Soil solarization for control of pratylenchus thornei on Chickpea in Syria.
N. Greco*, M. Di Vito*, and M. C. Saxena**
*Istituto di Nematologia Agraria, C.N.R. - 70126 Bari, Italy
**International Center for Agricultural Research in the Dry Areas
(ICARDA), Aleppo, Syria
Abstract
A field experiment was conducted to investigate the effect of soil solarization on the control of Pratylenchus thornei and yield of chickpea in Syria. A field infested by the nematode was divided into 20 plots (2.25m x 4m) and four replications each were mulched with transparent polyethylene film for two, four, six, or eight weeks during summer, 1988. The remaining four uncovered plots served as the control. Soil samples were collected before and after solarization, and at harvest from each plot. Chickpea root samples also were collected in mid-April, 1989. Soil populations of P. thornei were greatly suppressed in all solarized plots. Numbers of nematodes in chickpea roots assayed in April from plots solarized for four, six, or eight weeks, were about 50 percent of those from the control plots. Aerial plant parts and grain yields of chickpea increased significantly (P=< 0.05 or 0.01) in the plots solarized for six or eight weeks.
Introduction
Investigations of nematodes of food legumes occurring in the Mediterranean basin have demonstrated that root-lesion nematodes, Pratylenchus spp., are widespread and can be responsible for severe damage to pulses. Among these nematodes, P. thornei Sher ct Allen is very common (1, 3), especially in Syria where 74 percent of chickpea (Cicer arietinum L.) crops were infected. The host range of the nematode is very wide and includes cereals, which are often rotated with leguminous crops. Therefore, control of P. thornei by crop rotation is difficult. Soil treatments with nematicides can be satisfactory, but costly and hazardous, while use of nematicide-coated seeds has given contradictory results (4, 7). Moreover, no chickpea cultivar resistant to the nematode is available (4). Therefore, an experiment was undertaken in 1988-89 to assess the efficacy of soil solarization for the control of P. thornei on chickpea in Syria.
Material and Methods
A field infested with the P. thornei was selected at ICARDA's main station, Tel Hadya (Aleppo), and divided in 20 plots of 10 m² (2.25m x 4m). The plots were first ploughed and then irrigated to wet the top 50 cm of soil. Solarization was performed by mulching the plots with 50 mm thick, clear polyethylene film for two, four, six, or eight weeks, starting on 7 August, 1988. Uncovered plots served as the control. All treatments were replicated four times according to a randomized block design. Soil samples of approximately 3 kg consisting of 40 cores, were collected from each plot with an auger of 1.5 cm diem., before and after solarization and at harvest of chickpea. Nematodes from 50 cm³ soil were then extracted according to Coolen's method (2) and counted.
Soil temperatures at 5, 15 and 30 cm depth were recorded daily at 2 p.m., from 7 August to 6 September, 1988. Chickpea cv. Ghab 1 was sown on 20 December 1988 in five rows per plot, spaced 45 cm apart. Four chickpea plants per plot were uprooted in mid-April, 1989, and nematodes in 5 g roots were extracted according to the incubation method (8). The total aerial parts of the plants and the grain yields were weighed at harvest on 28 May, 1989. All data were statistically analyzed and LSDs calculated.
Results and Discussion
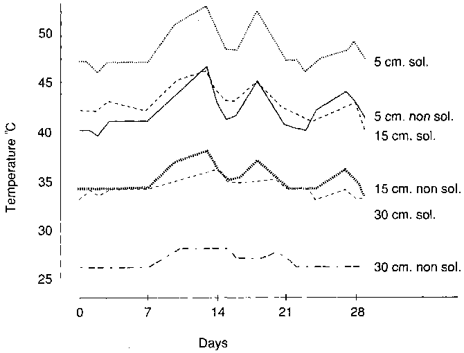
Daily (2 p.m.) soil temperatures of mulched plots were above 45°C and reached a maximum of 50°C (Fig. 1) at 5 cm depth. They exceeded 40°C at 15 cm depth (max. 46°C) and were in the range 33-35°C at 30 cm depth. Temperatures higher than 42-43°C are known to kill nematodes after a few hours exposure. Temperatures above 35°C can also injure nematodes if prolonged for several days. Therefore, according to the observed temperatures, good nematode control would have occurred in the top 20 cm soil. This assumption was confirmed by the data on percentage of P. thornei that survived in the soil at the end of the solarization periods (Table 1). Only 11.6 percent of the nematodes survived after two weeks of solarization and nearly 100 percent control was achieved by treatment for eight weeks. However, by harvest time, nematode populations had increased in all solarized plots.
