As with most of the subtropical breeds, the fat-tail Egyptian sheep breeds are characterized by good fertility, ability to breed at differenttimes of the year and low prolificacy. Ossimi (0) and Rahmani (R) Nile-Valley breeds have a conception rate of more than 80 percent when bred once/year and over 70 percent when bred each 8 months successively (Aboul-Naga and Aboul-Ela, 1985). Their prolificacy ranged from 1.15 to 1.25 lambs/ewe lambed.
Improving their prolificacy by introducing the blood of prolific Finn sheep seemed a worthwhile idea from the developmental point of view, at the same time utilizing their ability to breed more than once per year. The trial was started in 1974 by the Animal Production Research Institute, MOA, to improve lamb production from R and 0 by crossing with Finn sheep.
The breeding plan was to cross the local ewes with the imported Finn rams. The first cross was back-crossed to the local to produce 1/4 Finn 3/4 local (1/4 F 3/4 L) from each breed group. The 1/4 F 3/4 L cross was either inter se mated, for some generations, and involved in a selection programme to establish a new breed type with better lamb production, or utilized as a dam breed to be mated to terminal size (Suffolk cross) to produce fat lambs. The 1/4 F 3/4 L was thought to be more suitable as a crossbred group for the prevailing conditions based on the following criteria:
| - | Their prolificacy would not be too high and ewes could be managed easily by the farmers. |
- |
Ewes could stand the prevailing environmental conditions better than the crosses with higher Finn blood. |
- |
The ewes' ability to breed at different times of the year was expected to be closer to the local sheep. |
- |
Sheep have a reasonable size fat tail which is a determinant factor in consumer preference and price in the market. |
- |
The genotype could be easily produced by using the 1/2 Finn rams, produced on state farms, on the breeders flock. One imported ram is estimated to produce 3-5 thousand 1/4 Finn ewes in the breeders flock over 5-7 years. |
The last criterion is crucial in large-scale development programmes to improve lamb production from local sheep. The breeding plan does not involve artificial rearing of the lambs or hormonal treatment of the ewes. It is impractical to do any of these treatments under farm conditions.
The trial was carried out at Sakha and Mehalet-Mosa Animal Production Research Stations in 1974 utilizing 4 Finn rams, from the 10 rams imported by FAO project (UAR 49), as a pass-on gift. With the encouraging results of the Finn crosses, this was followed later on by the importation of successive batches of Finn rams and ewes from Finland in collaboration with the Finn Aid Programme (Table 2). The Finn ewes were imported only for experimental work.
All the Finn crossbred ewes were mated each 8 months as were the local ewes. The mating seasons were September, May and January, each lasting for 35-45 days. The ewes were mated in groups of 30-35 each with one fertile ram.
All the Finn rams were mated naturally to the fat-tail local ewes. Within a few weeks from importation, they had a training period to copulate with the fat-tail ewes. Their response to the training varied from 1-2 days to a few weeks. Afterwards, they were all able to be hand-served to the fat tail ewes with a high conception rate. It should also be noted, that no hormonal or light treatment was applied on the Finn crossbred ewes in the trial.
The first results on the reproductive performance of the Finn crosses with either 0 or R local ewes were reported by Aboul-Naga (1985). Prolificacy, expressed as number of lambs born/ewe lambed, increased by 0.68 and 0.70 in the Finn-Rahmani (FR) and Finn-Osimi (FO) first cross, respectively, and by 0.17 and 0.27 lambs in 1/4 F 3/4 R and 1/4 F 3/4 0, respectively, over the local ewes (Table 3). It should be noted that the latter group were 2-3 years old and 2-5 years in the first cross and 2-9 years for the local ewes. Although age of ewe was included in the model adopted for analysing the data there could however be a confounding effect between age and breed groups.
The most interesting result is that the Finn crossbred ewes showed better fertility than the local ewes at different seasons of mating which resulted in a higher figure for number of lambings/ewe/year. Such performance resulted in a detectable improvement in annual number of lambs produced/ewe in the Finn crosses over the local ewes; 1.25 and 0.80 lamb for FR and FO and 0.19-0.44 and 0.34-0.55 lamb for 1/4 F 3/4 R and 1/4 F 3/4 0, respectively. The author wishes to highlight the good ability of the Finn crosses to rebreed each 8 months and that 1/4 Finn ewes are expected to show better performance when they have attained maturity.
