DETOS DE BASE DE LA PESQUERIA ESPANOLA DE MERLUZA NEGRA Y SENEGALESA
EN LOS DIVISIONES 34.1.1., 34.1.3 y 34.3.1 DE CECAF
por
A. Cervantes y R. Goni
| CAPTURAS (t) | ||||
|---|---|---|---|---|
| YEAR | TRIOS | GILLNET | TOTAL | |
| ANO | BOUS | TRIOS | VOLANTA | TOTAL |
| 1970 | 13 816 | - | - | - |
| 1971 | 11 742 | - | - | - |
| 1972 | 13 086 | - | - | - |
| 1973 | 23 341 | - | - | - |
| 1974 | 24 129 | - | - | - |
| 1975 | 27 750 | - | 344 | - |
| 1976 | 24 400 | - | 288 | - |
| 1977 | 14 400 | 610 | 203 | 15 213 |
| 1978 | 10 900 | 10 | 173 | 11 089 |
| 1979 | 13 690 | 21 | 230 | 13 941 |
| 1980 | 15 693 | 24 | 197 | 15 914 |
| 1981 | 15 017 | 43 | 280 | 15 340 |
| 1982 | 20 313 | 63 | 373 | 20 749 |
Tabla 1.- Capturas españolas (en t) de merluza senegalesa + merluza negra en el área de - CECAF. Divisiones 34.1.1.+ 34.1.3.+ 34.3.1.
| AÑO | ESPUERZO | ESFUERZO | ESPUERZO | CPUE | CPUE | CPUE |
|---|---|---|---|---|---|---|
| BOUS | TRIOS | VOLANTA | BOUS | TRIO | VOLANTA | |
| 1970 | 3 081 | - | - | 4.5 | - | - |
| 1971 | 2 574 | - | - | 4.6 | - | - |
| 1972 | 3 419 | - | - | 3.8 | - | - |
| 1973 | 4 732 | - | - | 4.9 | - | - |
| 1974 | 5 252 | - | - | 4.6 | - | - |
| 1975 | 6 747 | - | - | 4.1 | - | - |
| 1976 | 6 903 | - | - | 3.5 | - | - |
| 1977 | 7 448 | 4 905 | - | 1.9 | 0.1 | - |
| 1978 | 7 112 | 2 925 | - | 1.5 | - | - |
| 1979 | 6 314 | 3 465 | 5 729 | 2.2 | - | 0.04 |
| 1980 | 5 866 | 2 205 | 3 780 | 2.7 | - | 0.10 |
| 1981 | 6 042 | 1 680 | 2 824 | 2.5 | - | 0.10 |
| 1982 | 4 822 | 2 038 | 3 015 | 4.2 | - | 0.12 |
Tabla 2. Esfuerzo (dias pesca) y rendimiento (en t/DP) de merluza senegalesa + merluza negra capturasa por españo la en el area de CECAF. Divisiones 34.1.1 + 34.1.3. + 34.3.1.
| ENERO | FEBRERO | MARZO | ABRIL | MAYO | JUNIO | JULIO | AGOSTO | SEPBRE. | OCTUBRE | NOVBRE. | DICBRE. | TOTAL | |
|---|---|---|---|---|---|---|---|---|---|---|---|---|---|
| CAPTURA (t) | 0 | 28 | 1 | 2 | 4 | 3 | 13 | 5 | 165 | 85 | 59 | 10 | 373 |
| ESFUERZO (DP) | 0 | 221 | 280 | 84 | 394 | 274 | 223 | 136 | 442 | 325 | 366 | 190 | 3 015 |
| (NM) | 0 | 22 | 18 | 6 | 30 | 19 | 17 | 10 | 35 | 25 | 28 | 14 | 224 |
| CPUE (t/DP) | - | 0.087 | 0.004 | 0.024 | 0.010 | 0.011 | 0.058 | 0.037 | 0.391 | 0.262 | 0.161 | 0.053 | 0.124 |
Tabla 3. Captura (t), esfuerzo de pesca (DP = dias pesca, NM = № de mareas) y captura por unidad de esfuerzo (t/DP) merluza senegalesa - flota de volanta - Divisioón 34.1.1. de CECAF. Año 1982.
