Once inputs and outputs have been identified and quantities designated in the physical flow table and unit values have been estimated for inputs and outputs (or at least for those for which values can be estimated), it is possible to begin conducting the analysis by comparing costs and benefits in various ways to answer the questions asked by decisionmakers. This involves several steps
constructing value flow tables (section 6.2);
discounting benefits and costs (section 6.3); and
computing financial and economic measures of project worth (section 6.4).
The first step in the analysis is to combine the information from the physical flow and unit value tables into value flow tables such as described in chapter 3 (see tables 3.6 and 3.12).
If a financial analysis is being conducted, this value flow table will be referred to as a cash flow table (see table 3.6), as only financial values and market prices have been considered in the analysis. If an economic efficiency analysis is being conducted, this value table will be referred to as a value flow table (see table 3.12), as economic values of costs and benefits have been considered.
It is instructive to look at the main differences between the total value flow table for the economic analysis and the cash flow table used in the financial analysis (as described in chapter 2). Three types of adjustments need to be made in constructing an economic value flow table from a financial cash flow table. These adjustments involve
1. adding some costs and benefits that are not included in the cash flow table;
2. revaluing some costs and benefits in the cash flow table, using shadow prices instead of market prices; and
3. removing transfer payments from the cash flow table and adjusting for differences in timing of economic and financial costs and economic benefits and financial returns.
The first two of these adjustments have already been discussed (the first in chapter 4 and the second in chapter 5). The third adjustment - the treatment of timing problems and transfer payments which show up in the cash flow table - is discussed below.
The following topics are only of concern when the total value flow table is derived directly from the cash flow table. If the total value flow table is derived from the physical input and output tables and the unit value tables, then financial transactions that involve the transfers of money, such as taxes and subsidies that are important in financial cash flow tables, will not show up.
The main types of transfer payments are taxes, subsidies, loan receipts, and repayment of loans and interest. Total value flow tables should be adjusted so that taxes and loan costs are not treated as costs and subtracted from benefits, and subsidies and loan receipts are not added to benefits or netted out of costs.
In the case of loans, Squire and van der Tak (1975) explain the adjustments needed as follows:
... the payment of interest by the project entity on a domestic loan merely transfers purchasing power from the project entity to the lender. The purchasing power of the interest payment does reflect control over resources, but its transfer does not use up real resources and to that extent is not an economic cost. Similarly, the loan itself and its repayment are financial transfers. The investment, however, or other expenditure that the loan finances involves real economic costs. The financial cost of the loan occurs when the loan is repaid, but the economic cost occurs when the loan is spent. The economic analysis does not, in general, need to concern itself with the financing of the investment: that is, with the sources of the funds and how they are repaid.
Similar arguments hold for taxes and subsidies, although one additional point needs clarification to avoid a common confusion. Chapter 5 argued that tariffs (taxes) and subsidies should be considered in deriving measures of local w.t.p., i.e., their effect on local prices should not be removed if they are expected to persist during the period of the project. Why is it now argued that taxes levied on the project and subsidies provided to the project should be removed (or not be considered) in the economic analysis? The answer is that two different considerations are being dealt with. In the case of derivation of values to use for inputs into the project and outputs from the project, the interest is in measures which reflect local w.t.p. for these items in the existing markets. The effect on w.t.p. of transfer payments is relevant, given the definition of economic value used here.
On the other hand, in deriving the appropriate economic efficiency measure of project worth, the concern is with real resource flows and real flows of consumer goods or services coming from the project, valued in terms of the opportunity cost and w.t.p. value measures discussed earlier. A tax on the project output value merely means that some of the control over the benefits due to the project are transferred from the project entity to the public sector (government). The real benefits (the increases in consumer goods and services due to the project) do not change because a financial entity pays a tax. To society, the tax is not a cost associated with the project. To the financial entity it is a cost. Similar considerations hold in the case of subsidies given to the project (i.e., where the government shares the money cost of the project). The real costs (the opportunity costs) of the resources used in the project remain the same with or without a subsidy, and these are the costs which are of interest in the economic efficiency analysis.
To summarize, taxes and subsidies do influence the w.t.p. for goods and services (and the size of the market and the local price which is established), but they do not alter the real costs of a project nor the real benefits produced by the project from the standpoint of society. The two considerations are quite separate.
