Maïs à haute qualité proteique

Table des matières - Précédente - Suivante

Enfants

La forte consommation de maïs par la population humaine d'un certain nombre de pays d'Amérique latine et d'Afrique, ainsi que les carences bien connues en lysine et en tryptophane des protéines du maïs ont conduit les chercheurs à essayer d'obtenir un grain de maïs dont la protéine contiendrait de plus fortes concentrations de ces acides aminés indispensables.Trois faits permettaient de penser qu'il était possible d'obtenir de meilleures variétés de maïs. Le premier était que, par sélection, on pouvait augmenter la teneur en huile du grain de maïs d'environ 4 à 15 pour cent (Dudley et Lambert, 1969). Cet accroissement a été obtenu en développant la taille du germe, puisqu'il s'agit de la partie du grain où l'huile se trouve concentrée. Ces mêmes chercheurs ont montré qu'il était possible de porter la teneur totale en protéines d'environ 6 à 18 pour cent en augmentant la fraction prolamine (zéine) de l'albumen du maïs La troisième constatation était la très grande variabilité de la teneur en lysine des différentes variétés et sélections de maïs.

La recherche d'un mais à haute qualité protéique répondant à ces conditions a abouti lorsque Mertz, Bates et Nelson (1964) ont annoncé qu'ils avaient découvert que le gène opaque-2 utilisé comme marqueur pour la multiplication du maïs accroissait sensiblement la teneur en lysine et en tryptophane de la protéine.

Les résultats des premières études sur le traitement alcalin du maïs opaque-2 (cultivé en Indiana, aux Etats-Unis, en 1965) ont montré que le procédé n'entraînait de modifications nutritionnelles significatives ni dans la pâte ni dans les tortillas, ainsi que permettaient de le conclure les données chimiques et les expériences biologiques sur le rat.

La qualité protéique du maïs opaque-2 préparé à la chaux a été évaluée chez les enfants au moyen de l'indice du bilan azoté (rapport entre l'absorptionet la rétention de l'azote). Six enfants en bonne santé ont servi à effectuer deux études. Les résultats moyens des bilans azotés, pour un apport de 1,8 et 1,5 g de protéines par kilogramme de poids corporel et par jour sont reproduits au tableau 35. (Bressani, Alvarado et Viteri, 1969). Comme on peut le voir, il n'y avait pas de différences significatives de la rétention azotée chez les enfants recevant les régimes à base de lait et à base de maïs opaque-2 traité à la chaux lorsque le niveau de1'apport en protéines était de 1,8 g par kilogramme et par jour. Les données font apparaître des différences d'absorption de l'azote. Dans le cas du maïs opaque-2 traité, la digestibilité apparente des protéines représentait en moyenne 73,5 pour cent dans ces études. Sur la base de l'azote métabolique fécal déterminé chez les enfants, la digestibilité vraie des protéines était de 83,8 pour cent. A partir de ces résultats, on a pu conclure que les quantités de maïs opaque-2 ingérées par les enfants étaient de 16,3 à 16,7 g et de 12,9 à 14,5 g par kilogramme de poids corporel, pour obtenir 1,8 et 1,5 g de protéines par kilogramme et par jour, respectivement. Ces chiffres sont équivalents à un apport total en mais de 140 à 227 g par jour, quantités semblables à celles qui sont communément ingérées par les enfants au Guatemala.

Au moyen des données recueillies dans le cadre de cette étude et des données relatives à l'azote endogène urinaire, on a pu calculer le rapport entre l'absorption et la rétention d'azote en provenance du lait et du maïs opaque-2. Cet indice de bilan azoté constitue une bonne approximation de la valeur biologique des protéines. L'indice a donné 0,80 pour le lait et 0,72 pour le mais opaque-2, ce qui permet de conclure que la valeur protéique du maïs opaque-2 représente 90 pour cent de celle du lait. Lorsqu'on utilisait le chiffre correspondant à la digestibilité vraie, on a pu calculer que la valeur biologique des protéines du maïs opaque-2 était de 87,1 pour cent. Les chiffres indiquaient également qu'il fallait 90 mg d'azote absorbé à partir du maïs opaque2 pour obtenir l'équilibre azoté.

