by
Ismail Abu Hassan, Safiah Sayuthi, Chu Siu Chiam
(Brackishwater Aquaculture Research Centre, Gelang Patah, Johor)
| ABSTRACT |
| This report reviews basic techniques for the preparation of pelleted feed which are considered suitable for small-scale farmers (individual or group basis). Experiments carried out on fish nutrition are also discussed. Formulated feed are given to shrimp (Penaeus monodon), sea bass, grouper and rabbitfish. |
The feeding requirement has a close relationship with the growth of fish, and consequently the productivity of a farm. Thus, together with pond management and fry production, nutrition plays an important role in the viability of the aquaculture of the fish-farming industry. Although brackishwater fish-farming in Malaysia has developed rapidly during recent years, precise knowledge of the nutritional requirement of local species such as penaeid shrimp, groupers, sea bass and rabbitfish is limited. With the increasing acreage under aquaculture, the provision of supplementary feed seems to be one of the main problems of this industry.
The feed-milling industry has long been established in Malaysia; however, very few feed-mills produce commercial feed for aquaculture. In a survey of commercial diets conducted by K.W. Chow (see Chapter 1 of this report), two feed-mills were found to have shown some interest in producing pelleted feed for aquaculture, and they even supplied some fish-farmers with their product for a period. Due to lack of experience and marketing risks, they hesitate to invest further in development of these products.
The common practice among local farmers, either in pond or cage culture systems, is to feed chopped or minced trash fish for groupers and sea bass and imported pelleted feed for shrimp. This is not good long-term practice. Imported feed is quite expensive and is expected to increase further in future. On the other hand, the availability of trash fish is unpredictable because of seasonal variations in the fishery. Usually there is a shortage of supply during the rainy season when the price is higher. Moreover, landings in the capture fisheries have been declining since the 1960s and there is no sign of recovery. This will restrict the supply of trash fish. Thus, it is not advisable to depend solely on trash fish as supplementary feed, especially with the expected rapid development of the fish-farming industry.
Efforts should be directed towards the development of suitable artificial supplementary feeds as substitutes for the present diets. The Nutritional Unit of the Coastal Aquaculture Project at Gelang Patah was given the task to conduct research on the nutritional requirement of certain brackishwater species. Research activities have concentrated on the development of low-cost formulated feeds using locally available ingredients.
It has been government policy to promote smallholders in whatever agricultural sector they belong in order to narrow economic differences among people involved in the sector concerned. The main interest of the authors is therefore to develop simple techniques for preparation of feed which are applicable to the smallholders The techniques of fabrication and levels of production discussed in this paper are considered small-scale or domestic-level. They serve as a guideline for small-scale farmers who want to prepare their own fabricated feed. Manpower requirements are few; the process can be handled by one man except that extra help is needed during drying.
The main objective in the preparation of fabricated feed is to combine several selected ingredients proportionally according to a formula in order to obtain the required amount of protein or other nutrients required in the diet. Ingredients suitable for this purpose are not only conventional feed materials, but also unconventional waste products which can be obtained from food processing plants. They can be animal, or vegetable such as soybean waste, rice bran and oil palm kernel.
Selection of the ingredient is governed by three main factors: quality, price and availability. The ingredient chosen should be obtainable at a reasonable price so that the whole process of production is economical. At the same time, it should be readily available to ensure that production of the feed can be carried out throughout the year. The most appropriate step is to make use of local ingredients whenever possible because they are usually cheaper than those imported and can be easily obtained throughout Peninsular Malaysia thanks to the efficient transportation system.
In addition to availability and price, the quality of the ingredient should be also taken into consideration. Only fresh good quality ingredients should be used. Mouldy or strongly odoured ingredients must not be used, because not only are they poor nutritionally, but the fish or shrimp may not eat them.
Among the local feed ingredients are rice bran, wheat bran, palm oil kernel, soybean meal, copra cake, fish meal, torula yeast, grass meal, molasses and shrimp head waste.
The main imported items are maize, rice bran, sorghum, tapioca chips, meat meal, fish meal, leaf meal, groundnut cake and sesame cake.