Depreciation should not be included in the economic analysis (nor should it have been included in the cash flow table). Depreciation is merely an accounting item and represents an internal transfer of some of the money profit from one account to another, in order to provide for replacement of assets. In the economic analysis, it is the real cost of an input that is relevant and its cost is entered at the time it is used in the project.
Finally, it should be pointed out that if the value flow table for the economic analysis is derived directly from the cash flow table, the analyst has to be careful to adjust the timing of entries in the value flow table to take into account the fact that costs in the economic analysis occur at the time resources are actually used in the project, or taken out of alternative uses and benefits occur when outputs are consumed.
In the financial analysis, costs occur when payments are made, and this may be at some time other than when resources (inputs) are actually used in the project. For example, a given input may be used in the project in year 5, but paid for in years 6 through 8 (on an installment basis). In the cash flow table, the cash outflow would occur in years 6 through 8. In the economic analysis, the value of the input should be entered in year 5.
Similarly in the case of outputs or benefits. In the cash flow table for the financial analysis, the cash inflows or returns are entered when they actually occur. A given output may be paid for (to the project financial entity) after (or before) it is actually used (consumed). Thus, the return may appear in the cash flow table in a year that is different from that in which the output actually becomes available. In the economic analysis, the benefit should always be entered in the year in which the output is consumed or used.
If all costs and benefits of a project occurred at the same point in time, then the analyst could merely add up costs, add up benefits, and compare them without further adjustment. However, costs and benefits of a project occur over the life of the project. Typically, the life of forestry projects can cover a substantial number of years.
Project costs and benefits which occur at different points in time (in different years) cannot be directly compared. That is because value is intimately associated with time. The value of costs and benefits depends on when these costs and benefits occur. Thus, $1 of benefits occurring ten years from now is not as valuable in today's terms as $1 of benefits occurring immediately. If $10 is spent today and $15 is received back tomorrow, that may be acceptable. But if $10 is spent today and the $15 is not received back for 40 years, that may not be acceptable. The amounts are the same. The difference is time and people's willingness to accept delays in consumption.
For most forestry project analyses, costs and benefits occurring in the same year are traditionally considered to have the same relative time value in terms of the present. That is, all costs and benefits occurring within a given year, even though they occur at different times during that year, are considered as having occurred at the same time. Thus, there is no problem in summing costs and benefits for any given year to determine net benefits. The problem is how to compare net benefits (costs) which occur in different years. Since time does have an influence on value, the analyst will want to develop information that permits the decisionmaker to compare the costs and benefits which occur at different times and to compare projects which have different cost and benefit streams over time.
More specifically, the question is: How can a value occurring in some future year (year n) be equated with a value occurring in the present (year 0)? That is, how can the net benefit (cost) items occurring in the bottom line of the value flow table be compared?
The common approach is to apply an adjustment factor to future net costs/benefit values that reflect their present value. The adjustment factor is derived from the accepted time value of money; it is commonly called the discount rate. The adjustment process is called discounting.[22]
In the financial analysis, the going rate of interest is the one to use. That will vary from situation to situation. For example, the rate for smallholder tree growers will tend to be higher than the rate for well-established, low risk companies borrowing from regulated banks. In many cases, e.g., when looking at the financial attractiveness of farmer investments, the rate chosen will be only a rough approximation of the average of the various rates relevant to different individuals. In the case of more established entities operating entirely in the monetary sector, an estimated average bank lending rate may be appropriate. The analyst will have to use judgement in choosing an appropriate rate. There is no formula nor mechanistic means for deriving a rate.
In the economic efficiency analysis consumer's willingness to pay for goods and services is used as the common yardstick for valuing both costs and benefits. Therefore, the discount rate used to discount costs and benefits should be the consumption rate of interest. This rate should measure the discount attached to having additional consumption next year rather than this year. The appropriate magnitude of this discount rate (or rate of interest) is determined by a number of factors, including society's preference for present consumption at the expense of more rapid growth (higher savings and investment now with higher consumption in the future).[23]
As it turns out in practice, just as in the case of SER, the forestry project analyst will generally not have to be concerned with the derivation of an appropriate consumption rate of interest (or shadow discount rate) to use in the overall analysis of economic efficiency. The rate used should be one that is in general use in the project country. Thus, the analyst should obtain the appropriate discount rate from a central planning unit (e.g., national planning office) or from the analyst's administrative agency.[24]
At the extreme, if there is no discount rate available from the central planning office at the time the analysis is being undertaken, the analyst can pick a rate such as 8 or 10 percent and use that in the main analysis, and then test the sensitivity of the worth of the project to alternative rates of discount. (As will be discussed later, one widely used measure of economic efficiency, the internal rate of return, does not directly require determination of the appropriate discount rate in order to calculate the measure.)