| ENERO | FEBRERO | MARZO | ABRIL | MAYO | JUNIO | JULIO | AGOSTO | SEPBRE. | OCTUBRE | NOVBRE. | DICBRE. | TOTAL | |
|---|---|---|---|---|---|---|---|---|---|---|---|---|---|
| CAPTURA (t) | 1 830 | 1 645 | 1 669 | 1 654 | 1 578 | 1 585 | 1 065 | 1 737 | 1 653 | 1 738 | 2 001 | 2 156 | 20 313 |
| ESFUERZO (DP) | 370 | 397 | 396 | 415 | 477 | 474 | 324 | 443 | 365 | 396 | 400 | 405 | 4 822 |
| (NM) | 27 | 26 | 27 | 27 | 29 | 29 | 21 | 28 | 27 | 26 | 28 | 29 | 321 |
| CPUE (t/DP) | 4.95 | 4.14 | 4.21 | 3.99 | 3.31 | 3.34 | 3.28 | 3.92 | 4.53 | 4.39 | 5.00 | 5.32 | 4.21 |
Tabla 4.- .- Captura (t) , esfuerzo (DP = días pesca y NM = no de mareas) y capturas por unidad de esfuerzo (t/DP) de merluza senegalesa + merluza negra correspondiente a la flota española que faena en las divisions 34.1.1., 34.1.3. y 34. 3.1. dè CECAF. Año 1982.
| TALLA | ARR60 | ARR40 | VOLANTA | PALANGRE | TOTAL | TALLA | ARR60 | ARR40 | VOLANTA | PALANGRE | TOTAL |
|---|---|---|---|---|---|---|---|---|---|---|---|
| 5.0 | 0 | 0 | 0 | 0 | 0 | 55.0 | 7206 | 0 | 5101 | 0 | 12307 |
| 6.0 | 0 | 0 | 0 | 0 | 0 | 56.0 | 6332 | 0 | 3185 | 0 | 9517 |
| 7.0 | 0 | 0 | 0 | 0 | 0 | 57.0 | 4754 | 0 | 3187 | 0 | 7941 |
| 8.0 | 0 | 0 | 0 | 0 | 0 | 58.0 | 4802 | 0 | 1538 | 0 | 6370 |
| 9.0 | 0 | 0 | 0 | 0 | 0 | 59.0 | 1501 | 0 | 1191 | 0 | 2692 |
| 10.0 | 0 | 0 | 0 | 0 | 0 | 60.0 | 1809 | 0 | 1450 | 0 | 3267 |
| 11.0 | 0 | 0 | 0 | 0 | 0 | 61.0 | 1403 | 0 | 530 | 0 | 1933 |
| 12.3 | 0 | 0 | 0 | 0 | 0 | 62.0 | 811 | 0 | 735 | 0 | 1046 |
| 13.0 | 0 | 0 | 0 | 0 | 0 | 63.0 | 1035 | 0 | 1230 | 0 | 2265 |
| 14.2 | 0 | 0 | 0 | 0 | 0 | 64.0 | 513 | 0 | 453 | 0 | 66 |
| 15.0 | 0 | 0 | 0 | 0 | 0 | 65.0 | 327 | 0 | 76 | 0 | 403 |
| 16.0 | 0 | 0 | 0 | 0 | 0 | 66.0 | 0 | 0 | 431 | 0 | 461 |
| 17.0 | 4948 | 0 | 0 | 0 | 4940 | 67.0 | 0 | 0 | 719 | 0 | 719 |
| 18.0 | 4516 | 0 | 0 | 0 | 4516 | 68.0 | 311 | 0 | 119 | 0 | 430 |
| 19.0 | 12733 | 0 | 0 | 0 | 12733 | 69.0 | 773 | 0 | 0 | 0 | 773 |
| 20.0 | 44714 | 0 | 0 | 0 | 44714 | 70.0 | 0 | 0 | 226 | 0 | 226 |
| 21.0 | 112398 | 0 | 0 | 0 | 112398 | 71.0 | 0 | 0 | 345 | 0 | 345 |
| 22.0 | 373225 | 0 | 0 | 0 | 393225 | 72.0 | 0 | 0 | 0 | 0 | 0 |
| 23.0 | 590675 | 0 | 0 | 0 | 590675 | 73.0 | 0 | 0 | 0 | 0 | 0 |