A supply of ingredients can be obtained from many feed-mills throughout Malaysia. It is advisable for the farmer to make a survey of several local feed-mills before submitting orders for the ingredient so that he can obtain the best in terms of quality and price. Quality of the ingredient plays an important role in determining the quality of the resulting feed. It is, however, also important to take price into consideration because if the price is too high, the whole process of production will not be economical.
In the case where trash fish can be obtained at very low price, say 10–30 cents/kg, then it is appropriate for the farmers to fully exploit it by using trash fish as the main ingredient. They can use the combination of trash fish and rice bran in the correct proportion to obtain the protein level required.
The ingredients are usually packed in gunny sacks or paper bags. On arrival the ingredients should be checked to ensure that the quality is acceptable. Normally, ingredients are ordered in bulk for consumption over a period, so the packages of feed ingredients are stored in a clean and dry room.
It is not practical to test every batch of the ingredient, thus it must be assumed that the percentage of nutrient in the ingredient is the same as that in previous tests. The difference is usually not significant. The nutrient content of ingredient used in feed formulations in this paper is given in Table 1; if it is necessary to substitute an ingredient, one of approximately the same composition should be used.
Formulated feed can be prepared in various forms depending on the feeding requirements of the fish. Some common forms are: dry pellet, moist or semi-moist pellet, cake or crumbs, flake for aquarium fish and powdered feed for starters. For the station's own requirements only moist and dry pellets and powdered starters need be prepared.
Most of the ingredients arrive in flake, coarse particle or crumb form. In order to obtain a water-stable, compact and well mixed diet, all the ingredients must be in fine powder form. Very coarse grinds create natural breaking points in the pellets. The pellets tend to break at the surface of the coarse particle when handled and they have poor stability in water.
Table 1
PROXIMATE ANALYSIS OF MALAYSIAN FEEDS1
| Feedstuff | % of dry matter | % Dry matter | ||||
| C. Protein | C. Fat | C. Fibre | Ash | NFE | ||
| Bone meal | 96.3 | 7.4 | 3.4 | 8.8 | 84.8 | 4.0 |
| Blood meal | 87.1 | 87.4 | 1.3 | 1.2 | 4.3 | 5.8 |
| Corn meal | 86.5 | 9.5 | 4.0 | 4.0 | 1.5 | 81.0 |
| Copra cake | 91.6 | 20.3 | 11.4 | 16.2 | 6.2 | 45.9 |
| Groundnut cake | 91.7 | 46.6 | 7.7 | 6.5 | 7.7 | 31.6 |
| Fish meal | 90.7 | 54.7 | 5.3 | 4.1 | 29.9 | 6.0 |
| Leaf meal | 90.0 | 19.5 | 5.0 | 21.5 | 8.5 | 55.5 |
| Palm oil | 98.0 | - | 95.0 | 4.0 | 1.0 | - |
| Palm kernel cake | 91.1 | 12.2 | 4.9 | 25.6 | 2.6 | 54.7 |
| Rice bran | 89.9 | 12.6 | 11.3 | 19.3 | 10.2 | 46.6 |
| Shrimp head meal2 | 84.4 | 28.3 | 1.1 | 7.1 | 31.6 | - |
| Sesame cake meal | 91.7 | 41.9 | 9.2 | 6.18 | 14.8 | 28.0 |
| Soy sauce refuse | 88.0 | 13.5 | 8.2 | 5.8 | 5.3 | 67.2 |
| Soybean refuse (fresh) | 14.1 | 39.0 | 5.0 | 11.4 | 3.6 | 41.0 |
| Soybean meal | 84.8 | 47.5 | 6.4 | 5.1 | 6.1 | 34.4 |
| Wheat flour | 87.7 | 18.1 | 94.3 | 9.4 | 5.0 | 63.4 |
| Yeast brewery | 90.3 | 47.1 | 0.3 | 6.6 | 5.3 | 40.7 |
1 C. Devendra, MARDI, 1979
2 Analysis by Chemistry Department, Johor Bahru
The first step of the processing procedure is to grind the ingredients into fine particles. This can be done using a simple locally-manufactured hammermill machine. The hammermill used in this station can produce about 100 kg/h. The hammermill must be fitted with a screen mesh of 1.0 mm diameter for final grinding of the ingredient. Premilling is necessary for coarser ingredients using 1.5 and 2.0 mm mesh screens. After grinding, each ingredient is placed in a separate bin for storage.
