INDICE
| 1. | Población, base, unidades de muestreo, unidades de encuesta | ||
| 2. | Método de selección | ||
| 3. | Estimación de la medida de la población a partir de una muestra y precisión de la estimación | ||
| 3.1 | Estimación del total de la población y su precisión | ||
| 3.2 | Tamaño de la muestra | ||
| 4. | Estimación de proporciones y su utilidad | ||
| 5. | Muestreo estratificado | ||
| 5.1 | Tamanõ de la muestra en los diferentes estratos | ||
| 6. | Estimación proporcional | ||
| 7. | Muestreo de probabilidad desigual | ||
| 7.1 | Método de selección | ||
| 7.2 | Método de estimación | ||
| 8. | Muestreo en dos etapas | ||
| 8.1 | Selección aleatoria de las unidades de la primera etapa | ||
| 8.2 | Selección de las unidades de la primera etapa con probabilidad proporcional al tamanõ (ppt) | ||
1. Población, Base, Unidades de Muestreo, Unidades de Encuesta
Cuando se proyecta una encuesta es necesario, en primer lugar, definir las unidades que deben incluirse en la encuesta y su contexto geográfico. Todo muestreo riguroso exige una subdivisión del material a muestrear en unidades, denominadas “unidades de muestreo”, que constituyen la base del proceso real de muestreo. La definición clara e inequívoca exige la existencia o construcción de una lista (= base de muestreo) de las unidades de muestreo. En el caso de las Encuestas de Evaluación de Capturas (pesquerías tradicionales y artesanales) se puede introducir la siguiente jerarquía de unidades de muestreo:
- Unidades primarias de muestreo (UPM): lugares de desembarco
- Unidades secundarias de muestreo (USM): unidades económicas de pesca
Las unidades de información sobre las características de la encuesta se obtienen de dichas USM, tambien denominadas “unidades de encuesta”.
Para la recolección de datos se puede utilizar uno de los dos métodos siguientes de encuesta:
(a) el método del censo. Este implica una completa enumeración de la población encuestada; con el método del censo se obtiene información sobre todas las unidades de encuesta de la población, y (b) el método de muestreo, en el que la información se obtiene a partir de una fracción propiamente seleccionada de la población encuestada. En encuestas a gran escala, la selección de muestra se hace a partir de la base de muestreo existente.
2. Selección de las Unidades de Encuesta
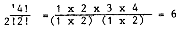
Si hay N unidades de muestreo en la población y queremos extraer una muestra1 aleatoria simple de tamaño n, podemos elaborar todas las muestras posibles de tamaño n y seleccionar una de ellas aleatoriamente. El número de todas las muestras diferentes posibles de tamaño n que pueden ser seleccionadas de una población N:

donde ! indica el factorial p.e., 3! = 1 × 2 × 3, etc. por ejemplo, si N = 4 y n = 2, el número de muestras distintas que pueden ser seleccionadas es:

En la práctica, cuando N es grande, no es posible enumerar todas las distintas muestras posibles y luego seleccionar una de ellas. Normalmente se extrae unidad por unidad una muestra aleatoria simple. Las unidades en la población se designan de 1 a N seriadamente. Después recurrimos a una tabla de números aleatorios (ver la tabla 1 del apéndice) y extraeremos de ella una serie de n números que estén entre uno y N, teniendo cuidado de rechazar números superiores a N y no permitiendo que los mismos números aparezcan más de una vez en la serie. Las unidades de población asignadas a los números seleccionados en la serie constituyen nuestra muestra de N unidades seleccionadas. Se ha demostrado que este método proporciona muestras aleatorias simples.
Ejemplo
Hay N=28 puntos de desembarco en un distrito. Queremos una muestra aleatoria simple de n=5 lugares de desembarco.
Ya que N=28 es un número de 2 dígitos, acudimos a cualquier fila de números de dos dígitos en la Tabla de Números Aleatorios. Con respecto a la primera hilera, encontramos que los números consecutivos son: 23, 5, 14, 38, 97, 11, 43, 93, 49, 36, 7, etc.
Ahora seleccionamos aquellos comprendidos entre 1 y 28 hasta obtener una serie de 5 números. La serie elegida es: 23, 5, 11, 14 y 7.
Los lugares de desembarco marcados con esos números en la población constituyen nuestra muestra.
1 Esto significa que cada unidad en la población tiene una probabilidad igual y distinta de 0 de ser seleccionada en la muestra
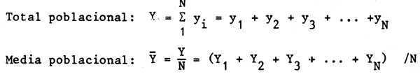
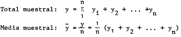
3. Estimación de la Media Poblacional a Partir de una Muestra y Precisión de la Estimación
Si tenemos N unidades en la población y medimos una determinada característica (y) de todas las unidades, tendremos:

La variabilidad de las características medidas entre las unidades de la población es Sy2

Ahora, si extraemos una muestra de n unidades entre las N unidades de la población, podemos definir:

Y la varianza por unidad en la muestra se dá como:

Si se emplea el mismo método de medida de las características para las unidades de la población que para las unidades de la muestra, el valor absoluto de la precisión de la media muestral es:

Generalmente, la media poblacional
; es desconocida, y el propósito principal del muestreo es
obtener una estimación de
a partir de la muestra, así como obtener una medida de la precisión de la
estimación. Ahora sabemos que en MAS podemos obtener Ncn muestras (o n unidades) de una población de
N unidades, y podemos tener una serie de Ncn medias muestrales
;. En el caso de una selección de
MAS, se ha demostrado que el valor promedio de todas las medias muestrales posibles
; es igual a
;,
por lo que
; es una estimación no sesgada de
;. También se ha demostrado que en este tipo de muestreo
la varianza de
; es:
La desviación típica de la media muestral es:
S
; mide el grado de dispersión de las posibles medias muestrales alrededor de
;. Cuanto más pequeña
sea, menor será la probabilidad de una gran desviación de
; respecto de
;. Para n>30 se ha
visto que, para un nivel de confianza del 95% la media poblacional
; cae dentro del intervalo:

Así vemos que S
; proporciona una medida de la precisión de la estimación muestral.
Generalmente no conocemos Sy para calcular S
;. En MAS, una estimación no sesgada de Sy la proporciona
sy.
De este modo, una estimación no sesgada de la desviación típica de la media muestral y será

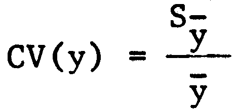
La precisión relativa de
; es/

Y una estima no sesgada de CV(
;) es:

3.1 Estimación del Total Poblacional y su Precisión
En MAS, la estimación del total poblacional es:

Y la varianza estimada de Ŷ es:

La desviación típica estimada de Ŷ es:

El coeficiente de variación estimado de Ŷ es:

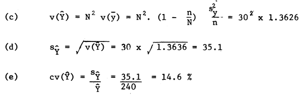
Ejemplo 3.1a
En un lugar de desembarco descargan su captura cierto día 30 embarcaciones, y se examinan las capturas (yi) de 10 barcos elegidos al azar. Estimar la captura total del día, su desviación típica y su coeficiente de variación.
| Barco muestra | Captura (kg) | |
|---|---|---|
| yi | y²i | |
| 1 | 12 | 144 |
| 2 | 8 | 64 |
| 3 | 4 | 16 |
| 4 | 6 | 36 |
| 5 | 0 | 0 |
| 6 | 16 | 256 |
| 7 | 5 | 25 |
| 8 | 9 | 81 |
| 9 | 11 | 121 |
| 10 | 9 | 81 |
Tenemos: ∑yi = 80 ; ∑yi² = 824
Las diversas estimaciones son:


3.2 Tamaño de la muestra
En la Sección 3 hemos visto que:


Ahora, para N grande, el nivel de confianza del 95%, la media poblacional caerá dentro del
intervalo
; ± 1,96 S
; o, aproximadamente,
; ± 2 S
;. Por lo tanto,

representa el porcentaje de exactitud de la media al nivel de significación del 5%.
De este modo, el tamaño de la muestra n requerido para una exactitud a % de la media al nivel de significación del 5 %, es:

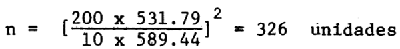
Ejemplo 3.2a
En una encuesta, la muestra n = 18 dió una media de
; = 589,44 kg y sy = 531,79. ¿Cuantas unida-
des se necesitarín si se desease estimar, al nivel de significación del 5 %, la media a) dentro del
10 %, b) dentro del 5 %, y c) dentro del 1 % de la media de la población?
Tenemos

Por lo tanto,
(a) El número de unidades requeridas para obtener
; con una precisión del 10 % es:

(b) Para una precisión del 5 %,

(c) Para una precisión del 1 %,

Ejemplo 3.2b
En el ejemplo 3.1a, si hubiesemos obtenido una estimación de
; con un coeficiente de variación
del 5 %, ¿qué tamaño de muestra necesitaríamos?
Tenemos,

Por lo tanto,

4. ESTIMACION DE PROPORCIONES Y SU UTILIDAD
Supongamos que hay N unidades en la población, de las cuales Ni pertenecen a la clase i, de modo que la proporción de pertenecientes a esa clase es: Pi = Ni/N. Queremos estimar Ni y Pi de una muestra aleatoria simple de n unidades, en la que ni son de la clase i, por lo que Pi = ni/n.
Se ha demostrado que una estimación no sesgada
i de Pi resulta de pi, de forma que
i = pi = ni/n,
y la estimación no sesgada de Ni (donde Ni es el número de unidades de la clase i en la población)
resulta de:
i = N pi
Y una estimación no sesgada de la varianza de Pi será

Cuando n/N es muy pequeño, es decir, n es pequeño en comparación con N, o N es muy grande,

Una estimación no sesgada de la varianza de Ni será

Si la magnitud de N es, a su vez, una estimación, la varianza estimada de Ni resulta de::

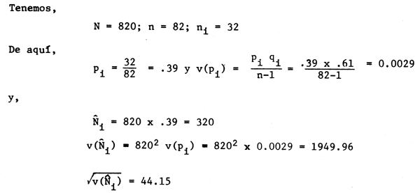
Ejemplo 4.1
Se tomó una muestra aleatoria de 82 embarcaciones de entre 820. Se vió que 32 usaban liñas. Estimar la proporción y número de barcos que usan liñas.

Ejemplo 4.2
El número de bacalaos desembarcados fue de 2 000. Se extrajo una muestra de 100 ejemplares y se determinaron sus edades, siendo la distribución como sigue:
Edad | 8 | 9 | 10 | 11 | 12 | Total |
Número (ni) | 14 | 54 | 7 | 19 | 6 | 100 |
Hallar el número estimado de bacalaos de cada grupo de edad en el desembarco total y la varianza de las estimaciones.
Tenemos: N = 2 000; n = n1 + n2 + n3 + n4 + n5 = 100
Edad | 8 | 9 | 10 | 11 | 12 | Total |
ni | 14 | 54 | 7 | 19 | 6 | 100 |
pi | .14 | .54 | .07 | .19 | .06 | |
qi | .86 | .46 | .93 | .81 | .94 | |
pi qi | .12 | .25 | .07 | .15 | .06 |

5. MUESTREO ESTRATIFICADO
Se ha visto en muestreo aleatorio simple que la varianza de la media v (
;) depende, aparte del
tamaño de la muestra n de la variabilidad de las características en la población, es decir, de Sy².
Si la población es heterogénea, esto es, las mediciones varían considerablemente de una unidad a
otra, entonces, usando información auxiliar, puede ser posible dividir la población en sub-poblaciones
(o estratos), cada uno de los cuales es homogéneo internamente.
Supongamos que hay N unidades en la población, estratificadas según k estratos con Ni unidades en el estrato i -ésimo. Extraigamos una muestra de n unidades, de las que ni pertenezcan al estrato i -ésimo. Sea yij la medida de la unidad j -ésima en el estrato i -ésimo.


También tenemos,

Las estimaciones no sesgadas de la varianza son:

Donde,

Si la fracción muestral ni/Ni es despreciable para todos los estratos, entonces tendremos:

Ejemplo 5
De 200 barcos de un distrito, 70 se dedicaron a la pesca con liña, 120 al trasmallo y 10 al boliche. Con el fin de estimar la captura, se seleccionaron 5 barcos de liña, 7 de trasmallos y 3 de boliche, y sus capturas en toneladas para el mes de enero se anotaron como sigue:
Barcos de liña: | 2, | 3, | 4, | 5, | 6 | ||
Barcos de trasmallo: | 7, | 8, | 9, | 10, | 12, | 13, | 11 |
Barcos de boliche: | 20, | 23, | 26 |
¿Cual fue la captura total estimada en el distrito en enero y la varianza de la estima? ¿Cual es la captura media por barco y su varianza?
| Estrato | Ni | ni | ;i | s²i | Ni ;i | N²i(1/ni - 1/Ni) | N²i(1/ni - (1/Ni)s²i |
|---|---|---|---|---|---|---|---|
| 1 | 70 | 5 | 4 | 2.50 | 280 | 910 | 2 275.00 |
| 2 | 120 | 7 | 10 | 4.67 | 1 200 | 1 937.14 | 9 046.44 |
| 3 | 10 | 3 | 23 | 9.00 | 230 | 23.33 | 209.97 |
| Total: | 200 | 15 | - | - | 1 710 | - | 11 530.97 |

