 transects) |
|
|
|
· landings |
1974-77. Ivory-Coast, 10 species |
monthly |
||
|
- DISCARDS |
· estimated |
under 20% |
|
|
|
- SURVEYS |
· trawling |
4 transects 1966-67; NIZERY, 1978 |
|
|
|
· acoustic |
CAPRICORN, 1977 |
|
||
|
2 - GHANA |
- CATCH |
· total |
1964-70, including artisanal1/, 1970-77 |
|
|
· by trawler type and species (40) |
1971-77, all areas |
|
||
|
- EFFORT |
· by trawler |
1971-77. Small trawlers - fishing days |
100% |
|
|
type |
Mid-class by trips (4-5 days) |
|
||
|
- DISTRIBUTION FREQUENCY |
· transects |
1969-77 (excepting 1973) |
|
|
|
· landings |
Since 1969 sparids |
|
||
|
|
Since 1974 9 species |
monthly |
||
|
- SURVEYS |
· trawler |
5 TRANSECTS 1969-70 and occasionally thereafter Salzen 1956 |
|
|
|
· acoustic |
CAPRICORN 1977, FIOLENT 1976 |
|
||
|
3 - TOGO |
- CATCH |
· total |
1965-77 |
|
|
· by species (14) |
1975-77 |
|
||
|
- EFFORT |
· global |
1968-74, (1975-77)1/, fishing hours |
100%-50% |
|
|
- SURVEYS |
|
ORSTOM, 196 3-64; FIOLENT, 1976 |
|
|
|
4 - BENIN |
- CATCH |
· by species (15) |
1965-77, annual |
|
|
- EFFORT |
· global |
No. boats per year |
|
|
|
- SURVEYS |
|
ORSTOM, 1963-64 |
|
|
|
34.3.5 |
||||
|
1 - NIGERIA
|
- CATCH |
· global |
1963-77 |
|
|
· by vessel type and species (13) |
1974-77 monthly |
|
||
|
- EFFORT |
· by vessel type |
trawling hours - days at sea shrimper |
|
|
|
- DISTRIBUTION |
· weekly |
1969-77. Pseudotolithus spp. only |
|
|
|
- SURVEYS |
|
KIARA, 1962; FIOLENT, 1976 |
|
|
|
2 - CAMEROON |
- CATCH |
· global |
1959-62, 1970-77 monthly |
|
|
· by species |
1962-, 1971-77 (20 species) |
|
||
|
- EFFORT |
· by vessel type |
1970-77. 100 hp fishing days |
100% |
|
|
- SURVEYS |
|
ORSTOM, 1964; FIOLENT, 1976 |
|
|
|
3 - EQUATORIAL GUINEA |
NONE |
|
|
|
|
4 - SAO TOME AND PRINCIPE |
|
|
|
|
|
34.3.6 |
||||
|
1 - GABON |
- CATCH |
· global |
(1974-77)1/ |
|
|
2 - CONGO |
- CATCH |
· global |
1952-77 monthly by areas |
|
|
· by species (20) |
1973-77 monthly by areas |
|
||
|
- EFFORT |
· for one ship |
1961-77. Days at sea (330hp-23m) |
|
|
|
- DISTRIBUTION |
· landings |
1973-77. 7 species |
|
|
|
- DISCARDS |
|
80-90%. Brachydeuterus auritus |
|
|
1/ Estimations
Table 8
ARTISANAL FISHERIES - DATA
|
DIVISIONS/COUNTRY |
DATA TYPE |
PERIODS - REMARKS |
|
34.3.4. |
||
|
1 - IVORY COAST |
Global catch |
Old estimate 10 000 tons; pelagic + demersal |
|
2 - GHANA |
Global catch and by species |
1964-77, pelagic + demersal |
|
3 - TOGO |
Global catch |
1964-77, pelagic + demersal |
