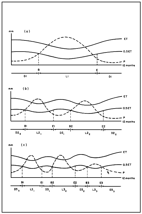
FIGURE 5.1
Number of growing periods and dry periods per year

The definitions and model used to quantify the length of growing period have been described in Section 4. The reference growing period is the time period when moisture supply exceeds half potential evapotranspiration; it includes the time required to evapotranspire up to 100 mm of soil moisture storage. The calculation of the reference growing period is based on a water balance model, comparing rainfall with potential evapotranspiration. The length of growing period and the number of growing periods and dry periods per year from a climatic viewpoint alone, and independent of crop, soil and landform, is therefore quantified in a reference manner (Figure 5.1).
The mean length of growing period for each individual group of years has been computed. Where there are more than one length of growing period per year, the total mean length as well as the individual mean lengths (e.g. two, three) are calculated.
For a group of years with one length of growing period, the length is designated to the code L1, and the dry period is coded D1 (Figure 5.1a). For a group of years with two lengths of growing periods per year, the lengths are coded L21 and L22, and the first length (L21) is followed by the first dry period (D21) and the second length (L22) by the second dry period (D22) (Figure 5.1b) The sum of lengths L21 and L22 is coded L2. For a group of years with three lengths of growing periods per year, the lengths are coded L31, L32 and L33, and there are dry periods in between (D31, D32, D33) (Figure 5.1c). The sum of lengths L31, L32, L33 is coded L3.
To inventory the year-to-year variation in the number of lengths of growing periods per year, a historical profile is compiled showing groups of years each with a different number of growing periods per year. The proportional representation of each group in the total historical series is computed.
This information represents the pattern of growing period. Twenty two patterns are recognized in the climatic resources inventory. The patterns of growing period and their composition are presented in Table 5.1.
The pattern of growing period code represents the number of growing periods per year in order of frequency of occurrence, e.g. in the pattern coded as 2-1-3, the numeral 2 represents the number of lengths of growing periods per year (i.e. two) that occur in the majority of the years (i.e. 55 percent) - the dominant length number; the numeral 1 represents number of lengths of growing periods per year (i.e. one) that has the next most commonly occurring frequency (i.e. 25 percent) - the first associated length number; and the numeral 3 represents number of lengths of growing periods per year (i.e. three) that has the smallest occurrence (i.e. 20 percent) - the second associated length number.
For each pattern of growing period, the mean total length of the dominant number is correlated with the mean total length of the associated numbers. Also, when the mean total length is a summation of more than one mean length, the latter are again correlated with the former. These relationships are presented in Tables 5.2 and 5.3.
In the climatic inventory map of Kenya, only the mean total dominant length has been inventoried on the map. The relationships in Table 5.2 are further presented in terms of length of growing period zones in the Appendix 5.1, giving the mean total dominant (mapped) and the corresponding mean total associated (unmapped) lengths of growing periods. Similarly the relationships in Table 5.3 are further presented in terms of length of growing period zones in the Appendix 5.2 giving the mean total length of growing period zones and the corresponding individual component lengths of growing periods.
| Code | LGP-Pattern | Proportion (%) |
| 1 | 1 | 100 |
| 2 | H - 1 | 60 : 40 |
| 3 | 1 - H | 70 : 30 |
| 4 | 1 - H - 2 | 65 : 20 : 15 |
| 5 | 1 - 2 - H | 65 : 20 : 15 |
| 6 | 1 - 2 | 65 : 35 |
| 7 | 1 - 2 - 3 | 50 : 35 : 15 |
| 8 | 1 - 3 - 2 | 50 : 30 : 20 |
| 9 | 1 - 2 - D | 40 : 35 : 25 |
| 10 | 1 - D - 2 | 40 : 35 : 25 |
| 11 | 1 - D | 60 : 40 |
| 12 | 2 | 100 |
| 13 | 2 - 1 | 70 : 30 |
| 14 | 2 - 1 - H | 55 : 30 :15 |
| 15 | 2 - 1 - 3 | 55 : 25 : 20 |
| 16 | 2 - 3 | 75 : 25 |
| 17 | 2 - 3 - 1 | 60 : 25 : 15 |
| 18 | 2 - 3 - 4 | 60 : 30 : 10 |
| 19 | 2 - 1 -D | 70 : 15 : 15 |
| 20 | 3 - 2 | 60 : 40 |
| 21 | 3 - 2 - 1 | 50 : 35 : 15 |
| 22 | D | 100 |
H = 365+ days (i.e. year-round humid)
D = zero days (i.e. year-round dry)
In addition to the frequency distribution tables described in Section 4.5.3, coefficient of variation was calculated to allow a comparison of the variability in the mean length of growing period, and to take into account the likely losses in crop production.