There is sometimes a tendency to argue for use of lower discount rates in social or environmental forestry project analyses. The argument is that there are certain nonquantifiable benefits from such projects which justify the use of a discount rate that is lower than the one used to evaluate other projects in the general economy.[25] This is not recommended. Instead, analysts should use the established or acceptable discount rate used for evaluation of other projects and then discuss in qualitative terms the unique conditions associated with their project that make it different from other projects. This forces analysts and project planners to be explicit about their assumptions, thus avoiding the possible hiding of the efficiency shortcomings of a project behind a lower than normal rate of discount.
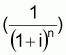
The process of adjusting a future value to the present is called discounting. The resulting adjusted value is called present value (PV).
The basic formula for discounting is the following:

where
PV = present value
FVn = future value in year n
i = discount rate (expressed in decimal form)
n = number of years until future value occurs
is commonly called the discount multiplier
There are tables prepared and widely available which give the value of the discount multiplier (l/[l + i]n) for a wide range of interest rates and years. Further, it can also be calculated with simple pocket calculators, if they have a constant or a yx key, or a log function. Thus, the analyst will have no problems deriving the value of the discount multiplier for any number of years. For example, using box 6.1, 1/(1.08)2 is equal to 0.8573, and this value times $100 gives the result of $85.73 arrived at earlier.
|
Box 6.1. Calculating present value. Given a discount rate of 8 percent, the present value of a $ 100 payment occurring two years from now can be calculated as follows:
If the 8 percent discount rate represents the consumption rate of interest, then the result, PV = $85.73, indicates that $100 of consumption occurring two years from now is equivalent in present value terms to $85.73 of consumption occurring today. Put another way, it can be said that society is indifferent between (a) consuming today goods and services valued at $85.73 and (b) waiting two years and being able to consume $100 worth of goods and services. In other words, $10.43 more of goods and services would be required two years from now (or a total of $100 worth) in order to forego $85.73 of consumption at present. In this discounting example the value of
|
The basic discounting formula and tables are all that is needed to derive useful measures of project worth. However, in some cases other formulas - derived from the above basic formula - can provide useful shortcuts in carrying out calculations. For example, sometimes equal annual or periodic payments are associated with a project for a number of years during its life. In this case, there are formulas and tables which provide the present value of such payments without having to discount each of the annual or periodic amounts separately. Similarly, in some cases the analyst will want to find an annual equivalent of a given value occurring at some time, or to find the present value of an annual series of payments occurring every year. The most common of these formulas are shown in annex 6.1.
Several indexes or indicators of project worth which take the influence of time into account (i.e., involving discounting) are in common use. There is no single measure of a project's worth which is universally accepted, since all share the characteristics of providing only partial information on project performance. Different indicators are needed and used for answering different questions. However, several measures are widely used in financial and economic analyses. These are the net present worth (NPV) and the internal rate of return (IRR). The measures are interrelated since all are derived from the same basic data, namely, the project's costs and benefits, as presented in the value flow tables. The analytical information they provide is, however, somewhat different because of the different ways in which they combine cost and benefit data. These measures are value neutral, and can be calculated for both financial and economic analyses.
A Philippine tree-farming project and its value flow (table 6.1) will be used as an example to illustrate net present value. Using the basic discounting process described previously, a measure of the present value (PV) of all net benefits (costs) occurring in the various years of the project can be developed once an appropriate discount rate has been chosen. If a discount rate of 5 percent is used, the present value of each of the net future benefit (cost) entries is as shown in row 2 of table 6.1. Adding these items together (taking into consideration whether they are positive or negative) the NPV for the project is P29,310.
