Chapter 4 BMI and factors affecting access to food
In both developed and developing countries, height is often considered to be a good general index of socio-economic status of the community. Since it can be safely assumed that poverty and undernutrition are closely linked, one might also expect BMI to be related to the socio-economic status of the population. However, the usefulness of BMI as a socioeconomic indicator in industrialized countries is complicated by several factors, in particular the eating patterns of the different social classes, their physical behaviour and their knowledge and attitudes regarding their body size and shape as well as nutritional and dietary issues. In developing countries, however, it is easier to predict the socio-economic status and the level of development of the community using the BMI.
An International Food Policy Research Institute (IFPRI) rural longitudinal survey conducted among 800 rural households in four provinces of Pakistan showed that in households having incomes at the lowest quintile, both males and females had lower BMIs than those belonging to the highest quintile income groups in all provinces except Baluchistan (Garcia & Alderman, 1989). Consistency in the relationship between BMI and an independently assessed measure of socio-economic status was also seen in communities in India, Ethiopia and Zimbabwe despite there being a relatively small range of BMIs among the rural populations of these countries (Ferro-Luzzi et al., 1992).
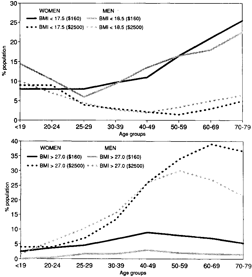
BMI data from Brazil has also been analyzed in relation to income levels (François 1990).1 In every income class the majority of individuals had acceptable body weights in relation to their heights. There was not a linear relationship between BMI and income. (See Figure 4.1) However, for both males and females between the ages of 20 to 60 years, the median BMI values were lower in the lowest income class (poorest 15 percent, i.e. incomes around US$ 160 per annum) when the study population was stratified into 10 year age bands. It was also noted that in the lowest income class, both males and females had similar BMIs at all age bands while in the high income group, BMI increased with increasing age. This implies that as soon as the households received more than minimal incomes it was common for adults, especially women, to gain weight in middle age. Although the median BMI shows only a small change despite the enormously wide gap in expenditure levels seen in Brazil, this small change in average BMI was associated with a substantial shift in the BMI frequency distribution. This shift seemed to be continuous with increasing income levels, so the risk of becoming overweight increased progressively as income increased. In Figure 4.1, the percentage of females with BMIs < 17.6 and BMIs >27.0 in the two extreme income classes (US$ 160 and US$ 2,500 per annum) plotted against increasing age is represented. The same relationship is shown for males with BMIs <18.5 and >27.0 for the same income classes. Both figures show that increasing age is linked to an increase in BMI among the rich while the number of men and women with low BMIs increases with advancing age among individuals of the lowest income classes. The distribution of BMI values among the poorest 20 percent and richest 20 percent in Brazil are shown in Figure 4.2. It is evident that BMI is not only a reliable indicator of socioeconomic status among the males and females of developing countries, but is particularly useful for assessing lower socio-economic groups where there is little increase in weight with age. Differences in socioeconomic status leading to differences in BMI are more marked in the older adults.
[ 1. In Brazil, the Instituto Brasileiro de Geografia e Estadística (IBGE) conducted a nationwide food consumption and expenditure survey, the Estudo Nacional da Despesa Familiar (ENDEF) in 1974-75 that provided anthropometric, dietary and socio-economic data from a nationwide sample of 250,000 individuals in 55,000 households. In 1989, using the same sampling frame but reducing the numbers considerably, the National Food and Nutrition Institute (INAN) and IBGE conducted the national health and nutrition survey, Pesquisa Nacional de Saúde e Nutrição (PNSN) which supplied anthropometric and socio-economic data from 60,000 persons from approximately 17,000 households. ]
Figure 4.1 - BMI distribution in Brazil by age and income (IBGE Survey. 1974/75)

