CLIMATES OF THE WORLD
Milk yields are a product of animal genetic and environmental interactions. Milk yield for a specific genotype, especially in tropical environments or ecosystems, is a function of climate and its interactive influences on the quantity and quality of feed, the presence of disease and parasites and the utilization of technology to alleviate nutritional, thermal and health limitations. Each climate zone and/or ecosystem includes variations in the environmental complex which influences milk yields and dairying practices in the tropics. Zones of the world between the Tropics of Cancer and Capricorn include the majority of the cattle and buffalo of the world and the climate in these regions is especially limiting to milk yields, growth and reproduction when both the temperature and humidity is high.
Emphasis in this paper will be on the thermal or direct climatic aspects of the environmental factors as they influence the cows ability to eat, maintain heat balance, produce milk and reproduce. Of the meteorological factors (temperature, humidity, wind, radiation, photoperiod and rainfall), the temperature and humidity (including rainfall) are the limiting factors most difficult to alleviate.
Figure 1 presents the average monthly temperature-humidity-index (THI) for numerous temperate zones and tropical countries. Generally, the climate of the countries in the left section, depending on the numbers of months above 72 THI, does not preclude the use of Holstein dairy cows. However, the introduction of Holsteins into the countries on the right section (humid tropics) results in moderate to severe limitations in milk yield due largely to the temperature/humidity and related nutritional factors. Adaptable but lower yielding indigenous cattle have been used for centuries as a source of meat, milk and fibre in the tropical zones.
Figure 2 is an illustration of these calculations showing the number of months throughout the year that THIs were greater than 72 (B). THI average of months above 72 (C), which is a multiple of A × B, best expresses the comfort or adversity of climate zones. The annual THI average also reflects the relative limitation of the various climate zones of the world for dairy cows (Figure 3). Table 1 lists these indices which express the adversity or comfort as indicated by Columns A, B, C and D.
Figure 1.

Figure 2.

Figure 3.

| Climate Zone | A. | B. | C. | D. | |
|---|---|---|---|---|---|
| Ave. months above 72 | No. months above 72 | Time index: A × B | Average Annually | ||
| 1 | Canada (Edmonton) | 0 | 42.2 | ||
| 2 | U.S.A. (Missouri) | 74.5 | 2 | 149 | 54.6 |
| 3 | Japan (Kyoto) | 74.7 | 3 | 224 | 61.6 |
| 4 | U.S.A. (Phoenix) | 77.0 | 4 | 308 | 66.6 |
| 5 | Egypt (So. Delta) | 76.5 | 4 | 306 | 68.8 |
| 6 | Costa Rica (Atenia) (low-land-dry) | 71.9 | 2 | 144 | 69.5 |
| 7 | Costa Rica (CATIE) (mid-altitude-humid) | 71.4 | 2 | 144 | 70.7 |
| 8 | Saudi Arabia (Hufuf) | 80.5 | 7 | 563 | 71.9 |
| 9 | Mexico (Cardenas, Tabasco) | 76.0 | 8 | 608 | 74.0 |
| 10 | Costa Rica (Guapiles) (low-humid) | 73.2 | 11 | 805 | 73.2 |
| 11 | Bangladesh (Dhaka) | 75.8 | 10 | 758 | 73.9 |
| 12 | Costa Rica (Limon) (low-humid) | 74.2 | 11 | 816 | 73.0 |
| 13 | Puerto Rico (San Juan) | 75.0 | 12 | 900 | 75.0 |
| 14 | Thailand (Bangkok) | 75.7 | 12 | 908 | 75.8 |
| 15 | Dominican Republic (Santiago) | 76.2 | 12 | 915 | 76.2 |
| 16 | South America (Guyana) | 77.2 | 12 | 926 | 77.3 |
| 17 | Malaysia (Kuala Lumpar) | 78.7 | 12 | 944 | 78.7 |
THE ENVIRONMENT, THERMAL BALANCE, FEED INTAKE AND MILK YIELD
A model of major factors of the ecosystem (not including other animals) which influence the ability of the cow or other livestock to lactate, grow and reproduce has been described by Johnson, 1987b. The meteorological factors include temperature and photoperiod and involve physiological mechanisms; the most important non-meteorological factors are quantity and quality of feedstuffs and disease factors. Environmental temperature (thermal factors) and possibly emotional factors signal the hypothalamus and central nervous system to alter feed intake, hormonal functions and heat production and/or loss with resultant declines in milk yield and fertility.
In a thermal environment in which the animal's heat production exceeds heat loss, an increasing amount of heat is stored in the animal's body, resulting in increased body temperature. When the body temperature is significantly elevated, a myriad of homeothermic events are initiated. These events include increases in evaporative heat loss by respiration and skin. However, when high temperatures and radiation lessen the ability of the animal to radiate heat from the body, feed intake, metabolism, body weight and milk yields decrease to help alleviate the heat imbalance (Johnson, 1980a,b). Even though tissue substrates are mobilized, energy metabolism, growth and lactation declines.
To avoid this excessive acclimatization or adjustment to an adverse environment or to alleviate the stressor effects on less adaptable individuals, various management decisions and practices may be used to alleviate the severity of the climatic influences on the animal. These practices can help maintain the efficiency of production and prevent disintegration of the animal system.
The level of feed intake as indicated in Figure 4, is determined partially by the thermal balance of the animal which in turn alters milk yields and reproductive performance. Feed or hay intake declines in relation to THI which is illustrated clearly in Figure 4. The decline is about 0.23 kg/day for each unit increase in THI or increase in rectal temperature. The related decline in milk yield with increasing THIs is approximately 0.26 kg/day, milk decline/unit increase in THI (Johnson et al., 1961, 1962; Johnson, 1987b). A more recent study with 52 cows at each stage of lactation demonstrated the relative time changes in rectal temperature and milk yield and feed intake (Johnson et al., 1988). Milk yields of Jerseys and Holsteins from some of the countries previously discussed (Table 1) have been affected by the total environmental complex. These declines in milk yields for Holsteins or Jerseys in a temperate climate as compared to the tropics are very great (approximately half of genetic potential). The somewhat lesser decline in Puerto Rico (half of genetic potential) may be due to data from the “hills” region, with improved genotypes and management practices (Table 2).
Figure 4. Regressions of milk yield, rectal temperature and feed intake on THI for many temperature-humidity conditions above thermoneutral (Jhonson et al., 1962).