What does this NPV of P29,310 indicate? It indicates that, given the assumptions concerning the opportunity costs of the resources used in the project and the w.t.p. for the project output, this project will return a net surplus of P29,310 of consumption benefits in present value terms taking into account the assumed consumption rate of interest (discount rate) of 5 percent, or the relative weight which society places on present consumption versus investment and future consumption. By using the discount rate it has ensured that the NPV result is comparable with those obtained for other projects that would involve different cost and benefit streams over time, i.e., the effect of different time values associated with consumption gained or foregone at different times in the future have been eliminated.
In general, given the above, it can be said that in economic efficiency terms any project that provides a positive NPV is an efficient use of the resources involved, assuming that each separable component also has a NPV ³ 0 and the project is the least cost means of achieving the particular benefits. (See chapter 3 for review of the three conditions for economic efficiency.)
While a project meeting these conditions is economically efficient, it still may not be chosen for implementation. That depends on the total budget available and the NPV associated with other projects on which the budget could be spent.
A project for which the estimated NPV is negative is not economically acceptable. The negative NPV indicates that there are better uses for the resources involved in the project, i.e., given their opportunity costs and timing and the discount rate, they could be used elsewhere to produce more consumption benefits in present value terms.
Table 6.1. Net present value - Philippine project (5 percent discount rate; value in constant pesos).
| |
Years |
|||||||||||||||
|
0 |
1 |
2 |
3 |
4 |
5 |
6 |
7 |
8 |
9 |
10 |
|
12 |
13 |
14 |
15 |
|
|
1. Net benefits (cost) |
(1163) |
(1163) |
(1163) |
(1163) |
(100) |
(100) |
(100) |
5286 |
5887 |
5887 |
6523 |
6523 |
7147 |
7147 |
7759 |
5887 |
|
2. Present value of net benefits (costs)a |
(1163) |
(1107) |
(1055) |
(1005) |
(82) |
(78) |
(75) |
3757 |
3784 |
3795 |
4004 |
3814 |
3980 |
3790 |
3919 |
2832 |
|
3. NPV at 5% |
29,310b |
|
|
|
|
|
|
|
|
|
|
|
|
|
|
|
a Item in row 1 divided by (1.05)n for years 1 to 15.
b The sum of items in row 2.
Table 6.2. Economic rate of return (ERR) - Philippine project.
| |
Years |
|||||||||||||||
|
0 |
1 |
2 |
3 |
4 |
5 |
6 |
7 |
8 |
9 |
10 |
11 |
12 |
13 |
14 |
15 |
|
|
1. Net benefits (costs) |
(1163) |
(1163) |
(1163) |
(1163) |
(100) |
(100) |
(100) |
5286 |
5887 |
5887 |
6523 |
6523 |
7147 |
7147 |
7759 |
5887 |
|
2. Present value of benefits (costs) discounted at 32% |
(1163) |
(881) |
(667) |
(506) |
(33) |
(25) |
(19) |
757 |
639 |
484 |
406 |
309 |
255 |
193 |
159 |
92 |
|
3. NPV at 32%a |
0 |
|
|
|
|
|
|
|
|
|
|
|
|
|
|
|
a i.e., sum of the present values of net benefits (costs) discounted at 32 percent per year.
In the previous example of NPV calculation, the NPV was P29,310 when a 5 percent discount rate was used. The question could be asked: What rate of discount would have to be used to obtain a NPV of zero, i.e., what is the implied discount rate that would make the PV of project benefits equal the PV of project costs? That rate is called the internal rate of return, or the IRR. It is essentially a breakeven discount rate in the sense that the PV of benefits equals the PV of costs.
The IRR concept is used both in financial and economic efficiency analysis to produce either an internal financial rate of return (FRR), or an economic rate of return (ERR). The IRR is a commonly used measure in financial analysis. It is comparable to the ERR in terms of derivation, although it means something slightly different. The FRR shows the investor what the average earning power is associated with a given investment of his funds. More specifically, it is the average rate of return on the invested funds outstanding per period while they are invested in the project, or that rate of interest which makes the NPV (using market prices) equal to zero.
