The use of solar energy for controlling white rot disease of garlic
L. Matrod, J. Faddoul, A. Elmeamar, and S. Al-Chaabi
Department of Plant Protection in the Agriculture Faculty
University of Damascus and in Directorate of Agricultural
Scientific Research, Syria
Abstract
As a result of tarping moist and dry soils infested artificially with Sclerotium cepivorum (125 sclerotia/100 g dry soil) with four types of different colour and thickness plastic mulches during July and August, a significant increase of temperature was observed at soil surface and at 5-7 cm depth, in comparison with the control treatment. The viable number of sclerotia had decreased by 75.2-83.2 percent in the moist soils covered with clear plastic mulches. However, in the moist soil covered with black plastic mulch, the decrease in sclerotia ranged from 49.6-59.2 percent, compared with about 12 percent in the control treatment.
In contrast in dry soils, the loss of sclerotia numbers was few; 2.4-10.4 percent in tarped dry soils with clear plastic mulches, 1.6-4.8 percent in tarped treatment with black mulch, and about 1.6 percent in the control.
Introduction
The importance of garlic is increasing day after day in Syria.
The white rot disease plays an important role in decreasing the
production of garlic plantation. A large number of garlic-growing
areas were abolished as a result of white rot disease infections.
| Year | Area/ha | Production/Ton. | Yield Ton/ha (31) |
| 1983 | 2995.0 | 23353 | 7.797 |
| 1985 | 1528.0 | 10986 | 7.190 |
| 1987 | 1825.0 | 13187 | 7.226 |
Different control measures, such as chemical seed and soil
treatments, plant spraying with fungicides, crop rotations, soil
fertilization and depth cultivation have been applied to control
white rot disease (17, 21, 26, 27), but the results were
unsatisfactory. To avoid soil and environment contamination,
biological and physical control measures were used (5, 6, 9, 28,
30), and many research works on soil solar heating with
polyethylene mulches have been made during summer to control
soilborne diseases (1, 3, 4, 14, 15, 19, 24, 25, 32, 34). The
previous procedures have decreased the vitality and number of
sclerotia in the soil especially at experimental moist fields in
comparison with the fields having dry soil (7, 10, 11, 12, 18,
23). Fungal sclerotia were reported to be destroyed in moist soil
faster than in dry ones (29). Sclerotia of Sclerotium
cepivorum when subjected to a temperature of 40°C for 39 hr.
lost 50 percent of their vitality (2). On the other hand, soil
covered with polyethylene sheets encouraged biological control in
soil (13, 16, 20, 22).
Materials and Methods
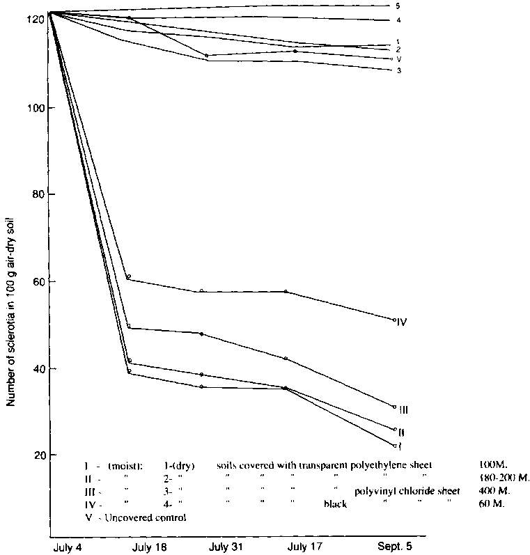
The experimental area was divided into 10 plots; I m²/each, subdivided into two groups: moist and dry. Each group contained 5 treatments as follows:
1 - 100 mil transparent polyethylene sheeting (PE)
2 - 180-200 mil transparent polyethylene sheeting (PE)
3 - 400 mil transparent polyvinyl chloride sheeting(PVC)
4 - 60 mil black polyvinyl chloride sheeting (PVC)
5 - Uncovered control.
The soil of the experimental area was artificially inoculated with 125 sclerotia/100 g dry soil. The soil of the moist group was moistened once a week during the test. Soil samples were taken after recording soil temperature in each treatment at depths of 0-2 cm and at 5-7 cm once every two weeks at 1:30 pm in three replications. The method of Utkhede et al. (33) was followed for the extraction of sclerotia with 2.5 M sugar solution. Sclerotia were counted and investigated microscopically. The method of Crowe and Hall (8) was used to test sclerotia vitality by washing sclerotia of one replication of each treatment with distilled and sterile water before and after treatment with 0.5 percent sodium hypochloride solution. The sclerotia were classified into 5 groups as follows:
1 - White content sclerotia.
