ABDO M.S., HASSANIEN M.M., MANNA M.E., HAMED M., 1987. Electrophoretic pattern of serum proteins in the Arabian camel. Indian Vet. J., 64,841–864.
ABU-LEIHAI., 1987. Composition of camel milk. Milchwissenschaft, 42,368–371.
AHMED A.A., AWAD Y.L., FAHMY F., 1977. Studies on some minor constituents of camel milk. Vet. Med. J., 25, 51–56.
ALAIS C., 1984. Science du lait, 1–814. Ed. Sepaic, Paris, F.
BACHMANN M.R., SCHULTHESS W., 1987. Lactation of camels and composition of camel milk in Kenya. Milchwissenschaft, 42, 766–768.
BARBOUR E.K., NABOUT N.H., FRIEDRICHS W.M., AL-NAKLI H.M., 1984. Inhibition of pathogenic bacteria by camel's milk; relation to whey lysozyme and stage of lactation. J. Food Protection, 47, 838–840.
BARTHE L., 1905. La composition du lait de chamelle. J. Pharm. Chim., 21, 386–388.
BAYOUMI S., 1990. Studies on composition and rennet coagulation of camel milk. Kieler Milchwirtschaft Forschungberichte, 42, 3–8.
BEG O.U., VON BAHR-LINSTROM H., ZAIDI Z.H., JORNVALL H., 1987. Characterization of a heterogenous camel milk whey non-casein pro-protein. Fed. European Bioch. Society Letters, 2, 270–274.
CIHEAM, 1988. Options Méditerranéennes. Série A/2 : La digestion, la nutrition et l'alimentation du dromadaire. Actes du colloque de Ouargla, ALG.
CIHEAM, 1989. Options Méditerranéennes. Série A/6 : Le lait dans la région méditerranéenne. Actes du colloque de Rabat, MA.
CONTI A., GODOVAC-ZIMMERMANN J., NAPOLITANO L., LIBERATORI J., 1985. Identification and characterization of two - lactalbumins from Somali camel milk. Milchwissennschaft, 40, 673–675.
DAVIES W.L., 1939. The chemistry of milk. Champmann and Hall Pub., London, G.B.
DICKSON H.R.P., 1951. The Arabs of the desert. Allen and Uwin Ltd., London, G.B.
DONG WEI L., 1980. Chinese camels and their productivities. I.F.S.Symp., Khartoum, S.
EL-BASSY F., 1987. Studies on camel pepsin. Egypt. J. Dairy Sci., 15,87–92.
ELAMIN F.M., 1980. The dromedary camel in Sudan. I.F.S. Workshop on camels, Khartoum, S.
EL-BAHAY G.M., 1962. Normal contents of Egyptian camel milk? Vet. Med. J., 8, 7–12.
EL-BATAWY M.A., AMER S.N., IBRAHIM S.A., 1987. Camel abomasum as a source of rennet substitute. Egypt. J. Dairy Sci., 15,93–100.
EKSTRAND B., LARSSON-RAZNIKIEWICZ M., PERLMANN C., 1980. Camel micelle size and composition related to the enzymatic coagulation process. Biochem. Biophys. Acta, 630, 361–366.
ELLOUZE S., KAMOUN M., 1989. Evolution de la composition du lait de dromadaire en fonction du stade de lactation. Options Méditerranéennes, CIHEAM, no A 6,307–311.
EVANS J.V., POWYS J.S., 1980. Camel husbandry to increase the productivity of ranch land. I.F.S. Workshop on Camels, Khartoum, S.
FARAH Z., FARAH-RIESEN M., 1985. Separation and characterization of major components of camel milk. Milchwissenschaft, 40,669–671.
FARAH Z., 1986. Effect of heat treatment on whey proteins of camel milk. Milchwissenschaft, 42,689–692.
FARAH Z. et BACHMANN M.R., 1987. Rennet coagulation of camel milk. Milchwissenschaft, 42, 689–692.
FARAH Z., STREIFF T., BACHMANN M.R., 1989. Manufacture and characterization of camel milk butter. Milchwissenschaft, 44,412–414.
FARAH Z., RUEGG M.W., 1989. The size distribution of casein micelles in camel milk. Food Microstructure, 8,211–212.
FARAH Z., STREIFF T., BACHMANN M.R., 1990. Preparation and consumer acceptability tests of fermented camel milk in Kenya. J. Dairy Res., 57,281–283.
FIELD C.R., 1979. Camel growth and milk production in Marsabit district, Northern Kenya. I.F.S. Workshop on camels, Khartoum, S.
FOX P.F. 1987. Cheese, Vol. 1 : General aspect, 1–400. Vol. 2 : Chemistry, physics, microbiology, 1–393. Elsevier Appl. Sci. Pub., New-York, U.S.A.
GAST M., MAUBOIS J.L., ADDA J., 1969. Le lait et les produits laitiers en Ahaggar. Centre Rech. Anthrop. Prehist. Ethno., Paris, F.
GERARD D., RICHARD D., 1989. Note sur la consommation de foin par les dromadaires. Revue Elev. Méd. Vét. Pays Trop., 42,95–96.
GNAN S.O., SHERIHA A.M., 1986. Composition of Libyan camel's milk. Austral.J.Dairy Technol., 33–36.
HAMDY A., EDELSTEN D., 1970. Some factors affecting the coagulation strenghts of three differents microbial rennets. Milchwissenschaft, 25,450–453.
HARTLEY B.J., 1980. Camels in the horn of Africa. I.F.S. Workshop on camels, Khartoum, S.
HASSAN A.A., HAGRASS A.E., SORYAL K.A., EL-SHABRAWY S.A., 1987. Physico-chemical properties of camel milk during lactation period in Egypt. J. Food Sci., 15,1–14.
HIGGINS A., 1986. The camel in health and disease, 1–168. Baillère Tindall, London, G.B.
HOSTE C., PEYRE DE FABREGUES B., RICHARD D., 1985. Le dromadaire et son élevage. Coll. Etudes et Synthèses Inst. Elev. Méd. Vét. Pays Trop., 1–162, Maisons-Alfort, F.
I.D.F., 1986. Production and utilization of ewe's and goat's milk. Bull. Int. Dairy Federation, 202, 1–221, Brussels, B.
I.D.F., 1990. Milk collection in warm developing countries. Int. Dairy Federation, Special issue no 9002, 1–148, Brussels, B.