Thus, a FRR of 10 percent indicates to the investor that s/he will receive $0.10 back per year for each $1 invested during the years in which the investment is left in the project. This is a useful measure for an investor, since it provides a clear means for comparing alternative uses of funds. Say that the investor's best use of funds, other than putting them in the project, is to put them in the bank at 6 percent interest per year. The investor compares the rate of return on the project (10 percent) with the rate of return from the bank (6 percent), which is called the alternative rate of return (ARR), or the investor's opportunity cost of capital,[26] and s/he then knows that the project use will give a greater return than the best alternative use.[27]
The ERR is similarly interpreted, except it shows the decisionmaker what society can expect to receive back in consumption benefits for a given investment of its scarce resources. In other words, if the calculated ERR is 10 percent, this tells the decisionmaker that the average annual return of consumption benefits on resources outstanding per period while they are invested in the project will be $10 for every $100 of resources invested and left in the project. The ERR will be compared with the consumption rate of interest to see if the project earns enough to make it worthwhile to invest (forego consumption now in favor of future consumption). Say that the relevant consumption rate of interest is 5 percent. This means that society wants to get at least a 5 percent rate of return on investment of its resources to make it worthwhile to forego present consumption in favor of investment and future consumption. If the ERR turns out to be 10 percent for a given project, this means that, on the average, society will get more than the minimum acceptable 5 percent back. Thus, the project is economically efficient in terms of its use of scarce inputs assuming that the other two conditions for economic efficiency are met.
The Philippine example is used to show how the ERR is calculated. The undiscounted net benefit (cost) items for each year are shown in row 1 of table 6.2. By discounting these by 32 percent the PV figures as shown in row 2 are obtained. If these values are totalled, the NPV is zero which by the definition occurs when the economic rate of return is used to discount all net benefits (costs). Thus, 32 percent is the ERR.
The calculation to find the ERR or the interest rate which makes NPV equal to zero has to be by trial and error.[28] Annex 6.2 provides details on how to calculate the ERR.
What does the ERR of 32 percent indicate in the Philippine example? It represents the yield of the resources used in the project over the project period. It means that $1 invested in the project will generate $0.32 per year for every year that the $1 remains committed to the project. It also indicates that this return is greater than the assumed consumption rate of interest of 5 percent, which measures the trade-off between consumption in a given year t0 and consumption delayed until the following year, t1.[29] Society should be interested in leaving its resources in a project such as this rather than consuming them now because it will receive more back in the future than is needed to satisfy its perceived trade-off between present and future consumption.
Just because a project has an ERR that exceeds its consumption rate of interest, this does not automatically mean that the project will be accepted and implemented. It does mean that the project represents an efficient use of resources, given acceptance of the consumption rate of interest as being the relevant one.[30] However, there is always the possibility that other uses of a limited budget can provide higher rates or return than the project being studied.
The above two measures can be used to answer the economic efficiency question as it relates to both project components and entire projects. When NPV is used, the usual approach - as discussed in chapters 2 and 3 - is to analyze components first, making sure that all separable components ending up as part of a project package have NPVs at least equal to zero. Once a set of economically efficient project components has been assembled into a project, then exactly the same approach can be used in calculating the NPV or ERR for the total project. As mentioned, the least cost condition for economic efficiency does not involve calculation of a NPV or an ERR. Rather, the costs of alternatives are compared directly to find the least cost alternative.
Some analysts prefer to treat the costs avoided by undertaking the project instead of the least cost known alternative as the benefits of the project alternative being analyzed. These benefits are then used in calculating a NPV for the project alternative being analyzed. If it is positive, then this shows that it is the least cost alternative among the known set of alternatives. If the NPV is zero, then the least cost alternative to the project has costs exactly the same as the project being analyzed. If the NPV is negative, then the alternative to the project being analyzed has lower costs. While there is nothing conceptually wrong with this approach, it can become confusing; thus, it is recommended that costs of alternatives are compared directly. (Confusion can arise in cases where the project has to be compared with other entirely different projects which are competing for the same budget. In point of fact, the costs avoided by undertaking one alternative rather than another to achieve a given output do not necessarily represent a true measure of benefits.)
NPV and the ERR represent alternative means of presenting the relationship between costs and benefits. In mathematical terms the relationship between the two is as follows:
Net present value =

Economic rate or return is that discount rate ERR such that

where
Bt = benefits in each year t
Ct = costs in each year t
n = number of years to end of project
i = discount rate or consumption rate of interest (CRI)
ERR = the internal economic rate of return
From these definitions, the following relationship holds: When NPV = zero, then the ERR = i, or the consumption rate of interest (or the discount rate used in calculating the NPV). Given the definitions and the above relationship between the two measures, what can be said about the information provided by each of them in terms of the three conditions for economic efficiency mentioned in chapter 2.[31]
Neither of the two measures of project worth tell anything about the least cost (or third) condition for economic efficiency. This condition has to be studied in a separate analysis undertaken in the design and preparation stages of the project.