Aux fins de comparaison, on a procédé au même type d'analyse pour le mais commun chez les enfants (Scrimshaw et al., 1958; Bressani et al., 1958, 1963). Les données relatives à l'indice de bilan azoté ont été obtenues à partir de diverses études au cours desquelles des enfants recevaient un régime alimentaire dont les seules protéines étaient celles du maïs. La valeur biologique a été calculée à 32 pour cent. Ces données ont permis de démontrer une fois de plus la médiocre qualité des protéines du maïs commun.

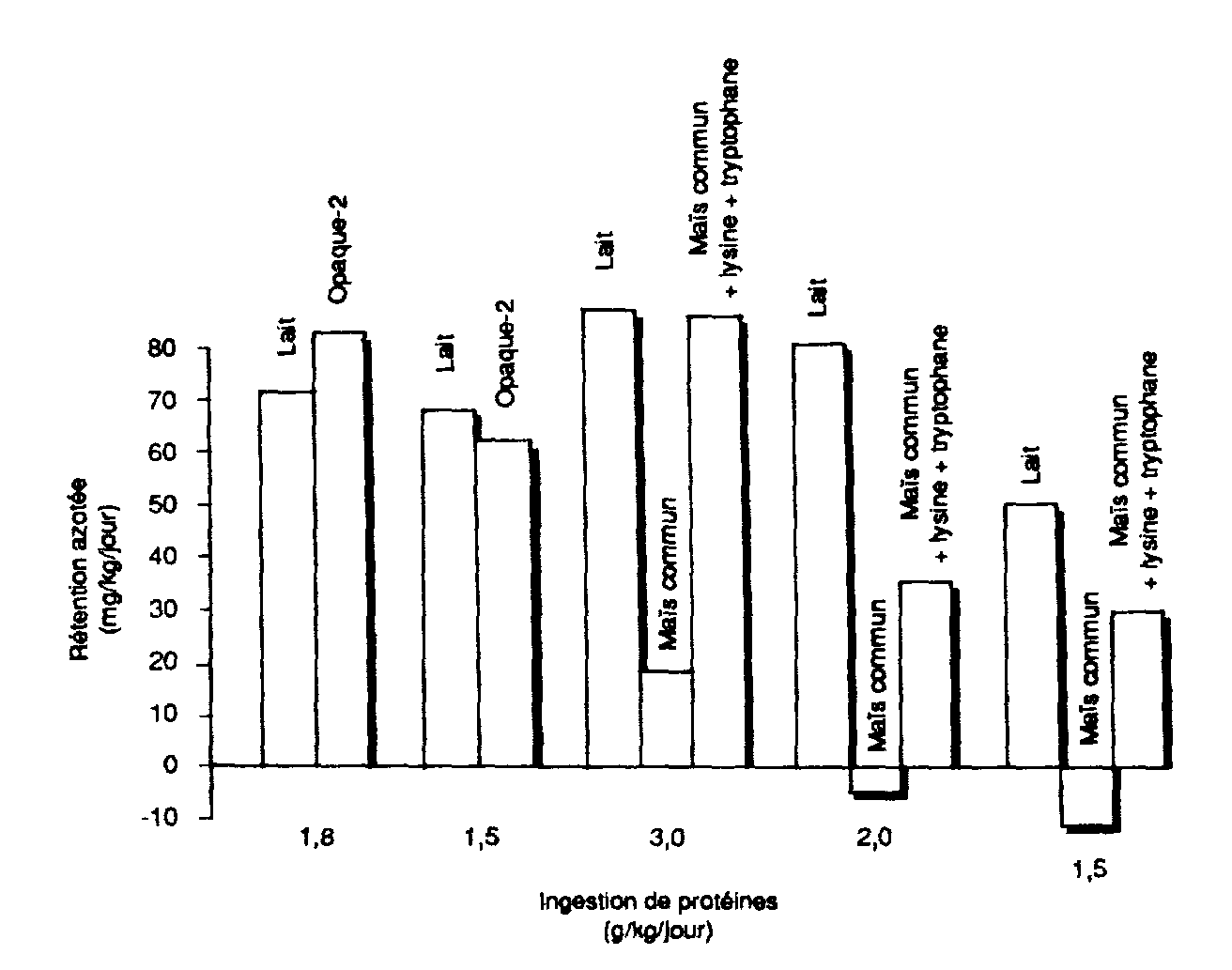
La différence entre la valeur nutritive des protéines du maïs opaque-2 et celle du maïs commun apparaît clairement à la figure 2, établie à partir de données provenant des études décrites plus haut. La figure fait apparaître la rétention azotée chez des groupes d'enfants nourris exclusivement au mais opaque-2 et celle d'autres groupes nourris au mais commun, dans les deux cas à différents niveaux d'ingestion de protéines. La figure fait également apparaître l'effet de supplémentation de la lysine et du tryptophane sur le mais commun. Même pour des ingestions de 400 g ou 500 g de maïs commun, la rétention azotée reste très faible et elle tombe à des niveaux plus faibles encore lorsque l'ingestion est ramenée à 200 g ou à 300 g par jour. Avec l'opaque-2, au contraire, des ingestions de 140 g ou 230 g par enfant et par jour entraînent des rétentions positives excédant même celles que l'on obtient avec le maïs commun supplémenté à la lysine et au tryptophane. Cela tend à prouver qu'il pourrait être nécessaire de supplémenter le mais commun par d'autres acides aminés pour le rendre comparable, sous le rapport de la valeur protéique, au maïs opaque-2.