Table 3:
| Breed group |
No. | EL/EE* | LB/EE | LB/EL | Lambings/ ewe/year |
LB/ewe/ year |
| R | 775 | .715 | 1.01 | 1.37 | 1.07 | 1.47 |
| F x R | 151 | .880 | 1.73 | 2.06 | 1.32 | 2.72 |
| FR x R | 160 | .826 | 1.14 | 1.54 | 1.24 | 1.91 |
| R x FR | 284 | .781 | 1.20 | 1.50 | 1.17 | 1.76 |
| 0 | 411 | .743 | 0.98 | 1.28 | 1.11 | 1.42 |
| F x 0 | 77 | .768 | 1.48 | 1.93 | 1.15 | 2.22 |
| F0 x 0 | 108 | .824 | 1.13 | 1.42 | 1.24 | 1.76 |
| 0 x F0 | 40 | .847 | 1.31 | 1.55 | 1.27 | 1.97 |
* EL: ewe lambed; EE: ewe exposed to rams; LB: lambs born.
Recently, Aboul Naga et al. (1988) gave data from 18 successive mating seasons (5589 records) for different Finn crosses including first interbred generation of 1/4 F 3/4 L, (1/4 F 3/4 R )2 and (1/4 F 3/4 0)2. The pure Finn ewes showed the lowest fertility among different breed groups studied (Table 4), particularly in May mating. On the other hand, they were able to maintain their high prolificacy under prevailing subtropical conditions.
The figure of 2.43 lambs/ewe lambed is comparable with the figures reported under temperate conditions (Maijala, 1984). Lamb losses, however, were so high that in the end the Finn sheep had a lower advantage over the local breeds in number of lambs weaned/ewe mated.
The first cross ewes had a slightly better conception rate than the local ewes, but they had significantly higher prolificacy over the corresponding local breed of 0.37 and 0.30 lambs/ewe lambed for FR and FO, respectively. The two reciprocals of 1/4 Finn (LxFL and FLxL) performed significantly better than the local ewes. They gave birth to 0.11-0.19 more lambs and weaned 0.07-0.17 more lambs/ewe lambed than the corresponding local breeds. The advantage of 1/4 Finn ewes over the locals was more detectable in annual lambs weaned/ewes joined to range from 0.27 to 0.50/lambs/ewe yearly.
It should be noted that the 1/4 Finn groups were slightly less prolific than the 1st cross ewes, meanwhile they were detectably of better fertility. The 1/4 Finn showed better performance in their prolificacy than expected, assuming linear relationship with a proportion of Finn blood.
The inter se mating group of 1/4 F 3/4 R was of slightly lower fertility than their parents; Meanwhile they gave birth to 9 percent more lambs than the R and at the end had an advantage of 17 percent for annual number of lambs weaned than the local ewes. On the other hand, the (1/4 F 3/4 0)2 ewes showed better performance than their parents which was greater than the local 0 ewes. More data are still needed before evaluating the effect of interbreeding on the performance of 1/4 Finn ewes.
Table 4: Analysis of data accumulated over 18 successive mating seasons (each 8 months) for Finn crosses with Egyptian local sheep.
| Breed group |
No. of breed |
EL/EE* | LB/EE | LW/EE | LB/EL | LW/EL | LW/EE/ year |
| Finn | 46 | 0.50 | 1.26 | 0.88 | 2.43 | 1.71 | 1.32 |
| R | 1512 | 0.72 | 0.92 | .0.82 | 1.31 | 1.17 | 1.23 |
| FR | 743 | 0.77 | 1.27 | 1.10 | 1.68 | 1.46 | 1.65 |
| R x FR | 513 | 0.80 | 1.11 | 1.00 | 1.42 | 1.27 | 1.50 |
| FR x R | 428 | 0.80 | 1.11 | 1.99 | 1.44 | 1.28 | 1.49 |
| (1/4F 3/4R)2 | 741 | 0.76 | 1.06 | 1.93 | 1.40 | 1.24 | 1.40 |
| 0 | 613 | 0.68 | 0.81 | 0.72 | 1.22 | 1.08 | 1.08 |
| F0 | 382. | 0.75 | 1.11 | 1.98 | 1.52 | 1.35 | 1.47 |
| 0 x F0 | 316 | 0.72 | 1.00 | 1.89 | 1.41 | 1.25 | 1.34 |
| F0 x 0 | 229 | 0.80 | 1.02 | 1.91 | 1.34 | 1.18 | 1.37 |
| (1/4F 3/40)2 | 66 | 0.55 | 1.26 | 1.05 | 1.42 | 1.19 | 1.58 |
* EL: ewe lambed; EE: ewe exposed to ram; LB: lambs born; ...
