
Fig. 1 The Cameroonian coastline showiing llocation of major rivers, estuaries and fishing settlements

Fig. 2 Bottom deposits on the continental shelf of Cameroon and depth contours, based on Villegas and Garcia (1983)

Fig. 3 Diagrammatic representaion of fish community distribution on the continental shelf, based on Crosnier (1964)

Fig. 4 Statistical regions and major coastal settlement sampled for artisanal catches, based on Njock (1985)

Fig. 5 The location of fishing grounds for both artisanal and industrial fisheries of Cameroonm based on Njock (1985)

Fig. 6 The distribution patterns of species assemblages on the continental shelf of Cameroon, based on Villegas and Garcia (1983)

Fig. 7 Global production models and maximum sustained yield of the total demersal stocks of Cameroon

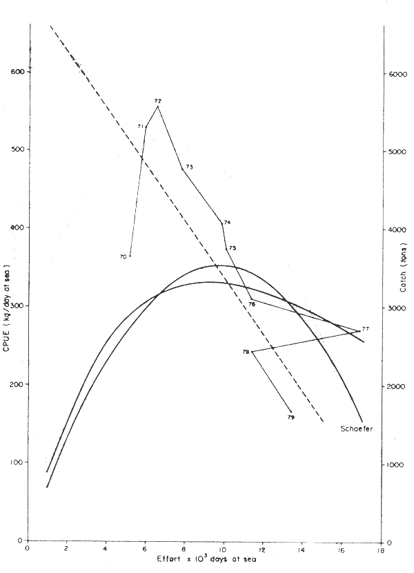
Fig. 8 Global production models and maximum sustained yeild of the combined Nigeria/Cameroon stock of Panaeus notialis (based on Cameroonian CPUE data)