| 24.0 | 105500 | 0 | 0 | 0 | 105500 | 74.0 | 0 | 0 | 0 | 0 | 0 |
| 25.0 | 1302530 | 0 | 0 | 0 | 1302530 | 75.0 | 0 | 0 | 0 | 0 | 0 |
| 26.0 | 1849240 | 0 | 0 | 0 | 1849240 | 76.0 | 238 | 0 | 0 | 0 | 238 |
| 27.0 | 1680732 | 0 | 0 | 0 | 1680730 | 77.0 | 0 | 0 | 0 | 0 | 0 |
| 28.0 | 1931770 | 0 | 0 | 0 | 1931770 | 78.0 | 0 | 0 | 0 | 0 | 0 |
| 29.0 | 1835850 | 0 | 0 | 0 | 1835850 | 79.0 | 0 | 0 | 0 | 0 | 0 |
| 30.0 | 1951430 | 0 | 0 | 0 | 1951430 | 80.0 | 0 | 0 | 0 | 0 | 0 |
| 31.0 | 1791800 | 0 | 11 | 0 | 1791810 | 81.0 | 0 | 0 | 0 | 0 | 0 |
| 32.0 | 2094850 | 0 | 109 | 0 | 2094960 | 82.0 | 0 | 0 | 0 | 0 | 0 |
| 33.0 | 1851110 | 0 | 101 | 0 | 1851210 | 83.0 | 0 | 0 | 0 | 0 | 0 |
| 34.0 | 1766870 | 0 | 318 | 0 | 1767190 | 84.0 | 0 | 0 | 0 | 0 | 0 |
| 35.0 | 1479510 | 0 | 486 | 0 | 1480000 | 85.0 | 0 | 0 | 0 | 0 | 0 |
| 36.0 | 1404920 | 0 | 537 | 0 | 1405460 | 86.0 | 0 | 0 | 0 | 0 | 0 |
| 37.0 | 1495960 | 0 | 1007 | 0 | 1486970 | 87.0 | 0 | 0 | 0 | 0 | 0 |
| 38.0 | 1532500 | 0 | 1341 | 0 | 1583840 | 88.0 | 0 | 0 | 0 | 0 | 0 |
| 39.0 | 1485140 | 0 | 1985 | 0 | 1467130 | 89.0 | 0 | 0 | 0 | 0 | 0 |
| 40.0 | 1453500 | 0 | 1917 | 0 | 1455420 | 90.0 | 0 | 0 | 0 | 0 | 0 |
| 41.0 | 1149220 | 0 | 4239 | 0 | 1153460 | 91.0 | 0 | 0 | 0 | 0 | 0 |
| 42.0 | 1041750 | 0 | 9223 | 0 | 1051170 | 92.0 | 0 | 0 | 0 | 0 | 0 |
| 43.0 | 845719 | 0 | 9871 | 0 | 855590 | 93.0 | 0 | 0 | 0 | 0 | 0 |
| 44.0 | 717520 | 0 | 21394 | 0 | 738714 | 94.0 | 0 | 0 | 0 | 0 | 0 |
| 45.0 | 580402 | 0 | 23452 | 0 | 603854 | 95.0 | 0 | 0 | 0 | 0 | 0 |
| 46.0 | 505362 | 0 | 23772 | 0 | 534334 | 96.0 | 0 | 0 | 0 | 0 | 0 |
| 47.0 | 359512 | 0 | 29777 | 0 | 369289 | 97.0 | 0 | 0 | 0 | 0 | 0 |
| 48.0 | 340512 | 0 | 28323 | 0 | 360840 | 98.0 | 0 | 0 | 0 | 0 | 0 |
| 49.0 | 252154 | 0 | 22906 | 0 | 275060 | ||||||
| 50.0 | 170056 | 0 | 15655 | 0 | 165711 | ||||||
| 51.0 | 112452 | 0 | 18470 | 0 | 130922 | ||||||
| 52.0 | 93028 | 0 | 15373 | 0 | 108406 | ||||||
| 53.0 | 65643 | 0 | 17432 | 0 | 88675 | ||||||
| 54.0 | 47762 | 0 | 15510 | 0 | 63272 |
Tabla 5.- Composición por tallas de la captura española, por modalidad y total, de merlaza senegalesa + merluza negra en el área de CECAF. Año 1982.