I.D.F., 1991. Signifiance of the indigenous antimicrobial agents of milk to the dairy industry. Bull. Int. Dairy Federation, 264, 2–19.
I.E.M.V.T., 1989. Le dromadaire. Revue Elev. Méd. Vét. Pays Trop., 42, 1, 1–143.
JARDALI Z., 1988. Contribution à l'étude de la composition du lait de dromadaire. Dipl. Etude Approf., 1–88, Inst. National Polytech., Vandoeuvre-lès-Nancy, F.
JARDALI Z., RAMET J.P., 1991. Composition et taille des micelles du lait de dromadaire. Le lait, à paraître.
JENNESS R., SLOAN R.E., 1969. The composition of milk of various species ; a review. Dairy Sci. Abst., 32, 599–612.
KAMOUN M., GIRARD P., BERGAOUI R. 1989. Alimentation et croissance du dromadaire. Effet d'un aliment concentré sur l'ingestion de matière sèche et la croissance du chamelon en Tunisie. Revue Elev. Méd. Vét. Pays Trop., 42, 89–94.
KAMOUN M., BERGAOUI R., 1989. Un essai de production et de transformation de lait de dromadaire en Tunisie. Revue Elev. Méd. Vét. Pays Trop., 42, 113–115.
KANDARAKIS J.G., 1986. Traditional whey cheeses. Dairy federation, 202, 118–124.
KHAN K.U., APPANA T.C., 1965. Evaluation of biological value of camel milk proteins j. Nutr. Diet., 2, 209–212.
KHERASKOV S.G., 1953. Camel's milk and its products. Konevodstro, 23, 35–37.
KNOESS K.H., 1977. The camel as a meat and milk animal. World Animal Rev., 22, 39–44.
KNOESS K.H., 1979. Milk production of the dromedary. I.F.S. Workshop on camels, Khartoum, S.
KNOESS K.H., MAKJDUN A.J., RAFIG M., HAFEEZ M., 1986. Milk production potential of the dromedary with special reference to the province of Penjab. World Anim. Rew., 57, 11–21.
KON S.K., COWIE A.T., 1972. Milk and milk products for human nutrition. F.A.O. Nutrition Service, Paper 7. F.A.O., Roma, I.
LAMBERT J.C., 1988. Village milk processing. Etude F.A.O., Production Santé Animales. no 69, 1–69, Roma, I.
LAMPERT L.M., 1947. Milk and milk products. Food Trad. Press Ltd., London, G.B.
LARSSON-RAZNIKIEWICZ M., MOHAMED M.A., 1986. Analysis of the casein cotent in camel (Camelus dromedarius) milk. Swedish J. Agric. Res., 16, 13–18.
LEBAS F., 1991. Communication personnelle.
LEESE A.S., 1927. A treatise on the one-humped camel in health and disease. Haines and Sons Pub., Stanford, G.B.
LYSTER R.L., 1979. The denaturation of α-lactalbumin and β-lactoglobulin in heated milk. J. Dairy Res., 37, 233–343.
MARIE M., 1987. Bases endocriniennes de la fonction sexuelle chez le dromadaire. Thèse Univ. Paris 6, 1–204, Paris, F.
MARTINEZ D., 1989. Note sur la production de lait de dromadaire en secteur périurbain en Mauritanie. Revue Elev. Méd. Vét. Pays Trop., 42, 115–116.
MEHAIA M.A., 1987. Studies on camel milk casein micelles ; treatment with soluble and immobilized chymosin. Milchwissenschaft, 42, 706–708.
MOHAMED M.A., MURSAL A.I., LARSSON-RAZNIKIEWICZ M., 1989. Separation of a camel milk casein fraction and its relation to the coagulation properties of fresh milk. Milchwissenschaft, 44, 278–280.
MOHAMED M.A., LARSSON-RAZNIKEWIECZ M., MOHAMED M.A., 1990. Hard cheese from camel milk. Milchwissenscaft, 45, 716–718.
MOHAMED M.A., 1990. On the composition of Somali camel milk. In : Camel milk composition; Thesis : Swedish Univ. of Agr.Sci., Uppsala, S.
MONNOM D., PRIEELS J.P., DELAHAUT P., KAEKENBEECK. 1989. Le système lactoperoxydase. Ann. Méd. Vét., 133, 125–140.
NIKI R., ARIMA S., 1984. Effects of size of casein micelle on firmness of rennet curd. Jap. J. Zootech. Sci., 55, 409–412.
OHRIS S.P., JOSHI B.K., 1961. Composition of camel milk. Indian Vet. J., 38, 514–516, 604–606.
O.I.E., 1987. Les maladies des Camélidés. Revue Scientifique et Technique de l'Office International des Epizooties, 6, 309–495.
PERNODET G., 1979. Le sérum dans l'alimentation humaine. Les fromages de lactosérum et dérivés. Revue ENIL, 41, 7–10.
PEYRE DE FABREGUES B., 1989. Le dromadaire dans son milieu naturel. Revue Elev. Méd. Vét. Pays Trop., 42, 127–132.
PORTER J.W.G., 1978. The present nutritional status of milk proteins. J. Society Dairy Technol., 31, 199–202.
RAMET J.P., 1981. Cours de Technologie fromagère. Inst. Natio. Polytechn. Vandoeuvre-lès-Nancy, F.
RAMET J.P., EL-MAYDA E., WEBER F., 1982. Influence of salt on the enzymatic coagulation of milk. J. Texture Studies, 14, 11–19.
RAMET J.P., 1984. Les enzymes coagulantes en fromagerie. In: Le fromage, Ed. Sepaic, Paris, F.
RAMET J.P., EL-MAYDA E., 1984. Le salage du lait et sa coagulation enzymatique par la présure et la subtilisine. Microbiol., Aliment., Nutrition, 2, 287–294.
RAMET J.P., 1985. Study of enzymatic coagulation of camel milk in Saudi-Arabia. Mission report FAO, 1–73, FAO, Rome, I.
RAMET J.P., 1985. Les aspects technologiques particuliers de la fabrication des fromages salés affinés en saumure. Microbiol., Aliment., Nutrition, 3, 303–313.
RAMET, 1987. Production de fromages à partir de lait de chamelle en Tunisie. Rapport mission FAO, 1–33, FAO, Rome, I.