Figure 5. Seasonal heat effects in a temperate climate (Missouri) on conception rates.

| Region | Annual Milk Production kg | Lactation Length days | Daily Milk Production kg | THI Animal (D) |
|---|---|---|---|---|
| Holstein | ||||
| United States1 | 7715 | “305” | 25 | -- |
| Arizona1 | 8331 | “305” | 28 | 66 |
| Missouri1 | 6972 | “305” | 23 | 54 |
| Puerto Rico1 | 4485 | “305” | 14.7 | 75 |
| Mexico, Veracruz2 | 3534 | “325” | 10 | 73 |
| Mexico, Tabasco2 | 2745 | “305” | 9 | 74 |
| Egypt | ---- | ---- | 9 | 69 |
| Guyana | ---- | ---- | 6 | 77 |
| Jersey | ||||
| Missouri | ---- | ---- | 16 | 54 |
| Mexico, Veracruz2 | 2537 | “318” | 7.9 | 72 |
| Costa Rica, CATIE3 | 2218 | “300” | 7.7 | 71 |
3 Costa Rica, CATIE, 1986. Rolling Herd Average for Jersey.
MILK YIELDS AND REPRODUCTIVE PERFORMANCE AS AFFECTED BY ENVIRONMENTAL HEAT AND THI
The effects of THI on milk yields of Holstein dairy cattle have previously been summarized by Johnson et al. (1961, 1962) and Johnson (1987b). The influence of environmental heat and THI is especially critical to conception rates of temperate zone lactating cattle during summer heat (Figure 5; Rabie, 1983) and in the subtropics (Ingraham et al., 1976). Most evidence suggests that reproductive failures associated with hyperthermia in cattle are due to embryonic death (Thatcher and Roman-Ponce, 1980; Putney et al., 1988) rather than insufficient LH, high prolactin or progesterone, which are responsible for ovulation and fertilization actions. Embryonic death may be due to thermal or uterine environmental changes (including hormonal or immunological changes; Spencer, 1988).
ALLEVIATION OR PARTIAL ALLEVIATION OF PRODUCTION LIMITATIONS
Nutritional
Decreased feed intake and a resultant decline in metabolizable energy (ME) intake is a major problem for the exotic (temperate) breeds of cattle imported into the tropics.
Nutritional Modification
The composition of the diet is believed to be important in alleviating heat stress. There are, however, no reliable scientific guidelines for feeding cows in hot climates. Milk yields did not change significantly in earlier studies where animals were forced to eat diets containing various ratios of forage/concentrate or isocaloric diets in which the ratio of fibre was varied (El-Khohja, 1979) or fat was added (Moody et al., 1971). We do know that cattle under heat stress will reach a hyperthermic state and will refuse forage but continue to eat concentrate.
Minerals
Since cows reduce their voluntary feed intake during hot temperate season weather and in the tropics (Collier et al., 1982), their mineral intake may also be less than optimal in hot weather, adding an additional limiting factor in hot humid environments. Kamal and Johnson (1978) also found negative mineral balances of cattle in which ration and total (urine and faeces) excretion were analyzed for Na, K, Ca, Mg, Zn, Cu, Fe, Co, Mo, and P.
Hormonal
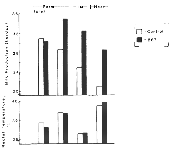