Nematode numbers remained significantly lower than the control only in plots solarized for at least four weeks. This was reflected in the nematode infestation of the roots, which was significantly less than the controls in all plots solarized for more than two weeks (Table 1).
The total weight of the aerial plant parts increased significantly (28-34 percent; P< 0.01) in all plots solarized for six to eight weeks (Table 2). However, although grain yield increased in all solarized plots, significant increases (23-29 percent) were only observed (P< 0.05) in those solarized for six to eight weeks.
The results clearly show that soil solarization is effective for the control of P. thornei on chickpea in Syria. This method of control has also shown promise against several soilborne plant pathogens (5), including Orobanche spp. (6), which could become another constraint to the production of this pulse crop.
Although no investigations have been undertaken on the economic aspects of soil solarization in chickpea production, this method of control would be of great help in experimental stations studying the effect of non-pathogen factors on crop production.
References
1. Anonymous. 1988. Studies on nematodes of food legumes. Progress Report 1987/1988. Flip, ICARDA, Aleppo, Syria, 15 pp.
2. Coolen, W. A. 1979. Methods for the extraction of Meloidogyne spp. and other nematodes from roots and soil. Pages 317 - 329. In: Root-knot Nematodes (Meloidogyne species) Systematics, Biology and Control. F. Lamberti and C. E. Taylor (Eds.), Academic Press, London.
3. Greco, N., M. Di Vito, M. V. Reddy, and M. C. Saxena. 1984. A preliminary report of survey of plant parasitic nematodes of loguminous crops in Syria. Nematol. Medit. 12:87-93.
4. Greco, N., M. Di Vito, M. C. Saxena, and M. V. Reddy. 1988. Investigation on the root-lesion nematode Pratylenchus thornei, in Syria. Nematol. Medit. 16:101-105.
5. Katan, J. 1987. Soil Solarization. Pages 77-105. In: Innovative Approaches to Plant Disease Control. Ilan Chet Ed., J. Wiley and Sons, New York.
6. Sauerborn, J. and M. C. Saxena. 1987. Effect of soil solarization on Orobanche spp. infestation and other pests in faba bean and lentil. Pages 733-744. In: Parasitic Flowering Plants. C. Weber and W. Forstreuter, (Eds.), Marburg, West Germany.
7. Walia, R. K. 1985. Chemical control of Pratylenchus thornei on chickpea through seed treatment. Intern. Chickpea Newsletter 13:32-34.
8. Young, T. W. 1954. An incubation method for collecting migratory endo-parasitic nematodes. Plant Dis. Reptr. 38:794-795.
Table 1. Effect of soil solarization on the numbers of
Pratylenchus thornei extracted from soil and roots of chickpea
| Treatment | Nematodes/50g soil |
Nematodes/5g
roots on 15 April |
||
| Before mulching |
After mulching |
At harvest |
||
| Control (non- solarized) |
||||
| 259 | 237 | 57.5 | 2860 | |
| 2 weeks solarized |
||||
| 248 | 29 | 43.7 | 2519 | |
| 4 weeks solarized |
||||
| 297 | 11 | 19.7 | 1377 | |
| 6 weeks solarized |
||||
| 219 | 5 | 24.7 | 1347 | |
| 8 weeks | 240 | 1 | 22.5 | 1273 |
| LSD P=< 0.05 | N.S. | 53.1 | 27.2 | 863.2 |
| =< 0.01 | N.S. | 74.5 | N.S. | 1212.4 |
Table 2. Effect of soil solarization on the yield of chickpea
grown in a field infested by Pratylenchus thornei
| Treatment | Yield of chickpea (Kg/ha) |
|
| Straw and grain | Grain | |
| Control (non-solarized) | 2563 | 1389 |
| 2 weeks solarized | 2889 | 1516 |
| 4 weeks solarized | 2825 | 1488 |
| 6 weeks solarized | 3286 | 1710 |
| 8 weeks solarized | 3444 | 1798 |
| LSD P < 0.05 | 476.5 | 237.3 |
| P =< 0.01 | 656.2 | N.S. |
A. A. Osman
Faculty of Agriculture, Cairo University, Nematology Research Centre, Giza, Egypt
Abstract
Experiments were designed to evaluate the role of soil solarization in nematode integrated control programs for two cropping systems. Nematode control was observed after soil solarization prior to planting a susceptible host. Percent nematode control increased when the soil was chemically treated, particularly when combined with soil solarization. When a moderately susceptible host preceded the main host in the cropping system (tomato), application of soil solarization once, and preferably twice (15 days exposure time for each interval at 30±5°C), was a necessity for nematode control. Although soil solarization alone was not the best treatment for controlling nematodes, it improved when combined with soil chemical treatment. In cropping systems with a susceptible host, soil solarization resulted in moderate nematode control whereas chemical soil treatment gave better control.