| Lt(cm) | % ♂ | % ♀ | TOTAL (№) |
|---|---|---|---|
| 10–14 | - | - | 1 |
| 15–19 | - | - | 10 |
| 20–24 | 44 | 56 | 15 |
| 25–29 | 61 | 39 | 29 |
| 30–34 | 38 | 62 | 84 |
| 35–39 | 40 | 60 | 102 |
| 40–44 | 27 | 73 | 74 |
| 45–49 | 18 | 82 | 11 |
| 50–54 | 13 | 87 | 8 |
| 55–59 | (8) | (92) | 1 |
| 60–64 | (3) | (97) | 2 |
| 65–69 | (1) | (99) | - |
| 70–74 | 0 | 100 | 1 |
| 75–79 | (0) | (100) | - |
| TOTAL (№) | - | - | 338 |
| CAPTURA (%) | 40.9 | 59.1 | - |
Tabla 6.- Relación de sexos por intervalos de talla de merluza senegalesa en el área de CECAF. Año 1982.
| Ecuaciones talla-peso entero | n | r | Rango (Ltcm) | |
|---|---|---|---|---|
| ♂ | W(g) = 0.00956. L2.9195(cm) | 103 | 0.98 | 23–45 |
| ♀ | W(g) = 0.00594 L3.05365(cm) | 168 | 0.98 | 21–71 |
| Total | W(g) = 0.00679 L3.00867(cm) | 325 | 0.92 | 15–71 |
| Ecuaciones talla-peso eviscerado | n | r | Rango (Lt(cm) | |
| TOTAL | W(g) = 0.13992 L2.19628(cm) | 208 | 0.89 | 24–74 |
Factor de conversión fresco-eviscerado: f = .9557
Tabla 7.- Relaciones talla-peso entero, talla-peso eviscerado y factor de conversión peso fresco-eviscerado para merluza senegalesa en el área de CECAF. Año 1982.
QUELQUES DONNEES SUR LES MERLUS DE LA ZONE ECONOMIQUE MAURITANIENNE
par
S. Overko, P. Boukatine et B. Ly
(CNROP, Nouadhibou, Mauritanie)
1. INTRODUCTION
Les dix dernières années, entre 300.000 et 600.000 tonnes de poissons et d'invertébrés (ces derniers surtout composés de céphalopodes) ont été pêchées dans les eaux mauritaniennes. Les poissons pélagiques constituent la base de la pêcherie industrielle, tandis que la pêche démersale est axée sur les céphalopodes (poulpes, calmar, et seiche). D'autres démersaux tels que des Sparidés, des Sciaenidés, des Pomadasyidés et des merluccidés (M. senegalensis et M. polli) ne font pas l'objet d'une pêcherie spécialisée mais sont plutôt capturés accidentellement par la pêcherie pélagique.
Pour la gestion de ces stocks, des connaissances sur leur dynamique, leur distribution géographique, et sur leur biologie sont nécessaires. Depuis plus de 10 ans ont été effectuées des observations sur ces ressources démersales. En 1982 et 1983, 10 campagnes d'évaluation quantitative des ressources ont eu lieu dans les eaux mauritaniennes avec le bateau de de recherche du CNROP (Ndiago) et ceux de la République Démocratique d'Allemagne, (Ernst Haeckel, Walter Barth, Alexander von Humboldt, Eisbä et K. Wolff). En outre, ont été étudiés le comportement, la distribution et la biologie de quelques espèces de même que la structure par longueurs et âges des populations, la croissance, la reproduction, les relations trophiques, etc…
Le présent travail constitue une première tentative de synthèse des résultats obtenus pour les merlus de la zone mauritanienne.
2. MATERIEL ET METHODES
Pour les caractéristiques biologiques des merlus, nous disposons des travaux publiés par le COPACE, (COPACE/PACE 78/9, et FAO, 1981, et COPACE/TECH/81/31). Les articles parus dans le Bulletin du CNROP (Bast et al., 1983, Bergerard et al., 1983) les données non-publiées résumées dans la série des Archives du CNROP (Bergerard et Richer de Forges, 1983, Bergeard et al., 1983, Gaudechoux et Richer de Forges, 1983a et Boukatine, 1983). Pour l'évaluation de l'état des stocks de merlus nous avons utilisé les résultats obtenus lors des campagnes de prospection effectuées en février-avril 1982 (Walter Barth, Ernst Haeckel)et répétées dans la même période de 1983 (Ndiago, Walter Barth, Eisbär et Alexander von Humboldt). Ces campagnes de chalutage de fond ayant pour buts de collecter des données, pour l'évaluation des stocks et d'évaluer la répartition géographique des espèces, furent menées selon un plan d'échantillonnage au hasard et couvraient la gamme des profondeurs de 10 à 1000 m. Le chalutage a été effectué de jour, la durée des traits étant de 30 minutes ou une heure et la vitesse d'environ 3,5 noeuds.