Although Finn crosses showed a good ability to breed each 8 months, their reproductive performance varied greatly from one season to another (Table 5). Seasonal variation in fertility was less observed with January and May mating having a lower conception rate than September. September mating showed significantly (P<.01) better prolificacy among different Finn crosses with an average advantage of 0.30 and 0.32 lambs/ewe lambed over January and May matings, respectively. Seasonal variation in the reproductive performance of Finn crossbred ewes was further augmented by seasonal differences in lamb survival. LW/EE in September mating is 45 percent and 16 percent more than those mated in January and May, respectively.
Table 5: Seasonal variation in reproductive performance of Finn cross with Egyptian breeds.
| Mating season |
No. of records |
EL/EE* | LB/EE | LW/EE | LB/EL | LW/EL | LW/EE/ year |
| September | 1746 | 0.75 | 1.23 | 1.13 | 1.70 | 1.57 | 1.70 |
| January | 1559 | 0.82 | 1.10 | 0.86 | 1.40 | 1.08 | 1.29 |
| May | 2284 | 0.69 | 0.93 | 0.81 | 1.42 | 1.22 | 1.22 |
* EL: ewe lambed; EE: ewe exposed to ram; LB: lambs born; ...
These results are in agreement with the findings of seasonal variation in oestrous activity and ovulation rate of Finn crosses (1/4 F 3/4 R and 1/4 F 3/4 0) reported by Aboul-Naga and Aboul-Ela (1985). The 1/4 F 3/4 0 showed a drop in their oestrous activity from April to June, while 1/4 F 3/4 R ewes had a lighter drop from Feb.-June. Percentage of ewes in oestrus was never less than 60 percent in both breeds at any month of the year. The authors reported a high incidence of ovulated anoestrus in spring months in local ewes and their crosses with different temperate breeds.
Oestrous and ovarian activity of the imported purebred Finn ewes was investigated versus their half-sibs in Finland (Aboul-Naga et al., 1984) and vs. the two local breeds (Aboul-Naga et al., 1985). Only slight differences were found in oestrous activity and ovulation rate in different seasons of the year between Finn ewes raised in Egypt and their half-sibs raised in Finland (Fig. 1). The anoestrous period averaged 149.3±16.7 and 142.5+7.8 d for the two groups, respectively. The Egypt group had lower oestrous activity at the start of the breeding season with a trend in some ewes to extend their breeding season.
The comparison in oestrous activity between Finn and local ewes showed a clear anoestrous period in the former (from June-September) in which R ewes had consistent oestrous activity throughout the year, with slight drop in March-June. On the other hand, most of the 0 ewes showed anoestrous period during July-September. Percentage of 0 ewes in oestrus was generally less than the R at different months of the year.
Physiological response of Finn rams to heat stress and direct solar radiation under the subtropical conditions of Egypt was studied by El-Shikh et al. (1982) in comparison with three local breeds R, 0 and Barki (B) and another two exotic breeds, Suffolk (SF) and Ile-de-France (IDF). The Finn sheep had the highest overa ll rectal temperature (40.7 C ) followed by the SF then IDF (Table 6). The mean value for rectal temperature of the exotic breeds studied was significantly higher than that in any of the local breeds.
Fig 1. Oestrous activity of Finn ewes in Egypt vs. Finn ewes in Finland (A) and vs. R and 0 local ewes (B)
Expressing the physiological adaptability of the 6 breeds studied to heat stress as heat tolerance coefficient (Rhod's Coefficient), the Finn was the least tolerant breed followed by the SF while the IDF was the most adaptable among exotic breeds (Table 6).