The ground ingredients are weighed according to a formula and put into a mixer. The mixer used in this station was manufactured locally and has a capacity of 50 kg. There are two steps to the mixing. First, the ingredients are mixed in a dry form. At this stage a binder can be added to the mixture to obtain better water stability. Normally, shrimp need a more water-stable diet than fish. It is found that a combination of 0.5% of wheat flour as a binder gives water stability of about 3 h. This is sufficient for shrimp. Other ingredients which have binding ability include agar, alginates, carageenan, guar and locust been gums, gelatine, cellulose and other combination of agents (Balazs et al., 1973).
After the ingredient has been thoroughly mixed (about 30 min) water is added. The amount of water is very important, because it will affect the quality of the pellet. It usually ranges between 40 and 45% of the dry mixture on a weight to volume basis, that is, 10 kg of dry mixture usually requires 4–4.5 1 of water.
The actual quantity of water required depends on the combination of ingredients used. Ingredients with low moisture content require a greater quantity of water than ingredients with a higher water content. Excessive moisture will cause the pellets to be far too soft and the pellets may stick together. This will cause difficulty in preparation for drying and require a longer time to dry. Their stability in water will be poor. On the other hand, if the mixture is too dry, it may cause too much pressure on the extrusion or pelleting machine and cause the mincer shaft to break. The important factor in mixing is to arrive at a level which permits a good pelleting rate and proper lubrication of the mincer while producing a pellet with the proper degree of hardness.
The amount of water added to the feed formulations has been indicated. It must be remembered, however, that moisture content of the feed ingredients varies and it may be necessary to make slight adjustments.
The mass of ingredients will be kneaded sufficiently to wet all the particles and form a dough after about 20 min.
The dough is then introduced into the meat mincer where, by extrusion through a die with small holes, it will be shaped into pellet form. Various types of pelleting machines are suitable for this purpose. The authors used two locally-made pelleting machines which have the capacity to produce about 80 kg of moist pellet per hour. These machines can be fitted with dies of various hole size according to the age classes of the fish; however, it has been found that dies with 3 mm diameter openings produce pellets which are satisfactory for most purposes.
The extruded materials are spread out on flat trays. If the correct amount of moisture has been added, the pellets can be spread on the trays without sticking together or falling apart. The tray is made of plastic mosquito screen mesh fitted on a wood frame; a rectangular frame 1 × 2 m is convenient to handle.
The trays can be placed on wooden stands about 1–1.5 m high for better circulation of air below and faster drying of the pellets. However, if such equipment is not available, the trays can be placed on the ground. They are left to dry in the sun for 1 or 2 days depending on the weather. The trays must be stacked up and covered with a thin plastic sheet at night or when it rains. The final level of moisture in the pellet will be about 10%.
The pellets can be fed to fish as soon as they are dried. Before feeding to shrimp, they should be stored at least two days. During the added storage time the pellets develop increased water stability. If used immediately after drying, they fall apart soon after being put in water.
The dried pellets are packed in gunny sacks or paper bags for storage. During the packing process the long extruded strands are broken up into small pieces which are suitable for feeding.
The store room as well as any material used for packing must be clean and dry. A moist and humid environment will induce growth of fungus on the pellets. Although antimould compounds are available these are not economical for small-scale production, because they are quite expensive. The best alternative is to maintain the store room and other material used for storage as clean and dry as possible.