Source: de Vasconcellos, 1992, based on data presented at a meeting
"Functional Significance of Low Body Mass Index (BMI)", Rome,
4-6 November, 1992.
Figure 4.2 - BMI distribution in Brazil among the poorest and wealthiest segments of the population (PNSN Survey 1989)

Source: de Vasconcellos, 1992, based on data presented at a meeting
"Functional Significance of Low Body Mass Index (BMI)", Rome,
4-6 November 1992.
Several surveys conducted in the Congo since 1986 by the Institut français de recherche scientifique pour le développement en coopération (ORSTOM) and la Delegation générale à la recherche scientifique et technique (DGRST), led to analyses of variations of adult BMI according to the socioeconomic characteristics of households. Four representative samples of household members were selected and anthropometric measurements as well as data on socioeconomic and housing conditions were collected. The distribution of urban and rural adults according to different BMI categories in the Congo is represented in Figure 4.3. A tendency to obesity (i.e. BMI over 25.0) is almost absent in the rural "Plateaux" areas but nearly 25 percent of urban adults appear to be obese (16 percent for men, 30 percent for women).
Figure 4.3 - BMI Distribution among Congolese adults in urban and rural areas

Source: Delpeuch, 1992, based on data presented at a meeting "Functional Significance of Low Body Mass Index (AM/)", Rome, 4-6 November, 1992.
The BMI of adults varies according to sex and age. In the rural "Plateaux" areas, the prevalence of low BMI in women increases steadily with age, from 12 percent at 18 years to 50 percent for those aged 60 years or more. For men, the prevalence of low BMI first decreases through the years of most active economic productivity but increases sharply after 40 years of age. For both sexes, low BMI is very common in rural areas at older ages. On the other hand, in urban areas the prevalence of high BMI rises significantly with age, particularly in women.
When the socio-economic conditions of urban families improve (for instance, they have electricity, piped water, employment, and assets) the frequency of obesity (BMI >25) increases from 15 percent up to 35 percent. The proportion of people with low BMI (under 18.5) decreases where socio-economic conditions are better. This is indicated in Figure 4.4 where families have been classified into five different groups according to their socioeconomic status. In the rural areas, this phenomenon is not demonstrated, primarily because all the families are poor.
The BMI might also be used to monitor the impact on adults of macroeconomic change such as the current structural adjustment process taking place in the Congo. An analysis of the BMIs of urban mothers shows a significant increase of the frequency of low BMI (< 18.5) from 6.8 percent in 1986 to 10.1 percent in 1991, while the prevalence of obesity remained constant and BMI mean values were similar (23.1 and 23.2).
During the period 1986-91, the prevalence of low BMI increased among young mothers below 30 years of age. Such worsening is amplified with socio economic class: among the poorest 40 percent of young mothers, the prevalence of CED increased from 8.6 percent to 17.1 percent after five years of structural adjustment. Among the wealthiest 40 percent, the prevalence of low BMI increased from 6.9 percent to 10.6 percent. Although the nutritional status of young mothers of all socio-economic levels deteriorated, the young, poor, urban mothers were most negatively affected by the structural adjustment process in the Congo.
Figure 4.4 - CED and obesity in Brazzaville, Congo by Socio-economic quintiles

Source: Delpeuch, 1992, based on data presented at a meeting
"Functional Significance of Low Body Mass Index (BMI)", Rome,
4-6 November, 1992.
In contrast, the prevalence of CED among those over 30 years of age tends to decrease, although the difference is not significant. Thus, with increasing age the negative impact on BMI during this period of structural adjustment seems to be less.
The value of using adult BMIs as an indicator of household food consumption can be assessed by comparing the BMIs of household members with household food consumption data. Such analysis has been carried out using the ENDEF survey data from Brazil (de Vasconcellos, 1993). In this nationwide survey, foods consumed were weighed during seven consecutive days and converted into calories. Based on the meal attendance of each household member and guests, the household energy intake was expressed in terms of adult equivalent. Conceptually, it is problematic to link individual characteristics such as height, weight, sex and age with food consumption data collected for a household unit even though it is expressed on a daily per caput basis. However, a relationship between food consumption and BMI was demonstrated in this study.
Five classes of energy intake and the percentages of adults classified by BMI are shown in Figure 4.5. Whereas the proportion of the population with normal weight (i.e. BMI between 18.5 and 25.0) remained approximately the same regardless of intake (70 percent), the proportion of people in the overweight and obese categories increased while the proportion of underweight and CED decreased with greater calories.
Figure 4.5 - BMI distribution in Brazil by energy intake levels (IBGE Survey, 1974/75)