2 - Partially coloured sclerotia.
3 - White border sclerotia with hollow centre.
4 - Complete coloured sclerotia (black).
5 - Hollowed sclerotia.
Half the number of sclerotia for the tested groups was put into water agar medium, incubated at 21 for 10 days then observed for growth. This trial was conducted in Directorate of Agr-scientific Research from July 4 to Sept. 5, 1989, and laboratory tests were continued until the end of October.
Results and Discussion
The temperature of moist soil covered with transparent PE and PVC sheets, was very high in comparison with the uncovered control treatment. The differences between temperatures of soil covered with black PVC and the control treatment were small at the same soil depths, horizons levels, especially in dry soil (Table 1).
In dry soil treatments, temperature at the soil surface was higher than that of moist soil treatments even in the control treatment. At 5-7 cm depth, the temperatures were similar in both dry and moist soils covered with transparent PE and PVC.
A noticable increase was observed in temperatures of dry soils control treatment and in the soil covered with black PVC when they were compared with moistened soil treatments. As a result of soil solarization. some changes were recorded in the quantity and quality of sclerotia of S. cepivorum, especially in moist soil. Results obtained from moist soil treatments showed a negative relationship between density of sclerotia and their viability on one hand and the soil temperature on the other. In all treatments, sclerotia in moist soil had more injury than those found in deep soil, except for the control treatment, the loss of sclerotia density and viabily were highest in soil covered with transparent PE, followed by the soil covered with transparent PYC, then soil covered with black PVC film, in comparison with the control treatment.
A high percentage (56.8 - 68.0 percent) of hollowed and decayed sclerotia was noticed within the first two weeks in moist soil covered with transparent PE and PVC. It increased to 75.2 - 83.2 percent after nine weeks. In black PVC treatment the percentage of loss in sclerotia was 39.2 - 51.2 percent during the first two weeks and reached 49.6 - 59.2 percent after nine weeks.
In the moist control treatment, the loss was little during the first two weeks (1.6 - 2.4 percent) and reached 12.8 percent after nine weeks since date of covering the soil (Table 2 and Fig 1).
Regarding the effect of temperature on the number and vitality of S. cepivorum sclerotia in dry soil covered with transparent PE and PVC, data revealed that although temperature of soil surface reach 65-69°C, the loss in sclerotia was very low compared with treatments with moist soil (Fig. 1). At nine weeks after the covering date, the loss ratio reached the maximum in soil surface covered with transparent PVC (13.6 percent), followed by treatments of transparent PE (9.6 percent - 10.4 percent), while in the treatment with black PVC, it was 4.8 percent.
At a depth of 5-7 cm in dry soil, the rate of sclerotia loss was very low. Concerning the viability of sclerotia in moist soil covered with plastic films, two groups of sclerotia could be recognized: (1) swollen sclerotia, easy to remove the internal layer by pressing the white contents; their germination on water agar medium (WA) was 65 - 88 percent; (2) Hollowed sclerotia, easily crushed with no germination.
Occasionally, a very thin layer of white fungal tissue was observed in close contact with the internal protecting layer of sclerotia.
Regarding the viability of sclerotia in dry soil covered with plastic sheets, various kinds of sclerotia were detected as follow: (1) internally white sclerotia, with germination rate 93-98 percent; (2) hollowed sclerotia with internal white fungal tissue, germination rate 86-93 percent; (3) partially coloured sclerotia, germination rate 69-74 percent; (4) black content or hollowed sclerotia, with no germination.
It was concluded that the utilization of solar heating is a very promising method for S. cepivorum control especially when moist soil is covered with transparent PE and PVC for nine weeks. Much of the solarized sclerotia were destroyed during the first two weeks (56-68.0 percent). Moisture plays a very important role in reducing the resistance of sclerotia to heat and it contributes in destroying sclerotial contents.
References
1. Abu-Gharbieh, W. 1988. Use of solar energy for control of soil-borne pests and pathogens. Abstracts Book, Third Arab Congress of Plnt Protection, Al-Ain, Dec. 5-9, No.120.
2. Adams, P. B. 1987. Effects of soil temperature, moisture and depth on survival activity of Sclerotinia minor, Sclerotium cepivorum and Sporidesmiunn sclerotivorum. Plant Disease 71: 170-174.
3. Al-Jibouri, M., K. Al-Hassan, and F. K. Ismail. 1988. Chemical and solar heat control of sclerotia of S sclerotiorum in Iraq. Abstracts Book, Third Arab Congress of Plant Protection, Al-Ain, Dec. 5-9, No. 153.