Numerous hormones that are depressed in hot or tropical climates may warrant consideration as a means to prevent or restore milk yields of dairy cattle. Most promising is the bovine somatotropin (BST) which may soon be available commercially as a recombinant hormone. Prolonged heat stress was shown by our laboratory to lower plasma levels of growth hormone. Thus, assuming over-compensation may have occurred, the supplementation of growth hormone would increase milk yields and efficiency of energy conversion in hot climates. Recently Johnson et al. (1988), using the recombinant BST, increased milk yields under summer farm conditions by 18% and, in a subsequent laboratory simulated thermoneutral environment, by 25% and summer heat conditions by 26% over controls (Figure 6). The increase in milk, feed intake and metabolism did not increase body temperature more than controls due possibly to increased heat loss and/or efficiency of energy utilization (Johnson et al., 1987) (Figure 7).
Environmental (Shelter) Modification
Technology to avoid solar heat loads or increase heat losses from the animal to maintain heat balance is especially important for exotic temperate cows introduced into the humid tropics and during temperate zone summers. Shades have been shown by many scientists to minimize incoming radiation as much as 30% for the dairy cow and thus reduce heat loads (Roman-Ponce et al., 1977; Wiersma et al., 1984). Even in humid climates water sprays and high intensity fans can greatly improve milk yields (Igono et al., 1987, Johnson et al., 1987).
The effects of various temperature, humidity, wind combinations on milk yield and related heat balance measures were measured on lactating Holstein cows (Figure 8).
Genotype Modification: Production Adaptability Measures
Our goals are to provide the optimal micro-climate and micro-environment for the animal genotype, identify the genotype for adaptability as well as production potential and modify the genotype either by hormonal therapy (see above), or selective breeding. There are numerous examples of individual cows that are more heat tolerant and productive when subjected to heat stress (Johnson et al., 1962 Johnson. 1965; Johnson et al., 1967; Johnson, 1967; Johnson, 1987). Thus, selection can offer the potential to increase milk yield/cow in an existing microclimate, especially if selection includes production and adaptability indices (Horst, 1983; Johnson et al., 1988). These indices should improve stress resistance and avoid production compensation and excessive acclimatization.
A recent laboratory study on 51 cows at each stage of lactation demonstrated again a wide range of the ability of the individual cow with similar levels of milk yields (at thermoneutral) to produce when subjected to heat stress (Johnson et al., 1987) (Figure 9). These data clearly demonstrate that the milk yield and food intake of animals producing about 15–25 kg milk/day at thermoneutral (18°C) and were in the heat-tolerant portion of the population (Figure 9) declined less than the cows in the heat-sensitive portion of the distribution curve. This relationship of rectal temperature to performance (milk yield and feed intake) clearly describes the functional significance of thermal balance and energy-related functions.
Figure 6. Milk yields of control and BST-treated cows during summer farm and laboratory simulated TN and heat conditions.

Figure 7. Milk production and rectal temperature of control and BST-treated cows.

Figure 8. Changes in rectal temperature (°C) and % changes in milk yields under laboratory simulated and various combinations of temperature, humidity and wind. Control or base conditions wa 20°C, 40% RH and wind at 0.5 m/sec (MLS).

Figure 9. Frequency designations (-), (+) or (Intermediate) for productive adaptability indices (R = rectal temperature, °C; MP = milk production, % decline/day and F = feed intake, Mcal/day).

