by
T. Twongo
Uganda Freshwater Fisheries Research Organisation
P.O. Box 343, Jinja, Uganda
Within the past thirty years, the fisheries of Lake Kioga have changed from a complex multispecies base to one dominated by two introduced species (the planktivorous Oreochromis niloticus and the predaceous Lates niloticus) and the indigenous pelagic zooplanktivore, Rastrineobola argentea.
This transformation is probably largely attributable to the superior competitive ability of the exotic fishes which were introduced in the 1950s. However, it may also be due, in part, to the dramatic rise in lake level in the early 1960s which inundated extensive macrophyte and sudd communities and considerably increased the nutrient level and productivity potential of the shallow lake.
Although the decline in species diversity has been accompanied by a steady increase in the yield to the fishermen, at least up until 1978, the great reduction in species diversity may mean that fish yields will not remain at the current high levels.
Lake Kioga lies almost in the centre of Uganda just north of the equator. The lake comprises two major arms, namely, the deeply indented main Kioga arm and the Kwania arm to the north-west. There are also many ‘minor lakes’ engulfed in papyrus (Cyperus papyrus and sedge swamp to the east. Lake Kioga, which was formed as a result of back ponding of the Kafu River (Beadle, 1974), receives the outflow from lake Victoria and drains into Lake Albert via the River Nile. The present open lake area (excluding the minor lakes) is about 2,300 km2 of shallow water (generally between 3.5 and 4.5m deep with a maximum of 5m). In its recent history, the lake was shallower and older fishermen report that it was possible to wade across parts of the lake in a north-south direction during the dry season. The lake was then much smaller and extensive sudd and swamp almost surrounded the entire narrow water-body (Worthington, 1929). Most bays and shallow banks were also choked with rooted and floating macrophytes (see Table 1). The extension of the open water area and increase in the depth of the lake were the result of the high water levels between 1961 and 1964 which led to inundation of the swamps and cleared the lake of sudd islands.
The indigenous fishes of Lake Kioga comprised a diverse fauna which, until the early 1960s, was the basis of a stable multi-species fishery based on at least five taxa of major economic importance. Before the introduction of flax gillnets and longlines in the early 1950's, the Kioga fisheries were basically subsistance oriented, serving the many tribes around the lake (Stoneman and Rogers, 1970). Exploitation was mainly by basket traps, locally constructed hooks and a type of seine made from papyrus stalks. Introduction of the much more efficient gillnet helped convert the fishery into a truly commercial enterprise with the excess catch being sold far from the lake shore. However, it was the introduction of non-indigenous fishes, notably predatory Lates niloticus and planktivorous Oreochromis niloticus (formerly Tilapia nilotica), into Lake Kioga in the mid 1950's that profoundly affected both the ecology and fisheries of the lake. Oreochromis leucostictus (formerly Tilapia leucosticta) and the macrophyte grazer Tilapia zillii were also introduced at about the same time.
The introduced fishes appear to have upset the original ecological balance of Lake Kioga and caused radical changes in species diversity, interrelationships, and in the nature and size of the lake's fisheries. The unprecedented rise in the lake level which occurred at the time the introduced fishes were colonising the lake augumented their success in two ways. The open water area became enlarged and the productivity of the lake was increased as a result of the release of nutrients by the decaying inundated flora.
The following is a brief discussion of recent trends in the fisheries of Lake Kioga in which the role of introduced fishes, predator-prey relationships, and aspects of fisheries productivity are considered.