The procedure for preparation of moist pellets is more or less similar to that for dry pellets with the exception of drying. The ground ingredients are mixed thoroughly in the mixer or by hand when dealing with a small quantity. Water is then added at about 30% to 40% and the batch is mixed again until a dough is formed. The dough is then passed through the pelleting machine. Normally moist pellets are not prepared in bulk because they clump together and deteriorate rapidly through fermentation, losing some of their essential nutrients. This can be avoided by making small batches and feeding soon after extrusion.
Starters are usually prepared in powder form, suitable for the fry. The ingredients are weighed according to a formula. Then they are mixed thoroughly in dry form with an addition of the amount of cooking oil specified in the formula. The starter can be placed in bins for storage. Oil plays an important role because it provides stability for the starters. Any type of cooking oil which contains saturated fatty acids composed of more than 20 carbon chain can be used for this purpose. This is an essential requirement for shrimp growth (Kanazawa, 1982, personal communication). The most commonly used cooking oils available locally for preparation of starters are soybean oil and corn oil.
Generally, the process of preparing the three different types of formulated feed (starter, dry and moist pellet) can be diagrammatically represented as follows:

Fig. 1 Flow diagram of processing formulated feed
The size and capacity of the machine described in the preceding sections are those in use at the station. The machinery requirements for a farmer setting up his own feed production unit must be geared to his own level of production. Operation can be quite modest, and since equipment for processing is fairly costly some of it can be eliminated at low levels of production. For small farms, 20–30 kg of ingredient can be easily mixed by hand; thus it would be a waste if a farmer installed a mixer for this purpose. It is usually necessary to have a grinder, because ingredients from the feedmill are often supplied in big particles or other form that is unsuitable for direct use. A simple grinder of 5 HP is adequate to produce up to a maximum of 100 kg/day ingredient. However, it is not necessary for the farmers to install a grinder if they can obtain finely ground ingredients at reasonable prices, or if they can send the ingredient elsewhere to be ground at a low cost.
Equipment essential for processing is a pelleting machine or extruder. Specially designed pelleting machines are very costly, and therefore not appropriate for use by smallholders. The best substitute is a simple meat grinder modified for pelleting purposes.
Where there are a number of fish farmers in an area of village the feed processing unit can be set up on group basis. The farmers may form a cooperative society whereby each member contributes an investment for setting up the unit and then they work together to process the feed. This will not only reduce capital requirements for individual farmers, but may also provide better equipped processing facilities. Since it is a cooperative unit, the level of production will be higher, say 100 kg. At this rate, the facilities for processing should be of higher capacity in order to meet the combined amount of output. Suggested equipment for the processing purpose for the smallholders who intend to set up their own feed unit is listed below:
Maximum of 100 kg/day
| Equipment | Cost in US$ |
| Grinder, 5 HP | 1 000.00 |
| Mixing - by hand | |
| Meat grinder for pelleting | 1 000.00 |
| Drying, using mosquito net tray 6 pieces at US$ 10 each | 60.00 |
Maximum of 500 kg/day
| Equipment | Cost in US$ |
| Grinder, 10 HP (hammermill machine) | 4 000.00 |
| Mixer, 3 HP (capacity 50 kg) | 6 000.00 |
| Meat grinder for pelleting (3 HP - 5 inch mincer die) | 4 200.00 |
| Tray for drying, depending on amount of production, max. 30 pieces at US$ 10 each | 300.00 |
The main idea of feed formulation is to supply the fish with nutrients which yield optimal production. Since precise knowledge about the nutritional requirement of fish is lacking, certain ingredients or level of vitamins are included in the formula based on feed formulations previously used successfully. The important factor in formulation is, therefore, to arrive at a definite level of nutrients through selection of appropriate ingredients which will optimize fish production at low feed cost.
Formulation is most commonly based on the protein and energy level required in the diet. Although the optimal requirements of fish vary with species, as a general rule it is much higher than for warm-blooded animals, i.e., 30–45%. Protein nutrition is really amino acid nutrition and the protein supplement (ingredient) should be chosen to satisfy the essential amino acid requirements. Each protein supplement has a different amino acid profile. Ingredients should, therefore, be combined in such a way that each complements the amino acid profile of the others. One ingredient should not substitute for another just because the level of protein is similar, the amino acid profile of each might be quite different.