REFERENCES
Collier, 1982 R.J., Beede D.K., Thatcher W.W., Israel L.A. and Wilcox C.J. Influences of environment and its modifications on dairy animal health and production. J. Dairy Sci. 65:2213.
El-Kohja, 1979 M. Effect of environmental temperature on lactating dairy cows fed high and low fibre rations. M.S. Thesis, University of Missouri.
Horst, 1983 P. The concept of “productive adaptability” of domestic animals in tropical and subtropical regions. J. S. African Vet. Assoc. 3:159.
Igono, 1987 M.O., Johnson H.D., Steevens B.J., Krause G.F. and Shanklin M.D. Physiological, productive, and economic benefits of shade, spray, and fan system versus shade for Holstein cows during summer heat. J. Dairy Sci. 70:1069.
Ingraham, 1976 P.H., Stanley R.W. and Wagner W.D. Relationship of temperature and humidity to conception rate of Holstein cows in Hawaii. J. Dairy Sci. 59:2086.
Johnson, H.D., Kibler H.H., Ragsdale A.C., Berry I.L. and Shanklin 1961 M.D. Role of heat tolerance and production level in response of lactating Holsteins to various temperature-humidity conditions. J. Dairy Sci. 44:1191.
Johnson, 1962 H.D., Ragsdale A.C., Berry I.L. and Shanklin M.D. Effect of various temperature-humidity combinations on milk production of Holstein cattle. MO. Agric. exp. Sta. Res. Bulletin No. 791.
Johnson, 1965 H.D., Response of animals to heat. Meteor. Monographs. 6:109.
Johnson, 1967 H.D., Hahn L., Kibler H.H., Shanklin M.D. and Edmonson H.D. Heat and acclimation influence on lactation of Holstein cattle. MO. Agric. Exp. Sta. Res. Bulletin 916.
Johnson, 1976 H.D. Environmental temperature effects (including humidity, radiation and wind) on animal functions and processes. IN: The Effect of Weather and Climate on Animals. Vol. 1, Part 1. S.W. Tromp (Editor-in-Chief) and H.D. Johnson (Editor). Swets and Zeitlinger BV, Amsterdam.
Johnson, 1980a H.D. Depressed chemical thermogenesis and hormonal function in heat. In: Environmental Physiology Aging, Heat and Attitude. Horvath and M.K. Yousef (Eds.), Elsevier Publishers, North Holland; New York.
Johnson, 1980b H.D. Environmental management of cattle to minimize the stress of climatic changes. Int. J. Biometeorol. 24:65–78.
Johnson, 1987a H.D. Bioclimates and Livestock. IN: Bioclimatology and the Adaptation of Livestock. Chapter 1. Elsevier Science Publishers, Amsterdam. pp. 3–16.
Johnson, 1987b H.D. Bioclimate Effects on Growth, Reproduction and Milk Production. In: Bioclimatology and the Adaptation of Livestock. Chapter 3. Elsevier Science Publishers, Amsterdam. pp. 35–57.
Johnson, 1987 H.D., Li R., Spencer K.J., Manalu W., Meador N.F. and Katti P.S. Influence of water sprays and wind in hot humid environments on milk yield, metabolic and thermo-regulatory functions. 18th Conf. Biometeor. and Aerobiology, Amer. Meteor. Soc., Sept.
Johnson, 1987 H.D., Shanklin M.D. and Hahn L. LXXV. Productive Adaptability of Holstein Cows to Environmental Heat. Part I. MO. Agric. Exp. Sta. Res. Bulletin 1060.
Johnson, 1988 H.D., Becker B.A., Spencer K.J., Collier R.J. and Baille C.A. Effect of field and laboratory heat stress on milk and physiological response of lactating dairy cows supplemented with Sometribove (Bovine Somatotropin, BST). J. Dairy Sci. Mtgs., Edmonton, Alberta.
Kamal, 1978 T.H. and Johnson H.D. Effect of high environmental temperature and age on trace elements metabolism in cattle. J. Middle Eastern Regional Radioisotope Centre.
Moody, 1971 E.G., Van Soest P.J., McDowell R.E. and Ford G.L. Effect of high temperature and dietary fat on milk fatty acids. J. Dairy Sci. 54:1457.
Putney, 1988 D.J., Drost D. and Thatcher W.W. Embryonic development in dairy cattle exposed to elevated ambient temperatures between days 1–7 post-insemination. Biol. Reprod. 34:100.
Rabie, 1983 H.M. Climatic effects on reproduction of dairy cattle. M.S. Thesis, University of Missouri.
Roman-Ponce, 1977 H., Thatcher W.W., Buffington D.E., Wilcox C.J. and Van Horn H.H. Physiological and production responses of dairy cattle to a shade structure in a sub-tropical environment. J. Dairy Sci. 60: 424.
Spencer, 1988 K.J. Influences of heat stress and related endocrine and uterine environmental changes on embryonic survival. M.S. Thesis, University of Missouri.
Thatcher 1980 W.W., and Roman-Ponce H. Effect of climate on bovine reproduction and lactation. J. Dairy Sci. 57:360.
Wiersma,1984 F., Armstrong D.V., Welchert W.T. and Lough O.G. Housing systems for dairy production under warm weather conditions. World Anim. Rev. 50:16.