L'estimation de la biomasse relative et de l'abondance numérique des poissons a été basée sur des méthodes courantes, en partant de l'hypothèse que les captures par unitè d'effort soient représentatives de la biomasse. Les calculs ont été effectués à partir de la formule suivante:
Bmin= S/S × P
où S : l'aréal de distribution de l'espèce (en milles carrés)
s : l'aire balayée par le chalut (en milles carrés) 1
P : la capture par unité d'effort (en kg)
Les calculs pour l'estimation de l'effectif “minimum” sont effectués de la même façon. On utilise au lieu de la capture mayenne par unité d'effort la quantité de poissons d'une espèce donnée capturée.
Le calcul de l'abondance absolue des stocks de merlus 2 a été fait selon la formule :
Babs = Bmin ÷ K
où K = coefficient de capturabilité, a été estimé à 0,25.
3. TAXONOMIE
Trois espèces de merlus peuplent la zone mauritanienne: Merluccius merluccius (L. 1758), M. senegalensis (Cadenat 1950) et M. Polli (Cadenat 1950).
Les principales différences entre ces trois espèces sont résumées au tableau 1.
| Espèces | Nombre de vertèbres | Nombres de branchiospines | Auteurs |
|---|---|---|---|
| M. merluccius | 49–51 | 10–12 | Maurin 1968 |
| M. senegalensis | 52–54 | 13–21 | Svetovidov 1948 |
| M. polli | 54–58 | 10–12 | Letaconnoux 1955 |
| Doutre 1960 |
En plus, M. senegalensis a deux taches sombres sur la membrane de sa mâchoire inférieure et M. polli une seule grande tache. M. merluccius n'a pas de tache.
4. DISTRIBUTION DES ESPECES
Les campagnes de chalutage effectuées en 1983 sur le plateau continental et le talus mauritanien ont montré que Merluccius senegalensis est l'espèce dominante parmi les merlus de cette région. En Février-Mai, sur le plateau continental de la zone Nord (Cap Blanc-Cap Timiris), M. senegalensis représentait 97,9% des captures de merlus et M. merluccius 2,1%. Dans la zone centrale (Cap Timiris-Nouakchott), ces proportions étaient : M. senegalensis 96.5% et M. polli 3.5%. Au mois de Juillet, lors des recherches sur le talus continental, les pourcentages de M. senegalensis étaient 80.4% au Nord, 60,8% au centre et 5,7% au Sud (Nouakchott-Saint Louis). En Août M. senegalensis constituait 100% au Nord et 80% au centre et au Sud de la Mauritanie.
4.2 Distribution des merlus dans la zone mauritanienne en 1982–1983
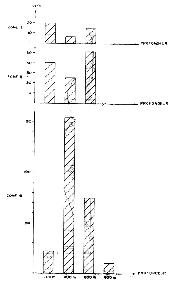
Les figures 1 et 2 montrent l'aire de distribution des merlus en 1982 et 1983.
| FEVRIER - AVRIL -82 | FEVRIER - AVRIL -83 | |||||||
|---|---|---|---|---|---|---|---|---|
| ZONES | PROFONDEUR (m) | |||||||
| 200 | 400 | 600 | 800 | 200 | 400 | 600 | 800 | |
| Cap-Blanc- Timiris | 19,8 | 6,5 | 15,6 | - | 123,9 | 37,1 | 4,8 | - |
| Cap Timiris - Nouakchott | 40,3 | 25,0 | 51,9 | - | 189,9 | 15,5 | 8,6 | - |
| Nouakchott - Saint Louis | 22,3 | 155,5 | 75,5 | 10,6 | 50,1 | 31,8 | 1,8 | - |
| Moyenne par profondeur | 28,8 | 93,6 | 57,6 | 5,3 | 111,8 | 26,8 | 9,9 | - |
La figure 3 résume ces mêmes données en graphique pour 1982.