4. Ashworth, L. I. Jr., and S. A. Gaona. 1982. Evaluation of clear polyethylene mulch for controlling verticillium wilt in established pistachio nut groves. Phytopathology 72: 243-246.
5. Cardoso, J. E., and E. Echandi. 1987. Biological control of Rhizoctonia root rot of snap bean with binucleate Rhizoctonia - like fungi. Plant Disease 71: 167-170.
6. Cohen, R., and A. Szterjnberg. 1981. Physical and chemical control of Dematophora necatrix. (Abstr.) Phytoparasitica 9:225-226.
7. Coley-Smith, J. R., and A. Ghaffar. 1974. The effect of dry condition on subsequent leakage and rotting of fungal sclerotia. Soil Biol. Biochem. 6: 307-312.
8. Crowe, F. R. and D. H. Hall. 1980. Vertical distribution of sclerotia of Sclerotium cepivorum and host root systems relative to white rot of onion and garlic. Phytopathology 70: 70-73.
9. Dawson. J. R. and R.A.H. Johnson. 1965. Influence of steam air mixture, when used for heating soil on biological and chemical properties that effect seedling growth. Ann. Appl. Biol. 56: 245-152.
10. Dhingra, O. D. and J.B. Sinclair. 1974. Effect of soil moisture and carbon nitrogen ratio on survival of Macrophomina phaseolina in soybean stems in soil. Plant Disease Reporter 58: 1034-1037.
11. Dhingra, O.D. and J. B. Sinclair. 1975. Survival of Macrophomina phaseolina sclerotia in soil. Effects of soil moisture, carbon nitrogen ratios, carbon sources, and nitrogen concentration. Phytopathology 65: 236-240.
12. Ghaffar, A. 1968. Survival Macrophomina phaseolina (Mauble.) Ashby. The cause of root rot of cotton. Pakist. J. Seiem. Res. 20: 112-118.
13. Greenberger, A., A. Yogev, and 3. Katan. 1985. Induced suppressiveness in solarized soils. (Abstr.) Phytopathology 75: 1291.
14. Grinstein, A., J. Katan, A. Abdul Razik, O. Zeydan, and Y. Eida. 1979. Control of Sclerotium rolfsii, and weeds in peanuts by solar heating of soil. Plant Disease Reporter 63 (12): 1056-1059.
15. Hassan, M. S., and M. A. Younid. 1984. Cucumber cultivation with soil solarization and plastic mulching. Arab. J. Pl. Prot., 2(2): 65-69.
16. Katan, J. 1980. Solar pasteurization of soil for disease control, status and prospects. Plant Disease Reporter 64(5): 450-454.
17. Katan, J., G. Fishler, and A. Grinstein. 1983. Short and long term effects of soil solarization and crops sequence on Fusarium wilt and yield of cotton. Phytopathology 73: 1215-1219.
18. Katan, J., A.H. Greenberger, A. Grinstein. 1976. Solar heating by polyethylene mulching for the control of diseases caused by soil-borne pathogens. Phytopathology 66: 683-688.
19. Ko. W.H. and W. C. Ho. 1983. Screening soils for supressiveness to Rhizoctonia solani and Phythium splendens. Phytopathol. Soc. (Japan) 49: 1-9.
20. Lifhitz, R., M. Tabachik, J. Katan, and I. Chet. The effect of sublethal heating on sclerotia of Sclerotium rolfsii. Can. J. Microbiol. 29: 16071610.
21. Maloy. O.C. and R. Machtmes. 1974. Control of onion white rot by furrow and root-dip application of fungicides. Plant Disease Reporter 58: 6-9.
22. Munnecke, D. E., W. Wilbur, and E. F. Daley. 1976. Effect of heating or drying Armillaria mellea or Trichoderma viride and the relation to the survival of A. mellea. Phytopathology 66: 1363-1368.
23. Papavizas, G.C. 1977. Survival of sclerotia of Macrophomina phaseolina and Sclerotiom cepivorum after drying and Wetting treatments. Soil Biol. Biochem. 9: 343-348.
24. Pinkas, Y., A. Kariv, and J. Katan. 1984. Soil solarization for the control of Phytophthora cinnamomi: Thermal and biological effects. (Abstr.) Phytopathology 74:796.
25. Pullman, G. S., J. E. DeVay, R. H. Garber, and A. R. Weinhold. 1981. Soil solarization: Effect on verticillium wilt of cotton and soilborne populations of Verticillium dahliae, Pythium spp. Rhizoctonia solani and Thielaviopsis basicola, Phytopathology 71:954-959.