De ahí,

Nota: si no hubiese estratificación y hubiesemos escogido una selección aleatoria simple de 15 unidades, y sus capturas fuesen como en el ejemplo 5, tendriamos:

y,
Ŷ= 10.06 x 200 = 2 012 t
Entonces

Con la estratificación, hemos obtenido claramente una estimación con un menor cv(Ŷ) que en el caso de selección aleatoria simple.
5.1 Tamaño de la Muestra en los diferentes Estratos
En el ejemplo 5 hemos elegido una muestra de 15 unidades, y la asignación del número de unidades a cada estrato fue realizada arbitrariamente.
Ahora bién, cuando la fracción muestral es despreciable, sabemos por la ecuación (5.5) que la varianza de la población total es:

Esta ecuación sugiere dos métodos de asignación de n entre los diferentes estratos:
(a) Asignación proporcional
En este método ni es proporcional a Ni. Si las varianzas dentro de los estratos son iguales, el método proporciona la varianza muestral mínima, esto es, las estimaciones más eficientes. Generalmente, la asignación proporcional se usa cuando no se dispone de información sobre la varianza de cada estrato.
(b) Asignación óptima
Cuando las varianzas dentro de cada estrato difieren entre si sustancialmente, la asignación proporcional ya no suministra las mejores estimaciones. En estos casos, es mejor que la fracción muestral se tome proporcionalmente a la desviación típica dentro de cada estrato.
Para más detalles pueden consultarse los libros de diseño de muestreos (por ejemplo, Yates, Bazigos, 1974).
Ejemplo 5.1
Se han obtenido las siguientes capturas (kg) en 18 lances de una campaña de arrastre:
200, | 440, | 600, | 640, | 700, | 800, | 900, | 1 020, | 1 600, | 1 920 |
20, | 10, | 340, | 400, | 720, | |||||
40, | 100, | 160 |
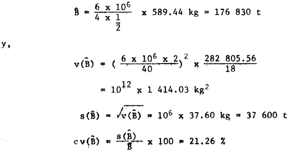
(a) Si el arte de arrastre cubrió 40 ha por lance, si capturó 50 % de todos los peces que encontró en su camino, y si el área total de la encuesta era 6 × 106 ha, estimar la abundancia total de pescado.
(b) Si los primeros 10 lances fueron realizados en profundidades de 0 a 20 m, los 5 siguientes en 20 – 40 m, y los tres últimos a más de 40 m y las áreas de esas zonas de profundidad son 1 × 106, 2 × 106 y 3 × 106 ha, respectivamente, ¿cuál será la estimación de la abundancia?
(c) Hallar las varianzas de las dos estimaciones anteriores.
Solución
(a) Muestra no estratificada
Sea
; la captura media y, si a es el área barrida por el arte en cada lance, la captura por
hectárea será
;/a. Ya que el arte captura solamente el 50 %, esto es, el coeficiente de capturabilidad
q es 1/2, la densidad de la población por ha es:
;/aq
Por lo tanto, la abundancia estimada de la población:
donde n es el número de lances de muestra.
Ahora tenemos

Por lo tanto,

(b) Muestra estratificada
En este caso,


Los cálculos numéricos pueden hacerse convenientemente en forma tabular:
| Estrato | ni | ;i | s²i | Ai | Ai/qa | Bi = Ai ;i/qa | (Ai/qa)² S²i/ni |
|---|---|---|---|---|---|---|---|
| (kg) | (t) | (kg²) | |||||
| 1 | 10 | 882 | 272 306.67 | 1 × 106 | 50 × 10³ | 44 100 | 1012 × 66.08 |
| 2 | 5 | 298 | 87 620.00 | 2 × 106 | 100 × 10³ | 29 800 | 1012 × 175.24 |
| 3 | 3 | 100 | 3 600.00 | 3 × 106 | 150 × 10³ | 15 000 | 1012 × 27.00 |
= | 88 900 | 1012 × 270.32 | |||||
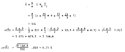
6. ESTIMACION PROPORCIONAL
Este es otro método en el cual se hace uso de información auxiliar para aumentar la precisión. Supongamos que hemos seleccionado al azar n unidades de entre n unidades de la población, y para cada una de ellas hemos medido (x, y), donde y es la variable encuestada y x es otra variable correlacionada con la anterior. Se sabe que el total poblacional de la variable x es:

pero y no puede conocerse para cada unidad de la población, excepto aquellas unidades que aparecían
en la muestra. En este caso, una estimación del total poblacional de la variable encuestada resulta
de: Ŷrat =
X, donde la estimación de R se obtiene a partir de la muestra como:

La varianza de la estima proporcional Ŷrat será:

donde r es el coeficiente de correlación estimado entre x e y.
Ejemplo 6.1
Hay en un país 50 centros de desembarco donde descargan gamberas. Los buques están matricula- dos, y se sabe que su total es de 280 por el registro de matriculas. Ahora bien, se seleccionan al azar 5 centros de desembarco y se obtiene la captura (y) y el número de arrastreros (x) en cada uno de los centros. Hacer una estimación proporcional de Yrat, desembarco total de las gamberas en el país.
Tenemos,
Centros de desembarco: | Total | - N = 50 |
| Muestras | - n = 5 | |
Arrastreros: | Total | - X = 280 |
Tenemos,
| Centro de desembarco muestra | No de arrastreros (x) | Captura (y) (t) | x² | y² | xy |
|---|---|---|---|---|---|
| 1 | 2 | 22 | 4 | 484 | 44 |
| 2 | 10 | 95 | 100 | 9 025 | 950 |
| 3 | 7 | 62 | 49 | 3 844 | 434 |
| 4 | 3 | 33 | 9 | 1 089 | 99 |
| 5 | 8 | 83 | 64 | 6 889 | 664 |
| Total: | 30 | 295 | 226 | 21 331 | 2 191 |
Tenemos,
7. MUESTREO DE PROBABILIDAD DESIGUAL
Hemos visto que con la estratificación y estimación proporcional podemos aumentar la precisión de una estimación. Otra técnica utilizada con este fín es el muestreo “ppt”, en el que se eligen las unidades con probabilidad proporcional a sus tamaños. Se usa mucho en casos en que se prefiere el muestreo por conglomerados al muestreo directo de unidades individuales, en razón de que es económico muestrear un número fijo de unidades individuales cuando están agrupadas en conglomerados, y que algunas veces no se conoce con seguridad la estructura de las unidades individuales.
7.1 Método de Selección
Supongamos que hay 10 lugares de desembarco con un número de barcos en cada lugar que se muestra en la columna 2. Queremos seleccionar 3 puntos con ppt.
| Lugar de desembarco | No de barcos | Total acumulado | Números asignados | No aleatorio elegido o lugar de desembarco |
|---|---|---|---|---|
| (1) | (2) | (3) | (4) | (5) |
| 1 | 12 | 12 | 001–012 | |
| 2 | 5 | 17 | 013–017 | Aleatorio No 011 |
| 3 | 20 | 37 | 018–037 | Puesto de pesca 01 |
| 4 | 2 | 39 | 038–039 | Aleatorio No 027 |
| 5 | 30 | 69 | 040–069 | Puesto de pesca 03 |
| 6 | 15 | 84 | 070–084 | Aleatorio No 064 |
| 7 | 8 | 92 | 085–092 | Puesto de pesca 05 |
| 8 | 6 | 98 | 093–098 | |
| 9 | 8 | 106 | 099–106 | |
| 10 | 14 | 120 | 107–120 | |
| 120 |
La columna 3 son los totales acumulados. Ahora, a cada puesto se le asigna un número proporcional a su tamaño. Así, el puesto N° 1 tiene asignados 12 números, del 001 al 012; al puesto 5 se le asignan 30 números, del 040 al 069, y así sucesivamente. Después usamos la tabla de números aleatorios y seleccionamos 3 números del 1 al 120. Los números elegidos son: 011, 027 y 064. Los puestos de desembarco correspondientes son el 1, el 3 y el 5.
Debe hacerse notar que con este método de selección una unidad con mayor tamaño tiene mayor probabilidad de elección que una unidad menor.
7.2 Método de estimación
Supongamos que hay N unidades muestrales primarias (lugares de pesca), y sea xi el número de unidades secundarias (barcos) en el i -ésimo puesto. Si se seleccionan n unidades primarias con ppt, entonces la probabilidad Pi de seleccionar la unidad i -ésima en la muestra es: Pi = xi/∑xi
La estimación del total poblacional Y será:

donde yi es la medida de la i -ésima unidad en la muestra; y la varianza estimada de Y viene dada por:

Ejemplo 7.2
Hay 20 centros de desembarco en un distrito. El número de barcos en cada centro es conocido, xi = número de barcos en el centro i -ésimo, y por lo tanto, sabemos que X = ∑xi es igual a 496. Se seleccionan 4 puntos entre los 20 con ppt. En la tabla siguiente, la columna l da los 4 puntos seleccionados, la columna 2 da el número de barcos (x) en cada uno, y la columna 3 expresa los desembarcos en esos puestos durante un mes. Estimar el desembarco total mensual Ŷ y var(Ŷ).
| Puestos muestra | N° de barcos | Desembarcos (in t.) | Pi = xi/x | ti = yi/Pi | t² |
|---|---|---|---|---|---|
| (xi) | (yi) | ||||
| (1) | (2) | (3) | (4) | (5) | (6) |
| 1 | 22 | 81 | 0.0443 | 1 828 | 3 341 584 |
| 2 | 30 | 118 | 0.0605 | 1 950 | 3 802 500 |
| 3 | 30 | 118 | 0.0605 | 1 950 | 3 802 500 |
| 4 | 42 | 170 | 0.0847 | 2 007 | 4 028 049 |
| Total: | 7 735 | 14 974 633 |
A partir de (7.2.1) tenemos:

A partir de (7.2.2) tenemos:

8. MUESTREO EN DOS ETAPAS
En el muestreo en dos etapas se elige primero una muestra de primera etapa y, en cada una de las unidades seleccionadas, una muestra ulterior de unidades de encuesta. Puede hacerse una selección simple para las unidades de primera etapa, o puede usarse la probabilidad proporcional al tamaño.
8.1 Selección Aleatoria de las Unidades de la Primera Etapa (SRS)
Tengamos:
N = número de unidades de la primera etapa
n = número de unidades muestrales de la primera etapa
Mi = número de unidades de encuesta en la i -ésima unidad de la primera etapa
La estimación no sesgada del total poblacional de la característica (y) de la encuesta se obtiene como:

donde,

y su varianza estimada es:

donde.

Ejemplo 8.1
Supongamos 8 lugares de pesca (N = 8). Primero seleccionamos n = 3 lugares al azar y para cada uno elegimos 3 nasas y medimos su captura. El número de nasas existente en cada lugar elegido y las capturas de cada nasa seleccionada se muestran más abajo. Calcular la captura total estimada de las pesquerías de nasas y su varianza.
| Lugares muestra | 1 | 2 | 3 |
| No de nasas en cada lugar (Mi) | 6 | 9 | 7 |
| No de nasas elegidas | 3 | 3 | 3 |
| Captura de las nasas elegidas | 13 | 5 | 12 |
| 9 | 7 | 8 | |
| 6 | 10 | 13 | |
| Total muestral | 28 | 22 | 33 |
| si² | 12,3 | 6,3 | 7,0 |
Desembarcos totales estimados,

Debe tenerse en cuenta que la contribución de 1 473,3 a la v(Y) se debe a la diferencia de captura obtenida entre los lugares de pesca y que es mucho más grande que 673,3, que a su vez es debida a diferencias entre unidades de segunda etapa dentro de las unidades de primera etapa.
8.2 Selección de las Unidades de la Primera Etapa con Probabilidad Proporcional al Tamaño
La captura estimada en el lugar i -ésimo se expresa como:

La estimación no sesgada del total poblacional resulta de:

La varianza de Y será

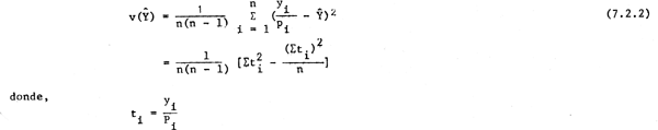
Ejemplo 8.2
Se escogieron 3 lugares de pesca con ppt y dentro de cada lugar de muestra se seleccionó una muestra aleatoria simple de barcos. En la tabla siguiente se dan las capturas (en kg) de la muestra elegida. Calcular Ŷ y cv(Ŷ).
Por lo tanto,
y,
TABLA DEL APENDICE 1
Tabla de números aleatorios
| 1 | 2 | 3 | 4 | 5 | 6 | 7 | 8 | 9 | 10 | 11 | 12 |
|---|---|---|---|---|---|---|---|---|---|---|---|
| 13 | 70 | 43 | 69 | 38 | 81 | 87 | 42 | 12 | 20 | 41 | 15 |
| 26 | 99 | 82 | 78 | 99 | 05 | 22 | 99 | 52 | 32 | 80 | 91 |
| 72 | 53 | 95 | 81 | 07 | 98 | 14 | 74 | 52 | 58 | 73 | 10 |
| 22 | 08 | 08 | 68 | 37 | 16 | 36 | 62 | 20 | 02 | 35 | 98 |
| 21 | 61 | 90 | 53 | 85 | 72 | 86 | 94 | 87 | 18 | 50 | 11 |
| 47 | 38 | 55 | 66 | 50 | 96 | 96 | 78 | 34 | 45 | 52 | 78 |
| 96 | 68 | 13 | 07 | 31 | 29 | 70 | 09 | 16 | 66 | 81 | 09 |
| 45 | 92 | 93 | 44 | 87 | 72 | 26 | 75 | 82 | 31 | 72 | 69 |
| 78 | 85 | 71 | 45 | 32 | 16 | 57 | 91 | 52 | 05 | 93 | 20 |
| 51 | 99 | 50 | 88 | 62 | 54 | 90 | 51 | 01 | 39 | 18 | 70 |
| 67 | 62 | 30 | 02 | 88 | 17 | 37 | 25 | 42 | 86 | 00 | 32 |
| 03 | 08 | 89 | 77 | 12 | 41 | 15 | 25 | 52 | 30 | 93 | 11 |
| 45 | 10 | 04 | 66 | 94 | 70 | 33 | 74 | 97 | 23 | 40 | 97 |
| 62 | 48 | 46 | 97 | 04 | 36 | 31 | 27 | 29 | 84 | 85 | 35 |
| 59 | 59 | 33 | 63 | 53 | 43 | 60 | 30 | 15 | 81 | 67 | 59 |
| 72 | 63 | 67 | 17 | 24 | 55 | 68 | 32 | 24 | 80 | 13 | 92 |
| 46 | 28 | 15 | 70 | 28 | 98 | 53 | 36 | 03 | 89 | 83 | 74 |
| 21 | 03 | 09 | 16 | 31 | 48 | 05 | 10 | 98 | 62 | 14 | 15 |
| 84 | 82 | 53 | 39 | 92 | 14 | 07 | 84 | 04 | 01 | 66 | 17 |
| 75 | 68 | 40 | 90 | 39 | 95 | 46 | 10 | 94 | 68 | 39 | 10 |
| 42 | 77 | 29 | 80 | 73 | 38 | 92 | 11 | 81 | 72 | 50 | 88 |
| 63 | 55 | 09 | 84 | 66 | 56 | 92 | 13 | 97 | 14 | 87 | 27 |
| 54 | 29 | 70 | 14 | 85 | 95 | 79 | 72 | 77 | 48 | 57 | 92 |
| 42 | 97 | 50 | 61 | 19 | 55 | 38 | 55 | 85 | 57 | 85 | 08 |
| 52 | 30 | 47 | 73 | 26 | 54 | 18 | 05 | 75 | 92 | 95 | 08 |
| 88 | 44 | 33 | 02 | 47 | 97 | 47 | 04 | 12 | 38 | 93 | 25 |
| 49 | 91 | 93 | 73 | 14 | 15 | 01 | 47 | 02 | 70 | 30 | 96 |
| 45 | 42 | 46 | 06 | 93 | 60 | 41 | 09 | 31 | 29 | 52 | 49 |
| 50 | 69 | 74 | 10 | 51 | 89 | 66 | 51 | 57 | 21 | 54 | 95 |
| 18 | 56 | 73 | 16 | 02 | 87 | 41 | 05 | 13 | 87 | 13 | 61 |