Les résultats des campagnes du Ndiago en Février-Mai, Juin et Août 1983 sur le plateau continental et le talus mauritanien sont exposés au tableau 3.
| FEV/MAI 1983 | JUIN 1983 | AOUT 1983 | ||||||||||
|---|---|---|---|---|---|---|---|---|---|---|---|---|
| 200 m | 200 m | 400 m | 500–600 m | 200 m | 400 m | |||||||
| M.spp. | M.S. | M.spp. | M.S. | M.spp. | M.S. | M.spp. | M.S. | M.spp. | M.S. | M.spp. | M.S. | |
| Cap blanc Timiris | 9,6 | 9,4 | 32,5 | 27,0 | 22,6 | 20,1 | 24,2 | 13,4 | 21,3 | 21,3 | 14,6 | 14,6 |
| Timiris Nouakchott | 14,4 | 13,9 | 7,0 | 3,6 | 26,6 | 17,4 | 11,1 | 6,4 | 0,9 | 0,9 | 2,0 | 1,9 |
| Nouakchott St.Louis | - | - | 19,3 | 17,8 | 29,6 | 29,4 | 14,0 | 5,7 | 4,0 | 4,0 | 2.7 | 2,6 |
| Moyenne | 13,6 | 13,2 | 20,7 | 17,3 | 24.5 | 20,6 | 16,9 | 8,4 | 11,6 | 11,6 | 8,1 | 8,0 |
N.B.: En août, la profondeur de 600 m n'a pas été pêchée
4.3 La composition en longueurs par zone et profondeur
Lors des campagnes, les tailles des merlus capturés ont été comprises entre 21 et 70 cm. La figure 4 montre les fréquences des longueurs observées lors du mois de mars 1982. Généralement, on remarque un accroissement de la taille avec la profondeur. Les tailles moyennes en fonction de la profondeur et par zone sont illustrées au tableau 4.
| ZONES | FEVRIER – AVRIL 82 | FEVRIER – AVRIL 83 | ||||||
|---|---|---|---|---|---|---|---|---|
| PROFONDEURS | PROFONDEURS | |||||||
| 200 | 400 | 600 | 800 | 200 | 400 | 600 | 800 | |
| I | 35,80 | 40,40 | 49,10 | - | 31,81 | 38,80 | - | - |
| (Nord) | (22–46) | (32–49) | - | - | ||||
| II | 29,10 | 34,40 | 50,40 | 33,03 | 35,35 | 46,15 | - | |
| (Centre) | (21–43) | (32–40) | (33–56) | - | ||||
| III | 30,90 | 31,90 | 47,50 | 51,20 | 36,57 | 38,40 | ||
| (Sud) | (26–44) | (26–56) | ||||||
5. STATISTIQUES DE CAPTURES
Depuis l'introduction de chalut pélagique, l'importance des gadiformes, y compris les merlus a beaucoup diminé dans les captures industrielles. Le tableau 5 résume les captures de ces poissons depuis 1969. En 1973–1974, un total de 32–33 000 tonnes de gadiformes a été capturé, représentant 6–7% de la capture totale en Mauritanie. Depuis 1980, leur contribution est inférieure à 1%. Les prises mensuelles de merlus durant cette période sont données au tableau 6. Toutes ces statistiques proviennent des Bulletins du CNROP.