RAMET J.P., 1985. La fromagerie et les fromages du bassin méditerranéen. Etude FAO, Production et santé animales, no 48, 1–187, FAO, Rome, I.
RAMET J.P., KAMOUN M., 1988. Fabrications expérimentales de fromages à pâte pressée non cuite à partir de lait de dromadaire. Résultats non publiés.
RAMET J.P., 1989. Bay region Somalia agricultural development project: Camel milk component. Mission report IFAD, 1–29, IFAD, Rome, I.
RAMET J.P., 1989. L'aptitude fromagère du lait de dromadaire. Revue Elev. Med. Pays Trop., 42, 105–111.
RAMET J.P., 1990. Processing of dairy products from camel milk in Saudi-Arabia. Mission report FAO, 1–44, FAO, Rome, I.
RAMET J.P., 1991. La transformation en fromages de lait de dromadaire. Revue Mondiale de Zootechnie, no 67, 20–28.
RAO M.B., GUPTA R.C., DASTUR N.N., 1970. Camel's milk and milk products. Indian J. Dairy Sci., 23, 71–78.
RICHARD D., GERARD D., 1989. La production laitière des dromadaires Dankali (Ethiopie). Revue Elev. Med. Vét. Pays Trop., 42, 97–103.
ROBINSON R.K., 1990. Modern dairy technology ; Vol. 1 : 1–438 ; Vol. 2 : 1–440. Elsevier Applied Sci. Pub., New-York, USA.
ROBINSON R.K., 1990. Dairy microbiology ; Vol. 1 : Microbiology of milk, 1–301 ; Vol. 2 : Microbiology of milk products, 1–409. Elsevier Applied Sci. Pub., New-York, USA.
SAWAYA W.N., KALIL J.K., AL-SHALHAT A., AL-MOHAMED H., 1984. Chemical composition and nutritional quality of camel milk. J. Food Sci., 49, 744–747.
SCHER J., 1988. Contribution à l'étude de l'influence de la composition des micelles sur la coagulation enzymatique. Thèse Inst. National Polytech., 1–211, Vandoeuvre-lès-Nancy, F.
SCOTT R., 1986. Cheesemaking practice. 1–529. Elsevier Applied Sci. Pub., New-York, USA.
SINGH H., 1966. Domestic animals. Nat. Book Trust Pub, New-Delhi, I.
TAHA N.M., KIELVEIN G., 1989. Studies on the nitrogen distribution and content of peptide bounds and free aminoacids in camel milk, buffalo and ass milk. Milchwissenschaft, 44, 633–636.
VEISSEYRE R., 1975. Technologie du lait ; 1–714. La Maison Rustique, Paris, F.
YAGIL R., ETZION Z., 1980. Effect of drought conditions on the quality of camel milk. J. Dairy Res., 47, 159–166.
YAGIL R., 1982. Camels and camel milk. FAO Animal Production and Health Paper no 26, 1–69. FAO, Rome, I.
YAGIL R., SARAN A., ETZION Z., 1984. Camel's milk: for drinking only? Comp. Biochem. Physiol., 78, 263–266.
YAGIL R., 1985. The desert camel. Comparative physiological adaptation. In: Comparative animal nutrition, Vol. 5, Karger, Basel, CH.
YAGIL R., 1986. The camel : self-sufficiency in animal protein in drought stricken areas. World Animal Rev., 57, 2–10.
YAGIL R., AMIR H., ABU-RIBAYA A., ETZION Z., 1986. Dilution of milk: A physiological adaptation to water stress. J. Arid Environments, 11, 243–247.
YASIN S.A., WAHID A., 1957. Pakistan camels. A preliminary survey. Agric. Pakist., 8, 289–297.
WEBB B.H., JOHNSON R.H., ALFORD J.A., 1974. Fundamentals of dairy chemistry. AVI Pub. Cy.; Westport, USA.
WEBER F., 1985. Refrigération du lait à la ferme et organisation des transports. Etudes FAO, Production et santé animales, no 47, 1–216, Rome, I.
WILSON R.T., 1984. The camel, 1–223, Longmann Group Ltd., London, G.B.
WILSON R.T., ARAYA A., MELAKU A., 1990. The one-humped camel. Technical papers series no 3, 1–300, UNSO, New-York, USA.
ZITTLE C.A., THOMPSON M.P., CUSTER J.H., CERBULIS J., 1962. Kappa casein, β-lactoglobulin interaction in solution when heated. J. Dairy Sci., 45, 807–810.
| Pays | Superficie km2 | Population humaine (en milliers) | Population dromadaire (en milliers) | Densité dromadaires (nbre/km2) | Dromadaires par personne |
| AFRIQUE | |||||
| Algérie | 2 381 741 | 24 960 | 135 | 0,06 | 0,005 |
| Burkina Faso | 274 200 | 8 996 | 5 | 0,02 | 0,0005 |
| Djibouti | 23 200 | 409 | 59 | 2,50 | 0,144 |
| Egypte | 1 001 450 | 52 426 | 190 | 0,20 | 0,004 |
| Ethiopie | 1 221 900 | 49 240 | 1 080 | 0,88 | 0,02 |
| Kenya | 580 370 | 24 031 | 810 | 1,40 | 0,033 |
| Libye | 1 759 540 | 4 545 | 193 | 0,11 | 0,042 |
| Mali | 1 240 190 | 9 214 | 241 | 0,19 | 0,026 |
| Maroc | 446 550 | 25 061 | 43 | 0,10 | 0,002 |
| Mauritanie | 1 025 520 | 2 024 | 820 | 0,80 | 0,405 |
| Niger | 1 267 000 | 7 731 | 420 | 0,33 | 0,054 |
| Nigéria | 923 770 | 108 542 | 18 | 0,02 | 0,002 |
| Sénégal | 196 720 | 7 327 | 15 | 0,08 | 0,002 |
| Somalie | 637 660 | 7 497 | 6 855 | 10,75 | 0,914 |
| Soudan | 2 505 810 | 25 203 | 2 800 | 1,12 | 0,111 |
| Tchad | 1 284 000 | 5 678 | 540 | 0,42 | 0,095 |
| Tunisie | 163 610 | 8 180 | 187 | 1,14 | 0,023 |
| ASIE | |||||
| Afghanistan | 652 090 | 16 557 | 265 | 0,40 | 0,016 |
| Arabie saoudite | 2 149 690 | 14 134 | 405 | 0,19 | 0,028 |
| Emirats arabes unis | 83 600 | 1 589 | 115 | 1,37 | 0,072 |
| Inde | 3 287 260 | 853 094 | 1 450 | 0,44 | 0,002 |
| Irak | 438 320 | 18 920 | 59 | 0,13 | 0,003 |
| Iran | 1 648 000 | 54 607 | 27 | 0,02 | 0,0005 |
| Israël | 20 770 | 4 600 | 10 | 0,48 | 0,002 |
| Jordanie | 89 210 | 3 288 | 15 | 0,17 | 0,005 |