A number of formulas have been tried on penaeid shrimp and some selected fish species cultured at this station. As a result, successful pelleted feed formulas have been obtained for penaeid shrimp (i.e., Penaeus monodon and P. merguiensis), a moist pellet diet for rabbitfish, and a starter for shrimp. Formulations for these diets are presented in Tables 2, 3, 4 and 5.
Table 2
COMPOSITION OF FORMULA DIET FOR PENAEUS MONODON
| Ingredient | Percent in the diet |
| Shrimp head meal | 20 |
| Fish meal | 30 |
| Soybean meal | 10 |
| Groundnut cake meal | 5 |
| Copra cake meal | 10 |
| Corn meal | 5 |
| Rice bran | 12.5 |
| Wheat flour | 7 |
| Basfin | 0.5 |
Table 3
FORMULA FOR STARTER MASH PENAEUS MONODON (40% CRUDE PROTEIN)
| Ingredient | Percent in the diet |
| Shrimp head meal | 30 |
| Fish meal | 40 |
| Soybean meal | 10 |
| Rice bran | 10 |
| Corn meal | 5 |
| Corn oil | 4 |
| Vit. mixture1 | 1 |
Table 4
MOIST PELLETS FOR SEA BASS AND GROUPER
| Dry mixture composition | |
| Ingredient | Percent in the diet |
| Fish meal | 35 |
| Soybean meal | 15 |
| Rice bran | 34 |
| Groundnut meal | 10 |
| Wheat flour | 5 |
| Vit. mixture1 | 1 |
To complete the moist diet combine 1 part of the dry mix with 1 part of fresh minced fish.
Table 5
COMPOSITION OF FORMULA DIET FOR RABBITFISH
| Ingredient | Percent in the diet |
| Fish meal | 15 |
| Soybean meal | 25 |
| Groundnut meal | 5 |
| Rice bran | 26.5 |
| Copra cake meal | 10 |
| Leaf meal | 5 |
| Wheat flour | 8 |
| Corn meal | 5 |
| Vit. mixture1 | 0.5 |
1 See Table 6 for composition (or this can be substituted by Chicken Vitamin)
Table 6
COMPOSITION OF VITAMIN MIXTURE
| Vitamins | mg/kg of dry diet |
| Thiamine - HCl | 120.0 |
| Riboflavin | 40.0 |
| Pyridoxine - HCl | 120.0 |
| Nicotinic Acid | 150.0 |
| Ca - Pantothenate | 100.0 |
| Folic Acid | 5.0 |
| Biotin | 1.0 |
| Cyanocobalamine | 0.02 |
| Inositol | 4 000 |
| Choline Chloride | 1 200 |
| Na - Ascorbate | 5 000 |
| Vitamin A | 5 000 (IU) |
| Vitamin D | 1 000 (IU) |
| Tocopherol | 200 |
| Menadione | 40 |
| 10 976.02 |
Source: Kanazawa, 1982 (personal communication)
This research programme is focused on developing a low-cost artificial feed using local ingredients. This includes several aspects of nutrition such as formulation, growth and survival, feeding methods, water stability, palatability as well as development of knowledge on interchangeability of raw materials.
The formulated feeds presented in this paper have been evaluated based on the growth rate of shrimp and fish. Gain in weight is used as an observed parameter for growth determination. For this purpose, experiments were conducted either in ponds, or in 3-m diameter pens with mesh walls built inside a 1-ha pond. Sampling was carried out at regular intervals, i.e., once a week or once every two weeks. In ponds, care must be taken to obtain a large enough sample so that the estimate of growth is reasonably accurate, and at least 100 shrimp are weighed. After each sampling, the feeding rate was adjusted based on the increase in body weight.
There are many ways to calculate the feeding rate. The following methods are used at this laboratory.
Percentage of estimated body weight. The initial weight and number of the fish or shrimp are known. Using this information a percentage of the body weight is fed every day, with some allowance made for expected mortality. For fish, set percentage of the estimated body weight is generally used. For shrimp, the percentage body weight fed is varied depending upon the size of the shrimp (Chamberlain et al., 1981). The feeding rate used for different size shrimp are given in Table 7.