Tablas de números aleatorios (de Bazigos, 1974)
| 13 | 14 | 15 | 16 | 17 | 18 | 19 | 20 | 21 | 22 | 23 | 24 |
|---|---|---|---|---|---|---|---|---|---|---|---|
| 76 | 96 | 85 | 27 | 81 | 21 | 75 | 39 | 43 | 77 | 80 | 81 |
| 38 | 51 | 09 | 17 | 41 | 85 | 13 | 20 | 66 | 59 | 22 | 20 |
| 40 | 91 | 90 | 51 | 74 | 23 | 54 | 88 | 84 | 12 | 16 | 77 |
| 44 | 53 | 23 | 87 | 91 | 53 | 86 | 97 | 42 | 80 | 83 | 37 |
| 31 | 25 | 22 | 30 | 16 | 17 | 32 | 34 | 00 | 07 | 25 | 52 |
| 36 | 35 | 20 | 92 | 81 | 12 | 15 | 28 | 42 | 98 | 67 | 52 |
| 36 | 12 | 17 | 03 | 83 | 93 | 48 | 64 | 50 | 32 | 57 | 94 |
| 25 | 51 | 40 | 74 | 85 | 16 | 86 | 09 | 22 | 62 | 06 | 38 |
| 72 | 38 | 33 | 97 | 36 | 58 | 90 | 91 | 23 | 91 | 19 | 04 |
| 17 | 20 | 75 | 03 | 85 | 53 | 06 | 41 | 29 | 78 | 51 | 15 |
| 75 | 57 | 37 | 77 | 67 | 60 | 70 | 44 | 56 | 91 | 03 | 49 |
| 12 | 47 | 35 | 37 | 15 | 17 | 96 | 24 | 95 | 08 | 39 | 55 |
| 73 | 67 | 55 | 64 | 16 | 38 | 58 | 74 | 29 | 71 | 49 | 62 |
| 16 | 02 | 29 | 14 | 16 | 78 | 44 | 49 | 34 | 05 | 46 | 96 |
| 48 | 98 | 13 | 29 | 19 | 71 | 98 | 71 | 19 | 51 | 86 | 82 |
| 73 | 65 | 42 | 09 | 39 | 92 | 56 | 68 | 36 | 54 | 55 | 46 |
| 22 | 96 | 06 | 41 | 55 | 75 | 08 | 62 | 55 | 19 | 15 | 15 |
| 57 | 26 | 11 | 28 | 98 | 16 | 85 | 39 | 67 | 49 | 02 | 30 |
| 47 | 76 | 60 | 92 | 22 | 79 | 70 | 66 | 78 | 13 | 97 | 42 |
| 31 | 80 | 30 | 86 | 08 | 54 | 39 | 88 | 38 | 46 | 74 | 21 |
| 91 | 55 | 48 | 36 | 26 | 40 | 17 | 70 | 39 | 94 | 05 | 76 |
| 83 | 70 | 10 | 91 | 20 | 64 | 12 | 33 | 15 | 59 | 43 | 28 |
| 28 | 35 | 53 | 14 | 30 | 57 | 07 | 34 | 09 | 56 | 26 | 81 |
| 86 | 91 | 62 | 94 | 83 | 96 | 96 | 17 | 02 | 10 | 89 | 71 |
| 24 | 86 | 86 | 52 | 67 | 59 | 63 | 22 | 28 | 76 | 43 | 45 |
| 43 | 73 | 70 | 73 | 19 | 41 | 04 | 60 | 25 | 42 | 09 | 50 |
| 52 | 69 | 34 | 01 | 65 | 33 | 19 | 62 | 22 | 41 | 29 | 65 |
| 01 | 15 | 92 | 69 | 53 | 78 | 68 | 58 | 74 | 08 | 05 | 11 |
| 94 | 46 | 83 | 72 | 49 | 19 | 98 | 09 | 56 | 83 | 25 | 40 |
| 44 | 42 | 06 | 32 | 95 | 17 | 32 | 67 | 80 | 84 | 09 | 69 |
| 81 | 58 | 85 | 33 | 16 | 11 | 87 | 12 | 17 | 39 | 12 | 11 |
| 60 | 25 | 84 | 42 | 22 | 94 | 38 | 96 | 52 | 03 | 38 | 97 |
| 53 | 12 | 75 | 59 | 76 | 42 | 73 | 48 | 95 | 57 | 51 | 31 |
| 02 | 68 | 01 | 17 | 09 | 00 | 38 | 12 | 31 | 52 | 22 | 24 |
| 09 | 68 | 53 | 92 | 82 | 11 | 96 | 03 | 47 | 31 | 35 | 59 |