| Koweït | 17 820 | 2 039 | 6 | 0,34 | 0,003 |
| Oman | 212 460 | 1 502 | 87 | 0,41 | 0,060 |
| Pakistan | 796 100 | 122 626 | 990 | 1,24 | 0,008 |
| Qatar | 11 000 | 368 | 24 | 2,18 | 0,065 |
| Syrie | 185 180 | 12 530 | 5 | 0,03 | 0,0004 |
| Yémen | 527 970 | 11 687 | 144 | 0,27 | 0,012 |
Tableau 2
Composition du lait de dromadaire
| eau | matière sèche | lactose | matière grasse | matière protéique | cendres | Référence bibliographique | |
| Valeurs générales | 87,61 | 12,39 | 3,26 | 5,38 | 2,98 | 0,70 | BARTHE, 1905 |
| 87,00 | 13,00 | 5,80 | 2,90 | 3,70 | 0,60 | LEESE, 1927 | |
| 86,53 | 13,47 | 5,60 | 3,07 | 4,00 | 0,80 | DAVIES, 1939 | |
| 5,40 | 2,87 | 3,90 | DAVIES, 1939 | ||||
| 87,50 | 12,42 | 5,20 | 3,02 | 3,60 | 0,70 | LAMPERT, 1947 | |
| 86,90 | 13,10 | 5,00 | 4,50 | 3,60 | 0,70 | JENNESS et SLOAN, 1969 | |
| 86,30 à 87,3 | - | 3,30 à 5,8 | 2,90 à 5,4 | 3,00 à3,9 | 0,60 à 0,8 | WILSON, 1984 | |
| Arabie saoudite | 86,60 à 90,4 | 3,90 à 4,8 | 2,40 à 5,6 | 2,30 à 3,4 | 0,75 à 0,82 | SAWAYA et al., 1984 | |
| 4,00 à 4,7 | 3,20 à 3,5 | 2,50 à 2,8 | 0,82 | ABU-LEIHA, 1987 | |||
| Egypte | 87,90 | 12,00 | 3,90 | 3,80 | 3,50 | 0,80 | EL-BAHAY, 1962 |
| 86,80 | 13,20 | 5,50 | 3,00 | 3,90 | 0,80 | DAVIES, 1963 | |
| 85,50 | 14,50 | 5,00 | 5,22 | 3,19 | 0,80 | TAHA et KIELWEIN, 1989 | |
| 86,60 | 13,20 | 5,53 | 3,60 | 3,27 | 0,80 | BAYOUMI, 1990 | |
| Ethiopie | 85,60 | 14,30 | 3,40 | 5,50 | 4,50 | 0,90 | KNOESS, 1977 |
| 85,90 | 14,10 | 4,60 | 4,30 | 4,60 | 0,60 | KNOESS, 1979 | |
| Inde | 86,40 | 13,61 | 4,90 | 3,78 | 4,00 | 0,95 | OHRIS et JUSHI, 1961 |
| 87,00 | 12,98 | 5,40 | 3,08 | 3,80 | 0,70 | KHAN et APPANA, 1965 | |
| 87,00 | 13,00 | 5,40 | 2,90 | 3,90 | 0,80 | SINGH, 1962 | |
| Israël* | 85,70 | 14,10 | 4,60 | 4,30 | 4,50 | 0,60 | YAGIL, et ETZION, 1980 |
| 91,20 | 6,85 | 2,90 | 1,10 | 2,50 | 0,35 | YAGIL et ETZION, 1980 | |
| Libye | 87,00 | 13,00 | 4,20 à 5,6 | 3,30 à 3,6 | 3,30 à 3,6 | 0,82 | GNAN et SHERIHA, 1986 |
| Pakistan | 86,30 | 13,30 | 5,80 | 2,90 | 3,70 | 0,70 | YASIN et WAHID, 1957 |
| 87,20 | 12,80 | 4,10 | 4,20 | 3,70 | 0,80 | KON, 1972 | |
| Somalie | 86,90 | 13,00 | 4,60 | 3,30 | 0,60 | MOHAMED et al., 1989 | |
| Soudan | 4,00 | 3,60 | 0,80 | ELAMIN, 1980 | |||
| Tunisie | 88,60 | 11,40 | 4,69 | 3,55 | 2,29 | 0,90 | ELLOUZE et KAMOUN, 1988 |
| URSS | 86,60 | 13,67 | 5,00 | 4,47 | 3,50 | 0,70 | KHERASKOV, 1953 |
| Moyennes: | |||||||
| lait dromadaire | 87,37 | 12,63 | 4,62 | 3,70 | 3,45 | 0,74 | JARDALI et RAMET, 1991 |
| lait vache | 87,20 | 12,80 | 4,80 | 3,70 | 3,50 | 0,80 | WEBB et al., 1983 |
* lait provenant de dromadaires sous régime pauvre en eau
| Fraction caséine | α | β | κ | γ |
| Lait dromadaire | 63 | 28 | 5 | 2 |
| Lait vache | 46 | 34 | 13 | 4 |
d'après JARDALI et RAMET, 1991
| Type de lait | Dromadaire | Vache | ||||
| Origine | Tunisie | France | Somalie | Arabie saoudite | Niger | France |
| Date prélèvement | ||||||
| mois | juin | mars | octobre | mars | juin | jan-86 |
| année | 1987 | 1989 | 1989 | 1990 | 1990 | à mars-87 |
| diamètre moyen micelles (μm) | 325 | 306 | 325 | 280 | 280 | 160 |
d'après JARDALI et RAMET, 1991
Tableau 5
Composition en aminoacides
de la caséine entière du lait de dromadaire
| Constituant % | Lait Dromadaire | Lait vache |
| Acide aspartique | 7,28 | 6,52 |
| Thréonine | 4,87 | 4,42 |
| Sérine | 5,39 | 5,75 |
| Acide glutamique | 21,26 | 20,35 |
| Proline | 11,62 | 10,33 |
| Glycine | 0,90 | 2,27 |
| Alanine | 1,98 | 2,80 |
| Valine | 5,43 | 6,48 |
| Cystéine | 0,02 | 0,65 |
| Méthionine | 2,70 | 2,51 |
| Isoleucine | 6,23 | 5,54 |
| Leucine | 10,89 | 8,41 |
| Tyrosine | 3,84 | 5,59 |
| Phénylalanine | 4,01 | 4,73 |
| Lysine | 6,53 | 7,33 |
| Histidine | 2,44 | 2,70 |
| Arginine | 4,63 | 3,62 |
d'après FARAH et RÜEGG, 1989
Tableau 6
Composition en acides gras (g/100 g)
de la matière grasse du lait de dromadaire
| Lait DROMADAIRE | Lait VACHE | |||||||
| Références bibliographiques | YAGIL 1982 | SAWAYA et al. 1984 | GNAN et SHERIHA 1986 | JARDALI 1988 | FARAH et al 1989 | ABULEHIA 1987 | MOHAMED 1990 | ALAIS 1984 |
| Acides gras | ||||||||
| acide butyrique C4 | 2,10 | ≤0,10 | 0,70 | 0,97 | 0,63 | - | 0,08 | 3–4 |
| acide caproïque C6 | 0,90 | 0,20 | - | 0,10 | 0,36 | - | 0,10 | 2–5 |
| acide caprylique C8 | 0,60 | 0,20 | 0,20 | 0,15 | 0,29 | 0,10 | 0,10 | 1–1,5 |
| acide caprique C10 | 1,40 | 0,20 | 0,30 | 0,18 | 0,87 | 0,12 | 0,15 | 2,00 |
| acide laurique C12 | 0,60 | 0,90 | 0,10 | 0,68 | 0,81 | 0,77 | 0,94 | 3,00 |
| acide myristique C14 | 7,30 | 11,40 | 10,40 | 14,38 | 12,75 | 10,14 | 11,50 | 11,00 |
| acide peutadécanoïque C15 | - | 1,70 | 0,90 | 1,30 | 1,23 | 1,62 | - | 1,50 |
| acide palmitique C16 | 29,30 | 26,70 | 29,00 | 35,47 | 31,75 | 26,10 | 31,20 | 25–36 |
| acide palmitoléique C16 : 1 | - | 11,00 | 9,90 | 8,83 | 10,30 | 10,40 | 8,20 | 2,00 |
| acide stéarique C18 : 1 | 11,10 | 11,10 | 12,00 | 11,66 | 12,75 | 12,20 | 17,30 | 12,00 |