Both measures do provide information related to whether PV of benefits are less than, equal to, or greater than the PV of costs for a project component and the total project. In point of fact, they both provide exactly the same answer to the question of whether or not a project or project component is economically efficient in terms of these first two conditions. If a project is accepted as being efficient in terms of one measure (i.e., NPV ³ 0), it will also be acceptable in terms of the other measure (i.e., ERR ³ CRI) and vice versa.
So far in the discussion, it can be seen that either of the two measures could be used equally well to determine whether a project is economically efficient (assuming no lower cost means to achieve the project objectives is known to exist). Thus, the choice of which of the two to calculate and use is unimportant in terms of this basic question, although the analyst obviously has to calculate the measure commonly used by the institution for which s/he is carrying out the analysis.
Each of the two measures provides additional information that the other does not provide. The NPV measure, in contrast to the ERR, provides information on the absolute value or magnitude of the present value of net benefits of a project. Yet it tells nothing about how large the cost will be to achieve the NPV. Thus, there could be a project with a NPV of $1,000 which costs $2 million or one with the same NPV that costs $5,000. Both would have the same NPV. On the other hand, the ERR is a relative measure of project worth, which gives information on the returns per unit of cost and thus provides more relevant information for comparing the benefits which can be expected from alternative uses of a limited budget. Therefore, it is more useful for ranking independent project alternatives when it is not possible for budget or other reasons to undertake all projects that meet the basic economic efficiency conditions.
Table 6.3 summarizes the differences between ERR and NPV measures.
Table 6.3. Summary of the measures of investment worth.*
|
Measure |
Discount |
Decision |
Mutually exclusive |
Independent projects** |
Comments |
|
NPV |
ARR*** |
Accept alternatives where |
Accept alternative with |
Accept alternatives |
Cannot directly |
|
ERR |
Determined |
Accept alternatives where |
Usually not appropriate |
Accept alternatives |
May give incorrect ranking among independent projects; more difficult to calculate than other measures |
* There is some disagreement about the relative merits and applications of the criteria. The recommendations presented here represent the authors' viewpoints.
** Any measure of investment worth only provides one source of input into the final decisionmaking process. Other factors that should be evaluated include a sensitivity analysis, personal preferences, and distribution of costs and benefits throughout the life of the investment.
*** Alternative rate of return.
As mentioned in the text, using the value flow table as a basis for NPV and ERR calculations, the analyst avoids the need for discounting and compounding formulas other than the simple present value formula. However, there are occasions where the analyst may find it convenient to use other formulas, all derived from the basic one, which permits s/he to calculate in one step the present values for equal annual or periodic series of payments or to obtain an annual equivalent for a present or future value (e.g., where s/he wants to calculate a rental equivalent for a purchase price).
1. Calculating the present value of a periodic series of equal payments
Table A6.1 summarizes the main formulas needed to calculate the present and future values of annual and periodic payments (costs or benefits). The PV derived by using these formulas is expressed in terms of one year (period) prior to the year (period) when the first payment occurs. Thus, the analyst has to make sure that s/he appropriately compounds or discounts the result if s/he wants PV expressed in terms of a different year (period). Application of the formulas is illustrated below.
PV of equal annual payments
Assume a situation where there is an annual maintenance fee of $12 for a plantation which starts at the beginning of year 2 (the third year) of the project and continues up to and includes year 15. Thus, there are (15-2) + 1, or 14 equal payments of $12. How would the PV of this series of payments be calculated, if the discount rate is 8 percent?
First, applying the appropriate formula from table A6.1 (formula 1 for a finite number of payments) the following result is obtained:

This gives the PV in year 1 of the 14 payments starting in year 2.
Second, discounting this value ($99) back one more year ($99/[1.08]) the PV in year zero is $91.60.
This formula might be useful if, for example, the analyst wanted to compare the present value of two alternative equal annual cost streams. Assume that two alternative plantation management schemes were possible, one involving four equal costs of $30/ha for years 1 to 4 and another involving ten equal costs of $10/ha for years 2 to 11. The PV in year zero for the first alternative would be (using 8 percent):

(This is already in year zero terms since payments start in year 1.) For the second alternative, the PV in year zero would be:
year
1
year
zero
Thus, the analyst can see that in PV terms the second alternative provides the lowest cost, assuming that the relevant discount rate is 8 percent.