|
4 - BENIN |
Global catch |
|
|
34.3.5. |
||
|
1 - NIGERIA |
Global catch and by species |
Annual, pelagic + demersal |
|
2 - CAMEROON |
Global catch |
1964-73, Annual, pelagic + demersal |
|
3 - GUINEA |
NONE |
|
|
4 - SAO TOME PRINCIPE |
|
|
|
|
NONE |
|
|
34.3.6. |
||
|
1 - GABON |
NONE |
Approx. 500 tons pelagic + demersal |
|
2 - CONGO |
Global catch |
1973: 6 000 tons, pelagic + demersal |
Table 9
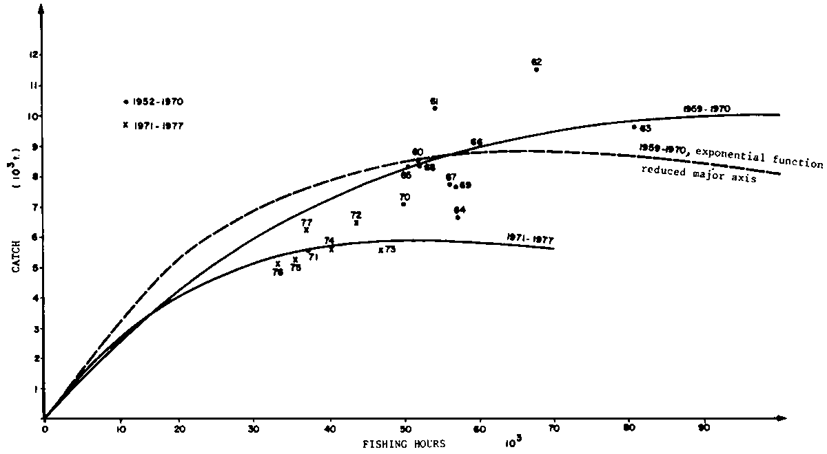
CATCH (t) STANDARDIZED EFFORT (FISHING HOURS) AND CPUE (kg/FISHING HOURS) FOR IVORY COAST TRAWLERS (CAVERIVIERE, IN PRESS)
|
YEAR |
1959 |
1960 |
1961 |
1962 |
1963 |
1964 |
1965 |
1966 |
1967 |
1968 |
1969 |
1970 |
1971 |
1972 |
1973 |
1974 |
1975 |
1976 |
1977 |
|
CATCH |
8000 |
8500 |
10200 |
11500 |
9600 |
6600 |
8300 |
8890 |
7730 |
8350 |
7650 |
7060 |
5560 |
6430 |
5530 |
5550 |
5320 |
5090 |
6130 |
|
EFFORT |
49090 |
52800 |
54550 |
74190 |
84210 |
43710 |
53900 |
62170 |
52950 |
51540 |
59300 |
44970 |
33490 |
48710 |
45700 |
37760 |
34320 |
32640 |
39550 |
|
CPUE |
161 |
161 |
187 |
155 |
114 |
151 |
154 |
143 |
146 |
162 |
129 |
157 |
166 |
132 |
121 |
147 |
155 |
155 |
155 |
A) 10-120 m TRAWLERS AND SHRIMPERS
|
YEAR |
1966 |
1967 |
1968 |
1969 |
1970 |
1971 |
1972 |
1973 |
1974 |
1975 |
1976 |
1977 |
|
|
CATCH |
8340 |
|
7310 |
5610 |
5720 |
4680 |
5070 |
3660 |
4050 |
4130 |
4390 |
4370 |
|
|
EFFORT |
56760 |
(47130) |
45150 |
45360 |
36420 |
28540 |
39940 |
32310 |
26130 |
26490 |
28340 |
29150 |
(Estimation) |
|
CPUE |
147 |
|
162 |
128 |
157 |
164 |
127 |
120 |
144 |
156 |
155 |
150 |
|
B) 10-50 m TRAWLERS AND SHRIMPERS
|
YEAR |
1966 |
1967 |
1968 |
1969 |
1970 |
1971 |
1972 |
1973 |
1974 |
1975 |
1976 |
1977 |
|
|
CATCH |
540 |
|
1060 |
1810 |
1280 |
880 |
1370 |
1690 |
1470 |
1170 |
680 |
1740 |
|
|
EFFORT |
5410 |
(5820) |
6390 |
13940 |
8540 |
4960 |
8770 |
13390 |
9630 |
7830 |
4500 |
10400 |
(Estimation) |
|
CPUE |
100 |
|
166 |
130 |
150 |
177 |
156 |
126 |
153 |
149 |
152 |
167 |
|
C) 50-120 m TRAWLERS AND SHRIMPERS
Table 10
CONGOLESE TRAWL FISHERY: USE 0F DIFFERENT MESH SIZES FOR DIFFERENT LEVELS OF EFFORT - DIRECT EFFECTS AND EFFECT ON BALANCE 0F CATCH AND YIELD (FONTANA, IN PREPARATION)
|
STRETCHED MESH (mm) |
CURRENT EFFORT |
EFFORT x 2 |
EFFORT x 3 |
EFFORT x 4 |
||||
|
EFFECTS |
EFFECTS |
EFFECTS |
EFFECTS |
|||||
|
Direct |
Balance |
Direct |
Balance |
Direct |
Balance |
Direct |
Balance |
|
|
52 |
-3 |
+2 |
-3 |
+11 |
-3 |
0 |
-3 |
-1 |
|
63 |
-13 |
+9 |
-13 |
+19 |
-13 |