The best nematode control was obtained after both soil solarization and chemical control. Soil solarization is one of the most promising methods of nematode control when integrated with the other applied methods, especially for tropical and sub-tropical regions. The hydrothermal effect of the soil solarization process causes complex changes in soils that are deleterious to many plant parasitic nematodes (7).
Research workers have reported that the efficiency of soil solarization ranges from excellent to poor under field conditions (1, 3, 4, 5, 6, 8). Very limited reports have been made concerning combinations of soil solarization with other nematode control measures (6, 8). Our objective was to study the role of soil solarization in intergated control of Meloigodyne spp. on tomato Lycopersicon esculentum Mill.
Materials and Methods
This trial was carried out under semi-field conditions. It began with the summer season and extended for four months. Seventy-two cement laizemeters, 1 m² were each heavily infested with a similar inoculum level of Meloidogyne spp. larvae, and were used during the experimental duration of integrated control trials. Three types of hosts representing the different degrees of host susceptibility to nematode infection were used. The summer crops, sunflower (Helianthus annus), watermelon (Citrullus vulgaris), and maize (Zea mays), represented the highly susceptible, moderately susceptible and resistant hosts, respectively. Twenty-four cropping combinations were arranged in a completely randomized design, replicated three times. The soil solarization period lasted for IS days. The systemic nematicide Miral, was used at the rate of 5 kg/f. The nematicide was applied IS days after tomato transplanting.
The experimental system was carried out according to the following procedure:
(1) The laizemeters were first cropped for four months with one of the three types of the above-mentioned hosts.
(2) Tomato cv. Ace replaced such hosts for another four months and was then treated with control measures of soil solarization and/or nematicide application. The polyethylene sheets were 80 m thickness and white in colour. All cultured practices were maintained during the experimental period. Data on nematode developmental stages at the end of the trial were recorded.
Results and Discussion
Chemical soil treatments, crop. rotation and solarization are the most commonly used and most effective control practices that are employed to keep nematode populations at a minimum level. Therefore, the effect of combinations of a susceptible, moderately susceptible or resistant host and the successive tomato crop on the Meloidogyne population density and its control, was studied. Soil solarization was either excluded or included once or twice. The series was designed in combination with another series of treatments in which tomato was grown in chemically treated soil. Data showed that the population density of Meloidogyne spp. was greatly influenced by the preceding summer crops and cropping system (Table 1). The greatest percentage of nematode control was obtained when a resistant crop preceded tomato. When tomato was preceded by a susceptible host, the nematode population density was at a maximum level. However, significant nematode control was observed when soil solarization was introduced to the system, ranging from 40-51 percent. The result was more or less the same, whether soil solarization was applied before or after the susceptible host, or both. Percent nematode control increased when the soil was chemically treated, and particularly when solarization was included in the system, it ranged between 75 percent and 88 percent.
Nematode control was between 62 percent and 83 percent when a moderately susceptible host preceded tomato. Supression of nematode populations was more pronounced in this case than in the two above-mentioned cases, i.e. when a susceptible or a resistant host preceded tomato. Nevertheless, nematode population reductions after chemical treatment of soil were not as great, due to the fact that nematode percent control in this rotation was generally high (87 to 96 percent). It was reported that solarization consistently surpassed fumigation in reducing nematode population density only within the top 7.3 cm of soil (3).