Table 7
FEEDING RATES USED FOR DIFFERENT SIZE SHRIMP
| Size of shrimp (g) | Percentage of estimated weight to be fed |
| 1.5 | 19 |
| 3.0 | 11 |
| 6.0 | 6 |
| 10.0 | 4 |
| > 14.0 | 3 |
Example:
Say the average weight of shrimp in a sample is 13.5 g. A total of 22 000 shrimp were stocked, but estimated mortality is 10% so the number of shrimp has been reduced to nearly 20 000. From Table 7 it is seen that 13.5 g shrimp should be fed at 4% of the body weight.
20 000 × 13.5 × 0.04 = 10 800 g (or 10.8 kg)
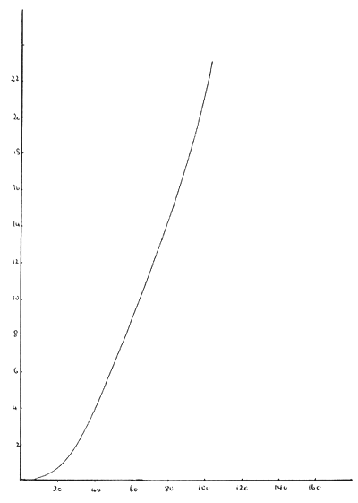
- Set the food conversion ratio (FCR). This method is based on a set FCR value and the expected gain in weight over the next seven days. The expected weight gain is estimated by using a standard curve of weight versus time based on previous data. A growth curve based on data for the station ponds is given in Figure 2.
Example:
Say the average weight of the shrimp is 13.5 g. As in the previous example the number stocked was 22 000, but mortality is estimated at 10% so the number of shrimp is 20 000. The FCR used is 1.8. The shrimp are sampled weekly, so it can be seen from Figure 2 they are expected to grow to an average weight of 16.4 g in the next seven days. The daily feeding rate is calculated by multiplying the expected increase in weight of all the shrimp in the pond by the FCR to calculate the amount of feed necessary to obtain that gain. Then the total amount of feed required is divided by 7 to determine how much food must be given daily.
| 20 000 × 16.4 g | = 328 kg expected weight of shrimp in pond 7 days |
| later | |
| 20 000 × 13.5 g | = 270 kg estimated weight of shrimp in pond now |
| 328 – 270 | = 58 kg expected increase in weight of shrimp in pond |
| × 1.8 FCR | |
| 104.4 kg of feed required for next week | |
| divided by | 7 days |
| 14.9 kg of feed daily |
Both of these methods of feeding have a major flaw: it is difficult to determine the number of shrimp or fish in a pond. If mortality is higher than expected, or if the animals stop feeding for some reason, too much food is added. This will cause the bottom to become foul and mortality will increase. If mortality is less than expected the amount of food supplied is insufficient to support good growth. In reality, the feeding rate must be adjusted slightly from time to time based on observations of past growth in each pond and the feeding activity of shrimp.
A good method of observing whether or not the shrimp are eating the feed is by the use of observation trays. At least two trays are placed in each pond. The trays are 1 m square and made of plastic mosquito mesh with a frame support of 1 m steel reinforcing rod. A wood support is put in the pond so that the tray can be lifted easily by pulling a rope. During feeding the feed is scattered evenly around the pond with some thrown on the tray. If there is no feed left on the tray after 1 h, the amount of feed may be insufficient and if the weekly sampling shows slower growth than expected the amount of feed given during the next interval should be increased. On the other hand if food remains longer than 3 h there is over-feeding and the feeding rate should be reduced immediately.
At the end of an experiment, the total amount of feed consumed by the fish or shrimp is compared to total weight gained. This ratio gives the food conversion ratio (FCR). A high value FCR indicates that a large amount of feed is required to produce a unit of growth. A low value indicates that a smaller quantity was needed to produce the same unit of growth. Thus, efficiency of a formulated feed is determined by its conversion ratio. The main objective is to find an acceptable formulated feed which can convert into fish flesh as economically as possible. Cost must be considered, and feed with the lowest FCR is generally not the best in terms of cost. It may be better to use a feed with a higher FCR if the cost per unit of growth is less.