| acide oléique C18 : 1 | 38,90 | 25,50 | 27,00 | 20,22 | 19,54 | 26,25 | 27,04 | 23,00 |
| acide linoléique C18 : 2 | 3,90 | 3,60 | 2,60 | 1,75 | 3,42 | 2,94 | 1,91 | 2–3 |
| acide linoléique C18 : 3 | - | 3,50 | - | - | 1,41 | 1,37 | 1,52 | - |
| acide arachidique C20 | - | 0,60 | - | - | 0,96 | - | - | |
d'après JARDALI et RAMET, 1991
Tableau 7
Composition minérale du lait de dromadaire (mg/100 g)
| Ca | P | Na | K | Mg | Références bibliographiques |
| 127 | 96 | - | - | 18 | KHAN et APPANA 1967 |
| 115*–132 | 45*–48 | 12*–19 | 34*–45 | 7,7*–10 | YAGIL et ETZION 1982 |
| 106 | 63 | 69 | 156 | 12 | SAWAYA et al. 1984 |
| 131–132 | 51–58 | 27–35 | 46–60 | 14–16 | GNAN et SHERIHA 1986 |
| 107–123 | 80–88 | 38–62 | 156–210 | 11–15 | ABU-LEHIA 1987 |
| 116 | 71 | 36 | 62 | 8 | HASSAN et al. 1987 |
| 76 | 49 | 39 | 161 | 4 | MOHAMED 1990 |
| 114 | 87 | 33 | 166 | - | ELLOUZE et KAMOUN 1988 |
| Moyennes: | |||||
| lait dromadaire | |||||
| 116 | 67 | 33 | 99 | 11 | JARDALI et RAMET 1991 SCHER 1988 |
| lait vache | |||||
| 125 | 96 | 58 | 140 | 12 |
* lait provenant d'animaux sous régime appauvri en eau.
Tableau 8
Composition vitaminique du lait de dromadaire (μg/100 g)
| Vitamines | SAWAYA et al. | ALAIS |
| lait dromadaire | lait vache | |
| Acide pantothénique | 88,00 | 350,00 |
| Vitamine A (U.I.) | 50,00 | 150,00 |
| Vitamine C | 2 370,00 | 2 000,00 |
| Thiamine | 33,00 | 45,00 |
| Riboflavine | 41,00 | 150,00 |
| Vitamine B6 | 52,00 | 35,00 |
| Vitamine B12 | 0,15 | 0,30 |
| Niacine | 461,00 | 93,00 |
| Folacine | 0,41 | 5,90 |
| U.I. = Unité internationale (0,3 μg) | ||
| Mode de coagulation | Voie enzymatique | Voie fermentaire |
| Mécanisme d'action | * Hydrolyse
spécifique de la caséine K * Perte des propriétés stabilisantes de la fraction K sur la micelle entière * Déstabilisation en présence de Ca+ + * pH réaction: 6,6 | * Enrichissement du milieu en H + * neutralisation des charges électronégatives de la micelle * déminéralisation correlative de la micelle * pH réaction de 6,5 à 4,6 |
| Coagulum | ||
| Composition: | * phosphoparacaséinate de Ca * état micellaire persiste |
* caséine déminéralisée * état micellaire altéré ou disparu (selon pH) |
| Propriétés: | * minéralisé * élastique * non friable * imperméable * aptitude à synérèse importante * nécessité d'action mécaniques thermiques, chimiques (acidification limitée) indispensables pour rompre imperméabilité et exploiter le pouvoir de concentration du gel | * peu minéralisé * ferme * friable * perméable-poreux * potentialité de synérèse réduite * application possible de traitements mécaniques et thermiques de faible intensité (exception centrifugation des fromages frais) |
| Sérum | * Non acide - déminéralisé | * Acide minéralisé |
| Fromage | * pâte cohérente * durée affinage longue * gros format * non déformable * AW basse * pH élevé * bonne aptitude à laconservation | * pâte peu cohérente * durée affinage courte ou nulle * petit format * déformable * AW élevée * pH bas * aptitude réduite à la conservation |
| Type d'enzyme coagulante | T.F.D./T.F.V. |
| Présure de veau | 2,2 |
| Protéase coagulante de Mucor miehei | 2,3 |
| Chymosine | 6,2 |
| Protéase coagulante de Endothia parasitica | 17,7 |
| Pepsine bovine | 0,2 |
d'après RAMET 1990
| Température | |||||
| chauffage lait (°C) | 34 | 62 | 65 | 75 | 85 |
| Coagulation | |||||
| Temps floculation (mn) | 4 | 4 | 5 | 6 | 6 |
| Fermeté gel | +++++ | ++++ | ++++ | ++ | + |
| Friabilité gel | friable | très friable | |||
| Egouttage après 5 h | |||||
| pH | 6,00 | 6,65 | 6,65 | 6,65 | 6,65 |
| gonflement gel | + | - | - | - | - |
| matière sèche sérum (%) | 5,40 | 5,65 | 5,75 | 5,89 | 5,97 |
| matière grasse sérum (%) | 0,80 | 0,80 | 0,80 | 0,80 | 0,80 |
d'après RAMET, 1987
| % Lait de brebis | Lait | Fromage | Lactosérum | Rendement | ||||
| Matière sèche totale % | Poids frais % | Matière sèche % | Poids sec % | Poids frais % | Matière sèche % | Poids sec % | Poids sec % | |
| 100 | 18,9 | 22,4 | 58,0 | 12,99 | 77,0 | 7,6 | 5,85 | 68,7 |
| 50 | 14,1 | 21,8 | 37,6 | 8,19 | 77,2 | 7,8 | 6,02 | 58,1 |
| 30 | 13,3 | 23,3 | 32,1 | 7,47 | 75,2 | 7,9 | 5,01 | 55,1 |
| 0 | 11,4 | 11,3 | 34,2 | 3,87 | 89,6 | 8,4 | 7,52 | 33,3 |
| 11,7 | 12,1 | 32,7 | 3,96 | 87,5 | 8,8 | 7,70 | 33,8 | |
d'après RAMET, 1990
| Origine lait | Dromadaire | Vache | |
| Type élevage | Extensif* | Intensif** | Intensif* |
| Lait | |||
| Matière sèche (%) | 9,46 | 10,10 | 12,21 |
| Matière grasse (%) | 2,04 | 2,75 | 3,20 |
| Coagulation | |||
| pH | 6,21 | 6,61 | 6,50 |
| Temps floculation (mn) | 12,45 | 7,96 | 11,50 |
| Fromage | |||
| Matière sèche (%) | 31,70 | 45,79 | 49,96 |
| Rendement frais (%) | 6,88 | 10,74 | 12,13 |
| Rendement sec (%) | 3,00 | 4,60 | 6,06 |
| Récupération (%) | 31,70 | 45,79 | 49,96 |
| Matière sèche | |||
| Lactosérum | |||
| Matière sèche (%) | 69,95 | 65,52 | 64,53 |
| Matière grasse (%) | 13,21 | 6,29 | 5,06 |
* d'après RAMET, 1987
** RAMET et KAMOUN, 1988