La différence entre l'opaque-2, le maïs commun et ce dernier supplémenté par la lysine et le tryptophane s'explique par une meilleure combinaison spécifique d'acides aminés indispensables dans le cas du maïs opaque-2, puisque la digestibilité des trois est essentiellement la même. De plus, le mais à haute qualité protéique a également une plus faible teneur en leucine, incriminée dans la faible valeur nutritionnelle du maïs.

FIGURE 2 - Rétention azotée chez des enfants nourris au lait, au maïs commun (seul et supplémenté} et au maïs opaque-2

Les informations présentées font clairement apparaître la supériorité des protéines du maïs opaque-2 sur celles du maïs commun, fait d'une grande importance pour les populations dont le régime alimentaire habituel comporte la consommation de grandes quantités de maïs.

Dans une étude conduite par Luna-Jaspe, Parra et Serrano (1971), la rétention azotée du maïs commun, du maïs opaque-2 colombien (ICA H208) et du lait a été comparée chez trois enfants de 24 à 29 mois, pesant de 5,9 à 10,1 kg. L'apport protéique et calorique était d'environ1g et 100 calories par kilogramme de poids corporel et par jour. La rétention azotée était négative lorsque les enfants recevaient le mais opaque-2. Toutefois, le maïs commun entraînait un chiffre encore plus faible ou plus négatif. Lorsqu'on a donné du lait à ces enfants, l'un d'entre eux a présenté un bilan négatif et les deux autres un bilan positif, le bilan moyen étant positif.

TABLEAU 36 - Bilans azotés comparés chez des enfants nourris au QPM et au maïs commun

Protéines Digestibilité des protéines Utilisation protéique netle Valeur biologique Rétention de la source d'azote
  (%) (%) (%) (g/jour)
Caséine 98 75 77 1,81
H-208 opaque 91 89 76 1,52
H-208 cristalline 87 65 75 1,50
H-208 commun 78 36 47 0.93

Les auteurs ont indiqué que la digestibilité apparente des protéines du maïs commun était de 61,5 pour cent, celle du maïs opaque-2 de 57,9 pour cent et celle du lait de 66,4 pour cent. Ils sont également parvenus à la conclusion que le mais opaque-2 a une plus grande valeur nutritionnelle que le maïs commun. Ils ont cependant fait observer que son utilisation chez de jeunes enfants en rapide croissance devrait être surveillée attentivement et qu'ils ne pouvaient pas le recommander comme source principale de l'apport quotidien en protéines.

Les résultats obtenus par ces chercheurs rejoignent ceux qu'ont communiqués d'autres auteurs (Bressani, Alvarado et Viteri, 1969). Ces derniers ont constaté qu'avec 90 mg d'azote absorbé par kilogramme de poids corporel et par jour l'équilibre azoté était atteint. Les chercheurs qui ont travaillé en Colombie ont constaté que 90 mg d'azote absorbé fournissaient une rétention négative relativement faible, alors que 100 mg d'azote absorbé réalisaient l'équilibre azoté. Les différences entre les résultats n'étaient pas significatives et pouvaient s'expliquer par l'âge des enfants, plus jeunes dans le cas de l'étude colombienne et de plus faible poids corporel que les sujets utilisés lors de l'étude de 1969. Un facteur plus important était l'apport protéique moindre. En tout cas, ces données conduisent à penser qu'un apport journalier minimal d'environ 125 g de maïs opaque-2 pourrait garantir l'équilibre azoté. Or. il s'agit d'un résultat que l'on ne pourrait même pas obtenir en utilisant le double de maïs commun.