| 1969 | 1970 | 1971 | 1972 | 1973 | 1974 | 1975 | 1976 | 1977 | 1978 | 1979 | 19801 | 19811 | 19821 | 19831 | |
|---|---|---|---|---|---|---|---|---|---|---|---|---|---|---|---|
| PRISES | |||||||||||||||
| (x 1 000 tonnes) | 5,6 | 8,9 | 9,5 | 11,4 | 32,1 | 33,2 | 12,6 | 25,6 | 13,8 | 8,0 | 3,7 | 1,9 | 0,2 | 0,8 | 3,4 |
| % de la Capture | |||||||||||||||
| totale dans la | 2,0 | 2,1 | 2,2 | 3,2 | 7,4 | 6,7 | 2,6 | 4,6 | 2,4 | 2,7 | 1,5 | 0,3 | 0,7 | 0,3 | 0,9 |
| région |
1 A partir de 1980, ces chiffres concernent uniquement les merlus
| MOIS | 1980 | 1981 | 1982 | 1983 |
|---|---|---|---|---|
| JANVIER | 0 | 47,5 | 39,7 | 132,2 |
| FEVRIER | 0 | 25,6 | 17,3 | 297,4 |
| MARS | 20,1 | 20,3 | 3,0 | 396,1 |
| AVRIL | 623,3 | 31,7 | 12,0 | 1262,1 |
| MAI | 603,4 | 3,5 | 39,4 | 553,3 |
| JUIN | 462,3 | 5,0 | 0,1 | 555,0 |
| JUILLET | 131,6 | 7,5 | 110,5 | 136,2 |
| AOUT | 0 | 0 | 30,9 | 52,3 |
| SEPTEMBRE | 0 | 1,9 | 44,0 | 3,9 |
| OCTOBRE | 0 | 22,9 | 137,9 | 1,4 |
| NOVEMBRE | 1,9 | 35,6 | 115,6 | 19,8 |
| DECEMBRE | 19,8 | 49,1 | 237,7 | 37,9 |
| TOTAL | 1862,4 | 250,6 | 781,1 | 3447,6 |
6. EVALUATION DES STOCKS
Les merlus ne sont en Mauritanie pas une espèce cible de la pêcherie. Leurs captures sont, en fait, largement accidentelles et relativement stables, à part quelques variations entre années et saisons. Nous estimons donc que ces stocks ne sont pas surexploités en Mauritanie. Les recherches effectuées en 1982–1983 semblent indiquer que le stock relatif minimum de M. senegalensis serait de l'ordre de 3,3–5,9 mille tonnes. En utilisant un coefficient de capturabilité de 0,25, les biomasses de cette espèce en Février—Avril 1982 et 1983 ont été respectivement 13,08 et 24,24 mille tonnes (tableau 7).
En 1982, la plus grande partie du stock se trouvait dans la zone III, au Sud, tandis qu'en 1983, 93% de la biomasse de M. senegalensis était rencontrée aux zones I et II (tableau 7).
7. CONCLUSIONS
On trouve trois espèces de merlus dans les eaux mauritaniennes : Merluccius senegalensis, Merluccius merluccius, et Merluccius polli = (cadenati). L'espèce dominante est M. senegalensis.
La biologie de ces espèces est peu ètudiée. Leur distribution bathymétrique est fonction de leur taille. Les juvéniles occupent les petits fonds; à 200 m, la taille moyenne est de 29,1 cm et à 800 m de 51,2 cm.
Les stocks de merlus ne sont pas surexploités. Le stock relatif était de 3,3 mille tonnes en 1982 et de 5,9 tonnes en 1983, correspondant à des biomasses absolues de 13,08 et 23,48 mille tonnes.
Il n'y a pas de pêche spécialisée aux merlus en Mauritanie.
L'estimation correcte des stocks de merlus et la formulation de recommandations pour leur exploitation rationnelle necessitera une étude approfondie de leur biologie, distribution et de la dynamique de leurs populations.
8. RECOMMANDATIONS POUR DE FUTURS TRAVAUX
1. Contrôle régulier de l'état des stocks de merlus par des campagnes de chalutage sur le plateau continental et le talus mauritanien.
2. Etudes biologiques et écologiques des merlus
2.1 Fréquences des longueurs dans les captures
2.2 Composition en âges des captures. Etude des paramètres de croissance.
2.3 Reproduction, sex ratio ; fécondité, zones, conditions et périodes de fraie. Etude des premiers stades de développement.
2.4 Régime alimentaire
2.5 Définition des stocks unitaires. Recherches morphologiques et biochimiques.
3. Etudes du milieu environnant dans le but de déterminer les facteurs qui influent sur l'état des populations.
4. Etudes des données statistiques de la pêche démersale
4.1 Types de pêche et niveaux de l'effort
4.2 Relation entre captures et efforts de pêche
5. Etude de la sélectivité des engins de pêche dans le but de définir les coefficient de capturabilité
6. Calcul, à l'aide de modèles mathématiques, de la biomasse absolue, les captures autorisées, le rendement maximum soutenu, le niveau optimum de l'effort, etc.
8. REFERENCES BIBLIOGRAPHIQUES
Bast, D., P. Bergerard, K. Lambert, J. Maigret, B. Richer de Forges, V. Soukhovershine 1983 et R. Weiss, Exploration par chalutage du talus continental des côtes mauritaniennes (missions du N/R “Ernst Haeckel” et du “Walter Barth” Mars/Avril 1982). Bull.CNROP 11(1) : 157–215.