Table 6: Rectal temperature (RT), respiration rate (RR) and tolerance index for local and exotic sheep breeds under Egyptian conditions.
| Breed | RT | RR | Heat Tolerance Index |
| Barki | 39.5 | 70.9 | 79.1 |
| Rahmani | 39.3 | 57.0 | 82.9 |
| Ossimi | 39.3 | 60.5 | 81.6 |
| Finnish | 40.8 | 117.7 | 55.9 |
| Ile-de-France | 39.9 | 120.1 | 71.2 |
| Suffolk | 40.2 | 105.8 | 65.4 |
Finn ewes imported by MOA showed significantly (P<.01) higher RT and RR than their half-sibs raised in Finland (Aboul-Ela _et__al_., 1987). The difference in RT was more pronounced in spring and autumn (1.7 and 1.4 C, respectively). Their RT in the summer was almost double that in Finland. Concentrations of T3 and T4 were significantly less all the year round than their half-sibs raised in Finland. Experimental work was carried out at Sakha Experimental Farm to investigate adaptability of different Finn-R crosses to the prevailing environmental conditions in comparison with the two purebred parents. Their response to heat and exercise stress was also investigated (Fawzi, 1986).
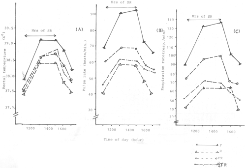
Physiological parameters for FR were much closer to the local R than to the Finn (Fig. 2). Those of 1/4 F 3/4 R were almost similar to the R. The results of T3,T4 and cortisone blood levels were in agreement with those of the physiological parameters.
Such findings indicate clearly the adaptability of the 1/4 Finn crosses to the local subtropical environment. On the other hand, the high response of pure Finn to heat stress when exposed to solar radiation, especially with muscular activity, should call for careful consideration when raising pure Finn sheep under subtropical conditions. They should not be walked for long distances to the pasture and should be provided with adequate shelter to protect them from solar radiation.
A series of fattening trials was carried out to investigate fattening and carcass performance of different Finn crosses versus local lambs at different growing stages. Aboul-Naga and Aboul-Ela (1985) reported fattening and carcass performance of fat-lambs resulting from crossing 1/4 F 3/4 0 ewes with SF crossbred rams as terminal sire vs. local 0 lambs.
Fig 2. Rectal temprutre (A), pulse rate (B), respiration rate (C) of fine, R and their crosses when exposed to solar radiation (SR)
Table 7. Fattening and performance of fat-lambs; SF cross x 1/4 Finn 3/4 0 (SF x 1/4 FO) vs. local 0 in Egypt
| Slaughter age and breed group | No | Fatten. period (wk) | Daily gain (8) | Slaught-ter wt.(kg) | Hot care. (kg) | Dress. % | Prime cuts % | Subcut fat score | Inter fat (g) | Fat % | Lean % |
| 6 months (SFxl/4 FO) | 21 | 16 | 194 | 37.7 | 19.4 | 59 | 87.7 | 6.8 | 890 | 31 | 53 |
| 4 months(SFXl/4F0) | 14 | 8 | 192 | 28.7 | 12.5 | 55 | 79.4 | 6.0 | 402 | 23 | 57 |
| 8 months(O) | 18 | 16 | 127 | 35.3 | 16.5 | 47 | 68.0 | 2.6 | 1300 | 15 | 56 |
Table 8. Fattening and carcass performance of 1/4 Finn lambs vs. local lambs in Egypt.