26. Punja, Z. K., J. D. Carter, C. M. Campbell, and E. L. Russell. l986. Effect of calcium nitrogen fertilizers, fungicides, and tillage practices on incidence of S. rolfsii on processing carols. Plant Disease 70: 819-824.
27. Ramadan, A. H. N. and A. A. Sayed-Ahmed. 1988. Effect of some growth regulators in relation with some fungicides on white rot disease of onion in Egypt. Asbtratct Book, Third Arab Congress of Plant Protection, Al. Ain, Dec. 5-9, No. 129.
28. Sivan, A., O. Ucko, and I. Chet. 1987. Biological control of Fusarium crown rot of tomato by Trichoderma harzianum under field conditions. Plant Disease 71: 587-592.
29. Smith, A. M. 1972. Biological control of fungal sclerotia in soil. Soil Biol. Biochem. 4:131-134.
30. Sztejnberg, A., S. Freeman, I. Chet, and J. Katan. 1987. Control of Rosellinia necatrix in soil and in apple orchards by solarization and Trichoderman harzianum. Plant Disease 71: 365-369.
31. The Annual Agricultural Statistical Abstract, 1987. Min. of Agric. & Agra. Reform, Dept. of Plant and Statistics. University of Damascus, Syria.
32. Tjamos, E. C. 1983. Prospects for controlling wilt of olvie trees by soil solarization. Page 15, In: First Hellenic Congress on Plant Diseases and Pests (Athens), (Abstr.). 67 pp.
33. Utkhede, R. S., J. E. Rahe, and D. J. Ormrod. 1978. Occurrence of Sclerotium cepivorum sclerotia in commericial onion farm soils in relation to disease development. Plant Disease Reporter: 1030-1030.
34. Zaid, A., W. Tamial, and F. Bishya. 1988. The use of soil solarization to control soil-borne pathogens in Great Libyan Jamahiriya Abstracts Book, Third Arab Congress of Plant Protection, Al-Ain, Dec. 5-9. No. 13.
Table 1. The effect of solarization on the temperatures of
soils covered with four types of different colour and thickness
plastic sheets
Average temperature (C)¹ |
||||
| Type of plastic films | Moist Soil | Dry Soil | ||
| 0-2 cm depth |
5-7 cm depth |
0-2 cm depth |
5-7 cm depth |
|
| 100 mil transparent polyethylene sheet |
54.5 | 42.3 | 65.0 | 42.5 |
| 180-200 mil
transparent polyethlene sheet |
||||
| 54.3 | 41.5 | 65.0 | 42.0 | |
| 400
mil transparent polyvinyl chloride sheet |
||||
| 51.3 | 41.3 | 68.8 | 42.8 | |
| 60
mil black polyvinyl chloride sheet |
||||
| 48.0 | 35.0 | 56.5 | 37.3 | |
| Uncovered control | 42.5 | 32.5 | 56.3 | 36.6 |
1 The average air temperature in July and August at 1:30 pm at 10
cm above the soil surface was 42.5°C.
Table 2. The effect of covering moist soil with plastic
films on the number and characteristics of Sclerotium cepivorum
sclerotia at during 5-7 cm depth, during July and August
| Type
of plastic film |
Total
number of sclerotia before covering |
Number of sclerotia/100g dry soil | ||
| Decayed | Hollowed | Percent of total | ||
| July 18 1989 | ||||
| 100 mil
transparent polyethylene sheet |
||||
| 125 | 46 | 38 | 67.2 | |
| 180-200
mil transparent polyethylene sheet |
||||
| 125 | 42 | 40 | 65.6 | |
| 400
mil transparent polyvinyl chloride sheet |
||||
| 125 | 32 | 39 | 56.8 | |
| 60 mil black
polyvinyl chloride sheet |
||||
| 125 | 29 | 20 | 39.2 | |
| Uncovered control | 125 | 2 | 1 | 2.4 |
| Sept 5 1989 | ||||
| 100 mil
transparent polyethylene sheet |
||||
| 125 | 77 | 25 | 81.6 | |
| 180-200 mil transparent polyethylene sheet |
||||
| 125 | 70 | 24 | 75.2 | |
| 400
mil transparent polyvinyl chloride sheet |
||||
| 125 | 71 | 23 | 75.2 | |
| 60 mil black
polyvinyl chloride sheet |
||||
| 125 | 36 | 26 | 49.6 | |
| Uncovered control | 125 | 14 | 2 | 12.8 |