The major taxa which comprised the indigenous fisheries of Lake Kioga and the generalized habitat types of the lake, as observed by Worthington (1929), are listed in Table 1. Before introduced species gained significance in the late 1950's and early 1960's, the indigenous fisheries of the lake were based on evolutionarily stable species assemblages which, until the early 1950's when flax gillnets were introduced, were subjected to historically low exploitation pressures. It is to be expected that the original fish fauna - indeed the entire fauna of the lake - had evolved a trophic diversity that promoted efficient utilization of most of the available energy resources. Tilapiine cichlids and phytoplanktivorous haplochromines were the major primary converters. Rastrineobola argentea (formerly Engraulicypris argenteus) and several other small fishes preyed mainly on zooplankton while the major invertebrate/benthos feeders were Clarias, Schilbe, Synodontis, Protopterus, Labeo and various mormyrids. The major predator was Bagrus docmac. Almost the entire indigenous fish fauna of Lake Kioga was represented in Lake Victoria as there was no effective barrier separating the faunas of the two lakes before construction of the Owen Falls hydroelectric station in 1953.
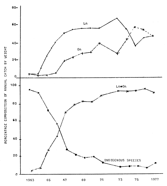
Oreochromis leucostictus and Tilapia zillii had appeared in commercial catches by 1959 and became common at most fish landings around the lake during the early 1960's. The subsequent relative importance of indigenous and introduced species in the fisheries of Lake Kioga, as well as the relative development of the fisheries for Nile perch and O. niloticus, are illustrated in Fig. 1 (Data for the minor lakes are not included).
Nile perch and O. niloticus steadily replaced the indigenous fishes as the major commercial species in an increasingly intensive fishery, and within 20 years of their initial introduction, they accounted for over 90% of the catch. By 1978, when a distribution survey of the fishes of Lake Kioga was made by the Uganda Freshwater Fisheries Research Organisation (UFFRO), the indigenous tilapiine cichlids, species of Barbus, Labeo, Synodontis, Schilbe and the main predator Bagrus docmac had virtually disappeared from the lake. Haplochromine cichlids, which were the major prey for the original predator, Bagrus, were represented by only a few species which, together with several species of mormyrid, were confined to the shallow, weedy, littoral zone. Clarias and Protopterus, which are tolerant of low oxygen levels, occurred only close to papyrus swamps. The pelagic cyprinid R. argentea, a major food species for juvenile Lates, was the only indigenous fish still distributed all over the lake.
Data collected on the 1978 UFFRO survey indicated that most of the indigenous species were still present in the minor lakes. However, their proportion in the commercial catches from these lakes had also begun to decline at the expense of introduced Nile perch and O. niloticus which had eventually gained access to them. That many minor lakes maintained populations of introduced O. leucostictus and the macrophyte feeder T. zillii was probably due to the presence of dense macrophytes and swamp surrounding them. In Lake Kioga, O. leucostictus is often associated with muddy bottoms close to papyrus swamps.
Introduction of the highly efficient predator, Lates niloticus, greatly influenced predator-prey relationships in Lake Kioga. Prior to the introductions, Bagrus docmac, the main indigenous piscivore, co-existed with the indigenous fishes in an evolutionarily stable ecological system. While juvenile Bagrus fed primarily on invertebrates, sub-adult and adult predators were predominantly piscivorous preying mainly upon haplochromine cichlids which were then abundant in Lake Kioga. B. docmac, which is also the major indigenous predator in Lake Victoria, shows similar predatory behaviour in that lake (Chilvers and Gee, 1974). Other minor piscivores in Lake Kioga included the catfishes Clarias mossambicus and Schilbe mystus and the characid Alestes jacksoni though adults of these species also prey upon invertebrates. Protopterus aethiopicus, Synodontis and Mormyrus which were the main benthic or detritus foragers and fed upon benthic invertebrates including molluscs, played a very important role in recycling some of the benthic energy resources.
The establishment of the Nile perch in Lake Kioga and the subsequent decline of the populations of indigenous fishes upset the natural predator-prey relationships within the lake. B. docmac eventually disappeared as the Nile perch assumed the role of dominant predator. As the population of preferred fish prey declined, adult Lates shifted from one species to another initially favouring mormyrids, then feeding primarily on haplochromines and currently preying mainly upon Oreochromis niloticus and juvenile Lates (Hamblyn, 1966; Gee, 1969; Okedi, 1972; Ogutu-Ohwayo, 1984). In the Nyanza Gulf of Lake Victoria, where the population of haplochromines has declined considerably, adult Lates now feed largely on R. argentea and O. niloticus as well as practising auto-predation.