One of the more acceptable explanations of the good results obtained from the application of soil solarization was made by Stapleton and DeVay (7). They speculated that soil solarization involves stimulation of beneficial organisms responsible for residual biological control of phytopathogens and pests. Our favourable results concerning the application of soil solarization with the cropping of moderately susceptible hosts before tomato are in agreement with those reported by many workers (2, 6, 9, 10). The good results obtained by Stapleton and DeVay (6) regarding the application of soil solarization plus fumigation are of great importance. They reported that population densities of Meloidogyne, Heterodera, Pratylenchus and Paratichodrous were significantly reduced by soil solarization and solarization plus fumigation, pre- or post-planting, in California grapevines. They found that population density reductions in solarized plots were often greater when nematodes were assayed several months after treatment than when assayed immediately after treatment, except when solarization treatments were done around existing orchard frees. This effect may be due to the accumulation of volatiles or induced biological control changes in soil gas composition.
Literature Cited
1. Davis, J. R. and L. Sorensen. 1986. Influence of soil solarization of moderate temperatures on potato genotypes with differing resistance to Verticillium dahliae. Phytopathology 76:1021-1026.
2. Garibaldi, A. and G. Tamietti. 1983. Attempts to use soil solarization in closed glasshouses in northern Italy for controlling corky root of tomato. Acta Horticulturae 152: 237-243.
3. Heald, C. M. and A. F. Robinson. 1987. Effect of soil solarization on Rotylenchulus reniformis in the lower Rio Grande Valley of Texas. Journal of Nematology 19 (1):93-103.
4. La Mondia, J.A. and B.B. Brodie. 1984. Control of Globodera rostochiensis by solar heat. Plant Disease 68:474-476.
5. Porter, l. J. and P. R. Merriman. 1983. Effects of solarization of soil on nematode and fungal pathogens at two sites in Victoria. Soil Biology and Biochemistry 15:39-44.
6. Stapleton, J. J. and 1. E. DeVay. 1983. Response of phytoparasitic and free-living nematodes to soil solarization and 1, 3-dichloropropene in California. Phytopathology 73:1429-1436.
7. Stapleton, J.J. and J.E. DeVay. 1986. Soil solarization: A non-chemical approach for management of plant pathogens and pests. Crop Protection 5: 100-108.
8. Stapleton, J. 3., Bert Lear, and 3. E. DeVay. 1987. Effect of combining soil solarization with certain nematicides on target and nontarget organisms and plant growth. Annals of Applied Nematology 1:107-112.
9. Tjamos, E. C. 1983. Control of Pyrenochaeta Iycopersici by combined soil solarization and low dose of methyl bromide in Greece. Acta Horticulturae 152:253-258.
10. Tjamos, E. C. and EJ. Paplomatas. 1986. Long-term effect of soil polarization on Verticillium wilt of artichokes in Greece. In: Programme of Fourth International Verticillium Symposium, University of Guelph, Guelph, Ontario, Canada.
Table 1. The effect of short-term soil solarization in the
integrated control of Meloidogyne spp. under laizemeter
conditions
| Cropping syslem¹ |
Egg mass/5g of roots |
Females/5g of roots |
Nematode control |
| (% of control) | (% of control) | (%) | |
| S-T | 100 | 100 | 0 |
| M-T | 41 | 35 | 62 |
| R-T | 0 | 0 | 100 |
| Z-S-T | 64 | 55 | 40 |
| Z-M-T | 29 | 26 | 73 |
| Z-R-T | 0 | 0 | 100 |
| S-Z-T | 60 | 55 | 43 |
| M-Z-T | 23 | 21 | 78 |
| R-Z-T | 0 | 0 | 100 |
| Z-S-Z-T | 50 | 48 | 51 |
| Z-M-Z-T | 18 | 17 | 83 |
| Z-R-Z-T | 0 | 0 | 100 |
| S-Tr | 20 | 30 | 75 |
| M-Tr | 9 | 17 | 87 |
| R-Tr | 0 | 0 | 100 |
| Z-S-Tr | 11 | 21 | 84 |
| Z-M-Tr | 4 | 6 | 95 |
| -Z-R-Tr | 0 | 0 | 100 |
| S-Z-Tr | 15 | 25 | 80 |
| M-Z-Tr | 1 | 10 | 95 |
| R-Z-Tr | 0 | 0 | 100 |
| Z-S-Z-Tr | 10 | 15 | 88 |
| Z-M-Z-Tr | 3 | 6 | 96 |
| Z-R-Z-Tr | 0 | 0 | 100 |
1 S = Susceptible host; M = Moderately susceptible host; R =
Resistant host; Z = Solarization; T = Tomato; and Tr = Tomato +
chemical treatment.