+1 |
-13 |
0 |
|
77 |
-49 |
+9 |
-49 |
+46 |
-49 |
+45 |
-49 |
+39 |
MESH SIZE (STRETCHED MESH) OF CODENDS AND BEACH SEINES
|
|
TRAWLERS |
SHRIMPERS |
BEACH SEINE |
|||
|
MESH |
LEGISLATION |
MESH |
LEGISLATION |
MESH |
LEGISLATION |
|
|
IVORY COAST |
40-60 mm |
1968 |
33-40 mm |
(20 mm side) |
|
NONE |
|
GHANA |
35-50 mm1/ |
70 mm |
NO FISHERY |
MAJOR FISHERY |
48 mm |
|
|
TOGO |
40 mm Approx. |
- |
NO FISHERY |
MAJOR FISHERY |
Observations on composition by size and species |
|
|
BENIN |
NO DATA |
(Beck, 75) |
||||
|
NIGERIA |
76 mm3/ |
December 1971 |
44 mm3/ |
December 1971 |
MINOR FISHERY |
|
|
CAMEROON |
40 mm |
- |
40 mm |
- |
MINOR FISHERY |
|
|
GABON |
Probably |
- |
Probably |
- |
MINOR FISHERY |
|
|
CONGO |
40-45 mm |
- |
NO FISHERY |
MINOR FISHERY |
|
|
1/ Large trawlers
2/ Small trawlers
3/ Insufficient data on enforcement of legislation
Table 12
SELECTIVITY FACTORS FOR SPECIES 0F REGION
|
ZONE |
SPECIES |
B FACTOR |
AUTHORS |
|
CONGO |
Ilisha africana |
2,6 |
BAUDIN-LAURENCIN (1967) |
|
Pentanemus quinquarius |
3,1 |
BAUDIN-LAURENCIN (1967) |
|
|
Pseudotolithus senegalensis |
3,6 |
BAUDIN-LAURENCIN (1967) |
|
|
Pteroscion peli |
2,4 |
BAUDIN-LAURENCIN (1967) |
|
|
Cynoglossus spp. |
4,6 |
BAUDIN-LAURENCIN (1967) |
|
|
Arius spp. |
2,49 |
FONTANA-M'FINA (1974) |
|
|
Dentex angolensis |
2,16 |
FONTANA-M'FINA (1974) |
|
|
Cynoglossus canariensis |
4,60 |
FONTANA-M'FINA (1974) |
|
|
Brachydeuterus auritus |
2,50 |
FONTANA-M'FINA (1974) |
|
|
Pteroscion peli |
2,59 |
FONTANA-M'FINA (1974) |
|
|
Pentanemus quinquarius |
2,60 |
FONTANA-M'FINA (1974) |
|
|
Pseudotolithus typus |
4,08 |
FONTANA-M'FINA (1974) |
|
|
Pseudotolithus senegalensis |
3,72 |
FONTANA-M'FINA (1974) |
|
|
Pseudotolithus elongatus |
3,54 |
FONTANA-M'FINA (1974) |
|
|
Galeoides decadactylus |
2,66 |
FONTANA-M'FINA (1974) |
|
|
NIGERIA |
Galeoides decadactylus |
3,4-3,9 |
LONGHURST (1965) |
|
Ilisha africana |
2,5 |
LONGHURST (1965) |
|
|
Drepane africana |
1,2-1,6 |
LONGHURST (1965) |
|
|
Pristipoma |
3,2 |
LONGHURST (1965) |
|
|
Cynoglossus canariensis |
4,9-5,3 |
LONGHURST (1965) |
|
|
Pseudotolithus elongatus |
3,0-3,8 |
LONGHURST (1964, 65) |
|
|
Pentanemus quinquarius |
3,6-3,9 |
LONGHURST (1965) |
|
|
Arius gambiensis |
4,0 |
LONGHURST (1965) |
|
|
Pseudotolithus senegalensis |
3,9-4,6 |
LONGHURST (1964, 65) |
|
|
Pseudotolithus typus |
4,3 (cotton) |
LONGHURST (1964) |
|
|
SENEGAL |
Pagellus coupei |
2,08 |
|
|
Pagrus ehrenbergi |
1,80 |
|
|
|
Brachydeuterus auritus |