Bergerard, P., F. Domain et B. Richer de Forges, 1983 Evaluation par chalutage des ressources démersales du plateau continental mauritanien. Bull.CNROP 11(1) : 217–290
Bergerard, P. et B. Richer de Forges, 1982 Campagnes de chalutages du N/O Ndiago en 1982 (données brutes). Arch.CNROP 1
Bergerard, P., et B. Richer de Forges, 1983 Campagnes de chalutages du N/ Ndiago en 1983 (données brutes-mission 8301). Arch.CNROP 2
Bergerard, P., B. Richer de Forges, J. Sevellec et M. Diop, 1983 Campagnes de chalutages du N/O Ndiago en 1983 (données brutes-mission 8303 Avril-Mai 1983). Arch.CNROP 3
| STOCK | |||||||||
|---|---|---|---|---|---|---|---|---|---|
| Mois | Bateaux | Zones | surface couverte milles 2 | CPUE kg | aire balayée (miles2) | RELATIF | ABSOLU | ||
| Nombres | Biomasse | Nombres | Biomasse | ||||||
| (x 106) | (x 103t) | (x 106) | (x 103t) | ||||||
| Mars | Walter Barth | I Cap Blanc-Timiris | 1100 | 13,6 | 0,04 | - | 0,346 | - | - |
| 1982 | Ernst Haeckel | ||||||||
| II Timiris-Nouakchott | 1300 | 32,9 | 0,04 | - | 0,964 | - | - | ||
| III Nouakchott Saint Louis | 1300 | 66,0 | 0,04 | - | 1,960 | - | - | ||
| Région totale | 3700 | - | 0,04 | - | 3,270 | - | 13,08 | ||
| Février | Walter Barth | Cap Blanc-Timiris | 1100 | 80,5 | 0,04 | 6,312 | 2,012 | - | - |
| 1983 | Eisbär | ||||||||
| Alexander | Timiris-Nouakchott | 1300 | 68,3 | 0,04 | 6,589 | 2,018 | - | - | |
| von Humboldt | Nouakchott Saint Louis | 1300 | 10,0 | 0,04 | 1,002 | 0,296 | - | - | |
| Ndiago | 20°36–18°26 | 1700 | 13,2 | 0,019 | 2,147 | 1,530 | - | - | |
| Région totale | 5400 | - | - | 16,050 | 5,856 | 64,20 | 23,42 | ||
Boukatine, P., J.P. Gaudechoux, B. Richer de Forges, et D. Sy, 1983 Campagnes de chalutages du N/C Ndiago en 1983 (Septembre et Décembre 1983). Arch. CNROP 6
COPACE, 1979 Rapport du Groupe de travail ad hoc sur les merlus (Merluccius merluccius, M. senegalensis et M. cadenati) dans la zone Nord du COPACE. COPACE/PACE Séries 78/9 : 93p
COPACE, 1981 Contributions soviétiques à l'évaluation des ressources halieutiques dans la région du COPACE. COPACE/TECH/81/31 : 84 p.
FAO, 1981 Conclusions of the preliminary meeting on hakes pp 20–32 in Report of the Fifth Session of the CECAF Working Party on Resource Evaluation FAO.Fish.Rep. 244 : 127 pp.
Gaudechoux, J.P. et B. Richer de Forges, 1983a Mission d'exploration du talus continental (Walter Barth-Ernst Haeckel, Mars-Avril 1982). Arch.CNROP 4
Gaudechoux, J.P., et B. Richer de Forges, 1983b Missions d'exploration du talus continental (N/O Ndiago Juin et Août 1983) Arch.CNROP.5

Fig. 1 - Distribution des merlus dans la zone de Mauritanie en mars-avril 1982 (Donners des N/O W. BARTH et E. HAECKEL

Fig. 2 - Distribution des merlus dans la zone de Mauritanie en février-avril 1983 (Données des N/O N'DIAGO, W. BARTH, A. HUMBOLDT et EISBÄR
Fig. 3 Merluccius spp. Rendement/heure par zone et profondeurs (kg) Mauritanie, mars 1982

Fig. 4 - Merluccius spp. Répartition des tailles par profondeur et zones Mauritanie, mars 1982