The relationship between individual length of growing period and coefficient of variation was obtained by plotting all values provided by the climatic analysis, and an aggregate relationship is given at right.
| Mean length of growing period (days) | Coefficient of variation (%) |
| < 30 | > 50 |
| 30 – 59 | 50 |
| 60 – 89 | 40 |
| 90 – 119 | 40 |
| 120 – 149 | 35 |
| 150 – 179 | 30 |
| 180 – 209 | 25 |
| 210 – 239 | 20 |
| 240 – 269 | 15 |
| 270 – 299 | 10 |
| > 299 | < 10 |
| LGP-Pattern | Relationship | r |
| 1 - 2 | L2 = 80.40 + 0.75 L1 | 0.89 |
| 1 - 2 - H | ||
| 1 - H - 2 | ||
| 1 - 2 - 3 | L2 = 71.56 + 0.77 L1 | 0.90 |
| 1 - 3 - 2 | L3 = 77.14 + 0.66 L1 | 0.80 |
| 1 - 2 - D | ||
| 1 - 2 - D | ||
| 2 - 1 | L1 = -86.09 + 1.28 L2 | 0.94 |
| 2 - 1 - H | L3 = 25.29 + 0.82 L2 | 0.78 |
| 2 - 1 - 3 | ||
| 2 - 1 - D | ||
| 2 - 3 | L3 = 30.11 + 0.83 L2 | 0.83 |
| 2 - 3 - 1 | L1 = -98.72 + 1.35 L2 | 0.85 |
| 2 - 3 - 4 | L4 = 114.54 + 0.58 L2 | 0.71 |
| 3 - 2 | L2 = 45.05 + 0.80 L3 | 0.68 |
| 3 - 2 - 1 | L1 = -9.86 + 0.88 L3 | 0.62 |
L1 = Total length of one growing period per year
L2 = Total length of two growing periods per year
L3 = Total length of three growing periods per year
L4 = Total length of four growing periods per year
From the frequency distribution tables (Section 4.5.3) occurrence of intermediate lengths of growing periods was quantified by relating P/ET ratio and moisture excess values with length of growing period.
The P/ET ratio for the intermediate lengths of growing periods of less than 150 days corresponds to values in the range 0.70–0.75.
| Mean length of growing period (days) | Occurrence of intermediate periods (%) |
| < 30 | 100 |
| 30 – 30 | 65 |
| 60 – 89 | 25 |
| 90 – 119 | 10 |
| 120 – 149 | 5 |
| > 149 | < 1 |
The relationship between the individual length of growing period and occurrence of intermediate periods is shown above.
| LGP-Pattern | Relationship | r | ||
| 2 | L21 = | -1.11 + | 0.55 L2 | 0.95 |
| 1 - 2 | L21 = | 4.94 + | 0.62 L2 | 0.77 |
| 1 - 2 - H | ||||
| 1 - H - 2 | ||||
| 1 - 2 - 3 | L21 = | 5.87 + | 0.64 L2 | 0.91 |
| 1 - 3 - 2 | L31 = | 22.12 + | 0.39 L3 | 0.78 |
| 1 - 2 - D | L32 = | 1.58 + | 0.32 L3 | 0.85 |
| 1 - D - 2 | ||||
| 2 - 1 | L21 = | -5.48 + | 0.64 L2 | 0.93 |
| 2 - 1 - H | L31 = | 0.14 + | 0.46 L3 | 0.78 |
| 2 - 1 - 3 | L32 = | -0.98 + | 0.33 L3 | 0.85 |
| 2 - 1 - D | ||||
| 2 - 3 | L21 = | -3.05 + | 0.61 L2 | 0.89 |
| 2 - 3 - 1 | L31 = | 1.68 + | 0.43 L3 | 0.79 |
| 2 - 3 - 4 | L32 = | -3.00 + | 0.34 L3 | 0.84 |
| L41 = | 26.35 + | 0.34 L4 | 0.62 | |
| L44 = | -20.88 + | 0.38 L4 | 0.86 | |
| L43 = | -17.66 + | 0.27 L4 | 0.89 | |
| 3 - 2 | L21 = | -2.33 + | 0.63 L2 | 0.90 |
| 3 - 2 - 1 | L31 = | 5.62 + | 0.45 L3 | 0.88 |
| L32 = | 1.25 + | 0.31 L3 | 0.93 | |
L21 = First length of the two growing periods per year
L31 = First length of the three growing periods per year
L32 = Second length of the three growing periods per year
L41 = First length of the four growing periods per year
L42 = Second length of the four growing periods per year
L43 = Third length of the four growing periods per year