Present value of a series of equal periodic payments
If payments (costs or benefits) occur every t years instead of every year for a specified period of time, then formulas 5 and 6 in table A6.1 to obtain PVs can be used. For example, suppose there is a situation where fertilizer will be applied to a stand every five years, starting five years from now and lasting during the entire rotation of fifty years except for year fifty. This means that there would be nine equal applications starting in year five and ending in year 45. Assume that the cost each time is estimated to be $20/ha. How would the PV of these payments to estimated? Looking at table A6.1, formula 5 would be used for a finite number of periodic payments. The PV would be calculated as follows, assuming a discount rate of 8 percent, t = 5, and N = 9:

If there were also an application of fertilizer at the time of establishment, that amount would have to be added to the PV obtained above. The most common use in forestry of formulas for calculating the PV of series of equal periodic payments is in calculation of the SEV. This is explained and illustrated below.
Soil expectation value. The SEV gives an estimate of the present value of land if it were put into forestry and produced an infinite number of net returns of $R every r years (where r is the rotation length).
To estimate the SEV, the net benefit of forestry production at the end of the first rotation R is calculated, without taking actual land cost into account and then the NPV of a future periodic series of net benefits of $R is computed beginning with $R received at the end of the first rotation. Thus, for example, assume a situation for a plantation as follows:
|
Establishment cost |
$250 |
|
Rotation |
11 years |
|
Annual cost |
$10 starting one year from now |
|
Stumpage value at rotation |
$1,000 |
|
Discount rate |
8 percent |
The compounded value of the establishment cost at the end of the first rotation (year 11) is:

The compounded value in year ten of the ten equal annual costs ($10 each year between years 1 and 10, both inclusive) can be calculated by using formula 2, table A6.1:

which must be compounded for one additional year:

Therefore, total costs at the end of the first rotation (year 11) are $583 + 157 = $740 and net benefits at rotation age are $1,000 - $740 = $260.
The present value of an infinite series of payments of $260 received every 11 years, or the SEV of this forestry management alternative, can be calculated by using formula 5 in table A6.1, for an infinite number of periods:

What does this SEV of $195 mean? It has several meanings. Most commonly in forestry it is used to determine what amount could be paid for the land to breakeven, i.e., have PV of costs equal PV of benefits, using a discount rate i (in this case 8 percent). More generally it indicates the PV of the productive capacity of the land, given the values assumed and the assumption that the land could continue to produce timber in perpetuity at the given rate.
2. Annual equivalency formulas
Formulas 3 and 4 in table A6.1 are used to calculate annual equivalents of given amounts of PV of costs or benefits. The formulas are merely the inverse of formulas 1 and 2. Assume, for example, that two alternative incentive programs for tree farmers are being compared. One alternative is to given them a lump sum today of $100. The other alternative considered is to provide them with five equal payments over five years, starting one year from now. For the latter incentive to be effective, the annual amount should equal the $100 of PV using their relevant discount rate. In this case it is assumed to be high - 30 percent - since they value present income considerably higher than future income. To find the annual payments necessary, formula 3 for a finite number of payments is applied. The annual amount that would have to be paid, starting one year from now, to make the farmers indifferent between $100 now and the five equal payments, would thus be:

In other words, given their relevant discount rates (or their trade-off rates between present and future income) they would have to be paid $41 per year for five years to make them indifferent between the two payment forms.
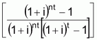
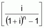
Table A6.1. Annual and periodic payment formulas.
| |
(1) |
(2) |
|
Payments begin one year (or period) from present |
||
|
Finite number of payments |
Infinite number of payments |
|
|
1. Discounted annual payment factor |
|
|
|
2. Compounded annual payment factor |
|
n.a. |
|
3. Annual capital recovery factor |
|
n.a. |
|
4. Annual sinking fund factor |
|
n.a. |
|
5. Discounted periodic payment factor |
|
|
|
6. Compounded periodic payment factor |
|
n.a. |
i = rate of interest (discount) in decimal form
n = number of years or periods until last payment starting with 1 year from now
t = number of years between periodic payments
Although several relatively inexpensive hand calculators contain programs (or can be programmed) for rate of return calculations, the analyst might be faced with situations in which the computation of ERR would have to be based on more rudimentary methods. There is no formula for calculating the ERR when more than one cost and/or benefit is involved. Therefore, a trial and error technique has to be used. The approach is as follows:
1. First, calculate a NPV using a rate which is estimated to be in the neighborhood of the expected ERR. If the NPV is negative, then the ERR must be lower than the rate of discount used. If the NPV is positive, then the ERR must be higher than the discount rate adopted.