TABLEAU 37 - Digestibilité et utilisation de l'énergie et des protéines fournies par des régimes à base de maïs commun, de maïs à haute qualité protéique et de caféine, mesurées chez six enfants en bas âge

Des études similaires ont été conduites par Pradilla et al. (1973) en utilisant la même variété de maïs mais avec le gène opaque-2 (H-208 opaque). Un albumen cristall in contenant le gène opaque-2 a également été essayé. Les résultats sont reproduits au tableau 36 où l'on peut observer des valeurs similaires pour la digestibilité, la valeur biologique et la rétention azotée pour les deux sélections de maïs contenant le gène opaque-2. Ces valeurs étaient légèrement inférieures à celles de la caséine, mais sensiblement supérieures à celles du maïs commun. Lors d'études plus récentes, Graham et al. (1989) ont procédé à une évaluation biologique du QPM Nutricta, variété de maïs qui contient le gène opaque-2. C'est un maïs à haut rendement, à albumen corné, qui contient des niveaux élevés de lysine et de tryptophane, mais moins élevés que ceux du maïs opaque-2 étudié en premier. Ces auteurs se sont servis de six enfants de sexe masculin âgés de 7,9 à 18,5 mois qui relevaient d'épisodes de malnutrition. Ces enfants ont reçu un régime à base de maïs commun et de QPM ainsi que de caséine, destiné à assurer 6,4 pour cent des calories sous forme de protéines. L'apport total en énergie était d'environ 125 kcal par kilogramme et par jour, calculé pour permettre un gain de poids et une croissance à des rythmes préalablement établis. Les résultats du bilan azoté sont reproduits au tableau 37. L'absorption d'azote du maïs à haute qualité protéique et du maïs commun était de 70 et 69 pour cent respectivement, et de 82 pour cent pour la caséine. La rétention azotée exprimée en pourcentage de l'apport était de 32 pour cent pour le maïs QPM, contre 41 pour cent pour la caséine et 22 pour cent pour le mais commun. Ces résultats, au même titre que ceux précédemment communiqués par d'autres chercheurs, confirment l'indéniable supériorité du maïs opaque-2 sur le maïs commun comme aliment de l'enfance.

TABLEAU 38 - Bilan azoté quotidien moyen chez des adultes recevant des quantités différentes de maïs opaque-2

Grains de maïs Poids corporel (kg)

Azote (g)

    Fèces Urine Bilan
300 64,4 1,38 4,33 0,29
250 64,6 1,23 4,63 0,07
200 64,9 1,17 4,93 -0,09
150 65,0 0,97 5,37 -0,34

Graham et al. ( 1980) et Graham, Placko et MacLean ( 1980) ont également publié les résultats d'études portant sur huit enfants mal nourris convalescents, âgés de 10 à 25 mois, nourris au maïs opaque-2, à l'albumen d'opaque-2 sugary2 et aux grains entiers. Les protéines devaient fournir 6,4 pour cent du total de calories protéiques, et les régimes alimentaires assuraient de 100 à 125 kcal par kilogramme de poids corporel et par jour. Les résultats ont fait apparaître une rétention apparente d'azote à partir de la farine d'albumen inférieure à celle des farines à base de grains entiers, et inférieure dans les deux cas à celle de la caséine. L'écart entre les rétentions d'azote des grains entiers et de l'albumen s'expliquait probablement par les acides aminés fournis par le germe. Au sujet des acides aminés libres plasmatiques envisagés dans les études décrites plus haut, les mêmes chercheurs ont conclu que les maïs expérimentés étaient peutêtre carencés en lysine, tryptophane et isoleucine.

Les auteurs ont également indiqué que pour que les enfants puissent atteindre la rétention d'azote apportée par la caséine, supposée par hypothèse égale aux besoins, il leur faudrait obtenir 203,9, 148 ou 122,5 pour cent de leurs besoins en énergie des farines d'albumen de maïs commun, d'opaque-2 ou d'opaque-2 sugary-2, ce qui est impossible. Pour les farines entières, il leur faudrait obtenir 108,2, 90,3 ou 84,2 pour cent de leur énergie du maïs commun, du maïs opaque-2 ou du maïs sugary-2.