| Breed group | Init. wt. (kg) | Final wt. (kg) | Live body conf. | Hot carcass (kg) | Dress. % |
Subcut. fat score | Internal fat | Tail wt. (kg) |
Fat |
Lean % |
| Ossimi | 12.8a | 31.9a | 4.6ab | 12.3a | 52.3a | 3.4ab | 0.65a | 1.2a | 14.0a | 66.6a |
| Rahmani | 15.9ab | 31.7a | 4.7b | 14.3a | 56.2a | 3.4ab | 0.44a | 1.2ab | 13.0a | 68.la |
| 1/4 F 3/40 | 16.7b | 34.6a | 6.7c | 14.5a | 51.7a | 4.8b | 0.54a | 0.4b | 21.lb | 59.lb |
| 1/4 F3/4R | 16.6b | 34.0a | 5.6ac | 14.5a | 51.6a | 3.8ab | 0.50a | 0.6b | 20.0b | 59.0b |
* means followed by the same symbol do not differ significantly (P<0.05)
The crossbred lambs had an average slaughter weight of 37.7 kg about 2 months earlier than the local 0 lambs (Table 9). They also had a better carcass performance, e.g. dressing percentage, prime cuts percentage, etc. Local carcasses were leaner, most of their fat being deposited in their fat-tail.
Fahmy (1986) reported other fattening trials involving different Finn crossbred lambs with either R or 0, fat-lambs resulting from using SF crossbred rams on 1/2 and 1/4 Finn ewes. The most interesting results are those comparing 1/4 Finn lambs with the local ewes (Table 8). The 1/4 Finn lambs showed significantly (P<.05) better daily gain and better body conformation than the locals. Their carcasses had significantly more fat percentage and insignificantly more subcutaneous and Internal fat than the locals. On the other hand, they had a significantly lighter (P<.05) fat-tail.
After the encouraging experimental results on 1/4 Finn crosses, breeders from different delta provinces were allowed to buy 1/2 Finn rams.
The numbers of 1/2 Finn rams sold to breeders over the period from 1982 to mid-1987 and those planned to be provided up to 1990 are presented in Table 9. The rams are ready for sale at the age of 1.5 years after testing for phenotypic performance, libido and semen quality. It can be noticed that the number of rams sold to breeders increased year after year which indicates increasing demand from breeders for the Finn crosses.
Table 9: Number of Finn cross ewes and rams distributed to producers from 1982-86 and planned to be distributed up to 1990.
| Year | 82/83 | 83/84 | 84/85 | 85/86 | 86/87 | 87/88 | 88/89 | 89/90 |
| Ewes | 164 | 140 | 304 | 249 | 240 | 300 | 300 | 300 |
| Rams | 34 | 70 | 152 | 154 | 175 | 200 | 200 | 200 |
In 1983, another programme was initiated in some delta provinces (Sharkia and Kaliobia). The objective of the programme was to provide small farms with 3-4 pregnant 1/4 F 3/4 L ewes (mostly R crosses in their 1st lambing) plus one ram on a 2-year easy credit in the context of a rural development programme.
The number of small farmers involved in the programme was 26 in Sharkia and 13 in Kaliobia provinces. Periodic visits were made to those breeders by technical staff able to follow up the performance of the 1/4 Finn cross under breeders' conditions over the period 1983-86. Table 10 represents reproductive performance of the flocks studied in Sharkia province.
The average lamb crop of Finn crossbred ewes in each flock ranged from one to 7 crops and the average number of ewes/flock ranged from 1.5 to 7 ewes. Lambing interval, with the rams run with the ewes all the time, averaged 9.4 months per ewe. Ewes having more than 2 crops showed a figure of about 8 months as lambing interval.
The annual number of lambs born/ewe averaged 1.65 with a clear trend of increasing number of lambs with advancing number of crops produced. The annual number of lambs was 2.2 on the average for those having 4 crops and more, which is a very satisfactory figure for lamb production under these conditions. The annual number of lambs weaned averaged 1.6 lambs with a similar trend with increasing number of crops.
A new phase of the trial which started in 1986 has the aim of validating the results of the Finn crosses under producers' conditions with both small farmers and sheep breeders. Four central villages were selected for the study in Sharkia province. The field survey covered 50 small farmers and breeders in each of these villages to investigate the prevailing small ruminant production systems, and how they integrated with other livestock and cropping activities. Quarter Finn ewes (3-5) plus one ram were distributed to sixty small farmers in these villages together with 1/2 Finn rams distributed to 15 sheep breeders.
The productivity of these animals and performance of their offspring will be followed for 3 productive cycles (about 2 years). The results will be important in establishing a large-scale development programme to improve lamb production from local sheep through introducing the blood of the prolific Finn sheep.