Fig. 2 Growth rate of shrimp Penaeus monodon where growth was good
An experiment was conducted with Penaeus monodon using a dry formulated diet given in Table 2. The trial was carried out in 4 pens (A, B, C and D) for one month. Food was given daily, once in the morning and the afternoon. Sampling was carried out once a week and the feeding rate was calculated based on a set conversion ratio and the estimated body weight gained. The following data show the feeding rate and the conversion rate of each pen.
Table 8
FOOD CONVERSION RATIO OF DRY FORMULATED PELLET FOR SHRIMP
| Cage | A | B | C | D |
| Number of shrimp | 40 | 40 | 40 | 40 |
| Average initial weight of shrimp | 2.1 | 1.8 | 1.95 | 2.17 |
| Average final weight of shrimp | 7.2 | 7.97 | 7.85 | 9.23 |
| Percentage increase in weight | 260.0 | 342.8 | 302.6 | 325.4 |
| Percentage survival | 95.0 | 97.5 | 97.5 | 100.0 |
| Food conversion ratio | 1.75 | 1.36 | 1.66 | 1.40 |
The average conversion ratio was 1.54 which is quite satisfactory.
An experiment was conducted on polyculture of sea bass, Lates calcarifer, and the siganids, Siganus guttatus and S. canaliculatus, in two 0.25-ha ponds. The fish were fed with moist pelleted feed (formula given in Table 4) and the culture period was 4 ½ months. Sampling was carried out once every 2 weeks. Tables 9 and 10 show survival rate, weight gained and increases in length of each species for each pond after 4 ½ months of culture.
Table 9
SURVIVAL RATE, WEIGHT GAINED AND INCREASES
IN LENGTH OF THREE SPECIES OF FISH FOR POND 18
| Species | Gain in average weight (g) | Gain in total length (cm) | Percentage survival |
| Lates calcarifer | 52.56 | 14.04 | 35.00 |
| S. canaliculatus | 48.44 | 7.43 | 9.60 |
| S. guttatus | 90.55 | 13.29 | 91.78 |
Table 10
SURVIVAL RATE, WEIGHT GAINED AND INCREASE IN LENGTH
OF THREE SPECIES OF FISH FOR POND 19
| Species | Gain in average weight (g) | Gain in total length (cm) | Percentage survival |
| Lates calcarifer | 49.31 | 13.9 | 36.7 |
| S. canaliculatus | 60.44 | 7.9 | 10.8 |
| S. guttatus | 105.50 | 13.0 | 73.3 |
It was observed that the fish accepted the food after a few times of feeding. The increase in body weight was quite satisfactory, especially for S. guttatus. It was observed that the high rate of mortality of S. canaliculatus was due to environmental factors after heavy rainfall; it was thus concluded that moist pelleted feed is suitable for both sea bass and the siganids.
Each species has its own natural feeding habit, but most can be trained to accept artificial food of various forms in captivity. It was observed that the wild-caught fry of sea bass and groupers do not take the artificial food. This is a common problem when dealing with wild fry, because it takes time for them to adapt to the new environment and food. Usually the fish can be trained, and will consume the feed after a few days of trial. However, it is observed that different species show preference toward certain kinds of food. Fabrication of feed therefore does not only deal with nutrient requirement of the fish, but also the shape and size of the feed.
Experiments have shown positive results concerning the acceptability of pelleted feed by the siganids (Bwathondi, 1982). Similar experiments conducted at the station showed that siganids accept both moist and dried pelleted feed.
Size plays an important role in the palatability of the food because different age classes require different sizes of feed. This is especially important for shrimp. Naturally, bigger shrimp need bigger size food. Therefore, starters are specially prepared for fry, and pellets for older shrimp. Since most commercial pelleted feed for shrimp is 3 mm in diameter, the same size was used and found suitable for shrimp in growing ponds.