Des études de croissance chez des enfants nourris au mais QPM ont été entreprises par différents chercheurs, et notamment Amorin (1972) et Valverde et al. ( 1981). Dans tous les cas, le maïs QPM était sensiblement supérieur au maïs commun et légèrement en dessous de la réponse de croissance observée dans le cas d'alimentation lactée.

Graham et al. (1989) ont expliqué que «pour quiconque connait les problèmes nutritionnels des enfants sevrés et des jeunes enfants des pays en développement, et sait que des millions d'entre eux tirent du maïs l'essentiel de leurénergie alimentaire, de leur azote et de leurs acides aminés essentiels, les avantages potentiels du maïs à haute qualité protéique sont énormes. Admettre que ces enfants recevront toujours le complément voulu en azote et en acides aminés est une mauvaise plaisanterie».

Adultes

Deux études ont été publiées sur l'évaluation de la qualité protéique du maïs opaque-2 chez les adultes. Dans la première de cesétudes, Clark et al. (1967) ont utilisé comme sujets de deux expériences des étudiants de l'université. Le maïs utilisé était finement broyé et renfermait le grain entier. Il contenait de 11 à 12 pour cent de protéines, 4,65 g de lysine par 16 g d'azote et 1,38 g de tryptophane par 16 g d'azote, soit des valeurs semblables à celles du maïs opaque-2 utilisé dans l'étude chez l'enfant de Bressani, Alvarado et Viteri (1969). Le maïs a été donné à raison de 300 g. 250 g. 200 g et 150 g par jour, qui fournissaient 5,58 g. 4,65 g. 3,72 g et 2,79 a d'azote par individu et par jour. Les résultats de l'une de ces expériences sont reproduits au tableau 38. Tous les individus présentaient un bilan positif lorsque l'apport était de 300 a de maïs, et tous étaient en état d'équilibre lorsqu'ils en recevaient 250 g. Lorsque l'apport était de 200 a et 150 g. le bilan était négatif. A partir de ces données, on a calculé l'équation de régression entre le bilan azoté et le maïs consommé. En moyenne, l'équilibre azoté était obtenu pour un apport de 230 g.

Les mêmes auteurs ont étudié l'effet de la supplémentation par la lysine ou le tryptophane seuls. Ils ont constaté qu'un seul sujet avait amélioré sa rétention d'azote. L'addition de méthionine n'apportait aucun changement. Cela montrait que les protéines du maïs opaque-2 n'étaient pas carencées à l'égard de ces trois acides aminés dans le cas des adultes. Des résultats analogues ont été communiqués par Clark et al. ( 1977) lorsque des adultes recevaient du maïs QPM et du maïs opaque-2 sugary-2.

TABLEAU 39 - Apport en protéines et en acides aminés du maïs opaque-2 et du maïs commun nécesaire pour obtenir l'équilibre azoté (g/jour)

  Opaque-2 Commun
Maïs 250 547
Protéines 27,9 43,8
Isoleucine 1,01 2,00
Leucine 2,70 5,60
Lysine 1,34 1,25
Méthionine 0,60 0,80
Cystine 0,55 0,56
Phénylalanine 1,33 1,96
Tyrosine 1,14 1,64
Thréonine 1,10 1,72
Tryptophane 0,39 0,26
Valine 1,54 2,20
Total pour les acides aminés 11,70 18,99

Malheureusement, il n'y a pas eu de comparaison du maïs opaque-2 et du maïs commun dans une même étude portant sur des adultes. La qualité protéique du maïs commun a, cependant, été évaluée chez les adultes par Kies, Williams et Fox (1965). Dans l'une de ces études, 10 sujets ont reçu du maïs dégermé destiné à fournir des apports en azote de 4 g. 6 a et 8 a par jour. Les résultats ont indiqué clairement que lorsque le maïs dégermé fournissait 4 a et 6 a d'azote, le bilan azoté moyen était négatif. Lorsque l'apport était porté à 8 a d'azote par jour, le bilan devenait positif. La régression entre l'apport d'azote et l'azote fixé a été calculée. On a pu calculer à partir de l'équation qu'il fallait 6,9 a d'azote fourni par du maïs dégermé pour assurer l'équilibre azoté. Le coefficient de régression, multiplié par 100 et divisé par la digestibilité des protéines, donne la valeur biologique de ces protéines. Dans le cas présent, cette valeur était de 46,5 pour cent.