Zones d'introduction
FIGURE 1
Aire de répartition géographique du dromadaire
(Camelus dromedarius)
d'après WILSON, 1984.

FIGURE 2
Relation entre le temps de floculation et l'inverse de la
concentration en enzyme coagulante pour
différentes protéases coagulantes
d'après RAMET, 1990

FIGURE 3
Rhéogramme obtenu lors de la coagulation
du lait par la présure
d'après FARAH et BACHMANN, 1987

FIGURE 4
Evolution de la turbidité du lait de dromadaire
après addition de présure
d'après RAMET, 1990

FIGURE 5
Evolution de l'acidification naturelle du lait de
dromadaire et du lait de vache
d'après RAMET, 1987

FIGURE 6
Evolution de l'acidification du lait de dromadaire
et du lait de vache sous l'influence
de ferments lactiques mésophiles
∆ -- ∆ 1% ; .-. 2% ; x--x 4% ; 0--0 6%
d'après RAMET, 1987

FIGURE 7
Cinétique comparée de l'égouttage et de l'acidification
d'un coagulum acide obtenu avec du lait
de dromadaire et du lait de vache
d'après RAMET, 1987

FIGURE 8
Influence du taux de matière grasse de la crème
sur le rendement en matière grasse lors du barattage
d'après FARAH et al., 1989

FIGURE 9
Influence du chauffage du lait de dromadaire
sur la cinétique d'égouttage du lactosérum
d'après RAMET, 1987

FIGURE 10
Influence du mélange de lait de brebis au
lait de dromadaire sur le temps de floculation
d'après RAMET, 1990

FIGURE 11
Influence du mélange de lait de brebis au
lait de dromadaire sur la fermeté du coagulum
d'après RAMET, 1990

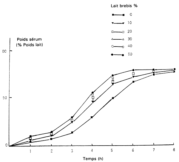
FIGURE 12
Influence du mélange de lait de brebis au
lait de dromadaire sur la cinétique d'égouttage
d'après RAMET, 1990

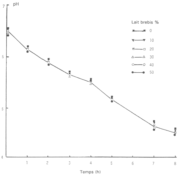
FIGURE 13
Influence du mélange de lait de brebis au lait
de dromadaire sur la cinétique d'acidification du coagulum
d'après RAMET, 1990

FIGURE 14
Influence du mélange de lait de brebis au
lait de dromadaire sur le bilan en matière sèche
d'après RAMET, 1990

FIGURE 15
Influence de l'addition de différents sels
sur le pH du lait de dromadaire
d'après RAMET, 1985 et 1990

FIGURE 16
Influence de l'addition du chlorure de calcium
sur le temps de floculation et la
fermeté du coagulum
d'après RAMET, 1990

FIGURE 17
Influence de l'addition de chlorure de calcium
sur le temps de floculation du lait
de dromadaire
d'après RAMET, 1990

FIGURE 18
Influence de l'addition de chlorure de sodium
sur le temps de floculation du lait de dromadaire
d'après RAMET, 1990

FIGURE 19
Influence du pH du lait de dromadaire
sur l'activité coagulante de la présure de veau
et de la pepsine bovine
d'après RAMET, 1990
Dromadaires en élevage extensif dans la région de Mogadiscio, Somalie, (Ramet, 1989)

Troupeau se déplaçant sur une piste dans le Bush

Marché aux dromadaires

Dromadaires de bât

Nomades somaliens
Dromadaires en élevage extensif dans la région de Ben Gardane, Tunisie, (RAMET, 1987)

Dromadaires broutant dans la steppe

Rassemblement de dromadaires autour d'un puits

Dromadaires immobilisés pour la nuit
Dromadaires en élevage intensif dans la région de Al-Jouf, Arabie saoudite, (RAMET, 1990)