2. If the first NPV calculated is negative, then reduce the discount rate up to a point where the calculated NPV is positive and vice versa if the first NPV calculated is positive. The ERR must now lie between the two rates of discount used in generating the positive and negative values of NPV.
3. Estimate the ERR by using the following formula:
4. Repeat steps (1) - (3) for a more precise result, if needed.
The following example, which uses the figures of the Philippine tree farm project, illustrates the use of this technique:
Table B6.1 shows in row 1 the net benefits (costs) of the Philippine tree farm project (from table 6.1). The second row contains the PV of each annual flow discounted at 20 percent. The NPV, using this discount rate is positive and equal to P 4,638 and, therefore, the ERR must be higher than 20 percent. A further discounting attempt at 30 percent generated a still positive NPV equal to P 453. Therefore, a still higher discount rate of 35 percent was tried, which rendered a negative NPV of -P 543. The ERR must then lie between 30 and 35 percent. Using the formula from step (3) above, the ERR of this project is estimated as follows:

This is rounded off to 32 percent.
A further interpolation using a narrower range of 31 and 33 percent would have produced NPVs equal to P 215.6 and -P 198.5, respectively. Using these two new values, a second estimate of ERR would be 32.04 percent. But since the result is being rounded off to the nearest whole percentage point, this additional refinement is unnecessary.
Table B6.1. Calculating the ERR - Philippine project.
| |
Years |
|||||||||||||||
|
0 |
1 |
2 |
3 |
4 |
5 |
6 |
7 |
8 |
9 |
10 |
11 |
12 |
13 |
14 |
15 |
|
|
1. Net benefits (costs)a |
(1163) |
(1163) |
(1163) |
(1163) |
(100) |
(100) |
(100) |
5286 |
5887 |
5887 |
6523 |
6523 |
7147 |
7147 |
7759 |
5887 |
|
2. Present value of net benefits (costs) discounted at 20%/yr |
(1163) |
(969) |
(808) |
(673) |
(48) |
(40) |
(34) |
1475 |
1369 |
1141 |
1054 |
878 |
802 |
668 |
604 |
382 |
|
3. Present value of net benefits (costs) discounted at 30%/yr |
(1163) |
(895) |
(688) |
(529) |
(35) |
(27) |
(21) |
842 |
722 |
555 |
473 |
364 |
307 |
236 |
197 |
115 |
|
4. Present value of net benefits (costs) discounted at 35%/yr |
(1163) |
(861) |
(638) |
(472) |
(30) |
(22) |
(16) |
647 |
534 |
395 |
324 |
240 |
195 |
144 |
116 |
64 |
a From table 6.1.
|
[22] The discount rate is
often called the interest rate. [23] See Squire and van der Tak (1975), p. 27. [24] This recommendation provides a convenient excuse for not getting into the problems involved in determining the appropriate rate of discount. Since there is no general agreement among economists or policymakers concerning the appropriate derivation of the discount rate to use for public projects, it would, in any case, be futile to try to resolve the problem in this type of guide. An excellent review of the arguments is provided in Mikesell (1977). [25] The same argument is often used by planners in the water resources field. [26] This concept of opportunity cost is analogous to the one used throughout the Guidelines. [27] The FRR and the ARR should be calculated net of inflation, i.e., in real terms. [28] Some low cost pocket calculators will calculate the ERR directly. [29] If NPV > 0, then ERR > i used; if NPV = 0, then ERR = i used; if NPV < 0, then ERR < i used. Where i equals the discount rate used. [30] Assuming that the other two conditions for economic efficiency are met. [31] These are: (1) total present value of project benefits must be equal to or greater than total present value of project costs; (2) each separable project component must have PV of benefits at least equal to PV of costs; and (3) mere is no lower cost means of achieving the project benefits. |