De nombreuses campagnes de prospection ont eu lieu dans la région ces dernières années. Elles conduisent en général à des évaluation de “biomasse minimale” appelée ainsi parce que le coefficient d'efficacité du chalut est considéré comme égal à 1. Jusqu'à présent, compte tenu de l'incertitude attachée à ces résultats leur utilisation pour l'évaluation des stocks et leur aménagement a été pratiquement nulle.
A la suite des effort entrepris dans le cadre du COPACE pour rationaliser ces campagnes, des progrès notables sont accomplis au Maroc et au Sénégal où des programmes réguliers d'échantillonnage systématique ou stratifié sont en cours depuis 1980. Les données sénégalaises ne sont pas disponibles, celles du Maroc pour 1982–1983 ont été utlisées pour l'analyse du stock de merlus (voir annexe 3).
Il faut souligner que ces campagnes ne produiront des résultats vraiment utilisables que :

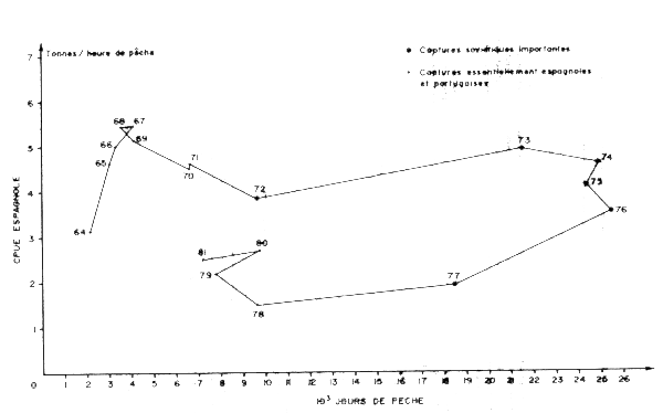
Fig. 6 - Relation cpue/effort Merlu sénégalais et Merlu noir Divisions 34.1.3 + 34.3.1 1964–1981
En Mauritanie (en 1982–83) des évaluations classiques de biomasse minimale ont été faites par la méthode des surfaces balayées. Les résultats sont donnés dans le tableau X.
Au large du Sahara occidental les prospections soviétiques en 1981– 82 montrent des biomasses minimales de merlus de 500 tonnes (Août, 1980), 4800 tonnes (Novembre, 1981) et 5800 tonnes (Août, 1983). Les faibles valeurs de 1980 s'expliquent par le fait que les prospections ont eu lieu seulement au-dessus de 300 m alors qu'en 1981–82 elles ont eu lieu jusqu'à 600 m.
Les résultats obtenus au Maroc, en ce qui concerne les biomasses minimales sont données au tableau XI.