2,29 |
LHOMME ET FRANQUEVILLE |
|
|
Pteroscion peli |
2,09 |
(unpublished) |
|
|
Ilisha africana |
2,45 |
|
|
|
Galeoides decadactylus |
2,34 |
|
|
|
Pseudupeneus prayensis |
2,37 |
|
|
|
Cynoglossus spp. |
4,48 |
|
|
|
Syacyum micrurum |
2,41 |
|
|
Nr. |
Art. |
Tage |
Zugrichtung/km |
Tiefenwechael |
Tierre |
||
|
|
|
|
|
|
|
|
|
|
1 |
Baliste |
3 |
SW |
15 |
26 m |
34 m |
1 |
|
2 |
Baliste |
7 |
SW |
36 |
26 m |
30 m |
2 |
|
3 |
Baliste |
10 |
WWS |
7 |
26 m |
25 m |
2 |
|
4 |
Baliste |
10 |
SW |
8 |
26 m |
28 m |
4 |
|
5 |
Baliste |
10 |
SSW |
5 |
26 m |
30 m |
1 |
|
6 |
Baliste |
15 |
SW |
6 |
26 m |
30 m |
6 |
|
7 |
Baliste |
16 |
WWS |
13 |
26 m |
18 m |
2 |
|
8 |
Baliste |
17 |
WWS |
7 |
26 m |
24 m |
1 |
|
9 |
Baliste |
24 |
SSO |
4 |
26 m |
28 m |
1 |
|
10 |
Baliste |
26 |
SW |
6 |
26 m |
30 m |
2 |
|
11 |
Baliste |
28 |
SW |
13 |
25 m |
30 m |
1 |
|
12 |
Baliste |
26 |
NO |
24 |
26 m |
30 m |
1 |
|
13 |
Baliste |
28 |
NNW |
7 |
27 m |
28 m |
1 |
|
14 |
Baliste |
28 |
NO |
24 |
27 m |
28 m |
1 |
|
15 |
Baliste |
28 |
SW |
26 |
27 m |
26 m |
3 |
|
16 |
Baliste |
32 |
O |
30 |
27 m |
? |
1 |
|
17 |
Baliste |
42 |
O |
7 |
26 m |
29 m |
1 |
|
18 |
Baliste |
43 |
SO |
7 |
26 m |
26 m |
1 |
|
19 |
Bar |
15 |
- |
0 |
18 m |
18 m |
1 |
|
20 |
Dorade grise |
42 |
NO |
39 |
14 m |
29 m |
1 |
|
21 |
Friture |
43 |
- |
1 |
13 m |
16 m |
1 |
|
22 |
Lutjanus gor. |
30 |
W |
ca.300 |
14 m |
? |
1 |

Fig. 4: Bassam transect (Ivory Coast): Mean annual biomass of main species by depth (1966-67) (Troadec et al., 1969)
Fig. 5: Biomass of demersal species in the Bassam transect (Ivory Coast) in February 1967 (Bassam 19; Troadec et al., 1969) and in February 1978 (Campagne CHALCI I; CRO data)
(a) with Balistes

(b) without Balistes

Fig. 6b: Trawl fishery over the Ivorien continental shelf (0-50 m): relationship between cpue and fishing effort (- -) and resulting yield curves (-) (a) before and (b) after the Balistes explosion (exponential function, reduced major axis: r(a) = -0.24; r(b) = - 0.76)

Fig. 6c: Trawl fishery over the Ivorien continental shelf (50-120 m): relationship between cpue and fishing effort (- -) and resulting yield curve (-) (exponential function, reduced major axis, r = -0.66)

Fig. 8: Relative density (demersal species) along the continental shelf between Senegal and Angola (Williams, 1968)

Fig. 9: Pink prawn (Penaeus duorarum): selectivity curves for different mesh sizes expressed in mesh sides (Lhomme, 1978)

M/N2701/E/10.79/1/150