Apart from age class, size of food is also influenced by the natural feeding habit or the mouth structure of the fish, each species having a particular mouth structure adapted to a certain size and texture of food.
Tests for palatability can be simply carried out in any form of culture system such as tanks, cages, pens or the pond itself. For surface feeders the food should be distributed on the culture enclosure and the fish observed. If the food is palatable for that species it will be taken by the fish immediately or after a few snaps. In some cases the fish do not take the feed at all which might be due to the size of the feed (especially for young fish) or the nature of the feed itself. However, certain species need few days of trial before consuming the feed.
For bottom-feeders, observations can be made using tanks or tray systems in ponds.
Water stability is another important factor to take into consideration in the fabrication of feed because the time needed in consuming the feed differs for each species. Most fish are fast feeders, thus, water stability is not so important. However, shrimp are slow feeders and need a more water-stable diet which holds for about 3 h. If the pellets have broken down before they are consumed, the pieces of food will cause deterioration of water quality and the bottom will turn foul. This will eventually result in high mortality of the shrimp.
The rate of water stability is influenced by the binding ability and the size of the ingredients used in the pellet. Water stability can be improved by using very finely ground ingredients. This will reduce the air space between the particles; water will not be able to seep in through cracks in the pellet, and the resulting pellet will be more compact.
Each ingredient has a different level of binding ability and the water stability of pellet is thus dependent on the ingredients used. If the stability of a formulated feed does not meet the requirement of that particular species, it can be adjusted by adding binders (as stated under preparation of dry pellets) to the formula in appropriate quantities. At present a combination of 7.0% wheat flour and 0.5% Basfin is used as a binder in the shrimp diet, and this gives satisfactory results.
Although binders are very useful in improving water stability, excessive amounts may be harmful. At high rates the binders cause the food to become very hard and difficult to break up and as a result the shrimp cannot eat it. Some binders may also contain certain inhibitors that can suppress the growth of the shrimp.
Water stability of feed prepared by the extrusion method can be improved by extending the storage period at least 2 days, during which time the pellets will develop increased water stability.
Water stability of a pelleted feed can be determined by several methods. The most convenient and simplest method is to place a few pieces of pellet in a beaker (or any container) of water. The condition of the pellet is observed and the time taken for the pellet to break up noted.
REFERENCES
Balaze, G.H., 1973 E. Ross and C.C. Brooks. Preliminary studies on the preparation and feeding of crustacean diets. Aquaculture, (2): 369–77
Bryant, P.L. and A.J. Matty. 1981 Adaptation of carp (Cyprinus carpio) larvae to artificial diets. 1. Optimum feeding rate and adaptation age for a commercial diet. Aquaculture, (23): 275–86
Bwathondi, P.O.J. 1982 Preliminary investigation on rabbitfish, Siganus canaliculatus cultivation in Tanzania. Aquaculture, (27): 205–10
Chamberlain, G.U., D.L. Hutchins and A.L. Lawrence. 1981 Mono and polyculture of Penaeus varnamei and P. stylirostis in ponds. J. World Maricult.Soc., 12(1): 251–70
Halver, J.E. and K. Tiews. 1982 Finfish nutrition and fishfeed technology. Aquaculture, (29): 191–200
Hastings, W.H. and L.M. Dickie. 1972 Feed formulation and evaluation. Fish Nutrition, 327–70
Lam, T.J. Siganids: 1974 Their biology and mariculture potential. Aquaculture, (3): 325–54
Pascual, F.P. 1979 Nutrition and feeding of sugpo, Penaeus monodon. Aquaculture Extension Manual No. 3
Pathmasothy, S. 1983 A review of feeds, their processing and feeding techniques in Malaysian aquaculture systems. Paper presented to the International Conference held in Universiti Pertanian, Malaysia. Serdang, Selangor, Malaysia. (mimeo)
Phillips, A.M. 1981 The nutrition of trout. 1. General feeding methods. The Progressive Fish Culturist, 18(3): 113–9