Production laitière en stabulation libre

Mères allaitantes et leurs petits
Divers types de fromages au lait de dromadaire

Fromages frais moulés (RAMET,1987)

Fromages à pâte pressée non cuite conservés dans l'huile ou dans la saumure (RAMET, 1987)

Fromages à pâte molle affinés à l'aide de la moisissure blanche Penicillium camembertii (RAMET,1990)
CAHIERS TECHNIQUES DE LA FAO
ÉTUDES FAO: PRODUCTION ET SANTE ANIMALES
| 1 | Sélection animale: articles choisis de la Revue mondiale de zootechnie, 1977 (A C E F) |
| 2 | Eradication de la peste porcine classique et de la peste porcine africaine, 1976 (A E F) |
| 3 | Insecticides et matérial d'épandage pour la lutte contre la tsé-tsé, 1977 (A F) |
| 4 | Nouvelles sources d'aliments du bétail, 1977 (A/E/F) |
| 5 | Bibliography of the criollo cattle of the Americas, 1977 (A/E) |
| 6 | Utilisation en croisement des races méditerranéennes bovines et ovines, 1977(A F) |
| 7 | L'action sur l'environnement de la lutte contre la tsé-tsé, 1977 (A F) |
| 7 Rev. | 1. L'action sur l'environnement de la lutte contre la tsé-tsé, 1981 (A F) |
| 8 | Races ovines méditerranéennes en régression, 1978 (A F) |
| 9 | Abattoirs et postes d'abattoirs: dessin et construction, 1978 (A E F) |
| 10 | Le traitement des pailles pour l'alimentation des animaux, 1979 (A C E F) |
| 11 | Packaging, storage and distribution of processed milk, 1978 (A) |
| 12 | Nutrition des ruminants: articles choisis de la Revue mondiale de zootechnie, 1978 (A C E F) |
| 13 | Buffalo reproduction and artificial insemination, 1979 (A*) |
| 14 | Les trypanosomiases africaines, 1979 (A F) |
| 15 | Establishment of dairy training centres, 1979 (A) |
| 16 | Logement des jeunes bovins en stabulation libre, 1980 (A Ar E F) |
| 17 | Les ovins tropicaux prolifiques, 1980 (A E F) |
| 18 | Feed from animal wastes: state of knowledge, 1980 (A C) |
| 19 | East Coast fever and related tick-borne diseases, 1980 (A) |
| 20/1 | Le bétail trypanotolérant en Afrique occidentale et centrale - Vol. 1. Etude générale, 1980 (A F) |
| 20/2 | Le bétail trypanotolérant en Afrique occidentale et centrale - Vol.2. Etudes par pays, 1980 (A F) |
| 20/3 | Le bétail trypanotolérant en Afrique occidentale et centrale - Vol. 3. Bilan d'une décennie, 1988 (F) |
| 21 | Guideline for dairy accounting, 1980 (A) |
| 22 | Recursos genéticos animales en América Latina, 1981 (E) |
| 23 | Lutte contre les maladies dans le sperme et les embryons, 1982 (A C E F) |
| 24 | Animal genetic resources - conservation and management, 1981 (A C) |
| 25 | Fertilité des bovins, 1985 (A C E F) |
| 26 | Camels and camel milk, 1982 (A) |
| 27 | Deer farming, 1982 (A) |
| 28 | Feed from animal wastes: feeding manual, 1982 (A C) |
| 29 | Echinococcosis/hydatidosis surveillance, prevention and control: FAO/UNEP/WHO guidelines, 1982 (A) |
| 30 | Sheep and goat breeds of India, 1982 (A) |
| 31 | Hormones in animal production, 1982 (A) |
| 32 | Résidus de récolte et sous-produits agro-industriels en alimentation animale, 1982 (A/F) |
| 33 | La septicémie hémorragique, 1982 (A/F) |
| 34 | Plans de sélection des ruminants sous les tropiques, 1984 (A E F) |
| 35 | Les goûts anormaux du lait frais et reconstitué, 1982 (A Ar E F) |
| 36 | Tiques et maladies transmises par les tiques: articles choisis de la Revue mondiale de zootechnie, 1983 (A E F) |
| 37 | La trypanosomiase animale africaine: articles choisis de la Revue mondiale de zootechnie, 1983 (A F) |
| 38 | Diagnosis and vaccination for the control of brucellosis in the Near East, 1982 (A Ar) |
| 39 | L'énergie solaire dans la collecte et la transformation du lait à petite échelle, 1985 (A F) |
| 40 | Intensive sheep production in the Near East, 1983 (A Ar) |
| 41 | Perspectives d'intégration des productions végétale et animale en Afrique de l'Ouest, 1985 (A F) |
| 42 | Energie animale en agriculture en Afrique et en Asie, 1984 (A/F E) |
| 43 | Utilisation des sous-produits de l'olivier en alimentation animale dans le bassin méditerranéen, 1984 (A Ar E F) |
| 44/1 | Animal genetic resources conservation by management, data banks and training, 1984 (A) |
| 44/2 | Animal genetic resources: cryogenic storage of germplasm and molecular engineering, 1984 (A) |
| 45 | Maintenance systems for the dairy plant, 1984 (A) |
| 46 | Les races d'animaux domestiques en Chine et leur environement, 1986 (A E F) |
| 47 | Réfrigération du lait à la ferme et organisation des transports, 1985 (F) |
| 48 | La fromagerie et les variétés de fromages du bassin méditerranéen, 1985 (F) |
| 49 | Manual for the slaughter of small ruminants in developing countries, 1985 (A) |
| 50 | Better utilization of crop residues and by-products in animal feeding: research guidelines - 1. State of knowledge, 1985 (A) |
| 50/2 | Better utilization of crop residues and by-products in animal feeding: research guidelines - 2. A practical manual for research workers, 1986 (A) |
| 51 | Dried salted meats: charque and carne-de-sol, 1985 (A) |
| 52 | Small-scale sausage production, 1985 (A) |
| 53 | Slaughterhouse cleaning and sanitation, 1985 (A) |
| 54 | Small ruminants in the Near East - Vol. I. Selected papers presented for the Expert Consultation on Small Ruminant Research and Development in the Near East, (Tunis, 1985), 1987 (A) |
| 55 | Small ruminants in the Near East - Vol. II. Selected articles from World Animal Review 1972–1986, 1987 (A Ar) |
| 56 | Sheep and goats in Pakistan, 1985 (A) |
| 57 | The Awassi sheep with special reference to the improved dairy type, 1985 (A) |
| 58 | Small ruminant production in the developing countries, 1986 (A) |
| 59/1 | Animal genetic resources data banks - 1. Computer systems study for regional data banks, 1986 (A) |