Sur la base de 8,0 a de protéines pour 100 a de maïs dégermé, un apport de 6,9 a d'azote équivaut à 539 a de maïs. Ce chiffre est proche des quantités de maïs consommées par les adultes du Mexique, du Guatemala et d'EI Salvador.

Dans l'étude décrite précédemment, la lysine et le tryptophane ajoutés seuls n'ont pas apporté de changement en ce qui concerne la rétention moyenne d'azote. Lorsque ces deux acides aminés étaient ajoutés ensemble, cependant, la rétention d'azote s'accroissait - sans que cela fût nécessairement dû à la quantité plus élevée d'azote administrée avec l'addition de ces deux acides aminés. Cette possibilité peut être écartée étant donné la réponse obtenue lorsqu'on ajoutait de l'azote non spécifique. Ces données démontrent que les protéines du maïs commun sont carencées en lysine et en tryptophane pour les adultes, comme elles le sont pour les enfants (voir plus haut dans ce chapitre).

Les résultats de ces études sur l'apport d'acides aminés fourni par le maïs QPM et le maïs commun (Clark et al., 1967; Kies, Williams et Fox, 1965) sont comparés au tableau 39. Comme on l'a montré précédemment dans ce même chapitre, il faut deux fois plus de maïs commun pour obtenir l'équilibre azoté chez les adultes. Cela équivaut à un apport en protéines environ 1,6 fois plus important dans le cas du maïs commun que dans celui du maïs opaque-2. L'ingestion d'acides aminés essentiels suit la même tendance que l'ingestion d'azote total.

En retenant une valeur biologique de 82 pour cent pour le maïs opaque2, sur les 28 a ingérés environ 23 a sont fixés, ce qui est la quantité approximative (21 a fixée à partir du maïs commun, qui a une valeur biologique de 46,5 pour cent. Ces données font apparaître les pertes considérables d'azote qui se produisent dans le cas du maïs commun. Mis à part la lysine et le tryptophane, le maïs commun fournit une plus grande quantité d'acides aminés essentiels. Ces derniers constituent toutefois une charge dont l'organisme doit se débarrasser, charge qui est plus grande dans le cas de la leucine, de la tyrosine et de la valine. Le coût physiologique de la métabolisation de ces acides aminés superflus n'est pas connu, mais il faudrait l'estimer.

En outre, la spécificité de composition des protéines en acides aminés est déséquilibrée, ce qui pourrait être une explication supplémentaire de la médiocre valeur biologique des protéines du maïs commun. Une autre méthode d'analyse de cette ingestion consiste à l'exprimer en pourcentage de l'apport total en acides aminés, calcul qui met en relief la carence en lysine et en tryptophane du maïs commun et fait apparaître l'excès des autres acides aminés. Cette information, qu'il s'agisse d'adultes ou d'enfants, met une fois de plus en évidence l'excellente qualité des protéines du maïs opaque-2 et la médiocre qualité des protéines du maïs commun.

Valeur bioeogioue des protéines du maïs commun et du maïs à haute qualite proteique

Il n'existe pas d'études comparées directes sur la digestibilité et la valeur biologique des protéines du maïs commun et du maïs opaque-2. Pour les comparer on fera donc appel aux études sur le maïs commun de Truswell et Brock ( 1961, 1962) et à celles de Young et al. ( 1971 ) sur le mais opaque-2. Dans l'une des études conduites par Truswell et Brock (1962), les sujets d'expérience ont reçu 90 pour cent de leur apport en azote du maïs et10 pour cent d'autres aliments. Un bilan azoté positif était atteint lorsque l'apport en azote était supérieur à 7 a par jour, encore que, comme dans les autres études, on ait observé une grande variabilité. Les auteurs ont calculé la valeur biologique, qui représentait en moyenne 45 pour cent quand le niveau d'ingestion était élevé et 57 pour cent à un niveau moins élevé d'apport en azote. La différence était attendue puisque la valeur biologique d'une protéine dépend du niveau de l'apport protéique. Comme tous les sujets d'expérience présentaient un bilan azoté positif lorsque l'apport était élevé, les auteurs en ont conclu que la valeur biologique du maïs est proche du chiffre de 57 pour cent. Des résultats analogues ont été obtenus par Young et al. ( 1971). Truswell et Brock ( 1961 ) ont également constaté que chez les adultes nourris au maïs l'addition de lysine, de tryptophane et d'isoleucine portait le bilan azoté de 0,475 à 0,953 a d'azote par jour dans une étude, et de 0,538 à 1,035 a d'azote par jour dans une seconde étude. La farine donnée aux sujets était de la farine de maïs dégermé dans laquelle les carences apparaissent davantage.