It is interesting to compare the still unstable ecological interrelationships between Lates and its fish prey in the non-endemic habitats of Lake Kioga and Lake Victoria with the situatiuon in its endemic habitats. In Lakes Albert, Turkana and Chad, where the Nile perch is endemic, the major prey fishes with which the predator apparently co-exists are Hydrocynus, Alestes (Characidae) and Rastrineobola (Cyprinidae) (Hamblyn, 1966; Gee, 1969; Hopson, 1972). Rastrineobola still co-exists with Lates in Lake Kioga and Lake Victoria where the predator has been introduced.
Investigations on the food and feeding habits of Nile perch in various habitats (Hamblyn, 1966; Gee, 1969; Okedi, 1970; and more recently Ogutu-Ohwayo, 1984, (working on Lake Kioga) reveal definite ontogenic changes in the predator-prey relationships of the species.
Nile perch show clear shifts in food selection, moving from one group of prey animals to another as the predator increases in size. For example, in Lake Kioga young Lates feed upon invertebrates, including copepods and various small insect larvae, until they reach a standard length of about 6cm. Above this size they begin to supplement their invertebrate diet with small fish, increasing the proportion of fish prey as they grow. When they reach a standard length of about 60cm, they become entirely piscivorous, feeding upon O. niloticus and their own young.
In Lake Kioga the ontogenic shift in prey selection by Nile perch appears to be influenced, inter alia, by:
Predator size. In nature Lates shows a preference for prey items whose size is less than one third of its total length.
Prey density, and the cost to the predator in terms of energy required to catch the prey before ingestion (a principle discussed by Ivlev, 1961 and Krebs, 1978). These considerations may explain the observation that in Lake Kioga, cryptic and probably solitary Odonata nymphs were dropped from the diet of Nile perch at about 10cm S.L. while the gregarious shrimp, Caridina nilotica and chironomid larvae, though much smaller than Odonata nymphs, were still important dietary items for Lates over 20cm. Furthermore, Goudswaard and Whitte (1984) report that Caridina nilotica is probably the major prey for Nile perch (including large ones) in the deep waters of Lake Victoria (50–60m) where the abundance of Haplochromis - usually the major food for Lates - is low. Concentrations of Caridina are thought to be present in the deep waters of Lake Victoria.
Prey accessibility. The influence of prey accessibility and/or inaccessibility on the composition of the food of Nile perch in Lake Kioga has not been systematically investigated. However, observations indicate that dense macrophyte cover and shallow water, where a given size category of potential prey may be confined, could limit accessibility by larger Nile perch. The above limitation may explain the virtual absence of Tilapia zillii and O. leucostictus from the diet of the Nile perch in Lake Kioga where the two tilapiine cichlids are confined to the shallow and/or weedy littoral zone.
Available records show a steady increase in the yield of the fisheries of Lake Kioga over the past 35 years or so. Fryer and Iles (1972) reported an increase in annual fish yield from about 13kg/ha in the 1950's i.e. before exotic fish introductions were made, to about 80kg/ha between 1963 and 1965. Data for the years 1971 to 1982 (Ministry Anim. Indust. Fish., 1983) show annual yields of between 89,000 and 167,000 tonnes, with peak values in 1977 and 1978. During this period of 12 years, total fish catch from Lake Kioga was consistently higher than the combined fish yield from the rest of the lakes in Uganda. Assuming the open water area of Lake Kioga to be 2,300km2, a total yield of 167,000mt produces a figure of 726kg/ha which is far higher than that recorded for any other natural water. Fryer and Iles (1972) record a yield of the same order of magnitude (about 500kg/ha/an) over a period of three years for the small shallow Lake Kitangiri in Tanzania.