| 59/2 | Banques de données sur les ressources génétiques animals-2. Descripteurs concernant le bétail bovin, les buffles, les espéces ovine, caprine et porcine, 1987 (A E F) |
| 59/3 | Banques de données sur les ressources génétiques animales - 3. Descripteurs concernant les espèces avicoles, 1987 (A E F) |
| 60 | Sheep and goats in Turkey, 1986 (A) |
| 61 | The Przewalski horse and restoration to its natural habitat in Mongolia, 1986 (A) |
| 60 | Sheep and goats in Turkey, 1986(A) |
| 61 | The Przewalski horse and restoration to its natural habitat in Mongolia, 1986(A) |
| 62 | Les coûts de production et de transformation du lait et des produits laitiers, 1986 (A E F) |
| 63 | Proceedings of the FAO expert consultation on the substitution of imported concentrate feeds in animal production systems in developing countries, 1987 (A C) |
| 64 | Poultry management and diseases in the Near East, 1987 (Ar) |
| 65 | Animal genetic resources of the USSR, 1989 (A) |
| 66 | Animal genetic resources - strategies for improved use and conservation, 1987 (A) |
| 67/1 | Trypanotolerant cattle and livestock development in West and Central Africa - Vol. I, 1987 (A) |
| 67/2 | Trypanotolerant cattle and livestock development in West and Central Africa - Vol. II, 1987 (A) |
| 68 | Crossbreeding Bos indicus and Bos taurus for milk production in the tropics, 1987 (A) |
| 69 | La transformation laitière au niveau villageois, 1988 (A E F) |
| 70 | La production de viande ovine et caprine dans les régions tropicales humides de l'Afrique de l'Ouest, 1989 (A/F) |
| 71 | Le développement de la production ovine dans les villages d'Afrique de l'Ouest, 1989 (A Ar E F) (Publié comme Manuel de formation à l'intention des vulgarisateurs, M/S5840F.) |
| 72 | Sugarcane as feed, 1988 (A/E) |
| 73 | Standard design for small-scale modular slaughterhouses, 1988 (A) |
| 74 | Small ruminants in the Near East - Vol. III North Africa, 1989 (A) |
| 75 | The eradication of ticks, 1989 (A/E) |
| 76 | Ex situ cryoconservation of genomes and genes of endangered cattle breeds by means of modern biotechnological methods, 1989 (A) |
| 77 | Training manual for embryo transfer in cattle, 1991 (A) |
| 78 | Milking, milk production hygiene and udder health, 1989 (A) |
| 79 | Manual of simple methods of meat preservation, 1990 (A) |
| 80 | Animal genetic resource - a global programme for sustainable development, 1990 (A) |
| 81 | Diagnostic bactériologique vétérinaire - Méthodes de laboratoire pour le diagnostic de certaines maladies du bétail, 1992 (A F) |
| 82 | Reproduction in camels - a review, 1990 (A) |
| 83 | Manuel de formation pour l'insémination artificielle chez les ovins et les caprins, 1993 (A F) |
| 84 | Training manual for embryo transfer in water buffaloes, 1991 (A) |
| 85 | The technology of traditional milk products in developing countries, 1990 (A) |
| 86 | Feeding dairy cows in the tropics, 1991 (A) |
| 87 | Production des vaccins contre la fièvre charbonneuse et le charbon symptomatique, 1992 (A F) |
| 88 | Petits ruminants: production et ressources génétiques en Afrique tropicale, 1992 (A F) |
| 89 | Production de vaccins contre la maladie de Marek, la maladie de Newcastle et la maladie de Gumboro, 1992 (A F) |
| 90 | Application of biotechnology to nutrition of animals in developing countries, 1991 (A F) |
| 91 | Guidelines for slaughtering, meat cutting and further processing, 1991 (A) |
| 92 | Manual on meat cold store operation and management, 1991 (A E) |
| 93 | Utilization of renewable energy sources and energy-saving technologies by small-scale milk plants and collection centres, 1992 (A) |
| 94 | Proceedings of the FAO expert consultation on the genetic aspects of trypanotolerance, 1992 (A) |
| 95 | Roots, tubers, plantains and bananas in animal feeding, 1992 (A) |
| 96 | Distribution and impact of helminth diseases of livestock in developing countries, 1992 (A) |
| 97 | Construction and operation of medium-sized abattoirs in developing countries, 1992 (A) |
| 98 | Small-scale poultry processing, 1992 (E) |
| 99 | In situ conservation of livestock and poultry, 1992 (A) |
| 100 | Programme for the control of African animal trypanosomiasis and related development, 1992 (A) |
| 101 | Genetic improvement of hair sheep in the tropics, 1992 (A) |
| 102 | Legume trees and other fodder trees as protein sources for livestock, 1992 (A) |
| 103 | Improving sheep reproduction in the Near East, 1992 (Ar) |
| 104 | The management of global animal genetic resources, 1992 (A) |
| 105 | Sustainable livestock production in the mountain agro-ecosystem of Nepal, 1992 (A) |
| 106 | Sustainable animal production from small farm systems in South-East Asia, 1993 (A) |
| 107 | Strategies for sustainable animal agriculture in developing countries, 1993 (A) |
| 108 | Evaluation of breeds and crosses of domestic animals, 1993 (A) |
| 109 | Bovine spongiform encephalopathy, 1993 (A) |
| 110 | L'amélioration génétique des bovins en Afrique de l'Ouest, 1993 (F) |
| 111 | La utilización sostenible de hembras F1 en la producción del ganado lechero tropical, 1993 (E) |
| 112 | Physiologie de la reproduction des bovins trypanotolérants, 1993 (F) |
| 113 | La technologie des fromages au lait de dromadaire (Camelus dromedarius), 1993 (F) |
Disponibilité: août 1993
A - Anglais
Ar - Arabe
C - Chinois
E - Espagnol
F - Français
P - Portugais
Miltil. - Multilingue
* Epuisé
** En préparation
On peut se procurer les Cahiers techniques de la FAO auprès des points de vente des publications de la FAO, ou en s'adressant directement à la Section distribution et ventes, FAO, Viale delle Terme di Caracalla, 00100 Rome, Italie.