La valeur biologique des protéines du maïs opaque-2 a été étudiée par Young et al. (1971). Les protéines de l'œuf ont été utilisées comme référence, à raison d'apports de 2,64 a à 3,95 a d'azote par jour. Les auteurs ont calculé la digestibilité vraie des protéines et la valeur biologique à partir de l'azote métabolique fécal et de l'azote endogène urinaire. La digestibilité des protéines du maïs opaque-2 variait entre 67 et 106 pour cent, avec une moyenne de 92 pour cent pour les huit individus de l'étude, tandis que pour les protéines de l'œuf la variabilité était de 78 à 103 pour cent avec une moyenne de 96 pour cent. La valeur biologique moyenne du maïs opaque-2 était de 80 pour cent et celle de 1'œuf de 96 pour cent.

Signification pratique de l'évaluation des protéines du maïs opaque-2

Les résultats des études conduites chez des enfants et des adultes indiquent à l'évidence la supériorité du maïs opaque-2 sur le maïs commun. Malgré cela, de tous les pays consommateurs de maïs, seuls la Colombie et le Guatemala se sont efforcés au cours de ces dernières années d'introduire ce mais amélioré dans leurs systèmes de production agricole. Les raisons n'en apparaissent pas clairement, étant donné que les études agronomiques conduites en plusieurs endroits ont montré qu'entre le mais à haute qualité protéique et le maïs commun il n'existe pas de différences de pratiques culturales, de rendement par unité de superficie ou de qualité physique du grain. De plus, les plantes ont le même aspect; les grains du maïs QPM sont cristallins et les rendements en grains sont comparables à ceux du maïs commun.Maïs il se peut que ces {:acteurs revêtent davantage d importance aux yeux des cultivateurs que les avantages nutritionnels du maïs à haute qualité protéique.

La teneur en énergie des deux types de maïs est semblable, mais la teneur en protéines du maïs QPM est mieux utilisée en raison de son meilleur équilibre des acides aminés essentiels. Cependant, la valeur protéique du maïs opaque-2 peut s'analyser selon d'autres points de vue. On pourrait utiliser les informations du tableau 39 pour se prononcer sur l'introduction des variétés de maïs opaque-2 dans les pays consommateurs de cette céréale. Il a été établi que l'ingestion des deux types de maïs, ainsi que leur teneur en azote (protéines) sont semblables, mais que leurs pourcentages de digestibilité sont très différents: sur 48 a d'azote ingéré à partir du maïs commun, 39,4 a seulement sont absorbés et 8,6 a sont perdus dans les fèces. Dans le cas du maïs opaque-2, sur 48 a d'azote ingéré, 44,2 a sont absorbés et 3,8 a sont perdus dans les fèces.

Le fait à retenir est la valeur biologique, qui se définit comme la quantité d'azote absorbé requis pour fournir les acides aminés nécessaires aux différentes fonctions métaboliques. La valeur biologique du maïs commun est de 45 pour cent; sur 39,4 a absorbés, 17,7 a sont fixés et 21,7 a sont excrétés. Dans le cas du maïs opaque-2, la valeur biologique des protéines est de 80 pour cent; sur44,2 a d'azote absorbé, 35,4g sont fixés et 8,8 a sont excrétés. La quantité totale d'azote perdu lorsque le mais commun est consommé est égale à 30,3 g. alors que la perte n'est que de 12,6 g. à quantité égale, dans le cas du maïs opaque-2.

En d'autres termes, 37 pour cent seulement de l'apport en maïs commun sont utilisés, contre 74 pour cent dans le mais opaque-2. La production et la consommation de maïs à haute qualité protéique dans les pays consommateurs aurait ainsi un effet extrêmement bénéfique sur l'état nutritionnel des populations, sans compter l'aspect économique, étant donné qu'il serait fait un meilleur usage des quantités produites et consommées.


Table des matières - Précédente - Suivante