Although stock assessment studies have not been attempted on Lake Kioga and estimates of maximum sustainable yield are lacking, the above rough estimates of total annual fish landings indicate that the lake is highly productive. The progressive increase in fish yield appears to be mainly due to two events:
The introduction of exotic fishes notably the planktivorous O. niloticus in combination with predatory L. niloticus. These two species co-exist in their endemic habitats e.g. in Lake Albert and Lake Turkana.
The unprecedented rise in the lake level due to unusually heavy rainfall. The inundation of shoreline swamp and low lying areas around the lake by the rising lake level not only expanded lake area and volume, particularly the macrophyte-free zone, but supplied (and probably still supplies) the aquatic system with nutrients from the decomposing flora. (To date decomposing vegetation perforated with various invertebrates at different stages of development may still be sampled from areas of Lake Kioga). The ensuing burst of primary and invertebrate production coincided with the time when the introduced fishes were gaining lake-wide distribution. The above boost in productivity enhanced production of the planktivorous fishes such as the tilapiine and haplochromine cichlids, as well as the predatory species. The increase in the area of macrophyte-free zone extended the hunting range of the cruising predators Lates and native Bagrus thereby contributing to their hunting success.
In practice, all the indigenous fishes of Lake Kioga, with the exception of R. argentea, were unsuccessful in exploiting the expansion and increased productivity of the lake (see Fig 1). They continued to decline in abundance and by 1978 most indigenous species had virtually disappeared from the lake. The boom in fish yield on Lake Kioga was, therefore, eventually attributable to O. niloticus and L. niloticus. (R. argentea is not actively exploited at present.) In view of the highly reduced species diversity of the Kioga fish fauna, evaluation of the prospects of sustained and economically viable fisheries on the lake should await detailed ecological investigations.
The following observations may be made on the productivity of Lake Kioga.
Oreochromis niloticus is currently the major primary converter in the Lake Kioga ecosystem, feeding on phytoplankton, epiphytic algae and phytoplanktonic bottom deposits. This mouth-brooding tilapiine cichlid is an aggressive and highly competitive species exhibiting very vigorous growth. While the species successfully co-exists with young stages of L. niloticus in the extensive macrophyte cover and shallow littoral regions of the lake, the same environment protects juvenile O. niloticus from the larger piscivorous Lates. Sustained recruitment of the cichlid into the vigorous Kioga fishery is thereby safe-guarded. So far, adult O. niloticus in Lake Kioga appear to withstand predation pressure by mature Lates in the open water. However, in the Nyanza gulf of Lake Victoria, marked reduction in the catches of O. niloticus in the wake of an increasing Lates population have been reported (Okemwa, 1984).
The success of Lates niloticus as a predator on both vertebrates and invertebrates is remarkable. This factor is well illustrated in Lake Kioga by the range of prey taken by Nile perch (Ogutu-Ohwaya, 1984). Lates also has a prolific reproductive capacity (Okedi, 1970) and these two attributes make it a potentially very successful competitor and colonizer. The boom in fisheries productivity in Lake Kioga is largely due to the colonization by Lates.
The drastic transformation of the originally diverse multispecies fisheries of Lake Kioga into a fishery based upon only three species, (O. niloticus, R. argentea and L. niloticus), may affect long term sustained fish production of the lake ecosystem. The probable reduction in niche utilization is likely to interfere with fuller mobilization of available energy in the ecosystem. For instance, the disappearance of benthic foraging fish species such as Protopterus, Synodontis and Mormyrus which used to feed opon benthic invertebrates in Lake Kioga would have affected the recycling of energy from benthos to a considerable extent.
Beadle, L.C., 1974 The inland waters of tropical Africa. An introduction to tropical limnology. London, Longmans, 365p.
Chilvers, R.M. and Gee, J.M., 1974 The food of Bagrus docmac (Forsk) (Pisces: Siluriformes) and its relationship with Haplochromis (Pisces: Cichlidae), in Lake Victoria, East Africa.