Source: de Vasconcellos, 1992, based on data presented at a meeting
"Functional Significance of Low Body Mass Index (BMI)",
Rome, 4-6 November, 1992.
Relationships between the BMI of adults and food consumption can also be established through the use of energy adequacy ratios for different families since their food consumption has been compared to their energy requirement. The two extremes of the same phenomenon are represented in Figure 4.6; as the rate of energy adequacy increases, the tendency to leanness (i.e. BMI < 18.5) decreases and the tendency to obesity (i.e BMI > 25) increases.
The term seasonality refers to a regularly recurring set of conditions which lead to cyclical changes in food supplies. These changes often coincide with periods of variable demand for physical labour. Environmental and climatic changes have enormous effects on agricultural activity, the availability of food, and the need for physical labour. These features have a profound effect on the economy of rural households in poor countries. Physiological changes are expected to occur during seasonal cycles when the food availability and the demand for agricultural labour conflict. Since these changes tend to follow an annual agricultural cycle, the body's responses to the availability of energy and the demand for activity are expected to follow similar annual patterns. Serial measurements of body weight should therefore, be an excellent but simple operational indicator of these changes in energy balance or steady state in adults. The extent of body weight changes recorded over seasonal cycles in many parts of Africa and Asia have been compiled and summarized (Ferro-Luzzi, 1987); they range from 0.7 kg to 3.8 kg. Since heights do not change in adults, BMI can be used as a more specific index of the "risk" to a population of these weight changes.
Figure 4.6 - BMI distribution in Brazil by energy adequacy ratio (IBGE Survey, 1974/75)

Source: de Vasconcellos, 1992, based on data presented at a meeting
"Functional Significance of Low Body Mass Index (BMI)",
Rome, 4-6 November, 1992.
A seasonal follow-up study of sedentary farmers in the Sahelian zone of Senegal (Rosetta, 1986) showed variations in body weight during the dry and rainy seasons, both in young men (mean weight loss 1.7 kg) and in older men (mean weight loss 2.7 kg). Women were affected regardless of their ages. The BMIs calculated from mean body weights and heights of adults in Serere, Senegal also showed changes between dry and rainy seasons. Shifts in the seasonal distributions of BMIs in Ethiopian men and women during pre-harvest and post-harvest seasons have been reported (Ferro-Luzzi et al., 1992). The Ethiopian study confirmed that BMI was a very sensitive index of change over six consecutive measurements in an annual agricultural cycle. It responded to seasonal changes that occurred in both sexes, with particularly clear effects being seen among the males.
Seasonal food shortages are reflected in data from Benin as well. The BMI distribution for adult men showed a shift during the dry season compared with the wet season; 23 percent of men with acceptable BMIs shifted into a category of CED; the number of men with BMIs between 18.5 and 20.0 increased markedly; and those with BMIs > 20 lost weight (François, 1990). A similar feature is seen in Beninese women (See Figure 4.7).
The BMI is thus a simple indicator and seems to be closely related to food consumption levels of adults in a population. It is sensitive to changes in the socio-economic status of communities in developing countries. Seasonal shifts in the BMI of adults are readily demonstrable in association with changes in the availability of food and alterations in the physical activity levels that are induced by the seasonal agricultural cycle.
Figure 4.7 - BMI categories among Beninese women by season

Source: Berardi, D. and François, P. 1992, personal communication.