Fryer, G. and Iles, T.D. 1972 The cichlid fishes of the Great Lakes of Africa. Their biology and evolution. Edinburgh, Oliver and Boyd, 641 p.
Gee, J.M. 1969 A comparison of certain aspects of the biology of Lates niloticus (Linne) in some East African Lakes. Rev. Zool.Bot.Afr., 80:244–61
Goudswaard, P.C. and Whitte, 1984 F. Haplochromis Ecology Survey Team. Rep.No. 32.
Hamblyn, E.L. 1966 The food and feeding habits of Nile perch Lates niloticus (Linne) (Pisces: Centropomidae). Rev.Zool. Bot.Afr., 74:1–28
Hopson, A.J. 1972 A study of the Nile perch (Lates niloticus (L.) Pisces: Centropomidae) in Lake Chad. London. Foreign and Commonwealth Office, Overseas Development Administration Res.Pub. 19:93p.
Ivlev, V.S. 1966 Experimental ecology of the feeding of fishes. New Haven, Connecticut. Yale University Press 302p.
Krebs, J.R. 1978 Optional foraging: Decision rule for predators. In J.R. Krebs and N.B. Davis (eds). Behavioural ecology; an evolutionary approach. Oxford, London, Blackwell Scientific Publications.
Ministry Animal Industry and Fisheries. 1983 Report on Fisheries Development in Uganda. (mimeo)
Ogutu-Ohwaya, R. 1984 Predation by Nile perch Lates niloticus (Linne) introduced into Lake Kioga (Uganda) and its effects on the population of fish in the Lake. M.Sc. thesis. University of Dar es Salaam.
Okedi, J. 1970 Further observations on the ecology of the Nile perch Lates niloticus (Linne) in Lake Victoria and Kioga. EAFFRO Ann.Rept., 1970:42–55
Okemwa, E.N. 1984 Potential fishery of Nile perch, Lates niloticus Linne (Pisces: Centropomidae) in Nyanza Gulf of Lake Victoria, East Africa. Hydrobiologia, 108:121–6
Stoneman, J. and Rogers, J.F. 1970 Increase in fish production achieved by stocking exotic species (Lake Kioga, Uganda). Uganda Fish.Dept.Occ.Paper, 3:16–19
Worthington, E.B. 1929 A report on the fishing survey of Lake Albert and Kioga. London. Crown Agents 136p.
Table 1. Early distribution of Lake Kioga habitats and fish fauna (After Worthington, 1929)
| Shoreline Swamp |
| Wide belt of Cyperus papyrus and species of Vossia and Phragmites, virtually surrounding the entire lake. |
| Fishes: Protopterus aethiopicus and small species of Clarias. |
| Economically important species (lakewide): Oreochromis variabilis, O. esculenta, Bagrus docmac, Clarias gariepinus, Protopterus aethiopicus, Barbus spp., Schilbe mystus. |
| Waterlily Zone |
| Depth three metres or less; extensive growth of floating or submerged macrophytes including Nymphaea, Pistia, Ceratophytes and Potamogeton almost all around the lake. |
| Fishes: Oreochromis variabilis, Protopterus aethiopicus, Haplochromis (most species), Rastrineobola argenteus, small mormyrids. Note: there is an abundance of inverebrate fauna including prawns and insect larvae. |
| Open Water |
| Depth about three metres, rather narrow and frequently invaded by sudds (floating islands). |
| Fishes: Oreochromis esculenta, Bagrus docmac, Clarias gariepinus, Barbus altianalis, Barbus spp., Schilbe mystus, Labeo victorianus, Mormyrus spp., Synodontis victorianus, S. sp., Rastrineobola argentea, Haplochromis spp. (several), Labeo victorianus. |

Fig. 1. Development of the fisheries of Lates niloticus (Ln) and Oreochromis niloticus (On) in Lake Kioga relative to that of the indigenous fishes